Ultra-Thin Al2O3 Grown by PEALD for Low-Power Molybdenum Disulfide Field-Effect Transistors
Abstract
1. Introduction
2. Results and Discussion
2.1. Characterization of Al2O3 Thin Films
2.2. Breakdown Field of Al2O3 Thin Films
2.3. Dielectric Properties of Al2O3 Thin Films
2.4. Characterization of Top-Gated MoS2 FETs with Al2O3 Thin Films
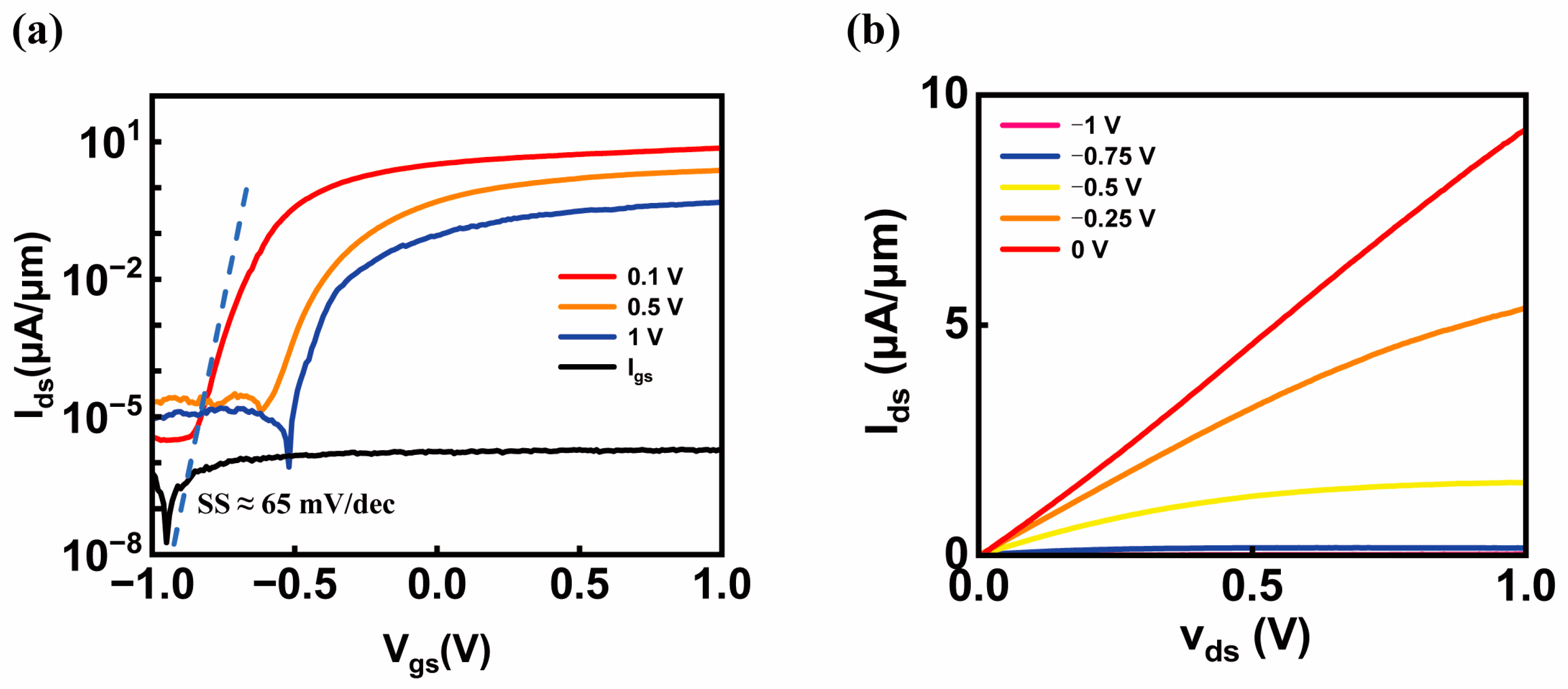
2.5. Electrical Performance of MoS2 FETs
3. Materials and Methods
4. Conclusions
Supplementary Materials
Author Contributions
Funding
Data Availability Statement
Acknowledgments
Conflicts of Interest
Abbreviations
| FETs | Field-effect transistors |
| EOT | Equivalent oxide thickness |
| CVD | Chemical vapor deposition |
| AFM | Atomic force microscopy |
| TMA | Trimethylaluminum [Al(CH3)3] |
| SEM | Scanning electron microscope |
| EDS | Energy dispersive spectrometer |
| SS | Subthreshold swing |
| VT | Threshold voltage |
| μ | Mobility |
| Ra | Arithmetic mean roughness |
| ICs | Integrated circuits |
| PDMS | Polydimethylsiloxane |
References
- Das, S.; Sebastian, A.; Pop, E.; McClellan, C.J.; Franklin, A.D.; Grasser, T.; Knobloch, T.; Illarionov, Y.; Penumatcha, A.V.; Appenzeller, J.; et al. Transistors based on two-dimensional materials for future integrated circuits. Nat. Electron. 2021, 4, 786–799. [Google Scholar] [CrossRef]
- Wang, S.; Liu, X.; Xu, M.; Liu, L.; Yang, D.; Zhou, P. Two-dimensional devices and integration towards the silicon lines. Nat. Mater. 2022, 21, 1225–1239. [Google Scholar] [CrossRef] [PubMed]
- Yang, S.; Liu, K.; Xu, Y.; Liu, L.; Li, H.; Zhai, T. Gate Dielectrics Integration for 2D Electronics: Challenges, Advances, and Outlook. Adv. Mater. 2023, 35, e2207901. [Google Scholar] [CrossRef]
- Lin, Y.C.; Lin, C.M.; Chen, H.Y.; Vaziri, S.; Bao, X.; Woon, W.Y.; Wang, H.; Liao, S.S. Dielectric Material Technologies for 2-D Semiconductor Transistor Scaling. IEEE Trans. Electron Devices 2023, 70, 1454–1473. [Google Scholar] [CrossRef]
- Illarionov, Y.Y.; Knobloch, T.; Jech, M.; Lanza, M.; Akinwande, D.; Vexler, M.I.; Mueller, T.; Lemme, M.C.; Fiori, G.; Schwierz, F.; et al. Insulators for 2D nanoelectronics: The gap to bridge. Nat. Commun. 2020, 11, 3385. [Google Scholar] [CrossRef]
- Kilby, J.S. Invention of the integrated circuit. IEEE Trans. Electron Devices 1976, 23, 648–654. [Google Scholar] [CrossRef]
- Kingon, A.I.; Maria, J.-P.; Streiffer, S.K. Alternative dielectrics to silicon dioxide for memory and logic devices. Nature 2000, 406, 1032–1038. [Google Scholar] [CrossRef]
- Muller, D.A.; Sorsch, T.; Moccio, S.; Baumann, F.H.; Evans-Lutterodt, K.; Timp, G. The electronic structure at the atomic scale of ultrathin gate oxides. Nature 1999, 399, 758–761. [Google Scholar] [CrossRef]
- Luisier, M.; Klimeck, G. Simulation of nanowire tunneling transistors: From the Wentzel–Kramers–Brillouin approximation to full-band phonon-assisted tunneling. J. Appl. Phys. 2010, 107, 084507. [Google Scholar] [CrossRef]
- Wong, H.; Iwai, H. On the scaling of subnanometer EOT gate dielectrics for ultimate nano CMOS technology. Microelectron. Eng. 2015, 138, 57–76. [Google Scholar] [CrossRef]
- Wang, B.; Huang, W.; Chi, L.; Al-Hashimi, M.; Marks, T.J.; Facchetti, A. High-k Gate Dielectrics for Emerging Flexible and Stretchable Electronics. Chem. Rev. 2018, 118, 5690–5754. [Google Scholar] [CrossRef] [PubMed]
- Li, W.; Zhou, J.; Cai, S.; Yu, Z.; Zhang, J.; Fang, N.; Li, T.; Wu, Y.; Chen, T.; Xie, X.; et al. Uniform and ultrathin high-κ gate dielectrics for two-dimensional electronic devices. Nat. Electron. 2019, 2, 563–571. [Google Scholar] [CrossRef]
- Xu, W.; Jiang, J.; Chen, Y.; Tang, N.; Jiang, C.; Yang, S. Single-crystalline High-κ GdOCl dielectric for two-dimensional field-effect transistors. Nat. Commun. 2024, 15, 9469. [Google Scholar] [CrossRef]
- Yin, L.; Cheng, R.; Wan, X.; Ding, J.; Jia, J.; Wen, Y.; Liu, X.; Guo, Y.; He, J. High-κ monocrystalline dielectrics for low-power two-dimensional electronics. Nat. Mater. 2024, 24, 197–204. [Google Scholar] [CrossRef]
- Chen, J.; Liu, Z.; Dong, X.; Gao, Z.; Lin, Y.; He, Y.; Duan, Y.; Cheng, T.; Zhou, Z.; Fu, H.; et al. Vertically grown ultrathin Bi2SiO5 as high-κ single-crystalline gate dielectric. Nat. Commun. 2023, 14, 4406. [Google Scholar] [CrossRef]
- Yi, K.; Qin, W.; Huang, Y.; Wu, Y.; Feng, S.; Fang, Q.; Cao, X.; Deng, Y.; Zhu, C.; Zou, X.; et al. Integration of high-κ native oxides of gallium for two-dimensional transistors. Nat. Electron. 2024, 7, 1126–1136. [Google Scholar] [CrossRef]
- Li, S.; Liu, X.; Yang, H.; Zhu, H.; Fang, X. Two-dimensional perovskite oxide as a photoactive high-κ gate dielectric. Nat. Electron. 2024, 7, 216–224. [Google Scholar] [CrossRef]
- Zhang, X.-H.; Domercq, B.; Wang, X.; Yoo, S.; Kondo, T.; Wang, Z.L.; Kippelen, B. High-performance pentacene field-effect transistors using Al2O3 gate dielectrics prepared by atomic layer deposition (ALD). Org. Electron. 2007, 8, 718–726. [Google Scholar] [CrossRef]
- Ma, P.; Du, L.; Wang, Y.; Jiang, R.; Xin, Q.; Li, Y.; Song, A. Low voltage operation of IGZO thin film transistors enabled by ultrathin Al2O3 gate dielectric. Appl. Phys. Lett. 2018, 112, 023501. [Google Scholar] [CrossRef]
- Bolshakov, P.; Zhao, P.; Azcatl, A.; Hurley, P.K.; Wallace, R.M.; Young, C.D. Electrical characterization of top-gated molybdenum disulfide field-effect-transistors with high-k dielectrics. Microelectron. Eng. 2017, 178, 190–193. [Google Scholar] [CrossRef]
- Jeong, S.H.; Liu, N.; Park, H.; Hong, Y.K.; Kim, S. Temperature-Dependent Electrical Properties of Al2O3-Passivated Multilayer MoS2 Thin-Film Transistors. Appl. Sci. 2018, 8, 424. [Google Scholar] [CrossRef]
- Tanigawa, H.; Matsuura, K.; Muneta, I.; Hoshii, T.; Kakushima, K.; Tsutsui, K.; Wakabayashi, H. Enhancement-mode accumulation capacitance–voltage characteristics in TiN/ALD-Al2O3/sputtered-MoS2 top-gated stacks. Jpn. J. Appl. Phys. 2020, 59, SMMC01. [Google Scholar] [CrossRef]
- Hong, W.; Sik, O.D.; Choi, S.-Y. Passivation layer effect on the positive bias temperature instability of molybdenum disulfide thin film transistors. J. Inf. Disp. 2021, 22, 13–19. [Google Scholar] [CrossRef]
- Chang, Y.-H.; Yu, M.-J.; Lin, R.-P.; Hsu, C.-P.; Hou, T.-H. Abnormal positive bias stress instability of In–Ga–Zn–O thin-film transistors with low-temperature Al2O3 gate dielectric. Appl. Phys. Lett. 2016, 108, 033502. [Google Scholar] [CrossRef]
- Iatsunskyi, I.; Kempiński, M.; Jancelewicz, M.; Załęski, K.; Jurga, S.; Smyntyna, V. Structural and XPS characterization of ALD Al2O3 coated porous silicon. Vacuum 2015, 113, 52–58. [Google Scholar] [CrossRef]
- Movva, H.C.P.; Rai, A.; Kang, S.; Kim, K.; Fallahazad, B.; Taniguchi, T.; Watanabe, K.; Tutuc, E.; Banerjee, S.K. High-Mobility Holes in Dual-Gated WSe2 Field-Effect Transistors. ACS Nano 2015, 9, 10402–10410. [Google Scholar] [CrossRef]
- Wang, J.I.J.; Yang, Y.; Chen, Y.-A.; Watanabe, K.; Taniguchi, T.; Churchill, H.O.H.; Jarillo-Herrero, P. Electronic Transport of Encapsulated Graphene and WSe2 Devices Fabricated by Pick-up of Prepatterned hBN. Nano Lett. 2015, 15, 1898–1903. [Google Scholar] [CrossRef]
- Koval, V.; Viola, G.; Zhang, M.; Faberova, M.; Bures, R.; Yan, H. Dielectric relaxation and conductivity phenomena in ferroelectric ceramics at high temperatures. J. Eur. Ceram. Soc. 2024, 44, 2886–2902. [Google Scholar] [CrossRef]
- Groner, M.D.; Fabreguette, F.H.; Elam, J.W.; George, S.M. Low-Temperature Al2O3 Atomic Layer Deposition. Chem. Mater. 2004, 16, 639–645. [Google Scholar] [CrossRef]
- Chen, R.; Zhou, W.; Zhang, M.; Kwok, H.S. High performance self-aligned top-gate ZnO thin film transistors using sputtered Al2O3 gate dielectric. Thin Solid Films 2012, 520, 6681–6683. [Google Scholar] [CrossRef]
- Liu, A.; Liu, G.-X.; Shan, F.-K.; Zhu, H.-H.; Shin, B.C.; Lee, W.J.; Cho, C.R. High-Performance InTiZnO Thin-Film Transistors Deposited by Magnetron Sputtering. Chin. Phys. Lett. 2013, 30, 127301. [Google Scholar] [CrossRef]
- Kim, H.W.; Oh, C.; Jang, H.; Kim, M.Y.; Kim, B.S. Influence of oxygen-related defects on In-Ga-Sn-O semiconductor due to plasma-enhanced atomic layer deposition of Al2O3 for low-temperature thin-film transistor in terms of electrical properties. J. Alloys Compd. 2022, 918, 165649. [Google Scholar] [CrossRef]
- Li, P.; Yang, J.; Ding, X.; Li, X.; Zhang, J. High-Performance of InGaZnO TFTs With an Ultrathin 5-nm Al2O3 Gate Dielectric Enabled by a Novel Atomic Layer Deposition Method. IEEE J. Electron Devices Soc. 2024, 12, 121–126. [Google Scholar] [CrossRef]
- Han, L.; Huang, Y.; Tang, W.; Chen, S.; Zhao, J.; Guo, X. Reducing contact resistance in bottom contact organic field effect transistors for integrated electronics. J. Phys. D Appl. Phys. 2019, 53, 014002. [Google Scholar] [CrossRef]





Disclaimer/Publisher’s Note: The statements, opinions and data contained in all publications are solely those of the individual author(s) and contributor(s) and not of MDPI and/or the editor(s). MDPI and/or the editor(s) disclaim responsibility for any injury to people or property resulting from any ideas, methods, instructions or products referred to in the content. |
© 2025 by the authors. Licensee MDPI, Basel, Switzerland. This article is an open access article distributed under the terms and conditions of the Creative Commons Attribution (CC BY) license (https://creativecommons.org/licenses/by/4.0/).
Share and Cite
Sun, S.; Ma, D.; Ye, B.; Liu, G.; Luo, N.; Huang, H. Ultra-Thin Al2O3 Grown by PEALD for Low-Power Molybdenum Disulfide Field-Effect Transistors. J. Low Power Electron. Appl. 2025, 15, 26. https://doi.org/10.3390/jlpea15020026
Sun S, Ma D, Ye B, Liu G, Luo N, Huang H. Ultra-Thin Al2O3 Grown by PEALD for Low-Power Molybdenum Disulfide Field-Effect Transistors. Journal of Low Power Electronics and Applications. 2025; 15(2):26. https://doi.org/10.3390/jlpea15020026
Chicago/Turabian StyleSun, Shiwei, Dinghao Ma, Boxi Ye, Guanshun Liu, Nanting Luo, and Hao Huang. 2025. "Ultra-Thin Al2O3 Grown by PEALD for Low-Power Molybdenum Disulfide Field-Effect Transistors" Journal of Low Power Electronics and Applications 15, no. 2: 26. https://doi.org/10.3390/jlpea15020026
APA StyleSun, S., Ma, D., Ye, B., Liu, G., Luo, N., & Huang, H. (2025). Ultra-Thin Al2O3 Grown by PEALD for Low-Power Molybdenum Disulfide Field-Effect Transistors. Journal of Low Power Electronics and Applications, 15(2), 26. https://doi.org/10.3390/jlpea15020026

