Concrete Mix Design of Recycled Concrete Aggregate (RCA): Analysis of Review Papers, Characteristics, Research Trends, and Underexplored Topics
Abstract
1. Introduction
1.1. Background
1.2. Problem Statement
1.3. Significance of the Review
2. Methodology
- Exclusion criteria:
- Non-technical review papers.
- General arguments.
- Papers based on another study.
- Conference review papers.
- Investigations lacking adequate information regarding the mix design.
3. Qualitative Analysis
4. Recycle Concrete Aggregate
4.1. Definition of RCA
4.2. Production Process of RCA
4.3. Mechanical Properties of RCA
5. Mix Proportions
5.1. General Mix Design
5.2. RCA Concrete with By-Products
5.3. Wastes
5.4. Fine-RCA
5.5. Geopolymer
5.6. Self-Consolidating Concrete
5.7. Other Mix Designs with RCA for 3D Concrete Printing, Pervious Concrete, and Ultra-High-Performance Concrete
6. Technical Performance Aspect
6.1. Durability
6.2. Methods to Improve RCA Quality and Reliability
7. Environmental Impact Aspect
7.1. Life Cycle Assessment
7.2. Circular Economy
8. Discussions and Implications
9. Conclusions
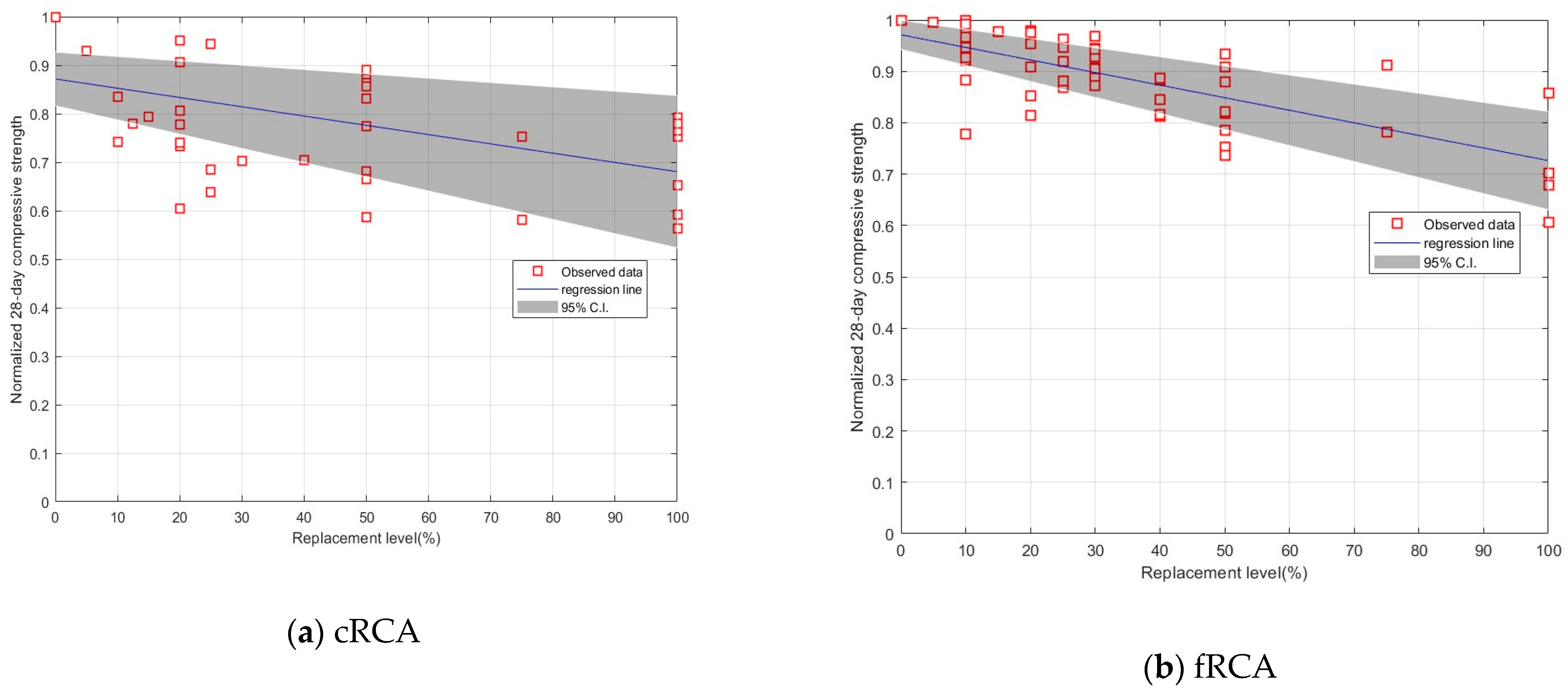
- Performance and durability: RCA concrete demonstrates marginal decreases in mechanical qualities (e.g., compressive and tensile strength) and durability relative to natural aggregate concrete. Increasing the 1% replacement level reduces the compressive strength by 0.1913% for cRCA and 0.2418% for fRCA (equivalent to a 26.4% difference). Nevertheless, these deficiencies can be alleviated by optimal mix designs, enhanced treatment techniques (e.g., CO2 mineralization and surface coatings), and the use of SCMs such as metakaolin and silica fume.
- Environmental impact: LCA indicates that RCA markedly decreases the carbon footprint, energy use, and landfill demands associated with concrete manufacturing. The ideals of a circular economy are further reinforced by the efficient incorporation of RCA into the building value chain.
- Innovative applications: Research trends underscore the potential of RCA in specific applications such as SCC, pervious concrete, and geopolymer systems. The implementation of modern digital technologies such as BIM, digital twins, and machine learning can enhance the optimization of RCA consumption and carbon credit accounting.
Author Contributions
Funding
Data Availability Statement
Conflicts of Interest
Abbreviations
| 3DCP | 3D concrete printing |
| BA | bottom ash |
| BIM | Building Information Modelling |
| BOQ | Bill of Quantities |
| CDW | construction and demolition waste |
| cRCA | coarse recycle concrete aggregate |
| eCO2 | embodied CO2 |
| EPA | U.S. Environmental Protection Agency |
| EPD | Environmental Product Declarations |
| EPS | expanded polystyrene |
| FA | fly ash |
| FIB | International Federation for Structural Concrete |
| fRCA | fine recycle concrete aggregate |
| ITZ | interfacial transition zone |
| LCA | Life Cycle Assessment |
| MK | metakaolin |
| NA | natural aggregate |
| OPC | Ordinary Portland Cement |
| PET | polyethylene terephthalate |
| PRISMA | Preferred Reporting Items for Systematic Reviews and Meta-Analyses |
| PU | polyurethane |
| RCA | recycle concrete aggregate |
| RHA | rice husk ash |
| SCC | self-consolidating concrete |
| SCM | supplementary cementing material |
| SF | silica fume |
| UHPC | ultra-high-performance concrete |
| UN-SDG | United Nation-Sustainable Development Goals |
Appendix A. Quantity and Classification of Analyzed Papers
| Authors | Quality of Papers Reviewed | Classification of Review |
| [140] | 85 | Narrative |
| [155] | 111 | Narrative |
| [130] | 142 | Systematic |
| [237] | 162 | Narrative |
| [154] | 133 | Narrative |
| [105] | 192 | Narrative |
| [4] | 210 | Systematic |
| [61] | 90 | Meta-analysis |
| [63] | 253 | Meta-analysis |
| [89] | 108 | Meta-analysis |
| [58] | 174 | Narrative |
| [87] | 171 | Narrative |
| [238] | 30 | Meta-analysis |
| [62] | 162 | Narrative |
| [239] | 97 | Narrative |
| [123] | 159 | Meta-analysis |
| [136] | 108 | Meta-analysis |
| [121] | 107 | Narrative |
| [240] | 103 | Narrative |
| [59] | 95 | Narrative |
| [241] | 57 | Narrative |
| [83] | 196 | Meta-analysis |
| [81] | 172 | Meta-analysis |
Appendix B. Baseline Characteristics of Reviews Assessing Concrete Mix Design Containing RCA
| Authors | Title | Source Title | Outcome | Suggestion | Future Research |
| [140] | Recycling solid waste to produce eco-friendly ultra-high-performance concrete: A review of durability, microstructure and environment characteristics | Science of the Total Environment | Typical UHPC generated high carbon and consume natural resources | Internal curing, filling, pozzolan can used to reduce large ITZ and microcracks from RCA | Performance in aggressive environments, design methods and testing standards |
| [155] | Mechanical Properties and Durability of Geopolymer Recycled Aggregate Concrete: A Review | Polymers | Better quality of RCA geopolymer can be made by changing the curing temperature, using different precursor materials, adding fibers and nanoparticles, and setting optimal mix ratios | Use several ingredients in geopolymer is better than using one added ingredient | Treatment for removing mortar, effects from adding MK, regulation establishment |
| [130] | Roles of carbonated recycled fines and aggregates in hydration, microstructure and mechanical properties of concrete: A critical review | Cement and Concrete Composites | Through physical interlocking and chemical bonding, carbonated recycled aggregates improve concrete’s interfacial transition zone micromechanical characteristics. | RCA concrete varies from region to region and thus reasonable transportation network and high-efficient carbonation process are essential | low-carbon concrete with recycled concrete as a carbon sink |
| [237] | Permeable Pavement Systems for Effective Management of Stormwater Quantity and Quality: A Bibliometric Analysis and Highlights of Recent Advancements | Sustainability (Switzerland) | Innovative permeable pavement Systems using recycled aggregates have good mechanical and hydrologic qualities and were more sustainable. | Lack of models to predict their long-term performance. | Incorporate both model and experimental simulations to simulate field experiments |
| [154] | Review of the Strengthening Methods and Mechanical Properties of Recycled Aggregate Concrete (RAC) | Crystals | Performance was improved by adding superplasticizer and SF | Each RAC mix design method has advantages such that consensus between methodologies and standardized RAC mix design would be helpful | Shotcrete containing RCA and its alkali-aggregate reaction |
| [105] | A State-of-the-Art Review on the Incorporation of Recycled Concrete Aggregates in Geopolymer Concrete | Recycling | RCA derived from concrete lab specimens, CDW landfilled, and demolished buildings. Specific gravity, density, dry density, saturated density, bulk density, and apparent density of RCA are less than NA | Alumina silicates like slag and MK, the Na2SiO3/NaOH ratio, and the alkali-activator-to-binder ratio improve hardened geopolymer concrete. However, increasing the ratios reduce its workability. | SCC, effect of RCA on their compressive strength, optimum amount of their mix components |
| [4] | Properties of geopolymers sourced from construction and demolition waste: A review | Journal of Building Engineering | Due to the many geopolymer mix design characteristics, trial-and-error is still the most typical method. | fRCA, notably those under 75 μm, have higher compressive strengths, and thermal curing at 60–90 °C improves mechanical performance and durability. | possibility of efflorescence formation or formation of salt on the surface of concrete |
| [61] | A scientometric analysis approach to analyze the present research on recycled aggregate concrete | Journal of Building Engineering | RCA concrete has inferior mechanical and durability performance than normal concrete. Improvements methods can improve RCA concrete: mixing process modification, pre-coating and adding admixtures | Due to its poor mechanical and durability features, high improving process costs, and lack of standards for RCA processing, manufacture, and mix design, RCA concrete is yet not suitable for large-scale applications. | Large-scale production and applications and economic viability |
| [63] | Life cycle assessment of recycled aggregate concrete on its environmental impacts: A critical review | Construction and Building Materials | Numerous inconsistencies and uncertainties existing in LCA processes that avoid LCA results from comparisons | Cement manufacture dominates concrete’s environmental impact, followed by mix design and raw material treatment technique. LCA phase selections, system boundary, allocation rule, LCI, and LCIA methodology are subjective, creating further ambiguities that prevent study comparisons. | Mix design modifications and LCA procedure inconsistencies might create a holistic and multi-criteria study for comparison. |
| [89] | Review of concrete with expanded polystyrene (EPS): Performance and environmental aspects | Journal of Cleaner Production | Many product types such as concrete brick, lightweight masonry mortar, rendering mortar, SCC, and gypsum-based materials can be added | Cement-based systems with polymers are currently considered unsustainable. The polymer releases hazardous gas during combustion. | Data-driven techniques and additive manufacturing |
| [58] | Properties of recycled aggregate concrete designed with equivalent mortar volume mix design | Construction and Building Materials | Adoption of the equivalent mortar volume method leads to savings in raw materials. | Environmental pollution can be mitigated with the equivalent mortar volume mix design | Accurately measuring adhered mortar content from RCA |
| [87] | Crumb rubber in concrete—the barriers for application in the construction industry | Infrastructures | Concrete has high dampness ratio, which is suitable for railway sleepers, seismic-prone constructions, concrete columns and bridges due to its vibration absorption and moisture absorption. | Barriers of utilizing RCA rubber (1) the cost of rubber recycling, (2) mechanical properties reduction, (3) insufficient research about leaching criteria and ecotoxicological risks and (4) recyclability of rubber | Study the cost-effectiveness of various surface treatment procedures. |
| [238] | Use of fine recycled concrete aggregates in concrete: A critical review | Journal of Building Engineering | Challenged properties of fRCA are identified as their high-water absorption, moisture state, agglomeration of particles and adhered mortar. | More continuity in terms of chemistry | Concrete mix design must account for fRCA’s limiting features using advanced characterisation and concrete technology methods. |
| [62] | Mortars with recycled aggregates from building-related processes: A ‘four-step’ methodological proposal for a review | Sustainability (Switzerland) | Mortars were mostly characterized by their physical and mechanical properties, with limited durability and thermal evaluations. | Lack of confidence in RCA, a survey could be conducted involving the main stakeholders of the building process—designers, end customers, construction companies, and producers—to investigate, by questionnaire, opinions, confidence, and difference about waste reuse. | Distinguishment of RCA types best for rendering mortars or lighter applications. |
| [239] | A review of 3D printed concrete: Performance requirements, testing measurements and mix design | Construction and Building Materials | Recycled sand can be applied in 3DCP to improve its performance | Recycled sand significantly affected early mechanical behavior. Green strength and buildability increased while open time decreased. | Recycled materials need to be considered in their mix design |
| [123] | Influence of design parameters on fresh properties of self-compacting concrete with recycled aggregate—a review | Materials | SCC with RCA has good structural qualities according to EFNRARC criteria. | RCA would improve concrete manufacturing sustainability and benefit construction and the CE. | Its qualities and the creation of RA concrete guidelines and standards |
| [136] | A review of sustainable pervious concrete systems: Emphasis on clogging, material characterization, and environmental aspects | Construction and Building Materials | Full replacement of NA with RA increased waste recycling to 73% by volume and decreased carbon emissions by 24%. | Permeability depended more on portland cement mix porosity than aggregate type. | Their long-term performance evaluation |
| [121] | Self-compacting concrete manufactured with recycled concrete aggregate: An overview | Journal of Cleaner Production | RCA may make a good SCC using meticulous designs for optimal performance. | The higher amount of RCA implies higher dispersion in the hardened performance. | combination of SCC and RCA is still needed |
| [240] | Alternative fine aggregates in production of sustainable concrete- A review | Journal of Cleaner Production | Concrete with RCA increases economic, sustainability, and social benefits. | Mineral admixtures including FA, SF, micro silica, MK, and others improve concrete mechanics and durability regardless of alternative fine aggregate type. | Environmental imbalance, waste management, and fRCA should be aware. Needs to gather experimental data and create guidelines/codes, policies |
| [59] | The potency of recycled aggregate in new concrete: a review | Construction Innovation | RCA contributes less strength than NA. RA’s mortar increases water absorption and lowers density compared to NA’s. | Controlled RCA quantity, mixing and proportioning procedures, admixtures, and strengthening ingredients like steel fibres can improve their mechanical and durability. | Construct a mix design for RAC that incorporates all RA traits like correct gradation. |
| [241] | A review of life cycle assessment of recycled aggregate concrete | Construction and Building Materials | LCA issues include mixture design approach, functional unit selection, inventory allocation, CO2 uptake, and recycled aggregate transport distance. | When comparing concrete with NA and RCA environmental impact, distance from transportation can be a key factor | Investigate an allocation approach that combines quality, mass, and market pricing. |
| [83] | Recycling waste materials in geopolymer concrete | Clean Technologies and Environmental Policy | Geopolymeric binders are stronger due to their chemical matrix than aggregate interaction. | Potassium silicate solutions are more user-friendly and thus better for industry uptake. | Extremely changeable character of waste materials and mix designs that use locally avail |
| [81] | A review on performance of waste materials in self-compacting concrete (SCC) | Jurnal Teknologi | RCA increases water absorption and decreases compressive strength in SCC. | Fresh and hardened SCC should match. | Exploring design efficiency, practicability, and economic worth |
Appendix C. PRISMA Checklist
| Section and Topic | Item # | Checklist Item | Location Where Item Is Reported |
| TITLE | |||
| Title | 1 | Identify the report as a systematic review. | Page 1 |
| ABSTRACT | |||
| Abstract | 2 | See the PRISMA 2020 for Abstracts checklist. | Page 1 |
| INTRODUCTION | |||
| Rationale | 3 | Describe the rationale for the review in the context of existing knowledge. | Page 4 |
| Objectives | 4 | Provide an explicit statement of the objective(s) or question(s) the review addresses. | Page 3 |
| METHODS | |||
| Eligibility criteria | 5 | Specify the inclusion and exclusion criteria for the review and how studies were grouped for the syntheses. | Page 4–5 |
| Information sources | 6 | Specify all databases, registers, websites, organisations, reference lists and other sources searched or consulted to identify studies. Specify the date when each source was last searched or consulted. | Page 4 |
| Search strategy | 7 | Present the full search strategies for all databases, registers and websites, including any filters and limits used. | Table 1 |
| Selection process | 8 | Specify the methods used to decide whether a study met the inclusion criteria of the review, including how many reviewers screened each record and each report retrieved, whether they worked independently, and if applicable, details of automation tools used in the process. | Figure 1 |
| Data collection process | 9 | Specify the methods used to collect data from reports, including how many reviewers collected data from each report, whether they worked independently, any processes for obtaining or confirming data from study investigators, and if applicable, details of automation tools used in the process. | Page 6 |
| Data items | 10a | List and define all outcomes for which data were sought. Specify whether all results that were compatible with each outcome domain in each study were sought (e.g., for all measures, time points, analyses), and if not, the methods used to decide which results to collect. | Section 2 |
| 10b | List and define all other variables for which data were sought (e.g., participant and intervention characteristics, funding sources). Describe any assumptions made about any missing or unclear information. | Section 2 | |
| Study risk of bias assessment | 11 | Specify the methods used to assess risk of bias in the included studies, including details of the tool(s) used, how many reviewers assessed each study and whether they worked independently, and if applicable, details of automation tools used in the process. | Section 2 |
| Effect measures | 12 | Specify for each outcome the effect measure(s) (e.g., risk ratio, mean difference) used in the synthesis or presentation of results. | Section 2 |
| Synthesis methods | 13a | Describe the processes used to decide which studies were eligible for each synthesis (e.g., tabulating the study intervention characteristics and comparing against the planned groups for each synthesis (item #5)). | Section 2 |
| 13b | Describe any methods required to prepare the data for presentation or synthesis, such as handling of missing summary statistics, or data conversions. | Section 2 | |
| 13c | Describe any methods used to tabulate or visually display results of individual studies and syntheses. | Figure 1 | |
| 13d | Describe any methods used to synthesize results and provide a rationale for the choice(s). If meta-analysis was performed, describe the model(s), method(s) to identify the presence and extent of statistical heterogeneity, and software package(s) used. | Section 2 | |
| 13e | Describe any methods used to explore possible causes of heterogeneity among study results (e.g., subgroup analysis, meta-regression). | Section 2 | |
| 13f | Describe any sensitivity analyses conducted to assess robustness of the synthesized results. | Section 2 | |
| Reporting bias assessment | 14 | Describe any methods used to assess risk of bias due to missing results in a synthesis (arising from reporting biases). | Section 2 |
| Certainty assessment | 15 | Describe any methods used to assess certainty (or confidence) in the body of evidence for an outcome. | Section 2 |
| RESULTS | |||
| Study selection | 16a | Describe the results of the search and selection process, from the number of records identified in the search to the number of studies included in the review, ideally using a flow diagram. | Figure 1 |
| 16b | Cite studies that might appear to meet the inclusion criteria, but which were excluded, and explain why they were excluded. | Section 2 | |
| Study characteristics | 17 | Cite each included study and present its characteristics. | Reference section |
| Risk of bias in studies | 18 | Present assessments of risk of bias for each included study. | Section 3 |
| Results of individual studies | 19 | For all outcomes, present, for each study: (a) summary statistics for each group (where appropriate) and (b) an effect estimate and its precision (e.g., confidence/credible interval), ideally using structured tables or plots. | Appendix A |
| Results of syntheses | 20a | For each synthesis, briefly summarise the characteristics and risk of bias among contributing studies. | Appendix A |
| 20b | Present results of all statistical syntheses conducted. If meta-analysis was done, present for each the summary estimate and its precision (e.g., confidence/credible interval) and measures of statistical heterogeneity. If comparing groups, describe the direction of the effect. | Appendix A | |
| 20c | Present results of all investigations of possible causes of heterogeneity among study results. | Appendix A | |
| 20d | Present results of all sensitivity analyses conducted to assess the robustness of the synthesized results. | Appendix A | |
| Reporting biases | 21 | Present assessments of risk of bias due to missing results (arising from reporting biases) for each synthesis assessed. | Section 2 |
| Certainty of evidence | 22 | Present assessments of certainty (or confidence) in the body of evidence for each outcome assessed. | Section 2 |
| DISCUSSION | |||
| Discussion | 23a | Provide a general interpretation of the results in the context of other evidence. | Figure 3 |
| 23b | Discuss any limitations of the evidence included in the review. | Section 2 | |
| 23c | Discuss any limitations of the review processes used. | Section 2 | |
| 23d | Discuss implications of the results for practice, policy, and future research. | Section 8 | |
| OTHER INFORMATION | |||
| Registration and protocol | 24a | Provide registration information for the review, including register name and registration number, or state that the review was not registered. | Section 2 |
| 24b | Indicate where the review protocol can be accessed, or state that a protocol was not prepared. | Section 2 | |
| 24c | Describe and explain any amendments to information provided at registration or in the protocol. | Section 2 | |
| Support | 25 | Describe sources of financial or non-financial support for the review, and the role of the funders or sponsors in the review. | Page 29 |
| Competing interests | 26 | Declare any competing interests of review authors. | Page 29 |
| Availability of data, code and other materials | 27 | Report which of the following are publicly available and where they can be found: template data collection forms; data extracted from included studies; data used for all analyses; analytic code; any other materials used in the review. | Page 29 |
References
- Mies, A.; Gold, S. Mapping the social dimension of the circular economy. J. Clean. Prod. 2021, 321, 128960. [Google Scholar] [CrossRef]
- Kim, J.; Sovacool, B.K.; Bazilian, M.; Griffiths, S.; Lee, J.; Yang, M.; Lee, J. Decarbonizing the iron and steel industry: A systematic review of sociotechnical systems, technological innovations, and policy options. Energy Res. Soc. Sci. 2022, 89, 102565. [Google Scholar] [CrossRef]
- Santamouris, M.; Vasilakopoulou, K. Present and future energy consumption of buildings: Challenges and opportunities towards decarbonisation. E-Prime-Adv. Electr. Eng. Electron. Energy 2021, 1, 100002. [Google Scholar] [CrossRef]
- Alhawat, M.; Ashour, A.; Yildirim, G.; Aldemir, A.; Sahmaran, M. Properties of geopolymers sourced from construction and demolition waste: A review. J. Build. Eng. 2022, 50, 104104. [Google Scholar] [CrossRef]
- Yang, M.; Chen, L.; Wang, J.; Msigwa, G.; Osman, A.I.; Fawzy, S.; Rooney, D.W.; Yap, P.-S. Circular economy strategies for combating climate change and other environmental issues. Environ. Chem. Lett. 2023, 21, 55–80. [Google Scholar] [CrossRef]
- Ellen MacArthur Foundation. Reimagining Our Buildings and Spaces for a Circular Economy. Available online: https://ellenmacarthurfoundation.org/topics/built-environment/overview (accessed on 31 March 2008).
- Hinton-Beales, D. EU Circular Economy Could Create Two Million Jobs by 2030. Available online: https://www.theparliamentmagazine.eu/news/article/eu-circular-economy-could-create-two-million-jobs-by-2030#:~:text=The%20commission%20has%20calculated%20that,economy%20also%20strengthens%20our%20security. (accessed on 31 March 2008).
- The Royal BAM Group. Circularity. Available online: https://www.bam.com/en/sustainability/circularity (accessed on 31 March 2008).
- Salmenperä, H.; Pitkänen, K.; Kautto, P.; Saikku, L. Critical factors for enhancing the circular economy in waste management. J. Clean. Prod. 2021, 280, 124339. [Google Scholar] [CrossRef]
- Turkyilmaz, A.; Guney, M.; Karaca, F.; Bagdatkyzy, Z.; Sandybayeva, A.; Sirenova, G. A comprehensive construction and demolition waste management model using PESTEL and 3R for construction companies operating in Central Asia. Sustainability 2019, 11, 1593. [Google Scholar] [CrossRef]
- Giorgi, S.; Lavagna, M.; Campioli, A. Guidelines for Effective and Sustainable Recycling of Construction and Demolition Waste. In Designing Sustainable Technologies, Products and Policies; Springer: New York, NY, USA, 2018; pp. 211–221. [Google Scholar]
- Asgari, A.; Ghorbanian, T.; Yousefi, N.; Dadashzadeh, D.; Khalili, F.; Bagheri, A.; Raei, M.; Mahvi, A.H. Quality and quantity of construction and demolition waste in Tehran. J. Environ. Health Sci. Eng. 2017, 15, 14. [Google Scholar] [CrossRef]
- Victar, H.C.; Waidyasekara, K.G.A.S. Circular economy strategies for waste management in Sri Lanka: A focus on demolitions and repurpose and material recovery and production stages. Waste Manag. Res. 2024, 42, 953–976. [Google Scholar] [CrossRef] [PubMed]
- Duangmanee, V.; Tuprakay, S.; Kongsong, W.; Prasittisopin, L.; Charoenrien, S. Influencing Factors in Production and Use of Recycle Concrete Aggregates (RCA) in Thailand. J. Inform. Technol. Manag. Innov. 2018, 5, 203–215. [Google Scholar]
- Kittinaraporn, W.; Tuprakay, S.; Prasittisopin, L. Effective Modeling for Construction Activities of Recycled Aggregate Concrete Using Artificial Neural Network. J. Constr. Eng. Manag. 2022, 148, 04021206. [Google Scholar] [CrossRef]
- Huang, B.; Wang, X.; Kua, H.; Geng, Y.; Bleischwitz, R.; Ren, J. Construction and demolition waste management in China through the 3R principle. Resour. Conserv. Recycl. 2018, 129, 36–44. [Google Scholar] [CrossRef]
- Sáez, P.V.; Osmani, M.A. diagnosis of construction and demolition waste generation and recovery practice in the European Union. J. Clean. Prod. 2019, 241, 118400. [Google Scholar] [CrossRef]
- Gherman, I.E.; Lakatos, E.S.; Clinci, S.D.; Lungu, F.; Constandoiu, V.V.; Cioca, L.I.; Rada, E.C. Circularity Outlines in the Construction and Demolition Waste Management: A Literature Review. Recycling 2023, 8, 69. [Google Scholar] [CrossRef]
- Purchase, C.K.; Al Zulayq, D.M.; O’Brien, B.T.; Kowalewski, M.J.; Berenjian, A.; Tarighaleslami, A.H.; Seifan, M. Circular economy of construction and demolition waste: A literature review on lessons, challenges, and benefits. Materials 2022, 15, 76. [Google Scholar] [CrossRef] [PubMed]
- O’Grady, T.; Minunno, R.; Chong, H.-Y.; Morrison, G.M. Design for disassembly, deconstruction and resilience: A circular economy index for the built environment. Resour. Conserv. Recycl. 2021, 175, 105847. [Google Scholar] [CrossRef]
- Ma, M.; Tam, V.W.; Le, K.N.; Osei-Kyei, R. Factors affecting the price of recycled concrete: A critical review. J. Build. Eng. 2022, 46, 103743. [Google Scholar] [CrossRef]
- Martínez-Lage, I.; Vázquez-Burgo, P.; Velay-Lizancos, M. Sustainability evaluation of concretes with mixed recycled aggregate based on holistic approach: Technical, economic and environmental analysis. Waste Manag. 2020, 104, 9–19. [Google Scholar] [CrossRef]
- Ghaffar, S.H.; Burman, M.; Braimah, N. Pathways to circular construction: An integrated management of construction and demolition waste for resource recovery. J. Clean. Prod. 2020, 244, 118710. [Google Scholar] [CrossRef]
- Bendixen, M.; Iversen, L.L.; Best, J.; Franks, D.M.; Hackney, C.R.; Latrubesse, E.M.; Tusting, L.S. Sand, gravel, and UN Sustainable Development Goals: Conflicts, synergies, and pathways forward. One Earth 2021, 4, 1095–1111. [Google Scholar] [CrossRef]
- Söderholm, P. Taxing virgin natural resources: Lessons from aggregates taxation in Europe. Resour. Conserv. Recycl. 2011, 55, 911–922. [Google Scholar] [CrossRef]
- Akhtar, A.; Sarmah, A.K. Construction and demolition waste generation and properties of recycled aggregate concrete: A global perspective. J. Clean. Prod. 2018, 186, 262–281. [Google Scholar] [CrossRef]
- EPA. Construction and Demolition Debris Generation in the United States, 2015; Office of Resource Conservation and Recovery; Environmental Protection Agency: Washington, DC, USA, 2018; p. 26.
- Makul, N. Recycled Aggregate Concrete: Technology and Properties; CRC Press: Boca Raton, FL, USA, 2023. [Google Scholar]
- Sereewatthanawut, I.; Prasittisopin, L. Environmental evaluation of pavement system incorporating recycled concrete aggregate. Int. J. Pavement Res. Technol. 2020, 13, 455–465. [Google Scholar] [CrossRef]
- Fanijo, E.O.; Kolawole, J.T.; Babafemi, A.J.; Liu, J. A comprehensive review on the use of recycled concrete aggregate for pavement construction: Properties, performance, and sustainability. Clean. Mater. 2023, 9, 100199. [Google Scholar] [CrossRef]
- Khan, Z.A.; Balunaini, U.; Nguyen, N.H.; Costa, S. Evaluation of cement-treated recycled concrete aggregates for sustainable pavement base/subbase construction. Constr. Build. Mater. 2024, 449, 138417. [Google Scholar] [CrossRef]
- Aromataris, E.; Fernandez, R.; Godfrey, C.M.; Holly, C.; Khalil, H.; Tungpunkom, P. Summarizing systematic reviews: Methodological development, conduct and reporting of an umbrella review approach. JBI Evid. Implement. 2015, 13, 132–140. [Google Scholar] [CrossRef] [PubMed]
- Papatheodorou, S. Umbrella reviews: What they are and why we need them. Eur. J. Epidemiol. 2019, 34, 543–546. [Google Scholar] [CrossRef]
- Liberati, A.; Altman, D.G.; Tetzlaff, J.; Mulrow, C.; Gøtzsche, P.C.; Ioannidis, J.P.; Clarke, M.; Devereaux, P.J.; Kleijnen, J.; Moher, D. The PRISMA statement for reporting systematic reviews and meta-analyses of studies that evaluate health care interventions: Explanation and elaboration. Ann. Intern. Med. 2009, 151, W-65–W-94. [Google Scholar] [CrossRef] [PubMed]
- Boell, S.K.; Cecez-Kecmanovic, D. On being ‘systematic’in literature reviews in IS. J. Inf. Technol. 2015, 30, 161–173. [Google Scholar] [CrossRef]
- Moher, D.; Liberati, A.; Tetzlaff, J.; Altman, D.G.; The PRISMA Group. Preferred reporting items for systematic reviews and meta-analyses: The PRISMA statement. PLoS Med. 2009, 6, e1000097. [Google Scholar] [CrossRef]
- Pae, C.-U. Why systematic review rather than narrative review? Psychiatry Investig. 2015, 12, 417. [Google Scholar] [CrossRef]
- Field, A.P.; Gillett, R. How to do a meta-analysis. Br. J. Math. Stat. Psychol. 2010, 63, 665–694. [Google Scholar] [CrossRef] [PubMed]
- Habert, G.; Miller, S.A.; John, V.M.; Provis, J.L.; Favier, A.; Horvath, A.; Scrivener, K.L. Environmental impacts and decarbonization strategies in the cement and concrete industries. Nat. Rev. Earth Environ. 2020, 1, 559–573. [Google Scholar] [CrossRef]
- Wu, Z.; Zhang, J.; Fang, Q.; Yu, H.; Haiyan, M. Mesoscopic modelling of concrete material under static and dynamic loadings: A review. Constr. Build. Mater. 2021, 278, 122419. [Google Scholar] [CrossRef]
- Sheikh, T.; Behdinan, K. Insight of discrete scale and multiscale methods for characterization of composite and nanocomposite materials. Arch. Comput. Methods Eng. 2023, 30, 1231–1265. [Google Scholar] [CrossRef]
- Hansen, A.D.; Kuramochi, T.; Wicke, B. The status of corporate greenhouse gas emissions reporting in the food sector: An evaluation of food and beverage manufacturers. J. Clean. Prod. 2022, 361, 132279. [Google Scholar] [CrossRef]
- Mishra, A.; Humpenöder, F.; Churkina, G.; Reyer, C.P.; Beier, F.; Bodirsky, B.L.; Schellnhuber, H.J.; Lotze-Campen, H.; Popp, A. Land use change and carbon emissions of a transformation to timber cities. Nat. Commun. 2022, 13, 4889. [Google Scholar] [CrossRef]
- Müller-Casseres, E.; Edelenbosch, O.Y.; Szklo, A.; Schaeffer, R.; van Vuuren, D.P. Global futures of trade impacting the challenge to decarbonize the international shipping sector. Energy 2021, 237, 121547. [Google Scholar] [CrossRef]
- Shah, I.H.; Miller, S.A.; Jiang, D.; Myers, R.J. Cement substitution with secondary materials can reduce annual global CO2 emissions by up to 1.3 gigatons. Nat. Commun. 2022, 13, 5758. [Google Scholar] [CrossRef]
- Robalo, K.; Costa, H.; do Carmo, R.; Julio, E. Experimental development of low cement content and recycled construction and demolition waste aggregates concrete. Constr. Build. Mater. 2021, 273, 121680. [Google Scholar] [CrossRef]
- Chen, C.; Pinar, M.; Stengos, T. Renewable energy and CO2 emissions: New evidence with the panel threshold model. Renew. Energy 2022, 194, 117–128. [Google Scholar] [CrossRef]
- Etxeberria, M.; Vázquez, E.; Mari, A. Microstructure analysis of hardened recycled aggregate concrete. Mag. Concr. Res. 2006, 58, 683–690. [Google Scholar] [CrossRef]
- McGinnis, M.J.; Davis, M.; de la Rosa, A.; Weldon, B.D.; Kurama, Y.C. Strength and stiffness of concrete with recycled concrete aggregates. Constr. Build. Mater. 2017, 154, 258–269. [Google Scholar] [CrossRef]
- Sosa, M.E.; Villagrán Zaccardi, Y.A.; Zega, C.J. A critical review of the resulting effective water-to-cement ratio of fine recycled aggregate concrete. Constr. Build. Mater. 2021, 313, 125536. [Google Scholar] [CrossRef]
- Verian, K.P.; Ashraf, W.; Cao, Y. Properties of recycled concrete aggregate and their influence in new concrete production. Resour. Conserv. Recycl. 2018, 133, 30–49. [Google Scholar] [CrossRef]
- Hayles, M.; Sanchez, L.F.; Noël, M. Eco-efficient low cement recycled concrete aggregate mixtures for structural applications. Constr. Build. Mater. 2018, 169, 724–732. [Google Scholar] [CrossRef]
- Ismail, S.; Kwan, W.H.; Ramli, M. Mechanical strength and durability properties of concrete containing treated recycled concrete aggregates under different curing conditions. Constr. Build. Mater. 2017, 155, 296–306. [Google Scholar] [CrossRef]
- Berndt, M.L. Properties of sustainable concrete containing fly ash, slag and recycled concrete aggregate. Constr. Build. Mater. 2009, 23, 2606–2613. [Google Scholar] [CrossRef]
- Pradhan, S.; Tiwari, B.R.; Kumar, S.; Barai, S.V. Comparative LCA of recycled and natural aggregate concrete using Particle Packing Method and conventional method of design mix. J. Clean. Prod. 2019, 228, 679–691. [Google Scholar] [CrossRef]
- Win, T.T.; Prasittisopin, L.; Jongvivatsakul, P.; Likitlersuang, S. Investigating the role of steel and polypropylene fibers for enhancing mechanical properties and microstructural performance in mitigating conversion effects in calcium aluminate cement. Constr. Build. Mater. 2024, 430, 136515. [Google Scholar] [CrossRef]
- Xiao, J.; Li, W.; Fan, Y.; Huang, X. An overview of study on recycled aggregate concrete in China (1996–2011). Constr. Build. Mater. 2012, 31, 364–383. [Google Scholar] [CrossRef]
- Kim, J. Properties of recycled aggregate concrete designed with equivalent mortar volume mix design. Constr. Build. Mater. 2021, 301, 124091. [Google Scholar] [CrossRef]
- Anike, E.E.; Saidani, M.; Ganjian, E.; Tyrer, M.; Olubanwo, A.O. The potency of recycled aggregate in new concrete: A review. Constr. Innov. 2019, 19, 594–613. [Google Scholar] [CrossRef]
- Li, L.; Xuan, D.; Sojobi, A.; Liu, S.; Poon, C.S. Efficiencies of carbonation and nano silica treatment methods in enhancing the performance of recycled aggregate concrete. Constr. Build. Mater. 2021, 308, 125080. [Google Scholar] [CrossRef]
- Zhang, B.; Ahmad, W.; Ahmad, A.; Aslam, F.; Joyklad, P. A scientometric analysis approach to analyze the present research on recycled aggregate concrete. J. Build. Eng. 2022, 46, 103679. [Google Scholar] [CrossRef]
- Vitale, F.; Nicolella, M. Mortars with recycled aggregates from building-related processes: A ‘four-step’ methodological proposal for a review. Sustainability 2021, 13, 2756. [Google Scholar] [CrossRef]
- Xing, W.; Tam, V.W.; Le, K.N.; Hao, J.L.; Wang, J. Life cycle assessment of recycled aggregate concrete on its environmental impacts: A critical review. Constr. Build. Mater. 2022, 317, 125950. [Google Scholar] [CrossRef]
- González-Fonteboa, B.; Martínez-Abella, F. Concretes with aggregates from demolition waste and silica fume. Materials and mechanical properties. Build. Environ. 2008, 43, 429–437. [Google Scholar] [CrossRef]
- Faella, C.; Lima, C.; Martinelli, E.; Pepe, M.; Realfonzo, R. Mechanical and durability performance of sustainable structural concretes: An experimental study. Cem. Concr. Compos. 2016, 71, 85–96. [Google Scholar] [CrossRef]
- Kumar, P.; Singh, N. Influence of recycled concrete aggregates and Coal Bottom Ash on various properties of high volume fly ash-self compacting concrete. J. Build. Eng. 2020, 32, 101491. [Google Scholar] [CrossRef]
- Singh, N.; Mithulraj, M.; Arya, S. Utilization of coal bottom ash in recycled concrete aggregates based self compacting concrete blended with metakaolin. Resour. Conserv. Recycl. 2019, 144, 240–251. [Google Scholar] [CrossRef]
- Singh, N.; Mithulraj, M.; Arya, S. Influence of coal bottom ash as fine aggregates replacement on various properties of concretes: A review. Resour. Conserv. Recycl. 2018, 138, 257–271. [Google Scholar] [CrossRef]
- Nakararoj, N.; Tran, T.N.H.; Sukontasukkul, P.; Attachaiyawuth, A.; Tangchirapat, W.; Ban, C.C.; Rattanachu, P.; Jaturapitakkul, C. Effects of High-Volume bottom ash on Strength, Shrinkage, and creep of High-Strength recycled concrete aggregate. Constr. Build. Mater. 2022, 356, 129233. [Google Scholar] [CrossRef]
- Oruji, S.; Brake, N.A.; Hosseini, S.; Adesina, M.; Nikookar, M. Enhancing Recycled Aggregate Concrete Using a Three-Stage Mixed Coal Bottom Ash Slurry Coating. J. Mater. Civ. Eng. 2023, 35, 04023061. [Google Scholar] [CrossRef]
- Muduli, R.; Mukharjee, B.B. Performance assessment of concrete incorporating recycled coarse aggregates and metakaolin: A systematic approach. Constr. Build. Mater. 2020, 233, 117223. [Google Scholar] [CrossRef]
- Singh, N.; Singh, S.P. Carbonation and electrical resistance of self compacting concrete made with recycled concrete aggregates and metakaolin. Constr. Build. Mater. 2016, 121, 400–409. [Google Scholar] [CrossRef]
- Muduli, R.; Mukharjee, B.B. Effect of incorporation of metakaolin and recycled coarse aggregate on properties of concrete. J. Clean. Prod. 2019, 209, 398–414. [Google Scholar] [CrossRef]
- Rais, M.S.; Khan, R.A. Strength and durability characteristics of binary blended recycled coarse aggregate concrete containing microsilica and metakaolin. Innov. Infrastruct. Solut. 2020, 5, 114. [Google Scholar] [CrossRef]
- Soliman, N.A.; Tagnit-Hamou, A. Development of ultra-high-performance concrete using glass powder—Towards ecofriendly concrete. Constr. Build. Mater. 2016, 125, 600–612. [Google Scholar] [CrossRef]
- Faried, A.S.; Mostafa, S.A.; Tayeh, B.A.; Tawfik, T.A. The effect of using nano rice husk ash of different burning degrees on ultra-high-performance concrete properties. Constr. Build. Mater. 2021, 290, 123279. [Google Scholar] [CrossRef]
- De Siqueira, A.A.; Cordeiro, G.C. Properties of binary and ternary mixes of cement, sugarcane bagasse ash and limestone. Constr. Build. Mater. 2022, 317, 126150. [Google Scholar] [CrossRef]
- Prasittisopin, L.; Trejo, D. Effects of Mixing Time and Revolution Count on Characteristics of Blended Cement Containing Rice Husk Ash. J. Mater. Civ. Eng. 2018, 30, 04017262. [Google Scholar] [CrossRef]
- Trejo, D.; Prasittisopin, L. Chemical Transformation of Rice Husk Ash Morphology. ACI Mater. J. 2015, 112, 385. [Google Scholar] [CrossRef]
- Amin, M.; Zeyad, A.M.; Tayeh, B.A.; Saad Agwa, I. Effects of nano cotton stalk and palm leaf ashes on ultrahigh-performance concrete properties incorporating recycled concrete aggregates. Constr. Build. Mater. 2021, 302, 124196. [Google Scholar] [CrossRef]
- Ismail, I.; Jamaluddin, N.; Shahidan, S. A review on performance of waste materials in self compacting concrete (SCC). J. Teknol. 2016, 78, 29–35. [Google Scholar] [CrossRef][Green Version]
- Xu, K.; Huang, W.; Zhang, L.; Fu, S.; Chen, M.; Ding, S.; Han, B. Mechanical properties of low-carbon ultrahigh-performance concrete with ceramic tile waste powder. Constr. Build. Mater. 2021, 287, 123036. [Google Scholar] [CrossRef]
- Mohajerani, A.; Suter, D.; Jeffrey-Bailey, T.; Song, T.; Arulrajah, A.; Horpibulsuk, S.; Law, D. Recycling waste materials in geopolymer concrete. Clean Technol. Environ. Policy 2019, 21, 493–515. [Google Scholar] [CrossRef]
- Cossey, H.L.; Batycky, A.E.; Kaminsky, H.; Ulrich, A.C. Geochemical Stability of Oil Sands Tailings in Mine Closure Landforms. Minerals 2021, 11, 830. [Google Scholar] [CrossRef]
- Silva, I.; Castro-Gomes, J.P.; Albuquerque, A. Effect of immersion in water partially alkali-activated materials obtained of tungsten mine waste mud. Constr. Build. Mater. 2012, 35, 117–124. [Google Scholar] [CrossRef]
- Miraldo, S.; Lopes, S.; Pacheco-Torgal, F.; Lopes, A. Advantages and shortcomings of the utilization of recycled wastes as aggregates in structural concretes. Constr. Build. Mater. 2021, 298, 123729. [Google Scholar] [CrossRef]
- Kara De Maeijer, P.; Craeye, B.; Blom, J.; Bervoets, L. Crumb rubber in concrete—The barriers for application in the construction industry. Infrastructures 2021, 6, 116. [Google Scholar] [CrossRef]
- Valadares, F.; Bravo, M.; de Brito, J. Concrete with used tire rubber aggregates: Mechanical performance. ACI Mater. J.-Am. Concr. Inst. 2012, 109, 283. [Google Scholar]
- Prasittisopin, L.; Termkhajornkit, P.; Kim, Y.H. Review of concrete with expanded polystyrene (EPS): Performance and environmental aspects. J. Clean. Prod. 2022, 366, 132919. [Google Scholar] [CrossRef]
- Shin, S.-K.; Um, N.; Kim, Y.-J.; Cho, N.-H.; Jeon, T.-W. New policy framework with plastic waste control plan for effective plastic waste management. Sustainability 2020, 12, 6049. [Google Scholar] [CrossRef]
- Perera, S.; Arulrajah, A.; Wong, Y.C.; Horpibulsuk, S.; Maghool, F. Utilizing recycled PET blends with demolition wastes as construction materials. Constr. Build. Mater. 2019, 221, 200–209. [Google Scholar] [CrossRef]
- Gillani, S.T.A.; Hu, K.; Ali, B.; Malik, R.; Elhag, A.B.; Elhadi, K.M. Life cycle impact of concrete incorporating nylon waste and demolition waste. Environ. Sci. Pollut. Res. 2023, 30, 50269–50279. [Google Scholar] [CrossRef]
- Bui, N.K.; Satomi, T.; Takahashi, H. Influence of industrial by-products and waste paper sludge ash on properties of recycled aggregate concrete. J. Clean. Prod. 2019, 214, 403–418. [Google Scholar] [CrossRef]
- Aytekin, B.; Mardani-Aghabaglou, A. Sustainable Materials: A Review of Recycled Concrete Aggregate Utilization as Pavement Material. Transp. Res. Rec. 2022, 2676, 468–491. [Google Scholar] [CrossRef]
- Sim, J.; Park, C. Compressive strength and resistance to chloride ion penetration and carbonation of recycled aggregate concrete with varying amount of fly ash and fine recycled aggregate. Waste Manag. 2011, 31, 2352–2360. [Google Scholar] [CrossRef] [PubMed]
- Revilla-Cuesta, V.; Faleschini, F.; Zanini, M.A.; Skaf, M.; Ortega-López, V. Porosity-based models for estimating the mechanical properties of self-compacting concrete with coarse and fine recycled concrete aggregate. J. Build. Eng. 2021, 44, 103425. [Google Scholar] [CrossRef]
- Vintimilla, C.; Etxeberria, M. Limiting the maximum fine and coarse recycled aggregates-Type A used in structural concrete. Constr. Build. Mater. 2023, 380, 131273. [Google Scholar] [CrossRef]
- Kaliyavaradhan, S.K.; Ling, T.-C.; Guo, M.-Z. Upcycling of wastes for sustainable controlled low-strength material: A review on strength and excavatability. Environ. Sci. Pollut. Res. 2022, 29, 16799–16816. [Google Scholar] [CrossRef] [PubMed]
- Ali, H.A.; Zhang, B.; Xiao, C.; Zhao, B.; Xuan, D.; Poon, C.S. Valorization of fine recycled C&D aggregate and incinerator bottom ash for the preparation of controlled low-strength material (CLSM). Clean. Waste Syst. 2022, 3, 100061. [Google Scholar]
- Fauzi, M.A.; Arshad, M.F.; Nor, N.M. The need of statistical approach for optimising mixture design of controlled low-strength materials. Anal. Methods 2021, 28, 29. [Google Scholar] [CrossRef]
- Wang, X.; Wang, W.; Huang, J.; Wang, Z.; Ma, S.; Liu, Y. Relationship between internal humidity and drying shrinkage of recycled aggregate thermal insulation concrete considering recycled aggregate content. Constr. Build. Mater. 2022, 355, 129224. [Google Scholar] [CrossRef]
- Oikonomopoulou, K.; Savva, P.; Polydorou, T.; Demetriou, D.; Nicolaides, D.; Petrou, M.F. Effect of Mechanically Treated and Internally Cured Recycled Concrete Aggregates on Recycled Aggregate Concrete. In Proceedings of the Building for the Future: Durable, Sustainable, Resilient, Istanbul, Turkey, 5–7 June 2023; pp. 957–966. [Google Scholar]
- Singh, R.; Nayak, D.; Pandey, A.; Kumar, R.; Kumar, V. Effects of recycled fine aggregates on properties of concrete containing natural or recycled coarse aggregates: A comparative study. J. Build. Eng. 2022, 45, 103442. [Google Scholar] [CrossRef]
- Zhang, P.; Sun, X.; Wang, F.; Wang, J. Mechanical Properties and Durability of Geopolymer Recycled Aggregate Concrete: A Review. Polymers 2023, 15, 615. [Google Scholar] [CrossRef]
- Nikmehr, B.; Al-Ameri, R. A State-of-the-Art Review on the Incorporation of Recycled Concrete Aggregates in Geopolymer Concrete. Recycling 2022, 7, 51. [Google Scholar] [CrossRef]
- Liu, C.; Deng, X.; Liu, J.; Hui, D. Mechanical properties and microstructures of hypergolic and calcined coal gangue based geopolymer recycled concrete. Constr. Build. Mater. 2019, 221, 691–708. [Google Scholar] [CrossRef]
- Skariah Thomas, B.; Yang, J.; Bahurudeen, A.; Chinnu, S.N.; Abdalla, J.A.; Hawileh, R.A.; Hamada, H.M. Geopolymer concrete incorporating recycled aggregates: A comprehensive review. Clean. Mater. 2022, 3, 100056. [Google Scholar] [CrossRef]
- Sukmak, P.; Sukmak, G.; De Silva, P.; Horpibulsuk, S.; Kassawat, S.; Suddeepong, A. The potential of industrial waste: Electric arc furnace slag (EAF) as recycled road construction materials. Constr. Build. Mater. 2023, 368, 130393. [Google Scholar] [CrossRef]
- Lin, Y.; Maghool, F.; Arulrajah, A.; Horpibulsuk, S. Alkali activation of recycled concrete and aluminum salt slag aggregates for semi-rigid column inclusions. Constr. Build. Mater. 2023, 366, 130106. [Google Scholar] [CrossRef]
- Prasittisopin, L.; Sereewatthanawut, I. Effects of seeding nucleation agent on geopolymerization process of fly-ash geopolymer. Front. Struct. Civ. Eng. 2018, 12, 16–25. [Google Scholar] [CrossRef]
- Zerzouri, M.; Hamzaoui, R.; Ziyani, L.; Alehyen, S. Influence of slag based pre-geopolymer powders obtained by mechanosynthesis on structure, microstructure and mechanical performance of geopolymer pastes. Constr. Build. Mater. 2022, 361, 129637. [Google Scholar] [CrossRef]
- Nuaklong, P.; Jongvivatsakul, P.; Pothisiri, T.; Sata, V.; Chindaprasirt, P. Influence of rice husk ash on mechanical properties and fire resistance of recycled aggregate high-calcium fly ash geopolymer concrete. J. Clean. Prod. 2020, 252, 119797. [Google Scholar] [CrossRef]
- Prasittisopin, L. Power plant waste (fly ash, bottom ash, biomass ash) management for promoting circular economy in sustainable construction: Emerging economy context. Smart Sustain. Built Environ. 2024; ahead-of-print. [Google Scholar] [CrossRef]
- Ahmed, T.W.; Aljubory, N.H.; Zidan, R.S. Properties and Performance of Polypropylene Fiber Reinforced Concrete: A review. Tikrit J. Eng. Sci. 2020, 27, 82–97. [Google Scholar] [CrossRef]
- Nuaklong, P.; Wongsa, A.; Boonserm, K.; Ngohpok, C.; Jongvivatsakul, P.; Sata, V.; Sukontasukkul, P.; Chindaprasirt, P. Enhancement of mechanical properties of fly ash geopolymer containing fine recycled concrete aggregate with micro carbon fiber. J. Build. Eng. 2021, 41, 102403. [Google Scholar] [CrossRef]
- Damrongwiriyanupap, N.; Srikhamma, T.; Plongkrathok, C.; Phoo-ngernkham, T.; Sae-Long, W.; Hanjitsuwan, S.; Sukontasukkul, P.; Li, L.-y.; Chindaprasirt, P. Assessment of equivalent substrate stiffness and mechanical properties of sustainable alkali-activated concrete containing recycled concrete aggregate. Case Stud. Constr. Mater. 2022, 16, e00982. [Google Scholar] [CrossRef]
- Koushkbaghi, M.; Alipour, P.; Tahmouresi, B.; Mohseni, E.; Saradar, A.; Sarker, P.K. Influence of different monomer ratios and recycled concrete aggregate on mechanical properties and durability of geopolymer concretes. Constr. Build. Mater. 2019, 205, 519–528. [Google Scholar] [CrossRef]
- Nuaklong, P.; Sata, V.; Chindaprasirt, P. Influence of recycled aggregate on fly ash geopolymer concrete properties. J. Clean. Prod. 2016, 112, 2300–2307. [Google Scholar] [CrossRef]
- Mahmoodi, O.; Siad, H.; Lachemi, M.; Dadsetan, S.; Şahmaran, M. Extensive rheological evaluation of geopolymer mortars incorporating maximum amounts of recycled concrete as precursors and aggregates. Constr. Build. Mater. 2023, 390, 131801. [Google Scholar] [CrossRef]
- Tang, Z.; Li, W.; Tam, V.W.; Luo, Z. Investigation on dynamic mechanical properties of fly ash/slag-based geopolymeric recycled aggregate concrete. Compos. Part B Eng. 2020, 185, 107776. [Google Scholar] [CrossRef]
- Revilla-Cuesta, V.; Skaf, M.; Faleschini, F.; Manso, J.M.; Ortega-López, V. Self-compacting concrete manufactured with recycled concrete aggregate: An overview. J. Clean. Prod. 2020, 262, 121362. [Google Scholar] [CrossRef]
- Liu, Y.X.; Ling, T.C.; Mo, K.H. Progress in developing self-consolidating concrete (SCC) constituting recycled concrete aggregates: A review. Int. J. Miner. Metall. Mater. 2021, 28, 522–537. [Google Scholar] [CrossRef]
- Martínez-García, R.; Jagadesh, P.; Fraile-Fernández, F.J.; Pozo, J.M.M.; Juan-Valdés, A. Influence of design parameters on fresh properties of self-compacting concrete with recycled aggregate—A review. Materials 2020, 13, 5749. [Google Scholar] [CrossRef] [PubMed]
- Sharma, S.K. Properties of SCC containing pozzolans, Wollastonite micro fiber, and recycled aggregates. Heliyon 2019, 5, e02081. [Google Scholar] [CrossRef]
- Sua-iam, G.; Makul, N. Recycling prestressed concrete pile waste to produce green self-compacting concrete. J. Mater. Res. Technol. 2023, 24, 4587–4600. [Google Scholar] [CrossRef]
- Revilla-Cuesta, V.; Ortega-López, V.; Skaf, M.; Manso, J.M. Effect of fine recycled concrete aggregate on the mechanical behavior of self-compacting concrete. Constr. Build. Mater. 2020, 263, 120671. [Google Scholar] [CrossRef]
- Omrane, M.; Kenai, S.; Kadri, E.-H.; Aït-Mokhtar, A. Performance and durability of self compacting concrete using recycled concrete aggregates and natural pozzolan. J. Clean. Prod. 2017, 165, 415–430. [Google Scholar] [CrossRef]
- Boudali, S.; Kerdal, D.; Ayed, K.; Abdulsalam, B.; Soliman, A. Performance of self-compacting concrete incorporating recycled concrete fines and aggregate exposed to sulphate attack. Constr. Build. Mater. 2016, 124, 705–713. [Google Scholar] [CrossRef]
- Prasittisopin, L. How 3D Printing Technology Makes Cities Smarter: A Review, Thematic Analysis, and Perspectives. Smart Cities 2024, 7, 3458–3488. [Google Scholar] [CrossRef]
- Zhang, C.; Nerella, V.N.; Krishna, A.; Wang, S.; Zhang, Y.; Mechtcherine, V.; Banthia, N. Mix design concepts for 3D printable concrete: A review. Cem. Concr. Compos. 2021, 122, 104155. [Google Scholar] [CrossRef]
- Prasittisopin, L.; Jiramarootapong, P.; Pongpaisanseree, K.; Snguanyat, C. Lean manufacturing and thermal enhancement of single-layer wall with an additive manufacturing (AM) structure. ZKG Intern 2019, 4, 64–74. [Google Scholar]
- Sereewatthanawut, I.; Pansuk, W.; Pheinsusom, P.; Prasittisopin, L. Chloride-induced corrosion of a galvanized steel-embedded calcium sulfoaluminate stucco system. J. Build. Eng. 2021, 44, 103376. [Google Scholar] [CrossRef]
- Ivanova, I.; Mechtcherine, V. Effects of volume fraction and surface area of aggregates on the static yield stress and structural build-up of fresh concrete. Materials 2020, 13, 1551. [Google Scholar] [CrossRef] [PubMed]
- Mechtcherine, V.; Nerella, V.N.; Will, F.; Näther, M.; Otto, J.; Krause, M. Large-scale digital concrete construction–CONPrint3D concept for on-site, monolithic 3D-printing. Autom. Constr. 2019, 107, 102933. [Google Scholar] [CrossRef]
- Wu, Y.; Liu, C.; Liu, H.; Zhang, Z.; He, C.; Liu, S.; Zhang, R.; Wang, Y.; Bai, G. Study on the rheology and buildability of 3D printed concrete with recycled coarse aggregates. J. Build. Eng. 2021, 42, 103030. [Google Scholar] [CrossRef]
- Singh, A.; Sampath, P.V.; Biligiri, K.P. A review of sustainable pervious concrete systems: Emphasis on clogging, material characterization, and environmental aspects. Constr. Build. Mater. 2020, 261, 120491. [Google Scholar] [CrossRef]
- Gowda, S.B.; Goudar, S.K.; Thanu, H.; Monisha, B. Performance evaluation of alkali activated slag based recycled aggregate pervious concrete. Mater. Today Proc. 2023; in press. [Google Scholar]
- Strieder, H.L.; Dutra, V.F.P.; Graeff, Â.G.; Núñez, W.P.; Merten, F.R.M. Performance evaluation of pervious concrete pavements with recycled concrete aggregate. Constr. Build. Mater. 2022, 315, 125384. [Google Scholar] [CrossRef]
- Bonicelli, A.; Fuentes, L.G.; Bermejo, I.K.D. Laboratory investigation on the effects of natural fine aggregates and recycled waste tire rubber in pervious concrete to develop more sustainable pavement materials. IOP Conf. Ser. Mater. Sci. Eng. 2017, 245, 032081. [Google Scholar] [CrossRef]
- Hamada, H.M.; Shi, J.; Abed, F.; Al Jawahery, M.S.; Majdi, A.; Yousif, S.T. Recycling solid waste to produce eco-friendly ultra-high performance concrete: A review of durability, microstructure and environment characteristics. Sci. Total Environ. 2023, 876, 162804. [Google Scholar] [CrossRef]
- Zou, D.; Que, Z.; Su, D.; Liu, T.; Zhou, A.; Li, Y. Sustainable use of recycled autoclaved aerated concrete waste as internal curing materials in ultra-high performance concrete. J. Clean. Prod. 2022, 373, 133910. [Google Scholar] [CrossRef]
- Dixit, A.; Gupta, S.; Dai Pang, S.; Kua, H.W. Waste Valorisation using biochar for cement replacement and internal curing in ultra-high performance concrete. J. Clean. Prod. 2019, 238, 117876. [Google Scholar] [CrossRef]
- Alonso, C.; Castellote, M.; Llorente, I.; Andrade, C. Ground water leaching resistance of high and ultra high performance concretes in relation to the testing convection regime. Cem. Concr. Res. 2006, 36, 1583–1594. [Google Scholar] [CrossRef]
- Win, T.T.; Wattanapornprom, R.; Prasittisopin, L.; Pansuk, W.; Pheinsusom, P. Investigation of fineness and calcium-oxide content in fly ash from ASEAN region on properties and durability of cement–fly ash system. Eng. J. 2022, 26, 77–90. [Google Scholar] [CrossRef]
- Yang, S.; Lee, H. Structural Performance of Reinforced RCA Concrete Beams Made by a Modified EMV Method. Sustainability 2017, 9, 131. [Google Scholar] [CrossRef]
- Guo, Z.; Jiang, T.; Zhang, J.; Kong, X.; Chen, C.; Lehman, D.E. Mechanical and durability properties of sustainable self-compacting concrete with recycled concrete aggregate and fly ash, slag and silica fume. Constr. Build. Mater. 2020, 231, 117115. [Google Scholar] [CrossRef]
- Mao, Y.; Liu, J.; Shi, C. Autogenous shrinkage and drying shrinkage of recycled aggregate concrete: A review. J. Clean. Prod. 2021, 295, 126435. [Google Scholar] [CrossRef]
- Tran, N.P.; Gunasekara, C.; Law, D.W.; Houshyar, S.; Setunge, S.; Cwirzen, A. A critical review on drying shrinkage mitigation strategies in cement-based materials. J. Build. Eng. 2021, 38, 102210. [Google Scholar] [CrossRef]
- Hu, H.-b.; He, Z.-h.; Shi, J.-y.; Liang, C.-f.; Shibro, T.-g.; Liu, B.-j.; Yang, S.-Y. Mechanical properties, drying shrinkage, and nano-scale characteristics of concrete prepared with zeolite powder pre-coated recycled aggregate. J. Clean. Prod. 2021, 319, 128710. [Google Scholar] [CrossRef]
- Qaidi, S.; Najm, H.M.; Abed, S.M.; Özkılıç, Y.O.; Al Dughaishi, H.; Alosta, M.; Sabri, M.M.S.; Alkhatib, F.; Milad, A. Concrete Containing Waste Glass as an Environmentally Friendly Aggregate: A Review on Fresh and Mechanical Characteristics. Materials 2022, 15, 6222. [Google Scholar] [CrossRef] [PubMed]
- Maltese, C.; Pistolesi, C.; Lolli, A.; Bravo, A.; Cerulli, T.; Salvioni, D. Combined effect of expansive and shrinkage reducing admixtures to obtain stable and durable mortars. Cem. Concr. Res. 2005, 35, 2244–2251. [Google Scholar] [CrossRef]
- Ting, M.Z.Y.; Wong, K.S.; Rahman, M.E.; Meheron, S.J. Deterioration of marine concrete exposed to wetting-drying action. J. Clean. Prod. 2021, 278, 123383. [Google Scholar] [CrossRef]
- Cheela, V.S.; John, M.; Biswas, W.; Sarker, P. Combating urban heat island effect—A review of reflective pavements and tree shading strategies. Buildings 2021, 11, 93. [Google Scholar] [CrossRef]
- Liu, C.; Wang, Y.; Gao, X.; Zhang, G.; Liu, H.; Ma, C.; Sun, J.; Lai, J. Review of the Strengthening Methods and Mechanical Properties of Recycled Aggregate Concrete (RAC). Crystals 2022, 12, 1321. [Google Scholar] [CrossRef]
- Zhang, T.; Chen, M.; Wang, Y.; Zhang, M. Roles of carbonated recycled fines and aggregates in hydration, microstructure and mechanical properties of concrete: A critical review. Cem. Concr. Compos. 2023, 138, 104994. [Google Scholar] [CrossRef]
- Ouyang, K.; Liu, J.; Liu, S.; Song, B.; Guo, H.; Li, G.; Shi, C. Influence of pre-treatment methods for recycled concrete aggregate on the performance of recycled concrete: A review. Resour. Conserv. Recycl. 2023, 188, 106717. [Google Scholar] [CrossRef]
- Wu, C.-R.; Hong, Z.-Q.; Zhang, J.-L.; Kou, S.-C. Pore size distribution and ITZ performance of mortars prepared with different bio-deposition approaches for the treatment of recycled concrete aggregate. Cem. Concr. Compos. 2020, 111, 103631. [Google Scholar] [CrossRef]
- He, Z.; Shen, A.; Wu, H.; Wang, W.; Wang, L.; Guo, Y. Properties and mechanisms of brick-concrete recycled aggregate strengthened by compound modification treatment. Constr. Build. Mater. 2022, 315, 125678. [Google Scholar] [CrossRef]
- Esen, Y.; Orhan, E. Investigation of the effect on the physical and mechanical properties of the dosage of additive in self-consolidating concrete. KSCE J. Civ. Eng. 2016, 20, 2849–2858. [Google Scholar] [CrossRef]
- Shaban, W.M.; Yang, J.; Su, H.; Mo, K.H.; Li, L.; Xie, J. Quality improvement techniques for recycled concrete aggregate: A review. J. Adv. Concr. Technol. 2019, 17, 151–167. [Google Scholar] [CrossRef]
- Santos, W.F.; Quattrone, M.; John, V.M.; Angulo, S.C. Roughness, wettability and water absorption of water repellent treated recycled aggregates. Constr. Build. Mater. 2017, 146, 502–513. [Google Scholar] [CrossRef]
- Prasittisopin, L.; Thongyothee, C.; Chaiyapoom, P.; Snguanyat, C. Quality improvement of recycled concrete aggregate by a large-scale tube mill with steel rod. J. Asian Concr. Fed. 2018, 4, 12–21. [Google Scholar] [CrossRef]
- Khushnood, R.A.; Qureshi, Z.A.; Shaheen, N.; Ali, S. Bio-mineralized self-healing recycled aggregate concrete for sustainable infrastructure. Sci. Total Environ. 2020, 703, 135007. [Google Scholar] [CrossRef]
- Villagrán-Zaccardi, Y.A.; Marsh, A.T.M.; Sosa, M.E.; Zega, C.J.; De Belie, N.; Bernal, S.A. Complete re-utilization of waste concretes–Valorisation pathways and research needs. Resour. Conserv. Recycl. 2022, 177, 105955. [Google Scholar] [CrossRef]
- Dündar, B.; Tuğluca, M.S.; İlcan, H.; Şahin, O.; Şahmaran, M. The effects of various operational- and materials-oriented parameters on the carbonation performance of low-quality recycled concrete aggregate. J. Build. Eng. 2023, 68, 106138. [Google Scholar] [CrossRef]
- Zajac, M.; Skocek, J.; Skibsted, J.; Ben Haha, M. CO2 mineralization of demolished concrete wastes into a supplementary cementitious material—A new CCU approach for the cement industry. RILEM Tech. Lett. 2021, 6, 53–60. [Google Scholar] [CrossRef]
- Li, L.; Liu, Q.; Huang, T.; Peng, W. Mineralization and utilization of CO2 in construction and demolition wastes recycling for building materials: A systematic review of recycled concrete aggregate and recycled hardened cement powder. Sep. Purif. Technol. 2022, 298, 121512. [Google Scholar] [CrossRef]
- Shin, B.; Kim, S. CO2 emission and construction cost reduction effect in cases of recycled aggregate utilized for nonstructural building materials in South Korea. J. Clean. Prod. 2022, 360, 131962. [Google Scholar] [CrossRef]
- Roth, L.; Eklund, M. Environmental evaluation of reuse of by-products as road construction materials in Sweden. Waste Manag. 2003, 23, 107–116. [Google Scholar] [CrossRef] [PubMed]
- Tam, V.W.; Butera, A.; Le, K.N. Carbon-conditioned recycled aggregate in concrete production. J. Clean. Prod. 2016, 133, 672–680. [Google Scholar] [CrossRef]
- Yazdanbakhsh, A.; Bank, L.C.; Baez, T.; Wernick, I. Comparative LCA of concrete with natural and recycled coarse aggregate in the New York City area. Int. J. Life Cycle Assess. 2018, 23, 1163–1173. [Google Scholar] [CrossRef]
- Knoeri, C.; Sanyé-Mengual, E.; Althaus, H.-J. Comparative LCA of recycled and conventional concrete for structural applications. Int. J. Life Cycle Assess. 2013, 18, 909–918. [Google Scholar] [CrossRef]
- De Schepper, M.; Van den Heede, P.; Van Driessche, I.; De Belie, N. Life Cycle Assessment of Completely Recyclable Concrete. Materials 2014, 7, 6010–6027. [Google Scholar] [CrossRef] [PubMed]
- ISO 14001:2015; Environmental Management Systems–Requirements with Guidance for Use. ISO: Geneva, Switzerland, 2015. Available online: https://www.iso.org/standard/60857.html (accessed on 12 July 2022).
- Cox, B.; Innis, S.; Kunz, N.C.; Steen, J. The mining industry as a net beneficiary of a global tax on carbon emissions. Commun. Earth Environ. 2022, 3, 17. [Google Scholar] [CrossRef]
- Kaewunruen, S.; AbdelHadi, M.; Kongpuang, M.; Pansuk, W.; Remennikov, A.M. Digital Twins for Managing Railway Bridge Maintenance, Resilience, and Climate Change Adaptation. Sensors 2022, 23, 252. [Google Scholar] [CrossRef] [PubMed]
- Celik, Y.; Petri, I.; Barati, M. Blockchain supported BIM data provenance for construction projects. Comput. Ind. 2023, 144, 103768. [Google Scholar] [CrossRef]
- Hamledari, H.; Fischer, M. The application of blockchain-based crypto assets for integrating the physical and financial supply chains in the construction & engineering industry. Autom. Constr. 2021, 127, 103711. [Google Scholar]
- Vijayeta, M. BIM: Blockchain interface framework for the construction industry. Int. J. Sustain. Real Estate Constr. Econ. 2021, 2, 46–60. [Google Scholar] [CrossRef]
- Valaskova, K.; Ward, P.; Svabova, L. Deep learning-assisted smart process planning, cognitive automation, and industrial big data analytics in sustainable cyber-physical production systems. J. Self-Gov. Manag. Econ. 2021, 9, 9–20. [Google Scholar]
- Wattanapanich, C.; Imjai, T.; Sridhar, R.; Garcia, R.; Thomas, B.S. Optimizing recycled aggregate concrete for severe conditions through machine learning techniques: A review. Eng. Sci. 2024, 31, 1191. [Google Scholar] [CrossRef]
- Huang, P.; Dai, K.; Yu, X. Machine learning approach for investigating compressive strength of self-compacting concrete containing supplementary cementitious materials and recycled aggregate. J. Build. Eng. 2023, 79, 107904. [Google Scholar] [CrossRef]
- Tuvayanond, W.; Kamchoom, V.; Prasittisopin, L. Efficient machine learning for strength prediction of ready-mix concrete production (prolonged mixing). Constr. Innov. 2024. [Google Scholar] [CrossRef]
- Lin, Y.-H.; Wang, J.; Niu, D.; Nwetlawung, Z.E. Evaluating Stakeholders’ Decisions in a Blockchain-Based Recycling Construction Waste Project: A Hybrid Evolutionary Game and System Dynamics Approach. Buildings 2024, 14, 2205. [Google Scholar] [CrossRef]
- Zain, M.; Keawsawasvong, S.; Thongchom, C.; Sereewatthanawut, I.; Usman, M.; Prasittisopin, L. Establishing efficacy of machine learning techniques for vulnerability information of tubular buildings. Eng. Sci. 2023, 27, 1008. [Google Scholar] [CrossRef]
- Silva, R.V.; de Brito, J.; Dhir, R.K. Use of recycled aggregates arising from construction and demolition waste in new construction applications. J. Clean. Prod. 2019, 236, 117629. [Google Scholar] [CrossRef]
- Foschi, E.; Bonoli, A. The commitment of packaging industry in the framework of the European strategy for plastics in a circular economy. Adm. Sci. 2019, 9, 18. [Google Scholar] [CrossRef]
- Ibáñez-Forés, V.; Pacheco-Blanco, B.; Capuz-Rizo, S.F.; Bovea, M.D. Environmental Product Declarations: Exploring their evolution and the factors affecting their demand in Europe. J. Clean. Prod. 2016, 116, 157–169. [Google Scholar] [CrossRef]
- Sereewatthanawut, I.; Panwisawas, C.; Ngamkhanong, C.; Prasittisopin, L. Effects of extended mixing processes on fresh, hardened and durable properties of cement systems incorporating fly ash. Sci. Rep. 2023, 13, 6091. [Google Scholar] [CrossRef] [PubMed]
- ISO 21930:2007; Building Construction—Sustainability in Building Construction—Environmental Declaration of Building Products. International Organization for Standardization: Geneva, Switzerland, 2007.
- EN 15804:2012+A2:2019; Sustainability of Construction Works—Environmental Product Declarations—Core Rules for the Product Category of Construction Products. European Committee for Standardization (CEN): Brussels, Belgium, 2012.
- Du Béton, F.I. Fib Model Code for Concrete Structures 2010; Wiley-vch: Weinheim, Germany, 2013. [Google Scholar]
- Marinković, S.; Josa, I.; Braymand, S.; Tošić, N. Sustainability assessment of recycled aggregate concrete structures: A critical view on the current state-of-knowledge and practice. Struct. Concr. 2023, 24, 1956–1979. [Google Scholar] [CrossRef]
- Kadawo, A.; Sadagopan, M.; During, O.; Bolton, K.; Nagy, A. Combination of LCA and circularity index for assessment of environmental impact of recycled aggregate concrete. J. Sustain. Cem.-Based Mater. 2023, 12, 1–12. [Google Scholar] [CrossRef]
- Prakash, S.; Wijayasundara, M.; Pathirana, P.N.; Law, K. De-risking resource recovery value chains for a circular economy—Accounting for supply and demand variations in recycled aggregate concrete. Resour. Conserv. Recycl. 2021, 168, 105312. [Google Scholar] [CrossRef]
- Yu, Y.; Yazan, D.M.; Bhochhibhoya, S.; Volker, L. Towards Circular Economy through Industrial Symbiosis in the Dutch construction industry: A case of recycled concrete aggregates. J. Clean. Prod. 2021, 293, 126083. [Google Scholar] [CrossRef]
- Lu, C.; Yu, Q.; Wei, J.; Niu, Y.; Zhang, Y.; Lin, C.; Peixin, C.; Chuan, S.; Yang, P. Influence of interface transition zones (ITZ) and pore structure on the compressive strength of recycled aggregate concrete. Constr. Build. Mater. 2024, 456, 139299. [Google Scholar] [CrossRef]
- Zhou, Y.; Zhang, R.; Zhu, R.; Guan, Z.; Xing, F.; Guo, M.; Wanlin, C.; Hu, B. Experimental and numerical investigation on the microstructure and failure characteristics of concrete using strengthened recycled coarse aggregate. J. Build. Eng. 2023, 66, 105880. [Google Scholar] [CrossRef]
- Al-Bayati, H.K.A.; Jadaa, W.; Tighe, S.L. Effect of Recycled Concrete Aggregate Addition on the Asphalt Mixtures Performance: ITZ Area, Microstructure, and Chemical Analysis Perspectives. Recycling 2024, 9, 41. [Google Scholar] [CrossRef]
- Liu, Y.; Ren, P.; Garcia-Troncoso, N.; Mo, K.H.; Ling, T.C. Roles of enhanced ITZ in improving the mechanical properties of concrete prepared with different types of recycled aggregates. J. Build. Eng. 2022, 60, 105197. [Google Scholar] [CrossRef]
- Tong, J.; Ding, Y.; Lv, X.; Ning, W. Effect of carbonated recycled coarse aggregates on the mechanical properties of 3D printed recycled concrete. J. Build. Eng. 2023, 80, 107959. [Google Scholar] [CrossRef]
- Mao, X.; Cai, P.; Lai, X. Mechanism and Evolution Model of Particle Breakage of Construction Waste Recycled Aggregates: Implications for a Permeable Base. J. Mater. Civ. Eng. 2025, 37, 04024442. [Google Scholar] [CrossRef]
- Sadakorn, W.; Prasertsuk, S.; Prasittisopin, L. Improving the structural efficiency of textured three-dimensional concrete printing wall by architectural design. Front. Struct. Civ. Eng. 2024, 18, 699–715. [Google Scholar] [CrossRef]
- Nazeer, M.; Kapoor, K.; Singh, S.P. Strength, durability and microstructural properties of geopolymer pervious concrete containing recycled concrete aggregates. Mag. Concr. Res. 2025, 1–36. [Google Scholar] [CrossRef]
- Chiranjeevi, K.; Kumar, D.H.; Yatish, R.G.; Mulangi, R.H.; Ravi Shankar, A.U. Optimization and Characterization of Ferrochrome and Recycled Concrete Aggregate Mixes for Pavement Base Layers. J. Mater. Civ. Eng. 2025, 37, 04024437. [Google Scholar] [CrossRef]
- Pedersen, C.S. The UN sustainable development goals (SDGs) are a great gift to business! Procedia Cirp 2018, 69, 21–24. [Google Scholar] [CrossRef]
- Almeida, J.; Faria, P.; Ribeiro, A.B.; Silva, A.S. Cement-based mortars production applying mining residues treated with an electro-based technology and a thermal treatment: Technical and economic effects. Constr. Build. Mater. 2021, 280, 122483. [Google Scholar] [CrossRef]
- Tahri, W.; Abdollahnejad, Z.; Mendes, J.; Pacheco-Torgal, F.; de Aguiar, J.B. Cost efficiency and resistance to chemical attack of a fly ash geopolymeric mortar versus epoxy resin and acrylic paint coatings. Eur. J. Environ. Civ. Eng. 2016, 21, 555–571. [Google Scholar] [CrossRef]
- Graziano, S.F.; Marone, P.; Trinchillo, A.; Di Benedetto, C.; Montesano, G.; Rispoli, C.; Cappelletti, P. Waste From Alwar Quartzite (A Global Heritage Stone From Rajasthan—India) As Secondary Raw Materials for Cementitious Tile Adhesives. Geoheritage 2024, 16, 105. [Google Scholar] [CrossRef]
- Graziano, S.F.; Mercurio, M.; Izzo, F.; Langella, A.; Rispoli, C.; Santaniello, N.D.; Di Benedetto, C.; Monetti, V.; Biondi, M.; De Rosa, G.; et al. A recycled natural resource as secondary raw material for versatile technological applications: The quarry waste from zeolite-rich tuffs. Appl. Clay Sci. 2024, 258, 107451. [Google Scholar] [CrossRef]
- Climate Bonds Initiative. Green Infrastructure Investment Opportunities: Thailand 2021 Report; Climate Bonds Initiative: London, UK, 2022. [Google Scholar]
- Zhang, D. Does the green loan policy boost greener production?–Evidence from Chinese firms. Emerg. Mark. Rev. 2022, 51, 100882. [Google Scholar] [CrossRef]
- Kim, H.; Choi, H.; Hong, T.; Ji, C.; Lee, J. Evolutionary game analysis of green loans program to achieve the national carbon emissions reduction target in South Korea. J. Manag. Eng. 2022, 38, 04022018. [Google Scholar] [CrossRef]
- Zain, M.; Ngamkhanong, C.; Kang, T.H.K.; Usman, M.; Prasittisopin, L. Modal-based fragility analysis of high-rise tubular structures: A methodology for vulnerability assessment. Structures 2024, 63, 106289. [Google Scholar] [CrossRef]
- Bajra, U.Q.; Rogova, E.; Avdiaj, S. Cryptocurrency blockchain and its carbon footprint: Anticipating future challenges. Technol. Soc. 2024, 77, 102571. [Google Scholar] [CrossRef]
- Zain, M.; Prasittisopin, L.; Mehmood, T.; Ngamkhanong, C.; Keawsawasvong, S.; Thongchom, C. A novel framework for effective structural vulnerability assessment of tubular structures using machine learning algorithms (GA and ANN) for hybrid simulations. Nonlinear Eng. 2024, 13, 20220365. [Google Scholar] [CrossRef]
- Win, T.T.; Raengthon, N.; Prasittisopin, L. Advanced cement composites: Investigating the role of graphene quantum dots in improving thermal and mechanical performance. J. Build. Eng. 2024, 96, 110556. [Google Scholar] [CrossRef]
- Trejo, D.; Prasittisopin, L. Effects of mixing variables on early-age characteristics of portland cement systems. J. Mater. Civ. Eng. 2006, 28, 04016094. [Google Scholar] [CrossRef]
- Win, T.T.; Prasittisopin, L.; Nganglumpoon, R.; Pinthong, P.; Watmanee, S.; Tolek, W.; Panpranot, J. Innovative GQDs and supra-GQDs assemblies for developing high strength and conductive cement composites. Constr. Build. Mater. 2024, 421, 135693. [Google Scholar] [CrossRef]
- Win, T.T.; Prasittisopin, L.; Nganglumpoon, R.; Pinthong, P.; Watmanee, S.; Tolek, W.; Panpranot, J. Chemo-physical mechanisms of high-strength cement composites with suprastructure of graphene quantum dots. Clean. Mater. 2024, 11, 100229. [Google Scholar] [CrossRef]
- Lu, D.; Wang, D.; Wang, Y.; Zhong, J. Nano-engineering the interfacial transition zone between recycled concrete aggregates and fresh paste with graphene oxide. Constr. Build. Mater. 2023, 384, 131244. [Google Scholar] [CrossRef]
- Akduman, S.; Aktepe, R.; Aldemir, A.; Ozcelikci, E.; Alam, B.; Sahmaran, M. Opportunities and challenges in constructing a demountable precast building using C&D waste-based geopolymer concrete: A case study in Türkiye. J. Clean. Prod. 2024, 434, 139976. [Google Scholar] [CrossRef]
- Makul, N.; Fediuk, R.; Amran, M.; Zeyad, A.M.; Klyuev, S.; Chulkova, I.; Ozbakkaloglu, T.; Vatin, N.; Karelina, M.; Azevedo, A. Design Strategy for Recycled Aggregate Concrete: A Review of Status and Future Perspectives. Crystals 2021, 11, 695. [Google Scholar] [CrossRef]
- Hoang, N.H.; Ishigaki, T.; Kubota, R.; Tong, T.K.; Nguyen, T.T.; Nguyen, H.G.; Yamada, M.; Kawamoto, K. Financial and economic evaluation of construction and demolition waste recycling in Hanoi, Vietnam. Waste Manag. 2021, 131, 294–304. [Google Scholar] [CrossRef]
- Katerusha, D. Barriers to the use of recycled concrete from the perspective of executing companies and possible solution approaches-case study Germany and Switzerland. Resour. Policy 2021, 73, 102212. [Google Scholar] [CrossRef]
- Ferronato, N.; Fuentes Sirpa, R.C.; Guisbert Lizarazu, E.G.; Conti, F.; Torretta, V. Construction and demolition waste recycling in developing cities: Management and cost analysis. Environ. Sci. Pollut. Res. 2023, 30, 24377–24397. [Google Scholar] [CrossRef]
- De Silva, S.; Samarakoon, S.S.M.; Haq, M.A.A. Use of circular economy practices during the renovation of old buildings in developing countries. Sustain. Futures 2023, 6, 100135. [Google Scholar] [CrossRef]
- Prasittisopin, L.; Kitkuakul, P.; Chotchakornpant, K.; Rugkhapan, N.T. Implementing the sister city policy: Perspectives from Thailand. Nakhara J. Environ. Des. Plan. 2024, 23, 413. [Google Scholar] [CrossRef]
- Nitichote, K.; Yodsudjai, W. Recycled Aggregates Production Through Economic Perspectives. Int. J. Sustain. Constr. Eng. Technol. 2022, 13, 257–263. [Google Scholar] [CrossRef]
- Tetiranont, T.; Sadakorn, W.; Rugkhapan, N.T.; Prasittisopin, L. Enhancing Sustainable Railway Station Design in Tropical Climates: Insights from Thailand’s Architectural Theses and Case Studies. Buildings 2024, 14, 829. [Google Scholar] [CrossRef]
- Liu, J.; Li, J. Economic benefit analysis of the carbon potential of construction waste resource management based on a simulation of carbon trading policy. Environ. Sci. Pollut. Res. 2023, 30, 85986–86009. [Google Scholar] [CrossRef]
- Anderson, J.; Moncaster, A. Embodied carbon of concrete in buildings, Part 1: Analysis of published EPD. Build. Cities 2020, 1, 198–217. [Google Scholar] [CrossRef]
- AzariJafari, H.; Rangelov, M.; Gregory, J.; Kirchain, R. Suitability of EPDs for supporting life cycle and comparative analysis of concrete mixtures. Environ. Sci. Technol. 2023, 57, 7321–7327. [Google Scholar] [CrossRef] [PubMed]
- Rangelov, M.; Dylla, H.; Sivaneswaran, N. Environmental product declarations (EPDs)/product category rules (PCRs) of waste plastics and recycled materials in roads. In Plastic Waste for Sustainable Asphalt Roads; Woodhead Publishing: Cambridge, UK, 2022; pp. 303–334. [Google Scholar] [CrossRef]
- Tsydenova, N.; Becker, T.; Walther, G. Optimised design of concrete recycling networks: The case of North Rhine-Westphalia. Waste Manag. 2021, 135, 309–317. [Google Scholar] [CrossRef] [PubMed]
- Atanga, R.A.; Wang, Y.; Ayambire, R.A.; Wang, C.; Xu, M.; Li, J. Sister city partnerships and sustainable development in emerging cities: Empirical cases from Ghana and Tanzania. Habitat Int. 2024, 154, 103208. [Google Scholar] [CrossRef]
- Singer, M.N.; Hamouda, M.A.; El-Hassan, H.; Hinge, G. Permeable Pavement Systems for Effective Management of Stormwater Quantity and Quality: A Bibliometric Analysis and Highlights of Recent Advancements. Sustainability 2022, 14, 13061. [Google Scholar] [CrossRef]
- Nedeljković, M.; Visser, J.; Šavija, B.; Valcke, S.; Schlangen, E. Use of fine recycled concrete aggregates in concrete: A critical review. J. Build. Eng. 2021, 38, 102196. [Google Scholar] [CrossRef]
- Hou, S.; Duan, Z.; Xiao, J.; Ye, J. A review of 3D printed concrete: Performance requirements, testing measurements and mix design. Constr. Build. Mater. 2021, 273, 121745. [Google Scholar] [CrossRef]
- Kirthika, S.K.; Singh, S.K.; Chourasia, A. Alternative fine aggregates in production of sustainable concrete—A review. J. Clean. Prod. 2020, 268, 122089. [Google Scholar] [CrossRef]
- Zhang, Y.; Luo, W.; Wang, J.; Wang, Y.; Xu, Y.; Xiao, J. A review of life cycle assessment of recycled aggregate concrete. Constr. Build. Mater. 2019, 209, 115–125. [Google Scholar] [CrossRef]











| Study Type | TITLE-ABS-KEY (Review) |
|---|---|
| AND | |
| Recycled concrete aggregate | TITLE-ABS-KEY (recycle * AND aggregate) |
| OR TITLE-ABS-KEY (recycle * AND aggregate AND concrete) | |
| OR TITLE-ABS-KEY (recycle * AND concrete) | |
| OR TITLE-ABS-KEY (reclaime * AND aggregate) | |
| AND | |
| Mix design | TITLE-ABS-KEY (mix * AND design) |
| OR TITLE-ABS-KEY (mix * AND proportion *) |
| Parameter | Number of Observations | a | M |
|---|---|---|---|
| cRCA | 42 | 0.871657 | −0.001913 |
| fRCA | 54 | 0.969544 | −0.002418 |
Disclaimer/Publisher’s Note: The statements, opinions and data contained in all publications are solely those of the individual author(s) and contributor(s) and not of MDPI and/or the editor(s). MDPI and/or the editor(s) disclaim responsibility for any injury to people or property resulting from any ideas, methods, instructions or products referred to in the content. |
© 2025 by the authors. Licensee MDPI, Basel, Switzerland. This article is an open access article distributed under the terms and conditions of the Creative Commons Attribution (CC BY) license (https://creativecommons.org/licenses/by/4.0/).
Share and Cite
Prasittisopin, L.; Tuvayanond, W.; Kang, T.H.-K.; Kaewunruen, S. Concrete Mix Design of Recycled Concrete Aggregate (RCA): Analysis of Review Papers, Characteristics, Research Trends, and Underexplored Topics. Resources 2025, 14, 21. https://doi.org/10.3390/resources14020021
Prasittisopin L, Tuvayanond W, Kang TH-K, Kaewunruen S. Concrete Mix Design of Recycled Concrete Aggregate (RCA): Analysis of Review Papers, Characteristics, Research Trends, and Underexplored Topics. Resources. 2025; 14(2):21. https://doi.org/10.3390/resources14020021
Chicago/Turabian StylePrasittisopin, Lapyote, Wiput Tuvayanond, Thomas H.-K. Kang, and Sakdirat Kaewunruen. 2025. "Concrete Mix Design of Recycled Concrete Aggregate (RCA): Analysis of Review Papers, Characteristics, Research Trends, and Underexplored Topics" Resources 14, no. 2: 21. https://doi.org/10.3390/resources14020021
APA StylePrasittisopin, L., Tuvayanond, W., Kang, T. H.-K., & Kaewunruen, S. (2025). Concrete Mix Design of Recycled Concrete Aggregate (RCA): Analysis of Review Papers, Characteristics, Research Trends, and Underexplored Topics. Resources, 14(2), 21. https://doi.org/10.3390/resources14020021

