Abstract
More efficient systems and renewable energies are determinants of reducing the negative impact on the environment. A novel cogeneration system is modeled for the simultaneous production of power and cooling driven by geothermal energy utilizing an ammonia–water mixture. The system can be used in rural communities by using renewable energies or in industries where waste heat is available. The system is a modification of a Goswami cycle in which a separator has been added to produce an extra amount of ammonia vapor to increase the cooling effect. Energy and exergy analyses are conducted as a function of the main operating temperatures. From the optimization, it is found that the maximum energy utilization factor is 0.54, and the exergy efficiency is 0.37, producing 81.45 kW of power and 1068 kW of cooling. A case study is also conducted for a rural community located in the estate of Jalisco, México. The proposed system is capable of preserving 3750 L of milk/day while simultaneously producing 12.53 kW of power when 230.6 kW of geothermal energy is supplied at 120 °C.
1. Introduction
The energy transition towards renewable, clean, and sustainable energy sources, helping to reduce greenhouse gas emissions and mitigate or reduce climate change, is a priority issue in Mexico and worldwide. The potential of geothermal energy is almost unlimited since it takes advantage of the heat stored under the entire earth’s surface, offering constant energy depending on climatic conditions [1]. However, its potential mainly depends on the geological characteristics of the areas and the technologies used to exploit it. One disadvantage of this energy is the initial investment required [2]. However, geothermal energy is one of the most promising and popular forms of renewable energy in the world because it can be used for diverse purposes, such as power production, space conditioning, heating, or even cooling in residential and industrial processes.
Due to the energy transition in the last two decades, there has been an increasing percentage of the use of geothermal energy worldwide. It was reported that by the end of 2023, the global installed capacity was 16,335 MW produced by only 32 countries [3]. Mexico is in seventh place with an installed capacity of 976 MW [4], of which an important part is for power production, and 156 MWt is for direct use, including spas (distributed in 18 states of the México), space conditioning in demo projects such as schools, health clinics, laboratories, and greenhouses, among other applications. Also, geothermal brine is used for agricultural drying to produce dried fruits [5]. Nevertheless, regarding these applications, the use of geothermal energy is still limited in México.
Worldwide, the use of geothermal energy for cooling has been extensively studied in the literature. A comprehensive review conducted by Alsagri et al. [6] included numerical and experimental analyses, optimization techniques, exergy evaluations, and cost studies related to cooling production from geothermal resources. The authors highlight that direct geothermal energy use is predominantly directed toward heating applications, leaving cooling and cogeneration little explored. Ahmed et al. [7] comprehensively reviewed various investigations utilizing geothermal energy. The study emphasized that the Ground Source Heat Pump (GSHP) stands out as one of the most efficient technologies among renewable energy systems. These systems are cost-effective and capable of significantly reducing CO2 emissions. Specifically, energy consumption reductions of 26–50% and 65–85% emissions are achievable. Another notable review by Chen et al. [8] explores the application of embedded pipes in buildings and underground structures. Geothermal heat pump technology in tunnels, roads, and bridges represents a promising strategy to harness geothermal energy and regulate infrastructure temperatures, particularly in cold climates. From an energy efficiency perspective, integrating heat pump systems with embedded pipes enhances geothermal energy utilization, leading to reduced energy consumption and operational costs. Furthermore, other studies clearly demonstrate the use of geothermal energy for heating and cooling applications. Romanov et al. [9] analyzed geothermal systems at diverse depths to develop distinct systems tailored to each depth and the corresponding outlet temperatures. Similarly, Figueira et al. [10] investigated the application and integration of shallow geothermal energy systems into district heating and cooling networks, providing multiple case studies. Walch et al. [11] also examined shallow systems, focusing on the effects of heat reinjection to facilitate soil regeneration. This study evaluated how seasonal regeneration can enhance the heat extraction capacity of GSHP systems, estimating the useful energy output and presenting a practical implementation. Abugabbara et al. [12] investigated a shallow geothermal heating and cooling system designed for energy exchange between decentralized borehole fields at individual buildings. A case study conducted in Sweden demonstrates a 23% reduction in electricity consumption, emphasizing the system’s practical and economic benefits.
Regarding electricity production using geothermal energy, some of the most recent studies [13,14] focus primarily on the Organic Rankine Cycle (ORC) due to its ability to operate efficiently at low temperatures. Many of these studies were analyzed in [13], which presented an extensive review of ORC systems powered by geothermal energy. They suggested that integrating ORC systems with other technologies, such as desalination, could unlock new opportunities for geothermal energy utilization. The analysis by Loni et al. [15] examined the implementation of geothermal ORC systems in polygeneration contexts. They highlighted the potential of polygeneration systems incorporating geothermal ORCs, demonstrating high exergy efficiency values. Barasa and Olanrewaju [14] provided a comprehensive review of electricity generation from geothermal wells, concluding that wellhead power plants can enhance the feasibility of geothermal energy projects by reducing investment barriers and enabling early-stage electricity generation.
Regarding cogeneration for power and cooling production, some studies have combined the ORC with the Ejector Refrigeration Cycle (ERC) [16,17,18]. Feili et al. [16] presented a novel Bi-Evaporator Ejector Refrigeration Cycle (BE-ERC), considered more efficient than similar systems. Zeotropic mixtures were used to enhance performance, and the BE-ERC was integrated as a binary cycle within a modified double-flash geothermal power plant, simultaneously generating cooling and power. Wang et al. [17] proposed the design of a flash-binary cycle utilizing geothermal energy and zeotropic mixtures, accompanied by an optimization of the system with promising results. Çetin et al. [18] analyzed a cogeneration cycle integrating an injection turbine, an air liquefaction cycle, a liquid air direct expansion cycle, and a cryogenic Organic Rankine Cycle. The results indicated that the power produced was more than triple that of basic cycles. Gorbani et al. [19] incorporated heating as a useful effect and integrated the Kalina Cycle into the cogeneration system. The results included an exergy analysis and optimized performance parameters.
The most popular system for simultaneous power and cooling generation is the Goswami cycle [20]. This system is a modification of an absorption refrigeration cycle in which a condenser and an expansion valve are replaced by a turbine. The theoretical evaluation showed that the system could generate 2 MW of power and 50 tons of cooling at a turbine inlet temperature of 193 °C and a pressure of 2.76 MPa. For the proper evaluation of these systems, Vijayaraghavan and Goswami [21] presented thermodynamic equations that allow the determination of their performance, as the products (heat removal and power production) are of different natures and thus cannot be evaluated as a power cycle or a refrigeration cycle. Various studies have continued to develop around the Goswami cycle to improve its performance. Xu et al. [22] analyzed the influence of condensation and absorber temperatures and the turbine inlet pressure on the system for different working fluid concentrations. In their research, they proposed one of the most significant improvements to this system: internal rectification of the working fluid by circulating the fluid exiting the absorber through the rectifier. The study realized by Hasan et al. [23] showed that the absorber and rectifier of the Goswami cycle are the components with the highest irreversibilities. At a heat source temperature of 126.8 °C, the system achieved a second-law efficiency of 65.4%.
In addition to theoretical studies, Tamm and Goswami [24] conducted experimental evaluations of their system, analyzing the key parameters that enhance the cycle’s performance. Based on the Goswami cycle’s operating principle, several systems have been proposed to produce power and cooling. All these systems operate with low- and medium-temperature heat sources. For instance, Donald et al. [25] developed a new cycle that can operate within a temperature range of 120 to 300 °C. On the other hand, Shankar and Srinivas [26] proposed a new system using an ammonia–water mixture as the working fluid integrating two generators. The thermal energy source temperature was 110 °C, resulting in a generation temperature of 95 °C. In the evaluation, a working fluid concentration of 0.58 and a flow rate of 1 kg/s at the absorber outlet were used. The power produced was 58.75 kW and the cooling load 91.57 kW.
Shankar and Srinivas [27] presented the design of two new cycles. One operated with a lithium bromide–water mixture, achieving an energy utilization factor (EUF) of 82% by producing 180 kW of cooling and 24.5 kW of power in the turbine [27]. The second cycle integrates two turbines to generate power or cool it individually or simultaneously. The total power produced was 14.05 kW, with a cooling capacity of 73.58 kW [28]. Shankar and Srinivas [29] proposed a cycle using an ammonia–water mixture operating at generation and absorber temperatures of 150 °C and 30 °C, respectively. The system produced 15 kW of power and 220 kW of cooling, achieving an EUF of 27%.
Rivera et al. [30] proposed two systems to produce power and cooling using an ammonia–water mixture. One of the systems splits the flow at the rectifier output, while the other directly extracts steam from the turbine. These flow divisions allow the variation of power and cooling production. The authors reported that at a generation temperature of 130 °C and evaporation of −10 °C, the conventional Goswami cycle can produce 250 kW of power and 100 kW of cooling, achieving an EUF of 0.1. In contrast, the systems proposed by Rivera et al. [30], with direct turbine extraction and flow splitting at the rectifier outlet, achieved EUFs of 0.65 and 0.6, respectively. Additionally, alternative mixtures, such as ammonia–lithium nitrate, were also analyzed as replacements for the ammonia–water mixture in polygeneration systems to produce power and heating or cooling [31,32].
As observed from the literature reviewed, although studies of thermodynamic cycles operating with geothermal energy have been conducted, these have been mainly for heating, power production, and cooling, among other applications, but just a few for the simultaneous production of power and cooling.
On the other hand, the literature reviewed showed that although there have been studies of new cycles to produce power and cooling simultaneously, as will be seen later, the proposed system can increase the cooling capacity produced compared to other systems, such as the ones reported by Shankar et al. [27,28,29]. This advantage occurs by increasing the mass flow of refrigerant entering the evaporator by adding an expansion valve and a separator, increasing the amount of refrigerant produced. Likewise, adding a condenser and a precooler at the turbine outlet benefits the cooling effect by reducing the temperature of the fluid entering the evaporator.
Based on the foregoing, the novelty of the paper includes the modeling of a novel cycle to produce power and cooling driven by geothermal energy and a case study utilizing the proposed cycle in a farm community located in Jalisco, Mexico, where power and cooling are required for their living and economic activities.
2. Description of the Thermodynamic Cycle
Although several mixtures have been proposed as alternative mixtures for absorption systems in recent years, the most used are the ammonia–water and water–lithium bromide mixtures [33]. Of these two, the water–lithium bromide mixture can be used only for air conditioning and not for refrigeration since the water freezes at 0 °C. Therefore, the ammonia–water mixture was chosen for the present study.
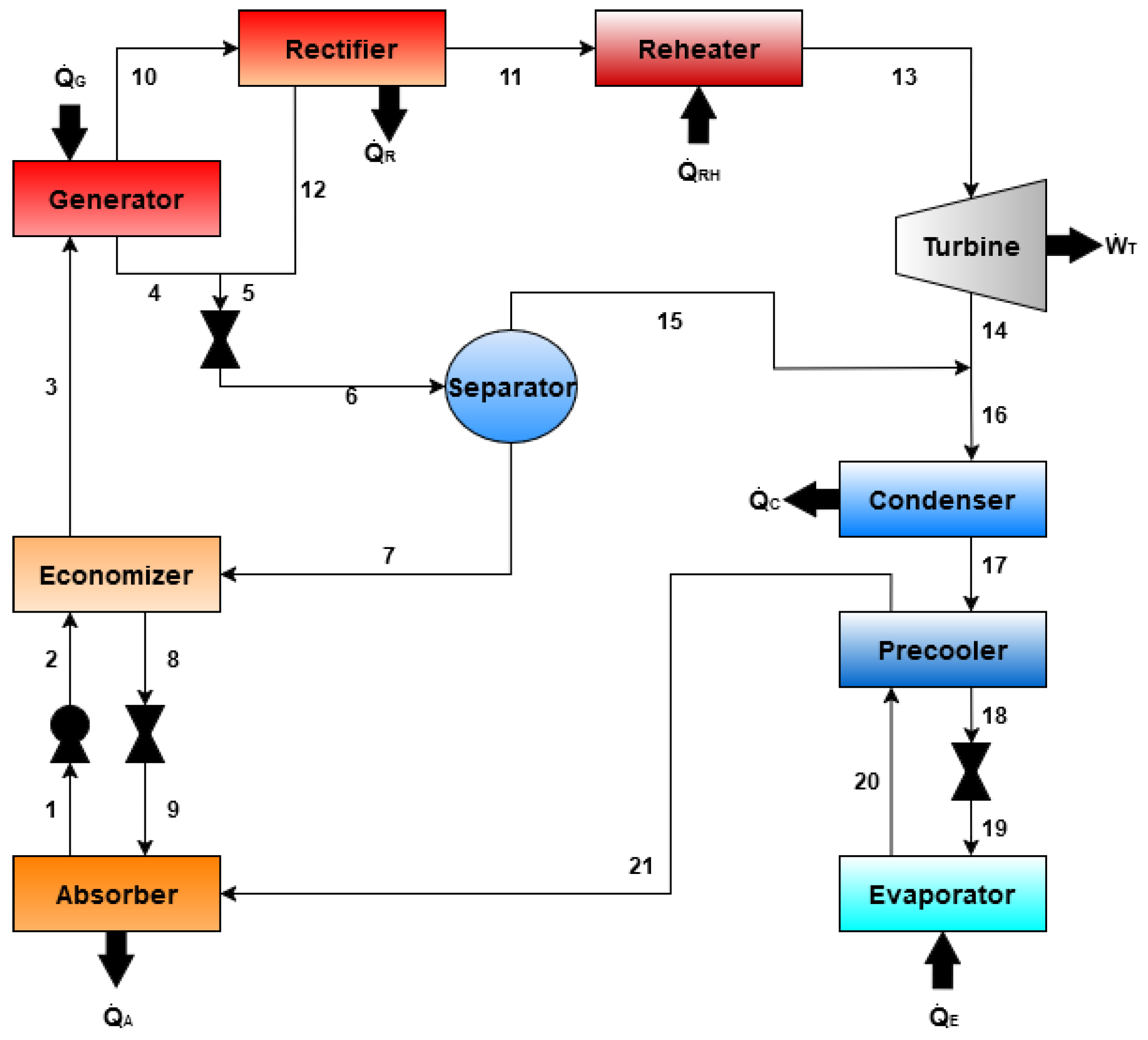
The proposed system operates with the ammonia–water mixture as the working fluid. The mixture leaves the absorber as a saturated liquid (state 1) and is pumped (state 2) through the economizer, where it receives thermal energy before entering the generator (state 3). Heat () is supplied to the generator to produce vapor with a high concentration of ammonia. The produced vapor enters the rectifier (state 10), where the water fraction contained in it is condensed, thus producing almost pure ammonia vapor. The high-temperature working fluid that did not evaporate in the generator (state 4) is combined with the rectified water and ammonia fraction (state 12). The resulting stream (state 5) expands in a valve, generating a liquid–vapor mixture (state 6). This mixture enters a separator, where the liquid fraction (state 7) is cooled in the economizer (state 8) to subsequently reduce its pressure and enter the absorber (state 9). The rectified steam enters the reheater (state 11), where it receives heat () to increase its temperature before passing through the turbine (state 13). As it passes through the turbine, the almost pure ammonia vapor expands (state 14) and produces a quantity of power (). Afterward, it is combined with the steam obtained in the separator (state 15), and the resulting flow (state 16) is condensed (state 17), then cooled (state 18), and finally, throttled in order to enter the evaporator as cold as possible (state 19). The fluid entering the evaporator removes heat (), producing the cooling effect. When the fluid leaves the evaporator (state 20), it passes through the precooler, where its temperature increases slightly (state 21). Finally, the working fluid enters the absorber where the absorption process takes place, releasing a quantity of thermal energy () and producing the mixture at its initial operating conditions to repeat the process again. Figure 1 shows a schematic diagram of the proposed system.
Figure 1.
Proposed cycle for simultaneous power and cooling production.
3. Mathematical Model, Considerations and Evaluation Range of the Model
Mass, energy, and exergy balances were calculated for each component in the development of the computational system’s model. The heat loads, the power produced, and the EUF are obtained from energy balances, while the exergy efficiency is obtained from exergy balances. Table 1 presents the equations used for the components of the proposed cycle.
Table 1.
Mass, energy and exergy balances of the model.
Equations (1) and (2) are used to determine the EUF and the exergy efficiency (ηEx), respectively.
3.1. Model Considerations
The computational model of the thermodynamic cycle was developed using the Engineering Equation Solver (EES V10.836-3D) software, with the following considerations:
- There are no temperature or pressure losses between component connections.
- The processes in the valves are considered isenthalpic.
- The process in the turbine is considered isentropic.
- The fluid concentration at the turbine inlet is assumed to be 0.99.
- The ambient temperature is assumed to be 25 °C.
- The system operates in steady-state conditions.
It is important to mention that the process is considered in steady-state conditions because the energy delivered by geothermal wells does not change during the day at intermediate and high depths but only over long periods (months) [34]; various studies consider that geothermal wells operate in steady-state conditions [35,36,37].
3.2. Evaluation Ranges
Table 2 shows the ranges and increments of the main operating system parameters. These ranges were selected because power generation and cooling systems reportedly achieve their best performance within a TG range of 120 °C to 140 °C [21,22,23], and such systems can operate effectively at TE values of approximately 7 °C [22] and 12 °C [23]. This research extends these ranges to enable a more comprehensive analysis of the system’s performance under these operating parameters.
Table 2.
Operating ranges of the variables studied.
3.3. Model Validation
To validate the results obtained from the model, the system is compared with a model reported in the literature for the same purposes [38] under the same operating conditions. Table 3 shows the comparison of the main results.
Table 3.
Comparison between Shankar and Rivera model and present study.
4. Results of the Evaluation of the Proposed Cycle
4.1. Analysis of the Generation Temperature (TG)
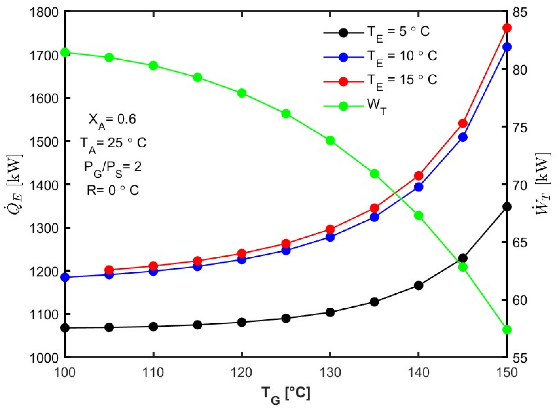
Figure 2 shows the cooling load and turbine power as a function of the system’s generation temperature. To maintain the desired output of nearly pure ammonia vapor at state 11, the mass flow at state 3 increases, raising the flow and concentration at state 4. This, in turn, results in an increase in the extra flow produced in the separator. Consequently, the system’s cooling load rises as the generation temperature (TG) increases.
Figure 2.
Cooling load and power produced by the turbine as a function of TG.
When the system evaporates at 5 °C, increasing TG from 100 to 150 °C causes the cooling load to rise from 1068 kW to 1348 kW. On the other hand, the same increase in TG, while maintaining the same evaporation conditions, leads to a 26.54% decrease in turbine power, decreasing from 81.45 kW to 57.39 kW, as shown in Figure 2.
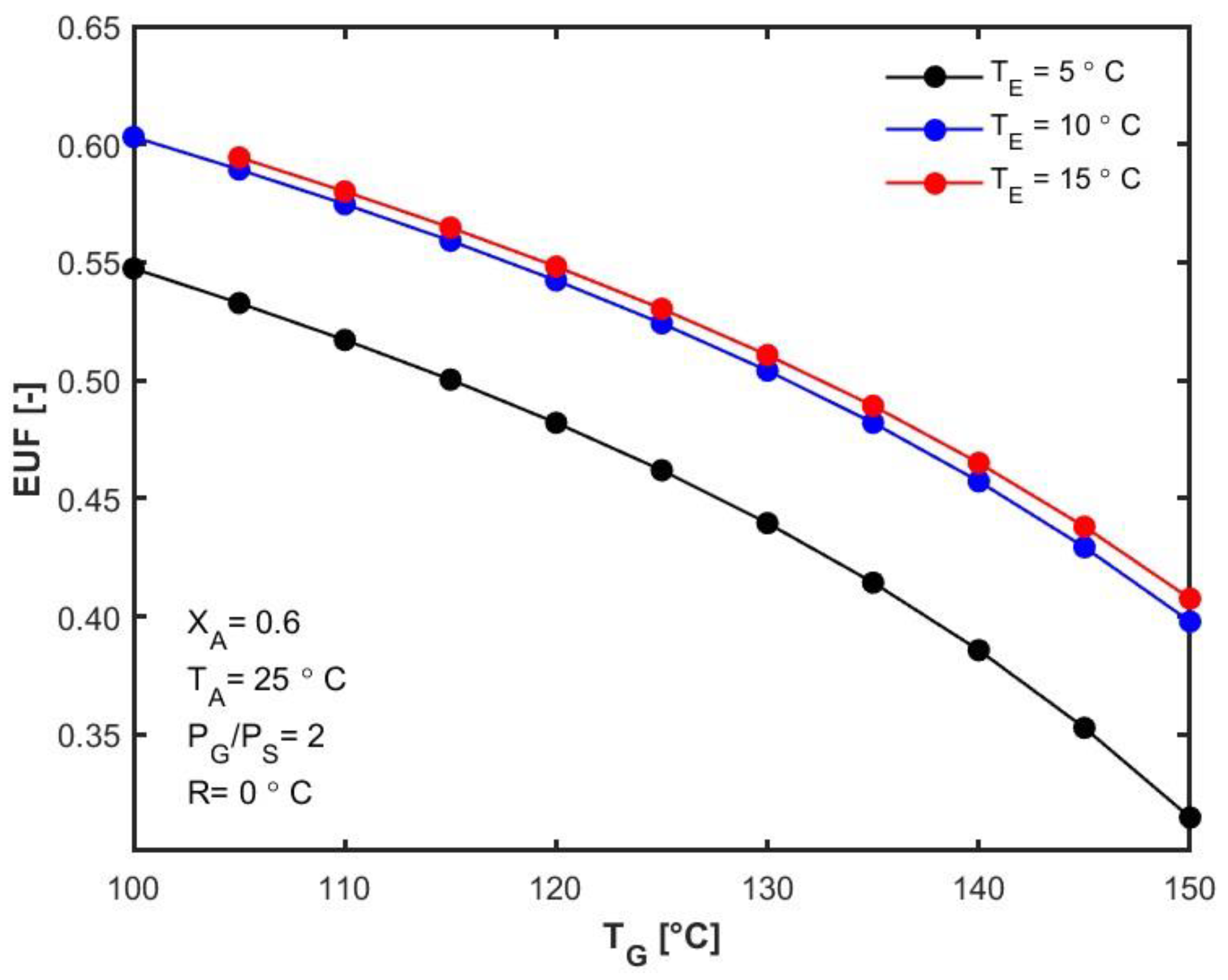
Figure 3 shows the behavior of the energy utilization factor as a function of the system generation temperature. It can be seen that there is a decrease in the EUF with higher generation temperatures. This decrease occurs mainly due to the increase in thermal energy supplied to the generator, as, in order to have the desired output of ammonia vapor in this component, the flow leaving the absorber must be increased. When the evaporation temperature is 5 °C and the TG increases from 100 to 150 °C, the EUF decreases by 42.6%, dropping from 0.54 to 0.31. This decrease is due to the increase in QE and the decrease in WT for the reasons mentioned in the analysis of Figure 2.
Figure 3.
Energy utilization factor as a function of TG.
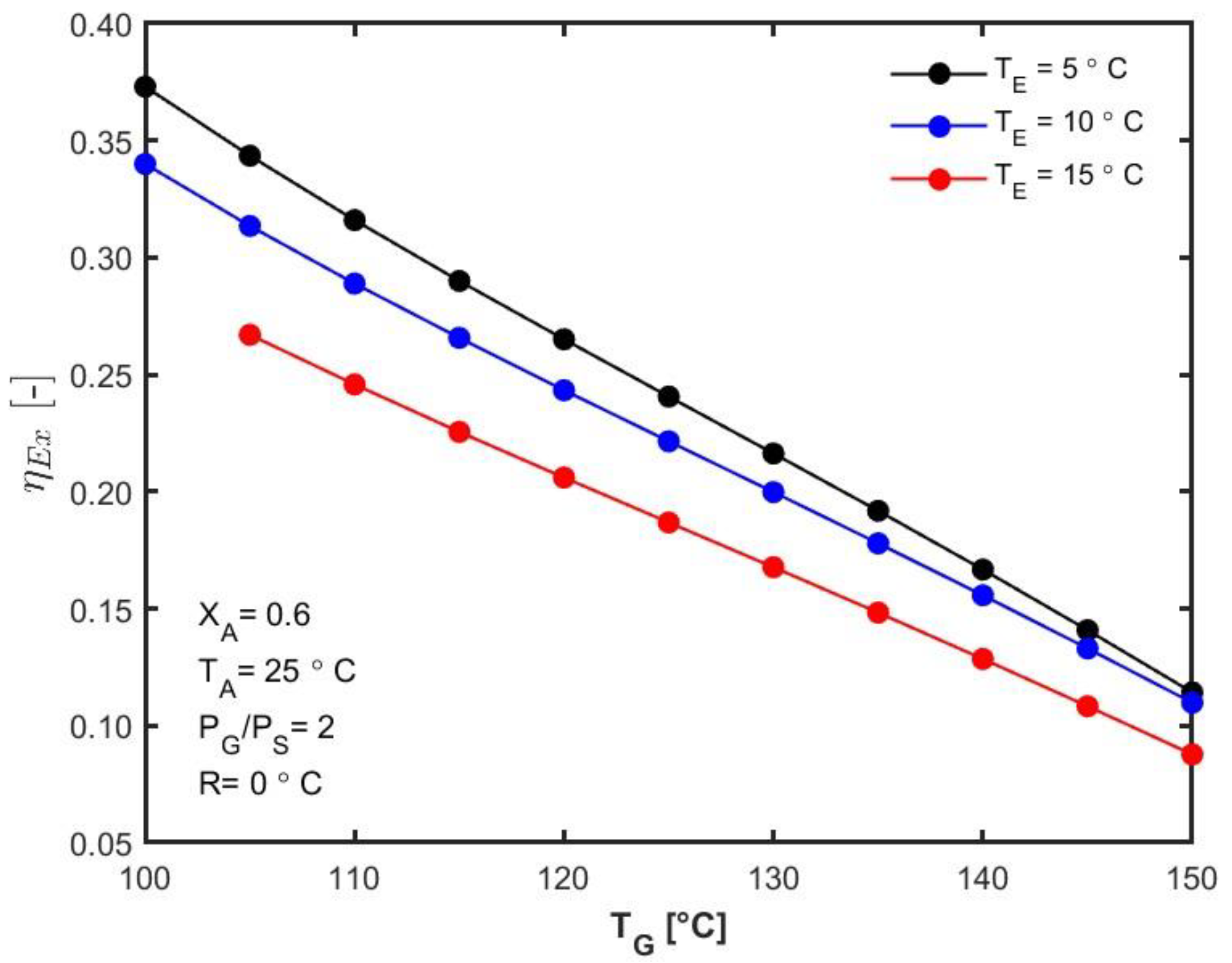
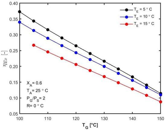
Figure 4 shows the behavior of ηEx as a function of TG for different evaporation temperatures. It can be observed that ηEx decreases with the increase in TG. This effect occurs since, as can be seen from Equation (2), the increase in TG causes an increase in the heat supplied to the generator, thus decreasing ηEX. At an evaporation temperature of 5 °C, increasing TG from 100 to 150 °C causes the ηEx to decrease from 0.37 to 0.11, corresponding to a 71% decrease. Furthermore, Figure 4 shows higher ηEx at lower evaporation temperatures. At TG = 110 °C, the system’s exergy efficiency is 0.31 when evaporating at 5 °C, while at the same generation temperature but at TE = 10 °C, the efficiency decreases to 0.28.
Figure 4.
Exergy efficiency as a function of TG.
4.2. Analysis of the Absorber Temperature (TA)
In Figure 5, the behavior of the power produced by the turbine and the cooling load can be observed as a function of the absorption temperature (TA). When TA increases, the system’s cooling effect decreases since the mass flow entering the evaporator has higher temperature. When the system evaporates at 10 °C and TA increases from 20 °C to 32 °C, the cooling load decreases by 10.87%, from 1224 kW to 1091 kW. With the increase in TA, the power produced by the turbine is not affected since the fluid at the turbine outlet depends on the pressure of the extra steam flow produced in the separator. For the conditions analyzed, the power produced was 80.31 kW. Also, it can be seen that, for cases with higher evaporation temperatures, there are greater operating ranges increasing TA. That is, in the case of TE = 5 °C, TA can only be increased up to 24 °C since, if it is increased further, the temperature of the fluid coming from the precooler and passing through the expansion valve will be equal to or greater than the evaporation temperature, avoiding the cooling effect.
Figure 5.
Cooling load and power produced as a function of TA.
When the temperature in the absorber (TA) increases, the pressure at the outlet of this component also increases, as this point is considered a saturation state. Due to this, both the pump work (WP) and the thermal energy supplied to the generator (QG) tend to decrease. Figure 6 shows the behavior of the EUF as a function of the increase in TA, which tends to increase even though the cooling load has decreased (See Figure 5), because the decrease in QG and WP is greater. Likewise, it can be observed that there is a maximum value achieved by the EUF and, subsequently, it decreases sharply. This decrease indicates that the temperature at the evaporator inlet is similar to that at the outlet. For example, for a TE of 10 °C, with a TA of 30 °C, the temperature of the fluid at the inlet and outlet of the evaporator is 8 °C and 10 °C, respectively. If the absorption temperature increased further, the temperature at the evaporator inlet would exceed TE, nullifying the cooling effect of the system. On the other hand, when evaporation occurs at 15 °C, the energy utilization factor improves by almost 2% when TA increases from 20 °C to 30 °C, while, under the same evaporation condition, increasing TA from 30 °C to 36 °C causes the EUF to decrease by almost 10%, dropping from a value of 0.58 to 0.52. This indicates that the temperatures at the inlet and outlet of the evaporator are becoming equal.
Figure 6.
Energy utilization factor as a function of TA.
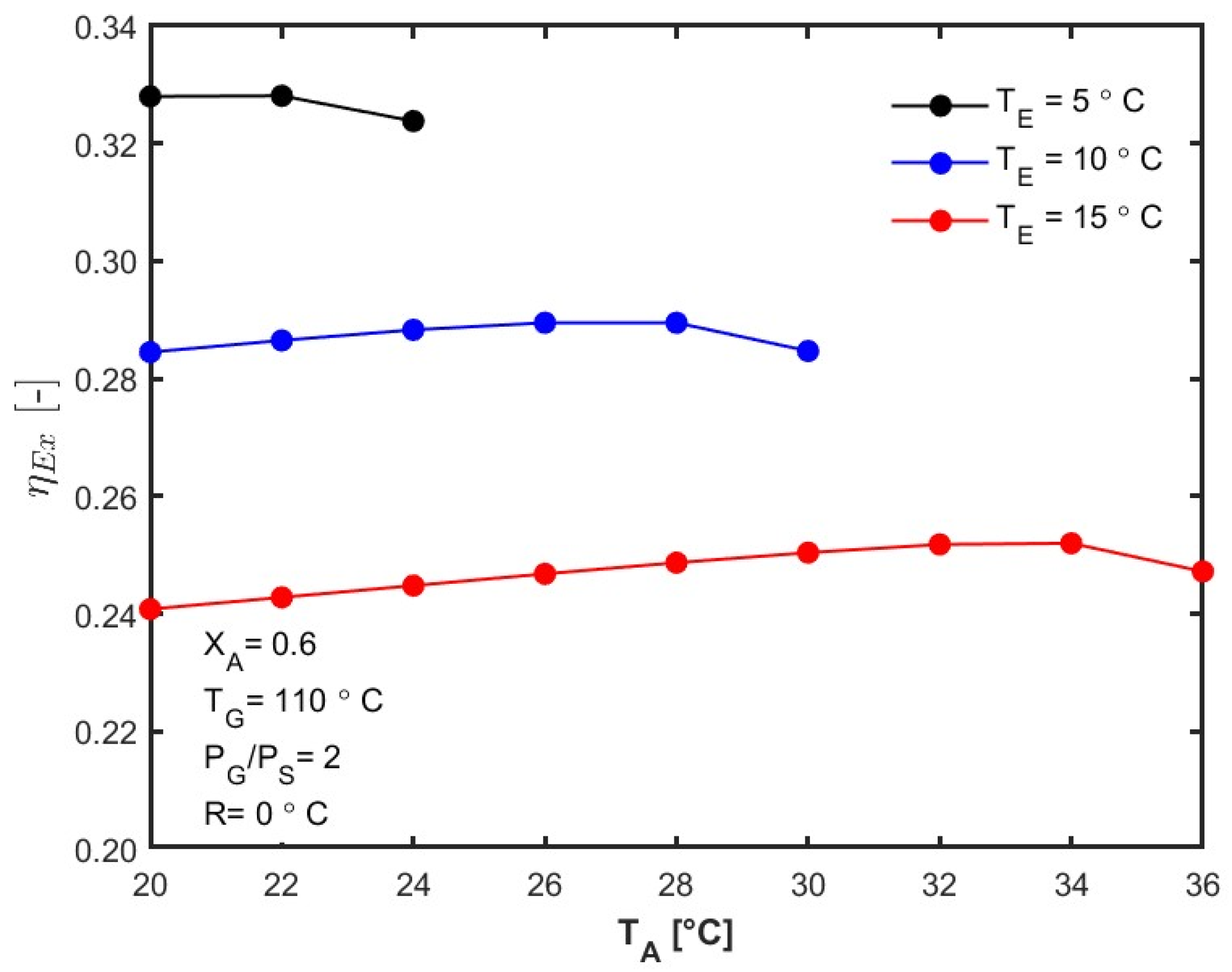
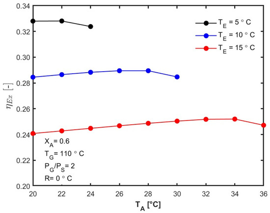
Figure 7 shows the ηEx behavior as a function of the absorber temperature for different evaporation temperatures. It can be seen that the ηEx efficiency shows similar behavior to the EUF since it increases as TA rises, reaching a maximum point, and then decreases when the temperature of the fluid coming from the precooler is almost equal to the outlet evaporator temperature. For an absorption temperature of 30 °C and evaporating at 10 °C, the difference in temperatures at the inlet and outlet of the evaporator is only 2 °C. Likewise, for TE = 10 °C, the exergy efficiency can be improved by 1.7% with an increase of 8 °C in TA, going from 20 to 28 °C.
Figure 7.
Exergy efficiency as a function of TA.
4.3. Analysis of the Evaporator Temperature (TE)
Figure 8 shows the cooling load and power produced as a function of TE for different increments in the reheating temperature. It can be seen that when TE increases, the cooling load produced by the system also increases since the fluid can remove a higher amount of heat from the evaporator. Reheating the fluid before it enters the turbine enhances the power output of this component. For example, at an evaporation temperature of 10 °C, the system without reheating produces 80.31 kW of power, whereas reheating by 20 °C increases the power to 86.19 kW. It can be observed that the turbine power remains constant as TE increases since the condenser temperatures remain constant, maintaining the turbine outlet pressure at a constant value. In this way, the condenser separates the power generation process from the cooling production in the system. When TE increases from 4 °C to 16 °C, the cooling load increases by approximately 4.5%, from 1171 kW to 1221 kW.
Figure 8.
Cooling load and power produced by the turbine as a function of TE.
Figure 9 shows the behavior of the EUF as a function of TE for different increments in the reheating temperature. It can be observed that as the cooling effect produced by the system increases with increasing TE, the EUF also increases. For the case of R = 0, the EUF increases by 3.67% when TE increases from 4 °C to 16 °C. However, when R = 20 °C and TE = 10 °C, the EUF decreases almost 2%, dropping from 0.57 to 0.56. This decrease is related to the fact that the energy supplied to the system is greater than the benefit obtained from the power produced by the turbine.
Figure 9.
Energy utilization factor as a function TE.
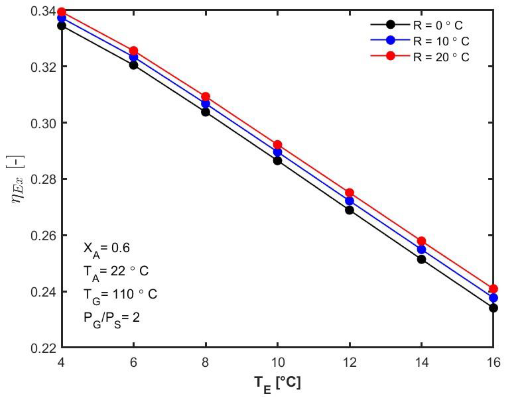
Figure 10 shows that the ηEx decreases as TE increases, regardless of the level of reheating. The ηEx is similar for the different values of R. Although the turbine power increases by increasing R, the system’s irreversibilities also increase; hence, the ηEx does not vary significantly.
Figure 10.
Exergy efficiency as a function of TE.
4.4. Irreversibilities Produced by Component
Figure 11 shows the irreversibilities produced for each of the system components under the conditions of TA = 25 °C, TE = 5 °C and TG = 100 °C. These were determined through an optimization process where an algorithm developed in Python was used, which combines a global optimization method (Differential Evolution (DE)) and a local optimization method (Limited-memory Broyden–Fletcher–Goldfarb–Shanno with Box constraints (L-BFGS)). DE was applied to determine the global minimum in terms of total exergy destruction, and once this value was obtained, the L-BFGS method refined the solution to achieve a more accurate result. An analysis conducted under the operating conditions of minimum exergy destruction obtained through optimization determined that the components contributing most to the system’s irreversibilities are the generator and the absorber, with contributions of 132.6 kW and 99.69 kW, respectively. These results were expected, as in these components, not only does a phase change occur, which is associated with irreversibilities, but there is also a contribution of chemical exergy due to the separation and absorption of the components of the mixture.
Figure 11.
Irreversibilities produced by components.
In a practical applications, irreversibilities can be minimized by reducing the operating temperature ranges of the heat exchangers (to limit thermal gradients), minimizing pressure losses in components and connections through optimized design or maintenance, and selecting high-efficiency equipment.
Table 4 shows the operating conditions, cooling load, power produced, as well as the EUF, exergy efficiency and total irreversibilities when there is the lowest exergy destruction.
Table 4.
Operating parameters for minimum exergy destruction.
4.5. Discussion of the Results
As can be seen from the results section, the cooling loads produced by the system are considerably higher than the power produced, and while the cooling load considerably increases at high values of TG, the EUF, WT, and ηEX decrease at high TG values; the reason why must be adequately chosen depending of the needs of each specific system application. Regarding TA, high values of this temperature cause a considerable decrease in cooling production, but it does not affect the power produced by the turbine since it just depends on the expansion process through it, that is, it only depends on the temperatures and pressures of the reheater exit and the condenser.
On the other hand, comparing the proposed system with others mentioned in the introduction section, it is important to mention that one of the main advantages of the proposed model is its simplicity in terms of the number of elements utilized in the cycle. For instance, the one proposed by Shankar et al. [26] has a higher number of elements that could result in high costs and excessive size. Another substantial difference is that, unlike other studies reported, in the present system, the ammonia contained in the solutions leaving the generator (state 4) and the rectifier (state 12) is used to increase the cooling load produced in the evaporator.
Regarding the comparison of the cooling loads and the power produced by the systems, it was not possible to compare them under specific conditions, since these change for all the systems; however, the ratio of the cooling power to the total power supplied by the system (QE/WT) was determined for some of the studies reported. It was found that for the system proposed by Shankar and Srinivas [27], the ratio was 0.13, and for the system proposed by Rivera et al. [30], the value was 5.8, while for the proposed model, the ratio was 9.0. This value is considerably higher than that of the other systems, indicating that the proposed system can produce a considerably higher cooling effect than the other systems. This is a good advantage if the main objective of the proposed system is the production of cold and power production. A future study will consider integrating a second (low-pressure) turbine to produce more power and maintain high cooling production, although this change will make a more complex system.
5. Case Study
5.1. Description of the Study Area
The study area is located in the Cerritos Colorados geothermal field within the volcanic caldera known as “La primavera” in the state of Jalisco, Mexico [3] (see Figure 12). Physiographically, it is located in the overlap zone of two floristic provinces: Sierra Madre Occidental and Sierras Meridionales or the Trans-Mexican Volcanic Belt (CVTM), which is one of the volcanic reliefs with the greatest morphological richness in Mexico [39]. This field has 12 geothermal wells drilled, inoperative since the 1980s, which have the potential to be used for various applications [40].
Figure 12.
Location of the study area. Modified from [40].
For the present study, well PR-5 is proposed because it is the closest well to a rural community to reduce distribution pipeline costs. The well has coordinates 654,318.74 m E 2,284,398.54 m N, a reported depth of 1215 m and a well stabilization temperature of 270 °C [3].
Saucedo et al. [41] proposed the use of a thermodynamic absorption refrigeration cycle, using the energy from the Cerritos Colorados geothermal field as a thermal source. The proposed cooling system was designed for the preservation of milk inside a cold chamber in the community of Ejido Adolfo López Mateos, since, in this region, the milking of dairy cattle is one of the main economic activities, and due to limited access to electricity for the use of conventional refrigeration systems, many losses occur due to the decomposition of the product. It is important to mention that, after milking, the milk must be cooled to a temperature of 10 °C in less than two hours to avoid its decomposition [42].
5.2. Design Parameters
The cooling system must have the capacity to remove 113 kW of thermal energy from the cold chamber. This energy is the result of the sum of the various thermal loads that affect the process, including the thermal loads of infiltration, the thermal load of the product, and the loads related to the convective processes. Table 5 presents the storage characteristics of milk, as well as some of its properties that allow the determination of the thermal load of the product.
Table 5.
Milk storage conditions.
The system proposed in this study not only has the capacity to produce the cooling required for milk preservation but also has the capacity to generate power, which can be used for diverse applications. To determine the system’s performance, the operating parameters shown in Table 6 are used to determine both the EUF and the ηEx.
Table 6.
Conditions for system evaluation.
With single-effect and double-effect cooling systems, COPs of 0.91 and 1.8 can be obtained, respectively, while with the proposed system for the simultaneous production of power and cooling, the EUF is 0.54. Table 7 shows the main parameters obtained with the proposed system.
Table 7.
Main results of the proposed system and the double-effect system.
The results show that the proposed system is suitable for preserving milk while simultaneously producing electricity for diverse uses in the rural community.
6. Conclusions
A novel system for the simultaneous production of power and cooling operating with geothermal energy was modeled, and a sensitivity analysis was conducted as a function of the main system temperatures.
The energy utilization factor values varied between 0.31 and 0.60, while the exergy efficiency varied from 0.09 to 0.375 depending on the generator and evaporator temperatures.
The irreversibility analysis showed that the generator and the absorber had the highest system irreversibilities, reaching values of 132.6 kW and 99.69 kW, respectively.
Throughout an optimization process, the irreversibilities were minimized, and the maximum values of the energy utilization factor and the exergy efficiency were 0.54 and 0.37, respectively.
From the case study, it was concluded that by using geothermal energy at 120 °C, the proposed system could produce 113 kW, reaching a minimum temperature of −10 °C, cooling enough to preserve 3750 L of milk every day while producing 12.53 kW of power, reaching an energy utilization factor of 0.54.
When compared with similar systems, the proposed system produces considerably more cooling than the other proposed systems, which is an advantage; however, the power production is relatively low.
Therefore, future studies will consider improving the power production by incorporating a second reheater to reheat the ammonia vapor from the separator and to connect it to the turbine inlet or by adding a low-pressure turbine fed with the ammonia vapor from the separator. Both changes will increase the power produced by the system, although the system will be more complex and expensive.
Author Contributions
Conceptualization, W.R., A.P.-R. and J.S.-V.; methodology, W.R., A.P.-R., J.S.-V. and G.L.G.-U.; software, A.P.-R. and J.S.-V.; validation, A.P.-R.; investigation, W.R., G.L.G.-U., A.P.-R. and J.S.-V.; writing—original draft preparation, W.R., G.L.G.-U., A.P.-R. and J.S.-V.; writing—review and editing, W.R., G.L.G.-U., A.P.-R. and J.S.-V.; visualization, A.P.-R.; supervision, W.R. and G.L.G.-U.; project administration: W.R. All authors have read and agreed to the published version of the manuscript.
Funding
This research received no external funding.
Data Availability Statement
The dataset is available upon request from the authors.
Acknowledgments
Alejandro Pacheco acknowledges the financial support provided by CONAHCYT through the postdoctoral program. Juliana Saucedo acknowledges CONAHCYT for the support given through the “Investigadores por México” program. Wilfrido Rivera acknowledges the financial support provided by CONAHCYT through the sabbatical program “Estancias Sabáticas Vinculadas a la Consolidación de Grupos de Investigación”.
Conflicts of Interest
The authors declare no conflicts of interest.
Nomenclature
| Abbreviations | |
| BE-ERC | Bi-Evaporator Ejector Refrigeration Cycle |
| ERC | Ejector Refrigeration Cycle |
| EUF | Energy Utilization Factor |
| GSHP | Ground Source Heat Pump |
| ORC | Organic Rankine Cycle |
| Letters and Subscripts | |
| A | Absorber |
| Amb | Ambient |
| C | Condenser |
| E | Evaporator |
| Ec | Economizer |
| Ex | Exergetic |
| HE | Heat exchanger |
| G | Generator |
| P | Pump, Production |
| PC | Precooler |
| R | Recitifier |
| RH | Reheater |
| S | Separator, storage |
| T | Turbine |
| V | Valve |
| Thermodynamic Properties | |
| Cp | Specific Heat |
| h | Specific Enthalpy (kJ/kg) |
| I | Irreversibilities (KW) |
| s | Specific entropy (kJ/kg K) |
| T | Temperature (°C) |
| Tn | Tons of cooling |
| W | Watts |
| Symbol | |
| Efficiency | |
| Mass Flow Rate (kg/s) | |
| Heat (kW) | |
| Power (kW) | |
| RH | Temperature increase (°C) |
References
- IRENA. Geothermal. Available online: https://www.irena.org/Energy-Transition/Technology/Geothermal-energy (accessed on 18 December 2024).
- Sharmin, T.; Khan, N.R.; Akram, S.; Ehsan, M.M. A State-of-the-Art Review on Geothermal Energy Extraction, Utilization, and Improvement Strategies: Conventional, Hybridized, and Enhanced Geothermal Systems. Int. J. Thermofluids 2023, 18, 100323. [Google Scholar] [CrossRef]
- Gutierrez-Negrin, L.C.A. The La Primavera, Jalisco, Mexico, Geothermal Field; Geothermal Resources Council: Palm Springs, CA, USA, 1988; pp. 161–165. [Google Scholar]
- SENER. P R O D E S E N 2 0 2 4-2 0 3 8. Available online: https://www.cenace.gob.mx/Docs/16_MARCOREGULATORIO/Prodecen/20%202024-2038%20Cap%C3%ADtulos%201%20al%206.pdf (accessed on 20 December 2024).
- Lund, J.W.; Toth, A.N. Direct utilization of geothermal energy 2020 worldwide review. Geothermics 2021, 90, 101915. [Google Scholar] [CrossRef]
- Alsagri, A.S.; Chiasson, A.; Shahzad, M.W. Geothermal Energy Technologies for Cooling and Refrigeration Systems: An Overview. Arab. J. Sci. Eng. 2022, 47, 7859–7889. [Google Scholar] [CrossRef]
- Ahmed, A.A.; Assadi, M.; Kalantar, A.; Sliwa, T.; Sapińska-Śliwa, A. A Critical Review on the Use of Shallow Geothermal Energy Systems for Heating and Cooling Purposes. Energies 2022, 15, 4281. [Google Scholar] [CrossRef]
- Chen, Z.; Li, J.; Tang, G.; Zhang, J.; Zhang, D.; Gao, P. High-efficiency heating and cooling technology with embedded pipes in buildings and underground structures: A review. Renew. Sustain. Energy Rev. 2024, 192, 114209. [Google Scholar] [CrossRef]
- Romanov, D.; Leiss, B. Geothermal energy at different depths for district heating and cooling of existing and future building stock. Renew. Sustain. Energy Rev. 2022, 167, 112727. [Google Scholar] [CrossRef]
- Figueira, J.S.; Gil, A.G.; Vieira, A.; Michopoulos, A.K.; Boon, D.P.; Loveridge, F.; Cecinato, F.; Götzl, G.; Epting, J.; Zosseder, K.; et al. Shallow geothermal energy systems for district heating and cooling networks: Review and technological progression through case studies. Renew. Energy 2024, 236, 121436. [Google Scholar] [CrossRef]
- Walch, A.; Li, X.; Chambers, J.; Mohajeri, N.; Yilmaz, S.; Patel, M.; Scartezzini, J.-L. Shallow geothermal energy potential for heating and cooling of buildings with regeneration under climate change scenarios. Energy 2022, 244, 123086. [Google Scholar] [CrossRef]
- Abugabbara, M.; Chaulagain, N.; Iarkov, I.; Janson, U.; Javed, S. Assessing the potential of energy sharing through a shallow geothermal heating and cooling network. Renew. Energy 2024, 231, 120893. [Google Scholar] [CrossRef]
- Ahmadi, A.; Assad, M.E.H.; Jamali, D.; Kumar, R.; Li, Z.; Salameh, T.; Al-Shabi, M.; Ehyaei, M. Applications of geothermal organic Rankine Cycle for electricity production. J. Clean. Prod. 2020, 274, 122950. [Google Scholar] [CrossRef]
- Kabeyi, M.J.B.; Olanrewaju, O.A. Geothermal wellhead technology power plants in grid electricity generation: A review. Energy Strat. Rev. 2022, 39, 100735. [Google Scholar] [CrossRef]
- Loni, R.; Mahian, O.; Najafi, G.; Sahin, A.Z.; Rajaee, F.; Kasaeian, A.; Mehrpooya, M.; Bellos, E.; le Roux, W.G. A critical review of power generation using geothermal-driven organic Rankine cycle. Therm. Sci. Eng. Prog. 2021, 25, 101028. [Google Scholar] [CrossRef]
- Feili, M.; Rostamzadeh, H.; Ghaebi, H. A new high-efficient cooling/power cogeneration system based on a double-flash geothermal power plant and a novel zeotropic bi-evaporator ejector refrigeration cycle. Renew. Energy 2020, 162, 2126–2152. [Google Scholar] [CrossRef]
- Wang, Y.; Yu, L.; Nazir, B.; Zhang, L.; Rahmani, H. Innovative geothermal-based power and cooling cogeneration system; Thermodynamic analysis and optimization. Sustain. Energy Technol. Assess. 2021, 44, 101070. [Google Scholar] [CrossRef]
- Çetin, T.H.; Zhu, J.; Ekici, E.; Kanoglu, M. Thermodynamic assessment of a geothermal power and cooling cogeneration system with cryogenic energy storage. Energy Convers. Manag. 2022, 260, 115616. [Google Scholar] [CrossRef]
- Ghorbani, S.; Deymi-Dashtebayaz, M.; Dadpour, D.; Delpisheh, M. Parametric study and optimization of a novel geothermal-driven combined cooling, heating, and power (CCHP) system. Energy 2023, 263, 126143. [Google Scholar] [CrossRef]
- Goswami, D.Y. Solar thermal power technology: Present status and ideas for the future. Energy Sources 1998, 20, 137–145. [Google Scholar] [CrossRef]
- Vijayaraghavan, S.; Goswami, D.Y. On evaluating efficiency of a combined power and cooling cycle. J. Energy Resour. Technol. 2003, 125, 221–227. [Google Scholar] [CrossRef]
- Feng, X.; Yogi Goswami, D.; Bhagwat, S.S. A combined power/cooling cycle. Energy 2000, 25, 233–246. [Google Scholar]
- Hasan, A.A.; Goswami, D.; Vijayaraghavan, S. First and Second Law Analysis of a New Power and Refrigeration Thermodynamic Cycle Using a Solar Heat Source. 2002. Available online: www.elsevier.com/locate/solener (accessed on 20 December 2024).
- Tamm, G.; Goswami, D.Y.; Lu, S.; Hasan, A.A. Novel combined power and cooling thermodynamic cycle for low temperature heat sources, part I: Theoretical investigation. J. Sol. Energy Eng. Trans. ASME 2003, 125, 218–222. [Google Scholar] [CrossRef]
- Erickson, D.C.; Anand, G.; Kyung, I. Heat-Activated Dual-Function Absorption Cycle. ASHRAE Trans. 2004, 110, 515–524. [Google Scholar]
- Shankar, R.; Srinivas, T. Solar Thermal Based Power and Vapor Absorption Refrigeration System. Procedia Eng. 2012, 38, 730–736. [Google Scholar] [CrossRef][Green Version]
- Shankar, R.; Srinivas, T. Development and analysis of a new integrated power and cooling plant using LiBr-H2O mixture. Sadhana 2014, 39, 1547–1562. [Google Scholar] [CrossRef]
- Shankar, R.; Srinivas, T. Parametric optimization of vapor power and cooling cycle. In Energy Procedia; Elsevier Ltd.: Amsterdam, The Netherlands, 2014; pp. 135–141. [Google Scholar] [CrossRef]
- Shankar, R.; Srinivas, T. Investigation on operating processes for a new solar cooling cogeneration plant. J. Sol. Energy Eng. Trans. ASME 2014, 136, 031016. [Google Scholar] [CrossRef]
- Rivera, W.; Sánchez-Sánchez, K.; Hernández-Magallanes, J.A.; Jiménez-García, J.C.; Pacheco, A. Modeling of novel thermodynamic cycles to produce power and cooling simultaneously. Processes 2020, 8, 320. [Google Scholar] [CrossRef]
- Hernández-Magallanes, J.A.; Domínguez-Inzunza, L.A.; Gutiérrez-Urueta, G.; Soto, P.; Jiménez, C.; Rivera, W. Experimental assessment of an absorption cooling system operating with the ammonia/lithium nitrate mixture. Energy 2014, 78, 685–692. [Google Scholar] [CrossRef]
- Hernández-Magallanes, J.; Heard, C.; Best, R.; Rivera, W. Modeling of a new absorption heat pump-transformer used to produce heat and power simultaneously. Energy 2018, 165, 112–133. [Google Scholar] [CrossRef]
- Pacheco-Reyes, A.; Rivera, W. Thermodynamic Cycles for the Simultaneous Production of Power and Cooling: A Comprehensive Review; John Wiley and Sons Ltd.: Hoboken, NJ, USA, 2021. [Google Scholar] [CrossRef]
- Axelsson, G. Sustainable geothermal utilization—Case histories; definitions; research issues and modelling. Geothermics 2010, 39, 283–291. [Google Scholar] [CrossRef]
- Rostamzadeh, H.; Gargari, S.G.; Namin, A.S.; Ghaebi, H. A novel multigeneration system driven by a hybrid biogas-geothermal heat source, Part I: Thermodynamic modeling. Energy Convers. Manag. 2018, 177, 535–562. [Google Scholar] [CrossRef]
- Bamisile, O.; Dongsheng, C.; Li, J.; Mukhtar, M.; Wang, X.; Duo, J.; Cao, R.; Huang, Q. An innovative approach for geothermal-wind hybrid comprehensive energy system and hydrogen production modeling/process analysis. Int. J. Hydrog. Energy 2022, 47, 13261–13288. [Google Scholar] [CrossRef]
- Niknam, P.H.; Talluri, L.; Fiaschi, D.; Manfrida, G. Sensitivity analysis and dynamic modelling of the reinjection process in a binary cycle geothermal power plant of larderello area. Energy 2021, 214, 118869. [Google Scholar] [CrossRef]
- Shankar, R.; Rivera, W. Analysis of an integrated thermal separation and flashing cooling cogeneration cycle. Appl. Therm. Eng. 2021, 190, 116773. [Google Scholar] [CrossRef]
- Mahood, G.A. Geological evolution of a pleistocene rhyolitic center — Sierra La Primavera, Jalisco, México. J. Volcanol. Geotherm. Res. 1980, 8, 199–230. [Google Scholar] [CrossRef]
- Saucedo-Velázquez, J.; Gutiérrez-Urueta, G.; Wong-Loya, J.A.; Molina-Rodea, R.; Franco, W.R.G. Cooling Potential for Single and Advanced Absorption Cooling Systems in a Geothermal Field in Mexico. Processes 2022, 10, 583. [Google Scholar] [CrossRef]
- Saucedo-Velázquez, J.; Gutiérrez-Urueta, G.; Pacheco-Reyes, A.; Rivera, W. Case study: Design of an absorption refrigeration system for milk preservation in Jalisco, Mexico. Case Stud. Therm. Eng. 2023, 44, 102866. [Google Scholar] [CrossRef]
- Hernandez Benedi, J.M. LA REFRIGERACION DE LA LECHE; Ministerio De Agricultura: Madrid, Spain, 1975; Available online: https://www.mapa.gob.es/ministerio/pags/biblioteca/hojas/hd_1975_04-05.pdf (accessed on 20 December 2024).
Disclaimer/Publisher’s Note: The statements, opinions and data contained in all publications are solely those of the individual author(s) and contributor(s) and not of MDPI and/or the editor(s). MDPI and/or the editor(s) disclaim responsibility for any injury to people or property resulting from any ideas, methods, instructions or products referred to in the content. |
© 2025 by the authors. Licensee MDPI, Basel, Switzerland. This article is an open access article distributed under the terms and conditions of the Creative Commons Attribution (CC BY) license (https://creativecommons.org/licenses/by/4.0/).











