Abstract
In recent years, blockchain has been increasingly used in shipping supply chains, enabling supply chain members to track the production process of shipping products, thereby increasing visibility for firms and boosting their competitiveness. When firms decide whether to invest in blockchain, they crucially consider the cost of development and fairness of profit distribution along the supply chain, with a particular focus on non-linear production cost and fairness concern. We build a Stackelberg game model for four scenarios utilizing a two-echelon supply chain made up of a single shipping company and a single freight forwarder, taking into account fairness concern and non-linear production cost. We analyze how participants in the shipping supply chain make decisions when the shipping company has non-linear production cost and the freight forwarder has fairness concern. The findings suggest that the interaction between the non-linear production cost of the shipping company and the level of fairness concern of the freight forwarder affects the managerial decisions of both the freight forwarder and the shipping company. In the presence of economies of scale or diseconomies of scale, fairness concern can effectively help the freight forwarder to increase its share of profits within the supply chain, while the shipping company changes in the opposite direction. Furthermore, when the freight forwarder takes fairness concern into account, its profit and utility do not always rise in direct proportion to the fairness concern degree. Interestingly, there is always an inverse relationship between the shipping company’s profit and the degree of fairness concern, regardless of whether there are economies of scale or diseconomies of scale. This paper provides management insights for companies considering blockchain in their plans, highlighting the importance of combining non-linear production cost and fairness concern to achieve profit goals.
1. Introduction
Currently, shipping logistics is the predominant means of cargo transport, accounting for up to 90% of global freight transport annually [1]. The shipping industry supports the global economy by lowering logistics costs for the entire population and providing a solid assurance for improving global connectivity. The development of a safe, stable, seamless, effective, and mutually beneficial global supply chain system significantly boosts the long-term growth of the world economy and commerce. China Ocean Shipping Company is currently committed to creating a global digital supply chain platform and establishing a global digital supply chain service ecosystem that integrates ports, logistics, and shipping.1 Decentralized, traceable, collaborative, open, and transparent blockchain technology is actively used by a number of shipping companies as the underlying architecture for logistics platforms [2,3,4]. With its many benefits, blockchain, as a unique data structure, facilitates decision-making for all parties involved in the shipping supply chain. By using timestamps to demonstrate data sharing and visibility, blockchain technology can efficiently link the shipping supply chain, enhancing traceability and transparency and improving customs clearance efficiency [5]. These characteristics have led to the gradual application of blockchain technology in global logistics in the shipping supply chain, helping companies improve service efficiency, track the status of goods in real time, and increase logistics transparency [6]. In the digital age, blockchain technology helps maritime freight business to remain competitive in order to establish sustainable, efficient and effective maritime freight transportation [7]. To enhance their competitiveness, freight forwarders actively utilize blockchain technology as participants in shipping logistics to establish a blockchain platform.
There have been many studies on blockchain technology in supply chain-related areas. Nonetheless, the majority of research operates under the assumption that all decision-makers are completely rational and seek to maximize their interests [8]. However, fairness concern and other variables can influence decision-makers during the actual decision-making process, making them less likely to make completely rational decisions. Fairness concern has been defined as “the decision-maker chooses to forego some monetary gain in order to achieve a fairer outcome” [9]. In other words, the decision-maker prioritizes maximizing their personal gain while simultaneously considering how fairly the gain would be distributed [10]. For example, JD.com forces merchants to participate in promotions and locks up background inventories, which seriously infringes on the rights of registered businesses and causes dozens of brands to retreat from JD.com [11]. The minimum discounts, which are often required by the platform, exceed the merchant’s cost line, forcing the cost of promotion to be passed on to the supplier. This preoccupation with self-interest and neglect of the survival and development needs of partners has led to an imbalance in the distribution of profits, creating a stronger fairness concern among vendors. Similarly, in China, XuZhou Waji Trading, a key partner of Procter & Gamble [12], announced the termination of cooperation. Its public declaration points out that there are disputes concerning fairness between the two parties over pricing strategies and profit-sharing mechanisms. When shipping supply chain participants contribute to the development of the blockchain platform, there is a strong emphasis on striking a balance between cost and profit. The final profit is influenced by various factors, including costs, ocean freight, and total freight. Such “free-riding” behaviors tend to upset the party with expensive inputs and increase its sensitivity to profit sharing. Functional logistics service providers are concerned about their profits, but they are also concerned about fairness and consider the profits of others in the supply chain as a reference [13]. Fair profits can encourage supply chain participants to collaborate to deliver high-quality logistics services, maximizing the overall efficiency of the logistics network [14].
Driven by fairness concerns, enterprises are more willing to jointly invest in shipping blockchain platforms for cooperation. They share initial fixed costs to reduce average costs and achieve economies of scale. This cooperative model can not only effectively utilize the economies of scale but also alleviate cost pressures to a certain extent. Consequently, supply chain participants are more likely to share the costs of building a blockchain and determine the level of fairness they are willing to tolerate based on personal experience. Fairness concern affects not only cost sharing but also profit allocation [11], which in turn increases the sensitivity of firms to the level of input costs and cost structures. By rationally allocating costs and profits, companies are able to optimize production decisions and improve the overall efficiency and stability of the supply chain. Fairness concern has become an important factor for companies to deal with cost structure changes and achieve sustainable cooperation.
In practice, companies’ production costs are generally non-linear, specifically referring to economies of scale and diseconomies of scale. There is a certain correlation between non-linear production cost and fairness concern. Under economies of scale, unit costs decline as production expands, creating greater profit margins for supply chain members and facilitating consensus on fair profit distribution. Comparatively, Changhong, Konka, Hisense, and other Chinese firms are experiencing rising costs due to diseconomies of scale. This is squeezing their profit margins and making the importance of mitigating diseconomies of scale even more pronounced [15]. Under cost pressure, supply chain members need fairness concerns more to maintain cooperation stability and sustainability. The firms with fairness concerns tend to favor a rational allocation of output to prevent individual members from over-expanding and triggering diseconomies of scale. When profit distribution is fair, firms are more motivated to optimize production processes and leverage economies of scale to reduce costs. This enhances the efficiency of the entire supply chain while ensuring the interests of all members are properly safeguarded. In summary, fairness concern is not only about profit distribution but also an important reflection of enterprises’ sensitivity and adaptability to non-linear production cost.
It is common for manufacturers to experience economies or diseconomies during the production process due to a number of factors, such as technical capacity, product variety, and production experience [16,17]. Generally, production diseconomies occur when a manufacturer’s capacity to produce goods is constrained or when the cost of coordination increases as the quantity of items increases [13]. For instance, Mollick [18] finds that as Japanese automakers scaled up, their marginal costs increased, causing diseconomies of scale, which can also occur in smaller businesses operating below industry-specified minimum sizes. Companies can enhance their competitiveness by maintaining a certain degree of economies of scale. The presence of economies of scale lowers the threshold of competitive intensity, according to a comparison between supply-side economies of scale and competitive intensity [19]. For example, Amazon is the world’s largest internet retailer in terms of total sales and market capitalization, offering a wide selection of products at low prices. However, Amazon can sell at low prices due to its ability to leverage economies of scale to remain competitive.2 In addition to the savings gained from employing advanced production methods or modular design, reducing unit production costs can also lead to increased productivity [20,21]. Thus, non-linear production costs impact companies’ choices and earnings to some extent, and it is critical to investigate their implications for the operational effectiveness of the shipping supply chain.
In summary, there is a lot of literature on supply chain research regarding fairness concern and non-linear production costs, but fewer studies address the consideration of non-linear production costs and fairness concern when supply chain members invest in blockchain applications. Due to the high expenses associated with establishing and implementing blockchain technology, supply chain members take fairness concern into account while developing a blockchain platform. The shipping company’s non-linear production costs affect the level of its production costs, which in turn affects its own profit. In the context of the application of blockchain, and considering non-linear production costs, fairness concern behavior enables the shipping company and freight forwarder to adapt their decisions. Thus, it is crucial to investigate how non-linear production costs and fairness concern affect supply chain participants’ decision-making to enhance the overall operational efficiency of the supply chain. In the context of the freight forwarder building a blockchain platform, this paper considers non-linear production costs and fairness concern within a two-echelon supply chain consisting of a shipping company and a freight forwarder. Our research aims to address three specific questions.
- (1)
- How do economies of scale and diseconomies of scale affect profit distribution and fairness concern choices among members in the shipping supply chain?
- (2)
- Compared to fairness neutrality, can fairness concern bring more profits to the freight forwarder and the shipping company?
- (3)
- How do economies of scale or diseconomies of scale and fairness concern jointly influence supply chain equilibrium decisions and profitability?
To study the above problems, we establish a two-echelon shipping supply chain consisting of a shipping company and a freight forwarder. In this study, we assume that the shipping company plays a dominant role as the leading player, while the freight forwarder follows and subsequently determines the total freight offered to the shipper. Based on the non-linear production costs of the shipping company and the fairness concern of the freight forwarder, this paper constructs four models: (1) Scenario EN, where there are economies of scale for the shipping company and fairness neutrality for the freight forwarder. (2) Scenario EF, where there are economies of scale for the shipping company and fairness concern for the freight forwarder. (3) Scenario DN, where there are diseconomies of scale for the shipping company and fairness neutrality for the freight forwarder. (4) Scenario DF, where there are diseconomies of scale for the shipping company and fairness concern for the freight forwarder.
By comparing the four scenarios above, the above three questions can be answered one by one. Here are several key conclusions emerging from the study. First, the freight forwarder views fairness concern as a means to boost its profit margin within the shipping supply chain. The freight forwarder’s choice of fairness concern is unaffected by economies of scale or diseconomies of scale. However, regardless of economies of scale or diseconomies of scale, the profit of the shipping company under fairness neutrality is higher than that under fairness concern. Second, in the case of economies of scale or diseconomies of scale, the freight forwarder’s profit and utility do not always increase in direct proportion to the degree of fairness concern. However, regardless of economies of scale or diseconomies of scale, the profit of the shipping company is inversely proportional to fairness concern. Finally, when there are economies of scale or diseconomies of scale, the interaction of these factors with the fairness concern influences the choices made by the freight forwarder and the shipping company, which may ultimately impact final earnings. As a result, to sustain supply chain coordination, both the shipping company and the freight forwarder maintain a reasonable level of fairness concern and economies of scale. These studies not only enrich previous research but also reveal the interaction of non-linear production costs and fairness concern.
In summary, this research makes three primary contributions. First, we analyze how the decisions and profits of supply chain participants are affected by economies of scale and diseconomies of scale when the freight forwarder takes fairness concern into account. Prior research has examined the influence of various factors or a single degree of fairness concern on the supply chain. However, non-linear production costs and fairness concern have not been thoroughly examined. This work can narrow the research gap in this field by considering both non-linear production costs and fairness concern simultaneously. Second, we examine the combined effects of economies of scale, diseconomies of scale, and fairness concern on supply chain members. This demonstrates that the degree of scale economies, scale diseconomies, and fairness concern influences the final choices and financial gains of supply chain participants. Thus, maintaining the intensity at a manageable level ensures the durability and stability of the supply chain. Finally, we analyze the effects of economies of scale and diseconomies of scale on the decisions and profits of supply chain members in cases of fairness neutrality and fairness concern. We find that the supply chain participants become more profitable when there are economies of scale. Both the shipping company and the freight forwarder need to increase their focus on fairness concern and economies of scale to more effectively integrate the two aspects.
The rest of this paper is organized as follows. In Section 2, we review three relevant streams of literature. Section 3 describes the model setup. Under economies of scale, the effects of economies of scale and fairness concern on supply chain participants are illustrated in Section 4. Under diseconomies of scale, Section 5 illustrates the impact of the degree of diseconomies of scale and fairness concern on supply chain members. Section 6 examines the influence of economies of scale and diseconomies of scale on the shipping company and freight forwarder when fairness concern exists. Section 7 presents numerical simulations. Section 8 presents main results and suggests possible future research directions. All proofs are provided in the Appendix A.
2. Literature Review
There are three main areas of literature relevant to this paper: blockchain-based shipping supply chain, non-linear production cost, and fairness concern. Next, we review the literature pertaining to these areas and outline the differences between our study and previous studies.
2.1. Blockchain-Based Shipping Supply Chain
The competition and cooperation among ports, carriers, and terminals in the shipping market have attracted significant research attention. Many companies have chosen to apply artificial intelligence technology to port operations to enhance their competitiveness. Although artificial intelligence technology can improve the efficiency of port operations and service quality, ports must bear certain costs [22]. Companies are increasingly focusing on supply chain-wide product quality visibility to ensure product quality and safety while reducing the likelihood of supply and demand disruptions [23]. Choi [24] examines the financial characteristics of product sales in the supply chain and provides an example of how blockchain services can be utilized for risk management. Zhu et al. [25] investigate how blockchain use affects cost reduction effort and profit by comparing two types of firms: superior brand firms and inferior brand firms. Xu et al. [26] explore the possibilities and current obstacles faced by German original equipment manufacturers in implementing blockchain technology. The results suggest that blockchain applications offer advantages in aggregating product information, securing transaction data, and establishing a reliable supply chain. Babaei et al. [27] assess the application of blockchain in energy supply chains, developing an integrated framework evaluated through multiple models. They identify investment costs and blockchain deployment as key barriers to blockchain adoption in renewable energy supply chains. Babaei et al. [28] categorize the application of blockchain in green supply chain management and present mathematical optimization models, finding that the objective function of green product tracking costs is more sensitive to the number of blocks.
However, Yang [29] shows that the application of blockchain technology in the shipping supply chain still lacks research. Previous literature has analyzed the impact of blockchain-based shipping supply chains, such as changing the operations of shipping companies [30], increasing the efficiency of shipping operations [31,32,33], as well as being vulnerable to a lack of trust [34] and being unwise as a countermeasure for overconfidence [35]. Many scholars have also employed different methodologies to enhance research on blockchain-based shipping supply chains. Wang et al. [1] enrich the application of blockchain technology in the shipping industry through qualitative modeling. In addition, they are considered to be the first to theoretically discuss the values and application strategies of blockchain technology in competitive environments. Xin et al. [6] discuss vertical shipping supply chains, focusing on enhancing collaboration between the port and shipping industries through blockchain technology. The study also examines the technology’s capability to improve consumer surplus and social value. Liu et al. [36] examine how technological advancements in blockchain services affect asymmetric market size competition, thereby broadening the market for blockchain services. Li et al. [37] investigate the value of ocean shipping companies using a game theory model and find that blockchain costs influence both the pattern of encroachment and the adoption of blockchain technology.
Our paper differs from Xin et al. [6] and Babaei et al. [27]. First, we construct a two-echelon shipping supply chain consisting of a shipping company and a freight forwarder for research. In the Stackelberg game, the shipping company is the dominant player in the supply chain, while the freight forwarder is the follower. Second, unlike traditional blockchain, we study the decision-making and profit changes of supply chain members when a freight forwarder invests in and applies a blockchain platform. In this context, we introduce the concept of fairness concern and examine the effects of non-linear production costs on supply chain participants. This research further enriches the theoretical understanding of fairness concern and non-linear production costs.
2.2. Non-Linear Production Cost
The production costs of existing firms are generally non-linear, i.e., characterized by economies of scale and diseconomies of scale. As production scale increases, economies of scale steadily lower the average cost, thereby increasing economic efficiency. Scholars have conducted research on economies of scale. For example, Jin et al. [38] discuss the multi-unit auction problem in the context of economies of scale and diseconomies of scale, utilizing a bounded binary tree approach. Bottasso et al. [39] find that the impact of economies of scale tends to diminish as size increases. Panico and Cennamo [40] show that demand-side economies of scale drive complementors’ incentives and a key factor in the success of platform strategies. Kucheryavyy et al. [41] propose a multi-industry trade model with industry-level economies of scale, noting that economies of scale tend to reduce the gains from trade while amplifying the gains from trade liberalization. Nakatani [42] shows that competition policies encouraging mergers and acquisitions are sensible for maximizing economies of scale in the utility and transportation industry, and that the accumulation of intangible assets such as digital technology, promotes further economies of scale through network effects.
From an economic perspective, diseconomies of scale refer to the phenomenon whereby, as the scale of production increases, the unit cost of production rises, leading to a decrease in marginal returns. Diseconomies in production result in greater production costs and lower sales, creating challenges in profit distribution. Much research has been conducted by scholars on diseconomies of scale. For example, Rawley and Simcoe [43] investigate how firms manage diseconomies of scale following diversification. Ha et al. [44] study the incentive issues related to vertical information sharing in competing supply chains that use production techniques characterized by diseconomies of scale. Studies indicate that when the coefficient of scale diseconomies is modest, the supply chain is more negatively affected. Yi et al. [45] explore the decision-making challenges in a closed-loop supply chain with a retailer-led dual recycling channel, considering the diseconomies of scale faced by downstream recycling companies (recycler/retailer and recycler). Coulombel and Monchambert [46] examine urban public transportation system subsidies and find substantial evidence that bus routes operate under diseconomies of scale. Chen and Tang [47] demonstrate that production diseconomy changes the traditional wisdom regarding the impact of manufacturer encroachment on supply chain performance.
A portion of the literature studies the effects of non-linear production costs while considering both economies of scale and diseconomies of scale. Shang et al. [13] examine how retailers share information when manufacturers compete and find that the degree of competition and non-linear manufacturing costs significantly impact retailers’ incentives to share information. When production costs are non-linear and information access is imprecise, Wang and Zhuo [48] first explore the relationship between ex post information sharing tactics and supplier misappropriation. Wang et al. [21] investigate information sharing strategies in a closed-loop supply chain consisting of three echelons and two channels. Scholars design and employ game-theoretic models to identify the optimal approach for retailer information sharing by considering two types of non-linear production costs faced by manufacturers (diseconomies of production and economies of production). Zhou et al. [49] examine how and why different scale effects influence firms’ delivery arrangement preferences.
Previous studies indicate that most research primarily focuses on the non-linear production costs of retailers, where diseconomies of scale are predominant. This paper presents two key innovations. First, this paper focuses on the shipping company and the freight forwarder within the shipping supply chain, thereby enriching research in this field. Second, given that economies of scale and diseconomies of scale are common phenomena among firms, this paper includes in its study a combination of these two situations for shipping company, whereas Ha et al. [44] focus only on diseconomies of scale. Furthermore, by integrating non-linear production cost with fairness concern, this study addresses certain theoretical gaps in the shipping industry and offers novel insights and directions for future research.
2.3. Fairness Concern
An increasing body of research indicates that assumptions rooted in perfect rationality are not valid in practical applications [50]. Economists continue to accumulate substantial evidence discrediting the hypothesis and discovering that social preferences are prevalent in many firms, with fairness concern being among the most significant of these preferences [51,52].
The majority of academic studies currently focus on supply chain coordination concerning retailers’ fairness concerns. Liu et al. [53] investigate how retailers’ fairness concerns affect cooperative relationships in a three-party sustainable supply chain and how to coordinate the supply chain when the degree of fairness concern is treated as an interval. This study reveals that fairness concerns indeed affect members’ decisions and their cooperation in sustainable supply chain management. Yoshihara and Matsubayashi [54] focus on channel coordination between manufacturers and competing retailers concerning fairness concern. Given that retailers are concerned about fairness, the researchers examine how supply chains can be effectively managed to maximize aggregate channel profitability while preventing utility losses to retailers due to unfavorable disparities. Xiao et al. [55] consider the retailers’ fairness concerns and find that the contractual choices of supply chain systems differ based on varying intensities of fairness concern. Wu et al. [56] study a decentralized, capital-constrained green supply chain consisting of a capital-constrained manufacturer and a retailer. They find that fairness concerns benefit the entire supply chain when their level is relatively high, whereas they can be detrimental when their level is relatively low.
Some scholars have studied supply chain coordination under fairness concern from different perspectives. Guan et al. [57] provide valuable insights into supply chain coordination, particularly examining how Nash-bargaining fairness concerns manifest under various power structures. Diao et al. [58] present new perspectives on how firms develop pricing strategies in dynamic market environments. In particular, consumer fairness concerns can lead to win-win outcomes for manufacturers and retailers, suggesting that firms may prefer not to use strategies like price framing to mitigate fairness concerns. Xia et al. [59] construct a four-stage game model consisting of a brand mobile app supplier and a distributor, taking members’ distributional fairness concerns into consideration. The distributor’s fairness concerns have no bearing on either option, but the supplier’s distributional fairness concerns lower the service price as well as the level of investigation and regulation. When a logistics service provider has both cost reduction effort and fairness concerns, Chen et al. [60] find that the optimal logistics service strategies for manufacturer and retailer are contradictory at different levels of fairness concern intensity. Yan et al. [61] study the effects of suppliers’ fairness concerns and bargaining power on the decisions and profits of poverty alleviation supply chains (PASCs). They find that Nash-bargaining fairness concerns enhance the utility of disadvantaged suppliers but instead exacerbate the double marginal effect of the PASC channel as their bargaining power increases.
This paper differs from previous research in three aspects. First, from the existing literature, there are numerous supply chain coordination studies on fairness concern, such as the study by Liu et al. [53]. However, there are fewer studies that deal with the fairness concern that arises when supply chain members invest in the application of blockchain technology. Second, fewer studies currently consider both the non-linear production costs of supply chain members and the fairness concerns that emerge from the implementation of blockchain technology. Finally, the results are analyzed more comprehensively by evaluating the decision-making of supply chain members, considering both scenarios of fairness concern and fairness neutrality.
2.4. Research Gap
Section 2.1, Section 2.2 and Section 2.3 provide a comprehensive review of the literature relevant to this paper, covering the key areas of shipping supply chain, non-linear production cost, and fairness concern. After conducting a thorough analysis of the existing literature, we have identified several research gaps that remain unaddressed. Although there is existing literature on shipping supply chain, blockchain, non-linear production cost, and fairness concern, few studies have combined non-linear production cost, blockchain, and fairness concern to explore their collective impact on shipping supply chain. Additionally, in the shipping supply chain system, the fairness concerns arising when members invest in and apply blockchain technology has not been adequately addressed, and relevant studies are scarce.
Table 1 summarizes and classifies some cited literature, analyzing it from the perspectives of shipping supply chain, blockchain, non-linear production cost, and fairness concern. This classification reveals the research focuses of different scholars and enables a clearer understanding of the current research results’ contributions and focuses in various fields, as well as their complementary relationships. Furthermore, by comparing existing studies, this study’s focus is highlighted, laying a solid theoretical foundation and offering an effective basis for comparison. Our study differs significantly from the current literature in three key ways. First, the majority of research focuses on how non-linear production costs influence the decisions and profit outcomes of retailers and producers. In this paper, we consider the costs of the shipping company in the shipping supply chain as non-linear production costs; i.e., there are both economies of scale and diseconomies of scale. We investigate the decision-making choices and profit changes for a specific shipping company and freight forwarder in each scenario. Second, most previous studies focus on supply chain coordination under retailers’ fairness concerns. In the field of shipping supply chains, fairness concern inevitably affects the decisions and profits of shipping companies as well. Third, most research studies consider only the effects of fairness concerns or non-linear production costs on the subject of study or both combined with other variables. This paper is set in the context of a freight forwarder’s investment to develop and implement a blockchain platform for shipping. We discuss the impact of non-linear production costs and fairness concern on the shipping supply chain involving a shipping company and a freight forwarder. As a result, we gain a better understanding of how non-linear production costs and fairness concerns affect the choices and financial gains of research participants. This distinguishes this paper from previous studies.
Table 1.
The differences between prior papers and ours.
3. The Model
We consider a two-echelon shipping supply chain consisting of a single shipping company and a single freight forwarder. This paper focuses on a scenario in which a freight forwarder invests in the establishment and use of a blockchain platform and analyzes the profit sharing and decision-making choices between the freight forwarder and the shipping company. In the traditional shipping supply chain structure, the freight forwarder and the shipping company are the two core subjects and the two sides of the profit maximization goal through the interaction with each other’s decision-making. Due to the asymmetry of market information and the difference between the two sides in the negotiation position, the freight forwarder is often in a relatively passive position in the traditional cooperation mode. The introduction of the Stackelberg game model provides a theoretical framework for this asymmetric decision-making relationship, in which the shipping company, typically acting as the leader, leverages its resource advantages and market position to make strategic decisions first. The freight forwarder, acting as the follower, makes its own optimization adjustments based on the shipping company’s decisions [62]. This game-theoretic relationship, to some extent, reinforces the disadvantaged position of the freight forwarder.
However, with the application of blockchain technology in the shipping industry, the freight forwarder has gained an opportunity to enhance its market position. By investing in a blockchain platform, the freight forwarder can not only consolidate logistics resources and enhance information transparency but also provide more intelligent services to shippers and the shipping company. For example, with the blockchain platform’s big data analysis and forecasting capabilities, the freight forwarder can accurately grasp the dynamics of market demand and the supply of capacity, enabling better advanced planning and booking of space. By using the blockchain platform to share real-time warehouse information among all logistics participants, the freight forwarder facilitates faster cargo transfers between warehouses, enhances storage space utilization, and reduces both cargo transit time and operational costs. It also enables warehouse inventory management to accurately forecast demand, ensuring that the appropriate quantity and types of products are always available to meet the anticipated demand [28]. The establishment of the blockchain platform has transformed the freight forwarder from a passive recipient in traditional models into a pivotal coordinator within the supply chain, effectively replacing the conventional functions of freight forwarders. This transformation has endowed the freight forwarder with enhanced bargaining power in its collaboration with the shipping company, thereby partially mitigating its historically disadvantaged position within the strategic equilibrium.
In this paper, the freight forwarder uses the new bargaining power gained by the blockchain platform to strive for fairer cooperation terms, particularly in decision-making scenarios that prioritize fairness. Especially for the freight forwarder, investing in and applying a blockchain platform requires significant costs, which include the development of blockchain technology, the operation and maintenance of the platform, and the training of personnel. Due to the high cost of blockchain technology, the freight forwarder needs to obtain a reasonable return in the supply chain to cover its investment. However, the “free-riding” behavior of the shipping company, which affects the return on investment of the freight forwarder, has led the freight forwarder to take fairness concerns seriously. If the freight forwarder perceives unfair profit distribution, it may express discontent by slacking off, which reduces production efficiency, increases costs, and impacts the compensation of investment costs. Considering the willingness of consumers to pay for fair production, the freight forwarder can cover the increase in costs with this additional revenue, which brings potential benefits for the freight forwarder to apply the blockchain platform. Simultaneously, the freight forwarder’s leadership in addressing fairness concerns facilitates its establishment of robust reputation and trust relationships within the supply chain ecosystem. By fairly distributing profits and costs, the freight forwarder can boost its willingness to cooperate with other supply chain members and promote the formation of long-term and stable cooperative relationships.
After examining how the freight forwarder can use the blockchain platform to enhance its position and have fairness concerns, we explore the impact of the complexity of the cost structure in the shipping supply chain on the decision-making of the members. Specifically, this paper adopts Zhao and Li’s [20] cost categorization method. It categorizes the production costs of manufacturers into two types: diseconomies of production, where marginal cost per unit increases, and economies of production, where marginal cost per unit decreases. On this basis, this paper further examines the impact of the shipping company’s non-linear production cost and the freight forwarder’s concern about fairness on the decision-making of supply chain participants. We refer to the shipping company as facing diseconomies of scale when its marginal cost per unit rises as the quantity of units produced increases. We refer to the shipping company as facing economies of scale when its marginal cost per unit decreases as the number of units produced increases.
In this context, the freight forwarder studied in this paper not only focuses on increasing the overall profits of the shipping supply chain but also on the fairness of the distribution of those profits throughout the supply chain. The model construction demonstrates superiority in several ways. Firstly, the model combines fairness concern with profit maximization, breaking through the limitation of the traditional model that only focuses on efficiency and reflecting more comprehensively the interests in the practical supply chain. Secondly, by applying the Stackelberg game structure, the model captures the shift in the supply chain power dynamics due to blockchain technology. It moves from the conventional leader/follower relationship to a more balanced interaction, thereby strengthening the bargaining power of the freight forwarder. Finally, by quantitatively analyzing the impact of the fairness coefficient on profit distribution, the model provides supply chain members with practical management strategies to help them achieve a balance between fairness and profit.
For ease of reference, we use the feminine pronoun “she” for the freight forwarder and the masculine pronoun “he” for the shipping company. In this paper, we assume that the shipping company is the leader in the shipping supply chain, while the freight forwarder is the follower. Both aim to maximize their own profits. The freight forwarder provides the shipper with total freight, denoted as , and secures shipping services from the shipping company at an ocean freight, specified as . Table 2 presents the notations used throughout this study.
Table 2.
Notations and descriptions.
Following Shang et al. [13], we consider that the production costs of the shipping company to be , where denotes diseconomies of scale and denotes economies of scale. Similarly, denotes diseconomies of scale and denotes economies of scale . We use to denote the value of the blockchain platform. For the freight forwarder, we assume that the construction cost of the blockchain platform is , where is the cost factor of building the blockchain platform [31]. The higher results in a higher expense of effort for freight forwarder. The quadratic cost function for the freight forwarder captures the diminishing marginal returns of investments in blockchain technology. Therefore, we employ the quadratic cost function to more accurately measure the investment effects for the freight forwarder. Moreover, this quadratic functional form is widely used in the supply chain and operation management literature [60,63].
In this paper, the total market demand function is sensitive to the total freight and the value of the blockchain platform applied by the freight forwarder. To simplify the subsequent comparative analysis, we assume that the total market demand follows a linear relationship with the total freight and the value of the blockchain platform. According to Zhao and Li [20], the total market demand can be defined as , where is the underlying demand in the shipping market, is the total freight by the forwarder to the shipper, is the value provided by the blockchain platform, and is the sensitivity factor of aggregate market demand to changes in [13,20]. Such a demand function has been widely used in previous studies [60,64,65].
We denote the profits of the shipping company and the freight forwarder by and , respectively. The decision variables are for the shipping company and and for the freight forwarder. So we obtain the profit function of the shipping company: , where represents the revenue of the shipping company and is the non-linear production cost of the shipping company. Thus, we obtain the profit function of the freight forwarder: , where represents the profit of the freight forwarder and is the total cost of the freight forwarder.
In our model, both the shipping company and freight forwarder are attempting to maximize their profits. However, in practice, this raises the question of whether cooperation among supply chain members is fair. Due to factors such as unfair profit distribution and information asymmetry, supply chain members often develop a sense of unfairness, which can significantly affect their final decision. When the freight forwarder invests in building the blockchain, she considers not only her own profit but also her profit in comparison to that of other members. When participants believe that the benefits from the supply chain are not allocated fairly, they may act to penalize one another at the expense of their own interests [66]. The freight forwarder is particularly concerned about the fairness of profit distribution in the supply chain, as she incurs significant costs to maintain the blockchain platform. At this point, the freight forwarder’s primary goal shifts from profit maximization to utility maximization.
In order to accurately reflect the fairness concern of the freight forwarder towards the shipping company, it is crucial to introduce a reference point of fairness concern in the model. Exploring fairness concern, Fehr and Schmidt [9] introduce the concepts of unfavorable inequality and favorable inequality, noting that individuals are not only concerned with their own gains but also with comparing their relative gains with others. Therefore, this study employs the utility function used to depict unfairness aversion in logistics decision-making. The fairness concern utility function is constructed using the absolute profit of the other party as the reference point. In this function, the freight forwarder focuses primarily on her own utility, while referring to the shipping company’s profit to assess the fairness of her own profit. To simplify the formula while maintaining its general applicability, we can derive the fairness utility function for the freight forwarder as [67,68]:
where and denote the profits of the shipping company and the freight forwarder, respectively. is the freight forwarder’s fairness concern degree, which represents the freight forwarder’s level of fairness concern. is positively related to the level of fairness concern of the forwarder, i.e., the higher is, the higher the level of fairness concern of the forwarder is. This utility function is also applied in the studies of Liu et al. [53], Wu et al. [56], and Chen et al. [69]. The utility function of the shipping company remains the same as his profit function if he does not participate in building the blockchain, namely, .
To explore the impact of whether a freight forwarder adopts fairness concern on a shipping company’s decision-making under both economies of scale and diseconomies of scale, we construct the following four scenarios, as shown in Table 3 and Figure 1, i.e., (1) Scenario EN, with economies of scale for the shipping company, fairness neutrality for the freight forwarder. (2) Scenario EF, with economies of scale for the shipping company, fairness concern for the freight forwarder. (3) Scenario DN, with diseconomies of scale for the shipping company, fairness neutrality for the freight forwarder. (4) Scenario DF, with diseconomies of scale for the shipping company, fairness concern for the freight forwarder. Next, we express the four scenarios using functional formulas:
Table 3.
Different scenarios in this paper.
Figure 1.
Structure of the model under the four scenarios.
- (1)
- Scenario EN
- (2)
- Scenario EF
- (3)
- Scenario DN
- (4)
- Scenario DF
According to the backward induction method of the Stackelberg game, the optimal solutions for the decision variables and profits in the four scenarios are summarized in Table 4 and Table 5. To ensure that the shipping company and freight forwarder remain in the supply chain, we need to make Table 4 and Table 5 realistic and guarantee that the earnings of the supply chain members are positive. In the following sections, we explore the best options for the various scenarios based on these findings and perform a comparative analysis to provide some management insights.
Table 4.
Optimal solutions in economies of scale.
Table 5.
Optimal solutions in diseconomies of scale.
4. Economies of Scale
Under the premise of economies of scale, to better study the impact of the freight forwarder’s fairness concerns about various decision-making processes and profits within a shipping supply chain, we need to establish a “fairness neutrality” model for comparison. Fairness neutrality refers to the scenario where the shipping company and freight forwarder make decentralized decisions under completely rational conditions. Therefore, under the case of economies of scale, we mainly discuss two decision-making scenarios i.e., the decision-making in the shipping supply chain under fairness neutrality (denoted as Scenario EN) and the decision-making in the shipping supply chain under fairness concern (denoted as Scenario EF). Based on these two scenarios, we calculate the equilibrium profits of all parties in the shipping supply chain.
4.1. Scenario EN
Under Scenario EN, the shipping company has economies of scale, and the freight forwarder does not consider fairness concern, i.e., the freight forwarder operates under fairness neutrality. The impacts of on each of the equilibrium results under Scenario EN are examined below.
Corollary 1.
(a) , , , .
(b) When
,
, then ; if , then When , then .
Corollary 1 shows that the level of economies of scale impacts both shipping company and freight forwarder. As the economies of scale expand, the blockchain platform’s value, the shipping company’s profit, and the freight forwarder’s profit all experience significant increases. This may be due to the fact that economies of scale have led to lower freight costs for shipping, which makes the blockchain platform more valuable and profitable for both parties. For the shipping company, as economies of scale increase, his cost of production decreases, prompting the shipping company to reduce ocean freight to enhance his competitiveness.
For Corollary 1(b), when the degree of economies of scale and the cost of blockchain platform are not large, the total freight increases with the level of economies of scale. This is because the freight forwarder decides to raise the total freight to save costs while still maintaining her profit margin, given that the blockchain platform is currently operating less effectively. The blockchain platform is more developed and functions much more effectively when economies of scale are smaller and its cost is higher. When economies of scale increase, the forwarder’s input cost also declines, which leads the forwarder to consider reducing the total freight. The freight forwarder has some flexibility in determining the total freight when economies of scale are sufficiently large. Therefore, in both scenarios, the freight forwarder chooses to reduce the total freight cost to maintain an efficient supply chain.
4.2. Scenario EF
Under Scenario EF, the shipping company has economies of scale, and the freight forwarder has fairness concerns. This section examines the impacts of and on each of the equilibrium results under Scenario EF.
Corollary 2.
(a) , , , , .
(b) When , , if , then ; if , then . When and , then . When , if , then ; if , then . (, , ).
According to Corollary 2(a), as the degree of economies of scale increases, the value of the blockchain platform rises, the profits for both the shipping company and the freight forwarder increase, and the utility for the freight forwarder is enhanced. Conversely, ocean freight tends to decline as economies of scale expand. All stakeholders in the supply chain may benefit from decreased unit costs for the shipping company resulting from increased economies of scale. For the shipping company, the increased level of economies of scale reduces cost to a certain extent and enables it to be more flexible regarding ocean freight. Given that the freight forwarder is focusing more on fairness, the shipping company chooses to reduce ocean freight to enhance his own competitiveness.
In Corollary 2(b), under Scenario EF, the freight forwarder decides to increase the total freight when the cost of the blockchain platform is lower, provided that both the level of economies of scale and the shipping company’s linear production cost are also lower. Given that the shipping company’s economies of scale have a lesser impact and the freight forwarder’s efficiency in leveraging the blockchain platform during her initial stages is relatively low, the freight forwarder chooses to raise the total freight to bolster her profit. When the shipping company’s linear production cost is higher and the cost of the blockchain platform is lower, the freight forwarder decides to increase the total freight to counteract the initial inefficiencies associated with the blockchain platform. When the cost of the blockchain platform is higher, it indicates that the efficiency of the blockchain platform has increased. The freight forwarder decides to lower the total freight when the shipping company’s linear production cost is comparatively low and the level of economies of scale is high. The total freight tends to decrease as a result of the increased economies of scale, which lessen the financial burden on the supply chain participants.
Corollary 3.
(a) , , .
(b) When , if , then ; if , then . When , then .
(c) When , then ; when , then .
(d) When , then ; when , then . (
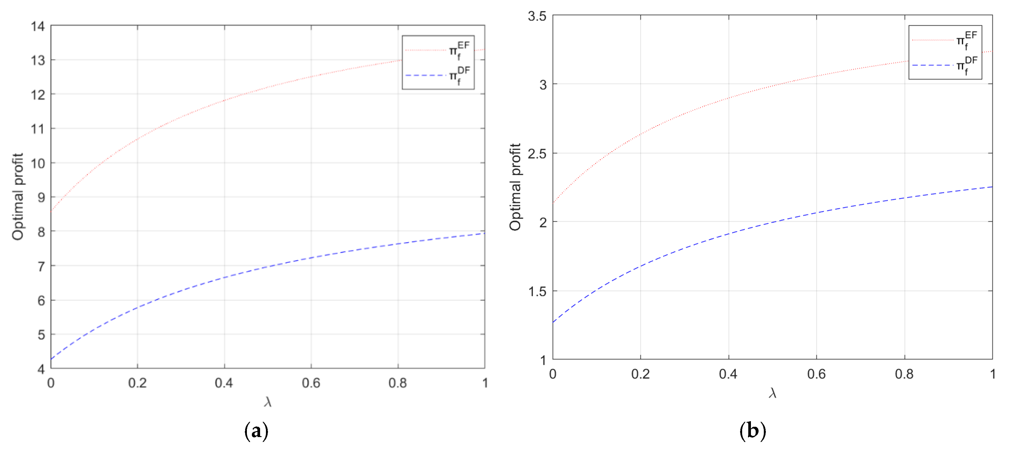
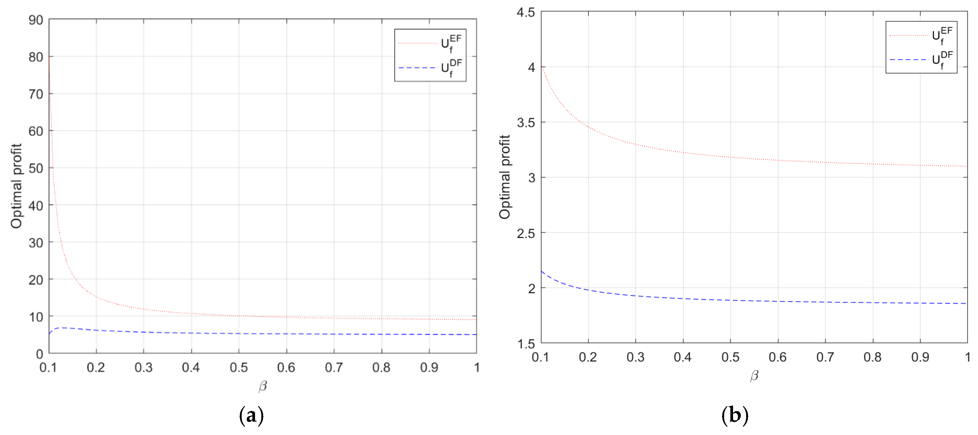
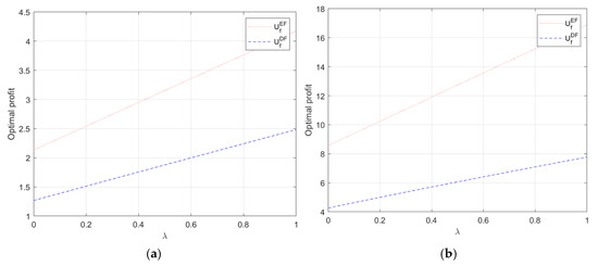
For Corollary 3(a), when the level of fairness concern increases, the value of the blockchain platform decreases, as does the profitability of the shipping company. At this point, the profit of the forwarder is reduced, but her utility rises accordingly. This suggests that the behavior of fairness concern can help the forwarder narrow the gap in profit sharing with the shipping company and increase her share of profit sharing in the supply chain.
In Corollary 3(b), when economies of scale are relatively low and the cost of the blockchain is also relatively low, the profit of the freight forwarder is inversely proportional to fairness concern. This phenomenon can be attributed to the significantly high input cost associated with the blockchain platform, coupled with its relatively inefficient operations, particularly during the initial investment phase of its development. Additionally, lower economies of scale can provide even smaller economic benefits to the firm. As the degree of fairness concern increases, the freight forwarder’s profit margin becomes insufficient to offset the significant expenses incurred. Therefore, the profit of the freight forwarder is inversely proportional to the fairness concern. With relatively low economies of scale and high blockchain cost, freight forwarder profit is proportional to the level of fairness concern. The blockchain platform is currently operating more effectively, allowing the freight forwarder to offer high-quality logistics services, thereby increasing her profit. Furthermore, when economies of scale are relatively high, the profit of the freight forwarder is inversely proportional to fairness concern. Greater economies of scale allow the shipping company to achieve higher profits while lowering his cost burden. However, as a participant in the supply chain, the freight forwarder has experienced a decrease in profit. The freight forwarder shifts from profit maximization to utility maximization as the level of fairness concern increases. Therefore, the profit of the freight forwarder is inversely proportional to the fairness concern.
In practice, Walmart China commercially launched its Blockchain Traceability Platform in June 2019 [70]. When the blockchain platform increases efficiency and improves supply chain processes, it effectively reduces the cost burden and leads to lucrative profits. A fair profit distribution mechanism enhances supply chain cooperation by sustaining members’ engagement incentives and fostering long-term stable partnerships. Therefore, Walmart focuses on optimizing profit distribution and avoiding excessive squeezing of profit margins of supply chain members. In addition, the integration of fairness concern with blockchain technology enables enterprises to offer higher-quality products and services. This strengthens their market competitiveness, helps expand their market share, and promotes the upgrading and development of the entire industry.
For Corollary 3(c), a decrease in total freight results from the freight forwarder’s increased behavior regarding fairness concern when the cost of the blockchain platform is low. When the cost of the blockchain platform is relatively high and fairness concern escalates, this leads to an increase in total freight. Considering market demand, the freight forwarder decides to lower total freight when the blockchain platform has relatively low input cost. To ensure an increase in her own profit, the freight forwarder chooses to enhance the quality of logistics services and pursue fairness when the input into the blockchain platform is high. This suggests that the impact of fairness concern behavior on total freight depends on the cost level of the blockchain platform.
Corollary 3(d) shows how the ocean freight varies with in the presence of fairness concern. When the cost of the blockchain platform is relatively low, ocean freight increases as the level of fairness concern increases. The lower cost of the blockchain platform indicates that it is less efficient to operate in the early stages. To ensure his profit, the shipping company decides to gradually raise ocean freight. When the cost of the blockchain platform is relatively high, ocean freight decreases as the level of fairness concern increases. This is because the shipping company has realized that the freight forwarder is currently more concerned with fairness than ever before. To cater to the freight forwarder’s preference, the shipping company chooses to reduce ocean freight to enhance its competitiveness.
Based on Corollaries 1 and 2, it can be deduced that, under the economics of scale, the application value of the blockchain platform, the profits of both the shipping company and the freight forwarder, as well as the utility of the freight forwarder, all increase positively as the economics of scale expand. This holds true regardless of whether the freight forwarder adopts fairness concern. From Corollary 3, we can conclude that, after adopting fairness concern, the freight forwarder is able to reduce the cost of upfront investment in the shipping supply chain and increase her own share of profit to satisfy her own fair demand.
4.3. Comparison
In the following section, the equilibrium results of the EN scenario and the EF scenario are compared and examined to allow a full understanding of how economies of scale affect decision-making.
Proposition 1.
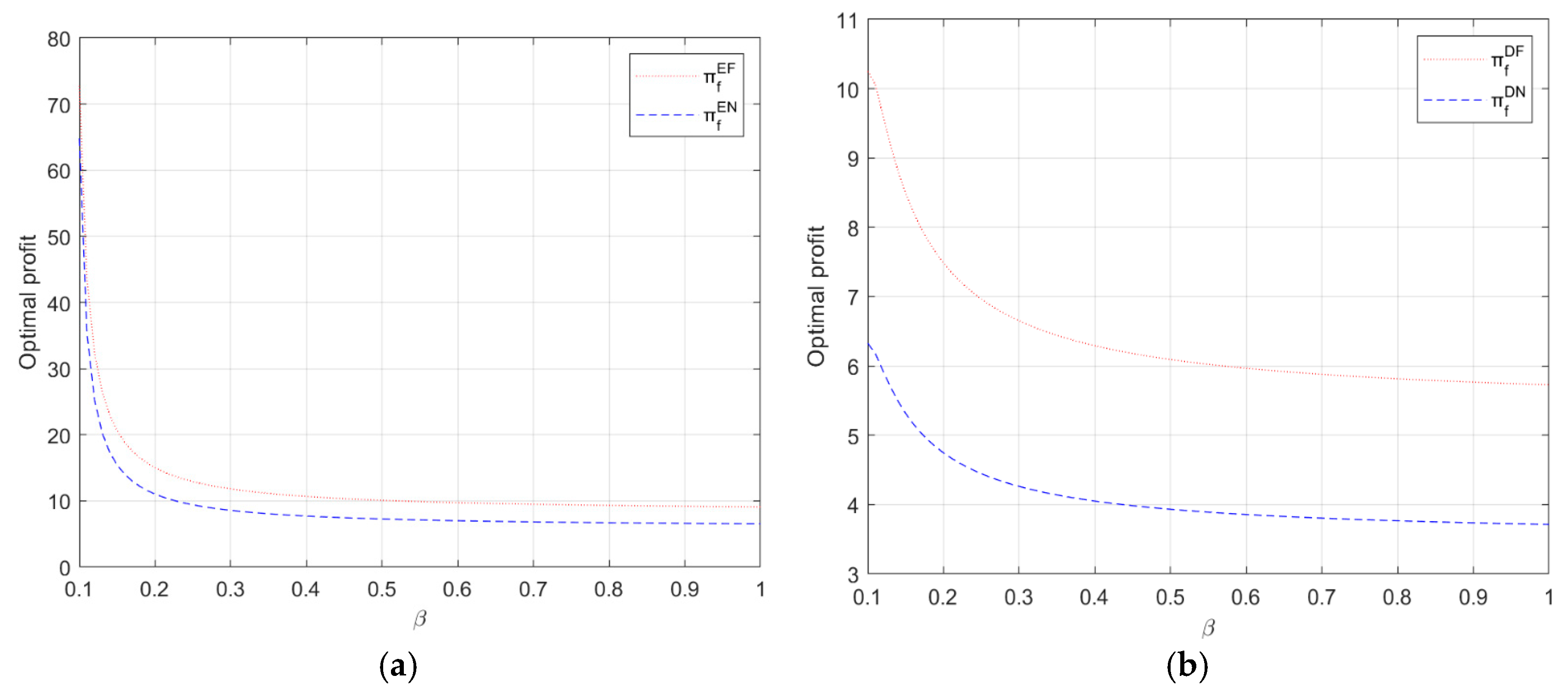
(a) When , then ; when , then .
(b) When , if , then ; if , then . When , then .
(c) , .
Proposition 1(a) shows that the shipping company’s ocean freight under Scenario EF is higher when the cost of the blockchain platform is lower. When the blockchain platform is more expensive to build, the shipping company has lower ocean freight in Scenario EF. A lower cost for the blockchain suggests that it may operate less effectively. The shipping company pursues higher ocean freight to lower the investment cost and make up for the shortfall resulting from the high cost. The shipping company decides to lower ocean freight to strengthen his competitive advantage as platforms run more smoothly. This further suggests that the cost of the freight forwarder’s investment in the blockchain platform influences the shipping company’s decision regarding ocean freight.
Proposition 1(b) states that the total freight under Scenario EN is higher than the total freight under Scenario EF when both the economies of scale and the building cost of the blockchain platform are low. Otherwise, the opposite is true in other scenarios. It also demonstrates how the shipping company’s level of economies of scale and the freight forwarder’s cost input play a major role in the forwarder’s decision regarding total freight. When economies of scale and the cost of building a blockchain platform are relatively low, and fairness concern is not considered, the freight forwarder increases the total freight to mitigate her disadvantage within the supply chain. At this time, the competition between shipping company is based on price competition. Given concern about fairness, the freight forwarder may decide to set higher total freight to offset the significant costs associated with developing a blockchain platform. When economies of scale are relatively high, the freight forwarder chooses to increase the total freight to cover the cost of investing in the blockchain and ensure her own profitability. It additionally illustrates that when the freight forwarder’s costs are quite high, they become more concerned about these costs due to fairness concerns. Therefore, at this point, the freight forwarder’s total freight under Scenario EF is higher than that under Scenario EN.
Proposition 1(c) states that, under economies of scale, the fairness concern behavior of the freight forwarder diminishes the value of the blockchain platform and also reduces the profitability of the shipping company. Compared to fairness neutrality, the value of the blockchain platform is lower when the freight forwarder considers fairness concerns. This indicates that fairness concern behavior reduces the incentive for the freight forwarder to invest in the blockchain platform. At this point, the shipping company is also making more conservative decisions. This suggests that fairness concern behavior can have an adverse effect on the shipping company; i.e., the profit of the shipping company under fairness concern is less than the profit of the shipping company under fairness neutrality.
5. Diseconomies of Scale
In the context of diseconomies of scale, this section focuses on how decision-makers in the shipping supply chain consider fairness concern. In the context of diseconomies of scale, we discuss two decision-making scenarios, i.e., the decision-making of supply chain members under fairness neutrality (denoted as Scenario DN) and the decision-making of supply chain members under fairness concern (denoted as Scenario DF).
5.1. Scenario DN
Under Scenario DN, the shipping company has diseconomies of scale and the freight forwarder does not consider fairness concern, i.e., the freight forwarder has fairness neutrality. Under Scenario DN, the impact of on each of the equilibrium results is examined below.
Corollary 4.
(a) , , , .
(b) If , then ; if , then .
Corollary 4(a) shows that the value of blockchain platform, shipping company’s profit, and freight forwarder’s profit gradually decrease as the diseconomies of scale increase. Ocean freight rises further as diseconomies of scale worsen. This suggests that changes in diseconomies of scale can lead to subsequent changes for both the shipping company and the freight forwarder. Diseconomies of scale that worsen progressively cause all supply chain participants’ input costs to rise while their potential rewards decline. The increase in production scale substantially raises the production cost for the shipping company, prompting him to increase ocean freight to improve his profit margins.
In Corollary 4(b), when the input cost of the freight forwarder is relatively low, the total freight decreases as diseconomies of scale increase. When the input cost of the freight forwarder is relatively high, the total freight increases as diseconomies of scale increase. This phenomenon can be attributed to the fact that when cost is lower, the freight forwarder experiences lesser cost pressure, which in turn results in a decrease in total freight. To minimize losses, the freight forwarder raises total freight as higher input costs increase the risk of decreased profit. However, this can lead to a loss of competitiveness in the market and increases the risk of losing customers.
5.2. Scenario DF
Under Scenario DF, the shipping company faces diseconomies of scale while the freight forwarder has fairness concerns. Under diseconomies of scale and fairness concerns, the impacts of and on ocean freight, total freight, the value of the blockchain platform, the profit of the shipping company, and the profit and utility of the forwarder are presented in Corollaries 5 and 6.
Corollary 5.
(a) , , , , .
(b) When , if , then ; if , then When , then .
Corollary 5(a) shows how increasing diseconomies of scale progressively diminishes the value of the blockchain platform, as well as the shipping company’s profit, the freight forwarder’s profit, and the freight forwarder’s utility. When the degree of diseconomies of scale increases, the ocean freight continues to rise. As with Corollary 4(a), a rise in the degree of diseconomies of scale drives up the shipping company’s production cost, which in turn impacts and lowers the profits of the supply chain participants. As a result, the shipping company decides to raise ocean freight in an effort to lessen the negative effects of diseconomies of scale on his earnings.
Corollary 5(b) shows that when both the cost and the diseconomies of scale for the freight forwarder are low, the total freight decreases as the diseconomies of scale increase. However, in other scenarios, the opposite is true. This is because when the shipping company’s production scale is relatively small and the input cost for the freight forwarder’s blockchain platform is low, the freight forwarder decides to decrease the total freight in order to increase market demand, enhance competitiveness, and improve the operational efficiency of the blockchain platform. As the input cost for the freight forwarder increases or as the diseconomies of scale for the shipping company improve, the freight forwarder chooses to increase the total freight in order to maximize a specific profit margin and compensate for a particular cost already invested.
Corollary 6.
(a) , , , .
(b) When , then ; when , then .
(c) When , if , then ; if , then . When , then .
Corollary 6(a) demonstrates that when fairness concern rises, the value of the blockchain platform and the freight forwarder’s profit increase, while ocean freight and the shipping company’s profit decrease. In Scenario DF, the freight forwarder invests in and applies the blockchain platform to enhance the company’s operational efficiency, which subsequently boosts the value of the blockchain platform and her profit. However, higher fairness concern results in the shipping company receiving a smaller share of the supply chain’s overall profits, which in turn lowers his profit. As fairness concern increases, the shipping company tends to keep ocean freight relatively low. This implies that the shipping company prefers to make cautious decisions and lowers ocean freight the more the freight forwarder considers fairness. This suggests that fairness concern can lead to an increase in the profit share of the freight forwarder and effectively reduce the profit gap between it and the shipping company, resulting in a more balanced distribution of benefits in the supply chain. This also shows that fairness concerns can reduce cooperation friction and enhance alliance stability. Cooperation disputes and conflicts are mitigated and members cooperate more harmoniously when all parties are more focused on fairness, which is important for long-term strategic alliance relationships. In addition, traditional vertical alliances led by a shipping company may shift to a shared decision-making model. The freight forwarder can gain more power of discourse through a blockchain platform and its fairness concern. It can play a more active role in alliance decision-making, thereby enhancing the competitiveness and adaptability of the alliance.
From Corollary 6(b), when diseconomies of scale are small, the freight forwarder’s utility is positively correlated with fairness concern. Conversely, when diseconomies of scale are relatively large, the freight forwarder’s utility is negatively correlated with fairness concern. This is because the freight forwarder’s emphasis on fairness implies that the more efficiently the blockchain platform operates, the more valuable the freight forwarder becomes, particularly when the diseconomies of scale are relatively small. Therefore, the utility of the freight forwarder increases with the level of fairness concern. When the diseconomies of scale are relatively large, the increase in production scale raises the production costs for the shipping company. As the operating efficiency of the blockchain platform increases, it generates profit for the freight forwarder but concurrently raises her production cost. Under such circumstances, the freight forwarder’s efforts to minimize production cost may not yield as significant an impact as before. Thus, the utility of the freight forwarder is inversely proportional to fairness concern.
In Corollary 6(c), if the freight forwarder’s cost and diseconomies of scale are low, then the total freight increases as fairness concern increases. In other scenarios, the opposite is true. When the diseconomies of scale are relatively low, there is less pressure on production cost for the shipping company. In instances where the blockchain platform operates at relatively low efficiency, the freight forwarder raises the total freight to achieve the desired profit margin. A more efficient blockchain platform increases the freight forwarder’s profit margin within the supply chain. At this point, as fairness concerns rise, the freight forwarder chooses to reduce the total freight to maintain an efficient supply chain. If diseconomies of scale increase, total freight is inversely proportional to fairness concern. This occurs because of the freight forwarder’s decision to reduce prices to ensure demand and generate fair earnings.
In conjunction with Corollaries 4 and 5, under diseconomies of scale, ocean freight is positively correlated with diseconomies of scale. Meanwhile, the shipping company’s profit, the freight forwarder’s profit, and the freight forwarder’s utility are negatively correlated with diseconomies of scale. This implies that the value of the blockchain platform, the shipping company’s profit, the freight forwarder’s profit, and the freight forwarder’s utility decrease as the degree of diseconomies of scale increases. This is because diseconomies of scale result in higher expenses for the shipping company and the freight forwarder. Therefore, as diseconomies of scale increase, the shipping company and freight forwarder incur higher costs, ultimately leading to a decline in their profits.
5.3. Comparison
Next, we compare and examine the equilibrium of the DN and DF scenarios to fully understand how diseconomies of scale affect decision making.
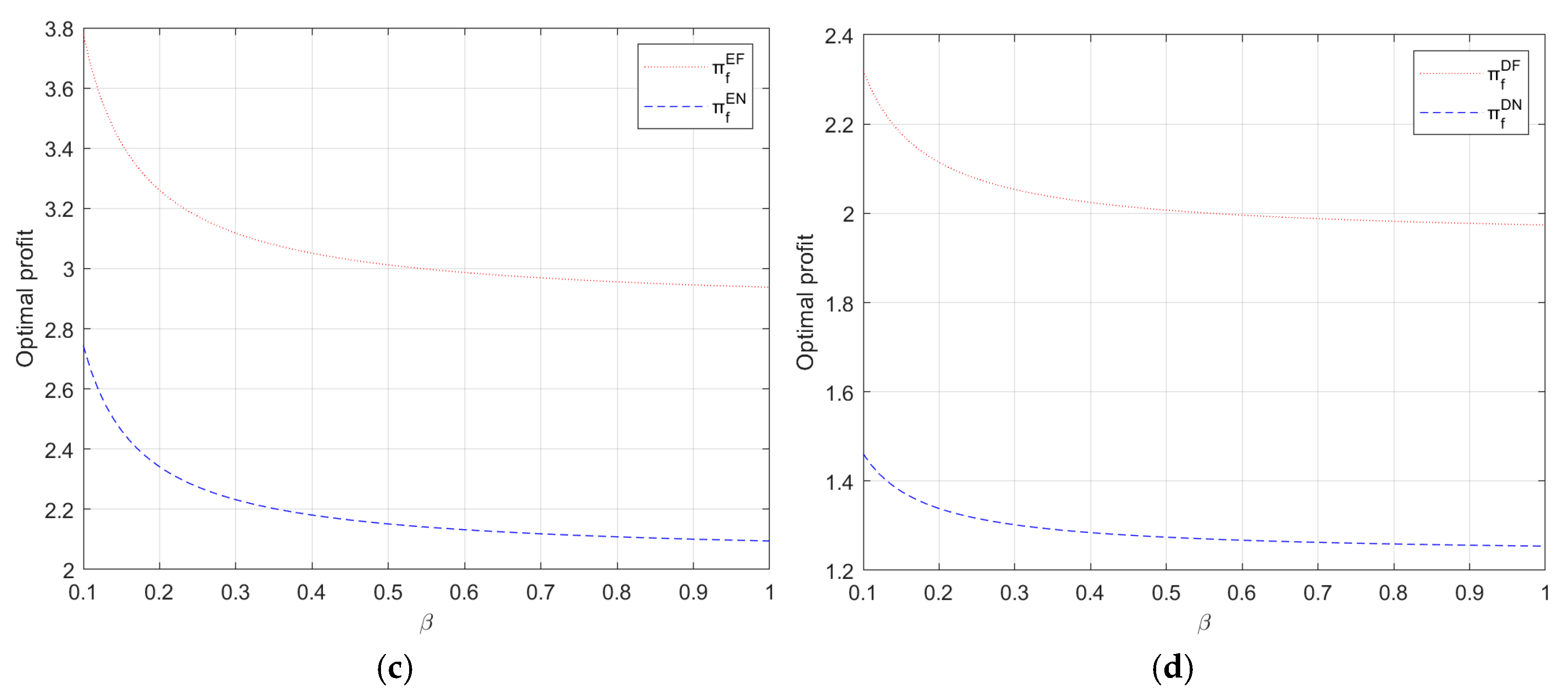
Proposition 2.
(a) When , if , then ; if , then . When , then .
, , .
Proposition 2(a) demonstrates that when both the degree of diseconomies of scale and the cost of building a blockchain platform are low, the total freight under Scenario DN is lower than the total freight under Scenario DF. In other cases, the opposite is true. This is because, in Scenario DF, the freight forwarder incurs certain costs associated with applying the blockchain platform, and the operating efficiency of the blockchain platform is not very high. As a result, the freight forwarder chooses to raise the total freight in order to offset the investment costs and increase profit. When the construction cost of the blockchain platform is relatively high, the total freight under Scenario DN is higher than the total freight under Scenario DF. Similarly, when diseconomies of scale are higher, the costs incurred by supply chain members are also higher, but the total freight under Scenario DF is lower. This suggests that the freight forwarder’s fairness concern can mitigate the adverse effects of diseconomies of scale. Fairness concern can have a positive effect on the market, and traditional price competition is no longer the basis of competitiveness in the shipping industry.
By contrasting with Proposition 2(b), we find that the freight forwarder’s final decision regarding the total freight is influenced by the degree of economies of scale, the degree of diseconomies of scale, and the input cost incurred by the freight forwarder. For the same range of cost intensities, total freight changes in the opposite direction. When cost input is relatively high, fairness concern under Scenario EF increases the freight forwarder’s cost concern, which in turn raises the total freight. When cost input is relatively high, the fairness concern of the freight forwarder under Scenario DF reduces her concern for cost, which in turn reduces the total freight. To meet her own profit and other demands, the freight forwarder can make this choice by selecting the optimal total freight based on market demand, customer preferences, and decision-making objectives.
According to Proposition 2(b), the freight forwarder’s fairness concern reduces ocean freight. This implies that the shipping company makes more conservative decisions as the freight forwarder becomes more concerned about fairness. The value of the blockchain platform under fairness concern is higher compared to fairness neutrality. This results from growing diseconomies of scale, which raise production costs for participants in the supply chain but enable them to achieve balance when the freight forwarder invests more in addressing fairness concerns. Therefore, under the diseconomies of scale, the freight forwarder determines that fairness concerns can increase the value of the blockchain platform. At the same time, fairness concern can adversely affect the shipping company, i.e., the profit of the shipping company under fairness concern is less than the profit of the shipping company under fairness neutrality.
This is consistent with Proposition 1(c). This indicates that, regardless of whether the shipping company’s production scale is economical, the freight forwarder’s fairness concern behavior has a negative impact on the shipping company’s profit. This also reflects the reality that the shipping company’s share of overall profits within the supply chain is diminished. This finding is similar to the findings of Wu et al. [56]. Wu et al. [56] indicate that under the same green subsidy strategy, fairness concern has a positive impact on retailers and a negative impact on manufacturers. This is because retailers with fairness concerns tend to pay more attention to the fairness of profit sharing with manufacturers. In such cases, retailers usually tend to strive for a larger share of the profits. Thus, for supply chain members considering fairness concerns, it can bring positive effects; however, it may continuously adversely affect the profits of other supply chain members.
6. Comparative Analysis
To provide shipping supply chain companies with resources and cutting-edge management insights, as well as to more fully explain the underlying causes of members making irrational decisions, this section focuses on a comparative analysis of the equilibrium results of economies of scale and diseconomies of scale under fairness neutrality and fairness concern.
Proposition 3.
(a) , .
(b) , .
(c) , , .
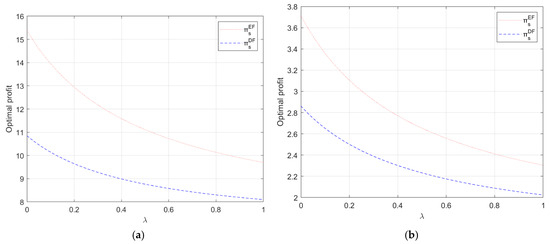
Proposition 3(a) demonstrates that, regardless of fairness neutrality or fairness concern, ocean freight under diseconomies of scale is always greater than that under economies of scale. This implies that when there are diseconomies of scale, the shipping company’s production cost is higher and he decides to raise ocean freight to offset those expenses. This results from the fact that economies of scale can help the shipping company lower input cost, which reduces ocean freight and preserves an effective supply chain.
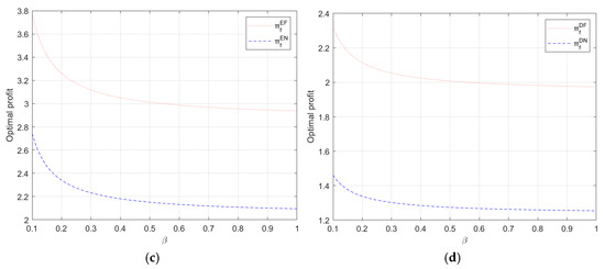
Propositions 3(b) and 3(c) show that the value of the blockchain platform, the profit of the shipping company, and the fairness utility of the freight forwarder are higher under economies of scale than under diseconomies of scale. This implies that supply chain participants’ decisions to pursue economies of scale are unaffected by the freight forwarder’s consideration of fairness concern. Fairness concern drives logistics service providers to enhance their offerings, which in turn raises overall demand for supply chains. In this way, all parties in the supply chain can effectively balance their respective interests, ensuring the continued and smooth operation of the supply chain. Furthermore, this underscores the positive impact of economies of scale on all parties within the supply chain, enabling their interests to potentially grow in unison under the same conditions.
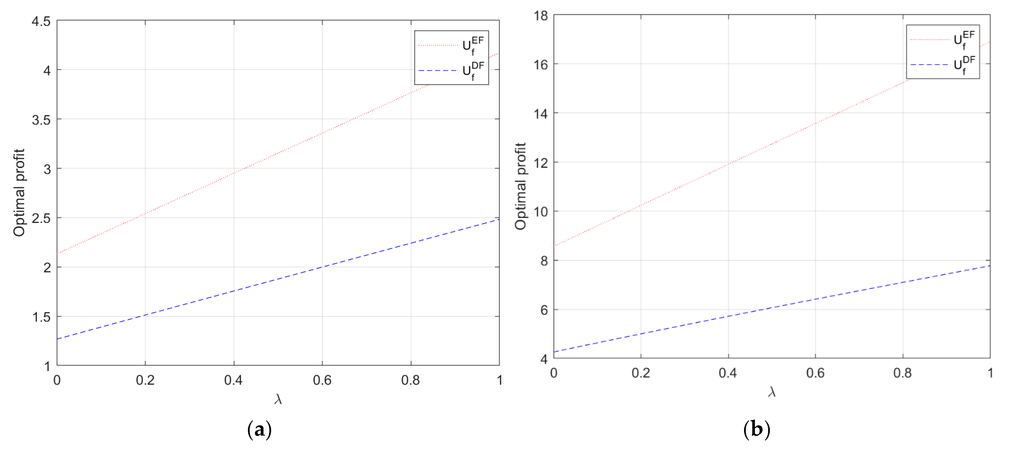
Proposition 4.
(a) (i) When , if , then ; if , then .
(ii) When , we have .
(b) (i) When , if and , then ; if and , then ; if , .
(ii) When , if , then ; if , and , then ; if , and , then ; if and , then . (, , , , ).
In Proposition 4(a), the total freight under Scenario EN is higher than the total freight under Scenario DN when both the degree of economies of scale and the cost invested by the freight forwarder are low. When the degree of economies of scale is low and the investment by the freight forwarder is relatively high, the total freight under Scenario EN is lower than the total freight under Scenario DN. Additionally, when the level of economies of scale is relatively high, the total freight cost for Scenario EN is relatively low. Because of inexperience and other factors, the relatively low degree of economies of scale means that during the pre-manufacturing phase of the shipping company’s production, the benefits of economies of scale have less of an influence on the financial efficiency of the shipping company. Meanwhile, the freight forwarder chooses to increase the total freight to compensate for the inefficiency in order to ensure high-quality logistics services and profitability. Therefore, the total freight under Scenario EN is higher. The overall operating efficiency of the supply chain increases as the freight forwarder’s cost increases. At this point, the freight forwarder is able to realize the anticipated profit and decides to lower the total freight in order to become more competitive. The shipping company decides to lower his own ocean freight to boost market demand and his competitive advantage once the economies of scale reach a particular point. Therefore, the total freight under Scenario EN is lower. At this time, the freight forwarder is at the peak of economies of scale, making profit targets easier to reach. To attract more clients, the freight forwarder decides to cut the total freight to better serve the market and meet the demands of the target customers. Additionally, this establishes the freight forwarder’s brand and creates the foundation for expanding into potential markets.
Proposition 4(b) shows that total freight is closely related to non-linear costs and the input costs of supply chain members. The total freight cost under Scenario EF is higher than that under Scenario DF when the degree of economies of scale, diseconomies of scale, and the construction cost of the blockchain platform are all low. When economies of scale and diseconomies of scale are not significant, both have less influence on the decisions made by supply chain participants. When the blockchain platform is less effective, the freight forwarder should take action to increase her operational efficiency while considering her preference for fairness concern. Under Scenario EF, the freight forwarder raises the total freight to lower the overall input cost, as the lower degree of economies of scale prevents her from achieving the anticipated profit. When diseconomies of scale and the cost of the blockchain platform are lower while economies of scale and linear production cost are higher, the total freight cost under Scenario EF is higher. This is because, in Scenario DF, the level of diseconomies of scale is lower, the shipping company’s linear cost inputs are larger, and the shipping company’s total costs remain within a manageable range. When the blockchain platform’s investment cost is low, it indicates that the platform operates less effectively, and the freight forwarder strives for more advantages to meet her own fair demands. In Scenario EF, higher levels of economies of scale are not well matched with an inefficient platform, leading to wasted resources. The freight forwarder decides to increase the total freight in an attempt to achieve a more favorable result by maximizing fairness utility.
In other cases, the opposite is true. When both the degrees of economies of scale and diseconomies of scale are relatively low, and the cost of the blockchain platform is relatively high, the total freight under Scenario EF is lower than that under Scenario DF. Driven by fairness concern, the freight forwarder adjusts her freight strategy to balance her profitability according to different economic environments. Specifically, the freight forwarder, leveraging the high efficiency and decision-making flexibility of the blockchain platform, moderately reduces the total freight under economies of scale. This not only enhances her fair image in the supply chain but also prevents harming the shipping company’s interests through excessive total freight, thus promoting the overall coordination and stability of the supply chain. Under diseconomies of scale, the freight forwarder’s fairness concern is less effective, leading her to increase the total freight to compensate for cost pressures. When economies of scale are relatively low and diseconomies of scale are relatively high, the total freight under Scenario EF is lower than the total freight under Scenario DF. In Scenario DF, the shipping company’s production cost rises dramatically with increasing production size, prompting the freight forwarder to raise total freight to offset her own profit loss.
Under Scenario EF, total freight is lower than under Scenario DF when economies of scale are relatively significant and linear production cost is relatively low. At this point, economies of scale provide considerable benefits and help the freight forwarder maintain an efficient supply chain. When the degree of diseconomies of scale is relatively low, while the degree of economies of scale, linear production cost, and blockchain platform cost are all relatively high, the freight forwarder is better able to adapt to changes in market demand and remain competitive. Therefore, in this case, the total freight under Scenario EF is lower. Total freight under Scenario EF is lower than total freight under Scenario DF when the degree of economies of scale, linear production cost, and diseconomies of scale are significant. Diseconomies of scale limit the benefits associated with rising demand and cause the shipping company’s production cost to rise non-linearly, whereas economies of scale benefit the shipping company. Consequently, the freight forwarder may control the total freight at a relatively low level and increase her market share due to the economies of scale.
These findings are consistent with reality. The shipping company can efficiently control production cost as the degree of economies of scale increases. For instance, Galanz adopts the “economies of scale, cost leadership” strategy to improve competitiveness by reducing average costs through increased production scale and market dominance while mitigating the negative effects of diseconomies of scale.3 A company experiencing diseconomies of scale needs to implement appropriate solutions to manage the situation, as these are likely to have a negative impact on the organization. For example, Procter & Gamble concentrates on its most crucial product lines to minimize costs and boost efficiency when faced with diseconomies of scale. The company also sells off or eliminates some of its brands.4
The shipping company shifts from enhanced demand-side management to cost-side control as diseconomies of scale worsen. Under Scenario DN and Scenario DF, the shipping company decides to raise ocean freight in an effort to reduce production cost and boost his own reduced profit. To achieve greater profit more quickly, the freight forwarder also decides to raise the total freight. However, this choice often reduces the freight forwarder’s ability to compete in the market. This is due to the freight forwarder’s tendency to prioritize her own interest over those of the market and clients, making it easy to disregard these demands. Although raising the total freight has helped the freight forwarder achieve larger profit in the short term, it may lead to unfavorable opinions among customers, which could result in a loss of market share and ultimately harm its profitability.
7. Numerical Analysis
To better study the change in the profit of a single shipping company and a single freight forwarding company in different scenarios, we use data image analysis for a clearer understanding. This section analyzes the profitability of the shipping company and freight forwarder under different scenarios using numerical arithmetic examples. In order to reduce calculation errors, we use two sets of data for numerical simulation and refer to the study of Guan et al. [57]. The parameters are set as follows: (1) , , , , , , ; (2) , , , , , , . The graphs are generated using MATLAB2021 to obtain Figure 2, Figure 3, Figure 4, Figure 5, Figure 6, Figure 7, Figure 8 and Figure 9.
Figure 2.
The impact of on under economies of scale and diseconomies of scale. (a) Impact of on and ; (b) Impact of on and . (c) Impact of on and . (d) Impact of on and .

Figure 3.
The impact of on under economies of scale and diseconomies of scale. (a) Impact of on and . (b) Impact of on and . (c) Impact of on and . (d) Impact of on and .
Figure 4.
The impact of on under fairness neutrality and fairness concern. (a) Impact of on and . (b) Impact of on and . (c) Impact of on and . (d) Impact of on and .
Figure 5.
The impact of on under fairness neutrality and fairness concern. (a) Impact of on and . (b) Impact of on and . (c) Impact of on and . (d) Impact of on and .
Figure 6.
The impact of on in the presence of fairness concern. (a) Impact of on and . (b) Impact of on and .
Figure 7.
The impact of on shipping company profits under fairness concern. (a) Impact of on and . (b) Impact of on and .
Figure 8.
The impact of on profits of freight forwarder under fairness concern. (a) Impact of on and . (b) Impact of on and .
Figure 9.
The impact of on utility of freight forwarder under fairness concern. (a) Impact of on and . (b) Impact of on and .
7.1. Impact of Cost Factor for Blockchain Platform on the Profits of the Supply Chain Members
Figure 2 shows that, given economies of scale, the profit of the shipping company is lower under fairness concern than under fairness neutrality. In the case of diseconomies of scale, we still reach similar conclusions. This implies that fairness concern is considered by the freight forwarder, impacting the shipping company’s earnings and causing a decrease in its profit share within the supply chain. Additionally, when economies of scale and fairness neutrality are considered, the profitability of the shipping company increases significantly.
Note that Figure 2a,b correspond to parameter set , , , , , , . Figure 2c,d correspond to parameter set , , , , , , . By applying the values of the parameters in two parameter sets, we obtain a series of graphs similar to Figure 2. When comparing and observing the graphs after the adjustment of these two groups of parameters, we find that the patterns and trends presented by the graphs are consistent despite the different values used for the parameters. This shows that the results are not correlated with the numerical simulation parameters.
Figure 3 explicitly demonstrates how the cost considerations associated with the blockchain platform impact the profitability of freight forwarder. Based on the observations in Figure 3, it can be concluded that fairness concern can help the freight forwarder enhance her own profit. The freight forwarder’s choice to prioritize fairness concern can help her boost revenues through economies of scale. In the case of diseconomies of scale, we reach the same conclusion. It also shows that the freight forwarder’s decision to prioritize fairness concern is unaffected by the shipping company’s economies of scale or diseconomies of scale in production. Furthermore, considering fairness concerns and economies of scale has a major positive impact on freight forwarder’s profit.
Figure 4 depicts the variation in shipping company profit with for economies of scale and diseconomies of scale. The figure indicates that the shipping company’s profit declines with a rise in before stabilizing. At the same time, the profit of the shipping company under economies of scale is consistently higher than that under diseconomies of scale. This demonstrates that a shipping company can boost his own profit by utilizing economies of scale. It also indicates that whether the freight forwarder considers fairness concern does not influence the shipping company’s decision to select economies of scale.
Figure 5 shows that economies of scale can help the freight forwarder increase her own profit. Under fairness neutrality, the profit of the freight forwarder is higher when operating under economies of scale than when operating under diseconomies of scale. The same is true under fairness concern as well. The relationship between the freight forwarder’s input cost and fairness utility is illustrated in Figure 6. Under Scenario EF, low-cost input can provide the freight forwarder with high utility, after which the freight forwarder’s utility gradually declines to a certain level. Under Scenario DF, the utility of the freight forwarder tends to increase when her cost input is relatively low. As the freight forwarder’s input cost escalates, her fairness utility tends to stabilize. Not only is the freight forwarder’s fairness utility greater under economies of scale, but it is also consistently higher than under diseconomies of scale.
In conjunction with Proposition 3, it can be concluded that under economies of scale, the profits of all supply chain members increase to some extent. This indicates that economies of scale, as opposed to diseconomies of scale, can lead to an increase in economic efficiency through the expansion of production scale, thus assisting supply chain participants in increasing their profits. At the same time, economies of scale can reduce the unit cost of production, thereby helping supply chain members effectively control their production costs. However, this does not imply that greater production is always superior. The marginal advantage may eventually decrease and may even approach zero or negative value if the enterprise’s production size is increased beyond a certain point. At this point, diseconomies of scale are likely to arise. This is not favorable to enhancing the profitability of all parties involved in the supply chain and does not lead to optimal economic efficiency. Before facing the challenge of diseconomies of scale, General Motors, one of the largest automakers in the world in the 20th century, achieved significant economies of scale through its wide product range and extensive market penetration.5 The General Motors case illustrates that to pursue economies of scale, companies must closely monitor changes in the market and the development of their own management capabilities. An excessive size of a corporation can lead to diseconomies of scale due to factors such as rising expenses and delayed market response. Therefore, to avoid the trap of diseconomies of scale, companies need to continually develop rational strategies and plans for expansion based on the current state of the market and their own specific circumstances.
Furthermore, the downward trend observed in the curves from Figure 2 indicates that, regardless of the situation, as the cost of the blockchain platform increases, the profit of the freight forwarder decreases accordingly. The blockchain platform has a comparatively low input cost during the pre-production and manufacturing phases. During this time, the freight forwarder can boost her profit by raising the total freight and taking other actions. The freight forwarder’s strategy of increasing total freight to boost profit has become less successful due to the gradual rise in input cost. Therefore, to address the current predicament, the freight forwarder begins exploring other options. The information in the figure and earlier research demonstrate that, to boost profit, the freight forwarder can begin by addressing the level of economies of scale and the degree of fairness concern.
7.2. Impact of Fairness Concern on the Profits of the Supply Chain Members
Under fairness concern, Figure 7 illustrates how economies of scale and diseconomies of scale affect profitability of the shipping company. When the freight forwarder considers fairness concern, the shipping company’s profitability is higher under economies of scale than under diseconomies of scale. This indicates that, compared to the situation of diseconomies of scale, economies of scale can significantly boost the profit of the shipping company, further favoring its development. However, the curve in Figure 7 is decreasing regardless of whether there are economies of scale or diseconomies of scale. This is because, in the shipping supply chain, the freight forwarder’s consideration of fairness concern raises her profit share, while the shipping company’s profit share decreases. Consequently, the shipping company’s profit in both cases decreases as the level of fairness concern increases.
Note that Figure 7a, Figure 8a and Figure 9a are based on parameters set as , , , , , , . Figure 7b, Figure 8b and Figure 9b are based on parameters set as , , , , , , . By comparing graphs generated with two different sets of parameters, it can be observed that the research conclusion is not influenced by the numerical simulation parameters.
When fairness concern is considered, Figure 8 and Figure 9 illustrate how economies of scale and diseconomies of scale influence the freight forwarder’s profit and utility. Consequently, the profit and utility of the freight forwarder increase with the level of fairness concern. This suggests that fairness concern can positively impact the freight forwarder, potentially increasing her profit share in the shipping supply chain and encouraging her continued growth. Furthermore, when economies of scale are present, fairness concern has the greatest impact on the freight forwarder’s profitability and utility capacity. Additionally, we observe that when the degree of fairness concern rises under Scenario EF, the freight forwarder’s utility gradually surpasses her profit. This observation is consistent with the freight forwarder’s behavioral decision-making framework, which incorporates fairness concern as a pivotal factor, ultimately striving to optimize fairness utility. This is not true under Scenario DF. This indicates that the extent to which fairness concern has a beneficial effect is influenced by diseconomies of scale. Therefore, the freight forwarder considers how to utilize economies of scale and fairness concern effectively. The freight forwarder then selects appropriate strategies to meet the decision-making objectives in order to support the freight forwarder’s longer-term development.
8. Conclusions
8.1. Summary
Freight forwarders are actively pursuing strategies to address their challenges and enhance their competitiveness within the increasingly competitive shipping industry. In the framework of freight forwarder investing in the development and implementation of a blockchain platform, this research examines the effects of non-linear cost of a shipping company and fairness concern behavior of a freight forwarder on the shipping supply chain. The conclusions of this paper are as follows.
First, in the context of economies of scale or diseconomies of scale, the freight forwarder’s profit is more favorable under fairness concern than under fairness neutrality, while the shipping company’s profit exhibits the opposite trend. Considering fairness concern when making decisions is more advantageous to the freight forwarder’s profit if the shipping company’s production involves economies of scale. The same applies under diseconomies of scale. Conversely, the shipping company is unlikely to take fairness concern into account if he experiences economies of scale or diseconomies of scale in his production. In addition, economies of scale increase the earnings of all supply chain members.
Second, when fairness is considered, the freight forwarder’s profit and utility do not necessarily increase in tandem with the degree of fairness concern. The profit of the freight forwarder does not always rise in direct proportion to fairness concern when economies of scale are present for the shipping company. When diseconomies of scale exist for the shipping company, the utility of the freight forwarder does not always increase in proportion to fairness concern. However, regardless of whether there are economies of scale or diseconomies of scale, the profit of the shipping company is inversely proportional to the degree of fairness concern.
Finally, the interaction among the degree of economies of scale, diseconomies of scale, and fairness concern affects changes in total freight. Furthermore, the impact of fairness concern on total freight varies in the opposite direction at different production scales. The freight forwarder’s fairness concerns have an impact on the blockchain platform’s cost. Under economies of scale, the existence of fairness concerns raises the level of concern of the freight forwarder about the cost of inputs. In the presence of diseconomies of scale, fairness concerns can reduce the extent to which the freight forwarder is concerned about the cost of inputs.
8.2. Management Insights
The results of this study provide some useful information for supply chain members to address fairness concerns and non-linear production costs. We propose the following relevant management insights.
First, when investing in and applying blockchain platforms, businesses need to balance fairness concerns with profit consideration. When pursuing fairness in supply chain profit distribution, enterprises may take punitive measures due to fairness concerns, such as sacrificing their own profits, which could undermine supply chain stability. Therefore, enterprises establish a fair profit distribution mechanism that considers the costs, risks, and contributions of each member. This helps prevent the cooperative relationship from being strained or ruptured due to unequal distribution while safeguarding the long-term stability and efficient operation of the supply chain.
Second, firms should upgrade their productive capacities to enhance their core supply chain competencies. Economies of scale are significant when production is large enough, so firms need to expand their production capacity to take full advantage of economies of scale to increase total supply chain profits. However, firms must be careful when expanding to avoid falling into diseconomies of scale through overexpansion. Meanwhile, the application of blockchain technology can improve production transparency and traceability and help enterprises accurately control the scale and cost of production. When investing in blockchain, companies should comprehensively assess its impact on cost structures, including increases in fixed costs and changes in variable costs, to better balance costs and benefits in production decisions.
Finally, managers must consider how economies of scale and fairness concerns influence their decisions, as well as how to calculate the appropriate level of inputs. While an excessively high level of fairness concern may easily disturb the balance of supply chain profits and create an uneasy situation, a relatively low level may fail to meet the organization’s expectations. Similarly, economies of scale tend to become diseconomies of scale if the production scale is not adequately regulated, placing the company in a new predicament. Therefore, companies should continuously explore new ways to optimize production processes and reduce costs using blockchain technology. Meanwhile, they should encourage innovative collaboration within the company and among supply chain partners to adapt to changes in non-linear production costs and the evolution of market demand.
8.3. Future Research Directions
This paper has some limitations and potential avenues for further research. First, there are numerous one-to-two or one-to-many scenarios in the shipping logistics market. However, this study exclusively examines a shipping supply chain involving a single shipping company and a single freight forwarder. Second, in this paper, only the freight forwarder has taken the fairness concern into account. However, there are situations in which the shipping company or both parties consider fairness concerns. Therefore, in addressing the issue of profit distribution in the shipping supply chain, it would be beneficial to study the behavior of multiple supply chain members regarding fairness concern. Third, fairness concern is merely one form of social preference that influences decision-makers in this work. Other preferences, such as altruistic preferences [71] and reciprocal preferences [72,73], might also be significant. Companies will gain a better understanding of the benefits and drawbacks, thereby increasing their competitiveness. Fourth, it is important to note that in an increasingly digital and increasingly complex shipping supply chain, the above research is limited to solutions for typical linear demand relationships. However, the total market demand often exhibits non-linear characteristics, suggesting that non-linear demand models provide a more accurate representation of reality. Consequently, this discrepancy creates substantive avenues for further exploration and theoretical development in subsequent research. Finally, in future research, to make the model more adaptable and flexible, we can integrate new economic factors into the current model as additional modules or partially revise the relevant models. For example, to address the impact of inflation [74] on the cost structure, a separate cost model can be constructed to consider its impact on purchasing, production costs, etc. This modular approach ensures both model flexibility and ease of maintenance and updates. In summary, these potential research directions could refine the findings of this paper and significantly enrich the theory in this field.
Author Contributions
Conceptualization, J.H.; formal analysis, J.H.; funding acquisition, L.C.; investigation, J.H., X.T., Y.W., C.M. and L.C.; validation, Y.W.; visualization, X.T.; writing—original draft, J.H., X.T., Y.W., C.M. and L.C.; writing—review and editing, J.H., X.T., Y.W., C.M. and L.C. All authors have read and agreed to the published version of the manuscript.
Funding
This research was supported by research grant from the National Natural Science Foundation of China (No. 72102171) and the Humanities and Social Sciences Youth Foundation, Ministry of Education of the People’s Republic of China (No. 21YJC630006).
Data Availability Statement
All relevant data are within the paper.
Conflicts of Interest
The authors declare no conflicts of interest.
Appendix A
Appendix A1. Proof That the Formulas Are Valid
- (i).
- Take the second partial derivative of with respect to and separately: , , , besides , when , is a strictly joint concave function of and .
- (ii).
- To ensure a positive profit in all cases, we set to represent the freight forwarder’s markup over the wholesale price, so that . We can get . When , is a strictly concave function with respect to . Similarly, we can obtain that , so is a strictly concave function with respect to .
- (iii).
- We find the second order partial derivatives of the fairness utility function with respect to and such that is a joint concave function with respect to and . Similar to the above, when , , we can obtain that is a joint concave function with respect to and .
- (iv).
- From Table 4 and Table 5, we should make this model realistic and ensure that the profits of the supply chain members are positive, ensuring that the shipping company and freight forwarder do not exit the supply chain. Under Scenario EN, we suppose , and . At the same time, we suppose , and under the Scenario EF. To guarantee positive profits in all circumstances, we suppose and in Scenario DN. In Scenario DF, we suppose , and .
- (v).
- Meaning of indications used in the text:.....
Appendix A2. Proof of Corollaries and Propositions
Proof of Corollary 1(a).
(i) The first-order derivative of with respect to is .
- (i).
- The first-order derivative of with respect to is .
- (ii).
- Taking the first-order deviation of and with respect to , we have , and . □
Proof of Corollary 1(b).
Taking the first-order deviation of with respect to , we have . Obviously, if and , ; if and , . If , . □
Proof of Corollary 2.
The proof is similar to Corollary 1 and is therefore omitted. □
Proof of Corollary 3.
Proof of Corollary 3(a).
(i) The first-order derivative of with respect to is .
(ii) Taking the first-order deviation of with respect to , we have .
(iii) Taking the first-order deviation of with respect to , we have . To judge plus or minus, can be seen as a quadratic function with respect to . Let , and we can obtain that , . We find that . Let . If , . We have . Finally, by using the method of combination of number and shape, Corollary 3(a) (iii) is verified. □
Proof of Corollary 3(b).
Taking the first-order deviation of with respect to , we have . To judge plus or minus, can be seen as a monotonically decreasing function about . Let , . We find that . Let , can be obtained. Then we find that . To judge plus or minus, can be seen as a monotonically decreasing function about . Let , . Then, we find that if , ; if , . Sequentially, we analyze that if and , ; if and , ; if < , . Finally, by using the method of combination of number and shape, Corollary 3(b) is verified. □
Proof of Corollary 3(c).
Taking the first-order deviation of with respect to , we have . Obviously, the symbol of is determined by . Thus if , ; if , . □
Proof of Corollary 3(d).
Taking the first-order deviation of with respect to , we have . To judge plus or minus, can be seen as a monotonically decreasing function about . Let , and we can obtain that . Then we find that . Let , and can be obtained. Then we find that . Finally, by using the method of combination of number and shape, we obtain that if , ; if , . □
Proof of Proposition 1.
Proof of Proposition 1(a).
Comparing the ocean freight under the EF scenario with that under the EN scenario, we have . Let , , and we have . Let , and can be obtained. Let , can be obtained. Then we find that , , and . Thereby, if , ; if , . □
Proof of Proposition 1(b).
Comparing the total freight under the EF scenario with that under the EN scenario, we have . Here , . Similar to Corollary 1(b), our analysis shows that if and , ; if and , ; if , . Proposition 1(b) is proven. □
Proof of Proposition 1(c).
(i) For comparing the value of a blockchain platform for shipping logistics, we have . Here can be seen as a monotonically increasing function about . And can be seen as a monotonically increasing function about . Thus, its functional value is always greater than zero, and then .
(ii) For comparing the shipping company’s profit, we have . Here , , and . Thus, its functional value is always greater than zero, and then . Subsequently, summarizing the above results, Proposition 1(c) (ii) is proved. □
Proofs of Corollaries 4–6.
The proofs of Corollaries 4–6 are similar to those of Corollaries 1–3. We omit them. □
Proofs of Propositions 2–4.
The proofs of Propositions 2–4 are similar to those of Proposition 1. We omit them. □
Notes
| 1 | https://lines.coscoshipping.com/home/About/about/Profile (accessed on 25 May 2025) |
| 2 | https://pubsonline.informs.org/doi/abs/10.1287/orsc.2021.1444 (accessed on25 May 2025) |
| 3 | https://www.sciencedirect.com/science/article/abs/pii/S0377221721003258 (accessed on 25 May 2025) |
| 4 | https://drpress.org/ojs/index.php/HBEM/article/view/14832 (accessed on25 May 2025) |
| 5 | https://escholarship.org/uc/item/58h69717 (accessed on 25 May 2025) |
References
- Wang, J.; Liu, J.; Wang, F.; Yue, X. Blockchain technology for port logistics capability: Exclusive or sharing. Transp. Res. Part B Methodol. 2021, 149, 347–392. [Google Scholar] [CrossRef]
- Saberi, S.; Kouhizadeh, M.; Sarkis, J.; Shen, L. Blockchain technology and its relationships to sustainable supply chain management. Int. J. Prod. Res. 2019, 57, 2117–2135. [Google Scholar] [CrossRef]
- Li, H.; Gao, J.; Li, X. Blockchain adoption strategy of two-sided shipping platforms connecting forwarder and liner company. Ocean. Coast. Manag. 2024, 247, 106932. [Google Scholar] [CrossRef]
- Zhang, Y.; Zhou, C. Can blockchain technology promote green transformation? Evidence from Chinese listed enterprises. Systems 2025, 13, 258. [Google Scholar] [CrossRef]
- Li, L.; Zhou, J. Blockchain effects and investment strategies in the maritime supply chain under perishable goods loss. Systems 2025, 13, 196. [Google Scholar] [CrossRef]
- Xin, X.; Liu, M.; Wang, X.; Chen, H.; Chen, K. Investment strategy for blockchain technology in a shipping supply chain. Ocean. Coast. Manag. 2022, 226, 106263. [Google Scholar] [CrossRef] [PubMed]
- Singh, S.; Pratap, S.; Dwivedi, A.; Lakshay, L. An empirical study on driving blockchain adoption in Maritime freight: An Asian business perspective. J. Bus. Ind. Mark. 2024, 39, 2347–2363. [Google Scholar] [CrossRef]
- Sun, H.; Zhong, Y. Carbon emission reduction and green marketing decisions in a two-echelon low-carbon supply chain considering fairness concern. J. Bus. Ind. Mark. 2023, 38, 905–929. [Google Scholar] [CrossRef]
- Fehr, E.; Schmidt, K.M. A theory of fairness, competition, and cooperation. Q. J. Econ. 1999, 114, 817–868. [Google Scholar] [CrossRef]
- Chen, L.; Wang, Y.; Zeng, L.; Jiang, J.; Zhu, X.; Peng, J. Logistics service decision for e-commerce supply chain with fairness concern under uncertain environment. Int. J. Gen. Syst. 2024, 54, 1–36. [Google Scholar] [CrossRef]
- Wang, Y.; Yu, Z.; Shen, L. Study on the decision-making and coordination of an e-commerce supply chain with manufacturer fairness concerns. Int. J. Prod. Res. 2019, 57, 2788–2808. [Google Scholar] [CrossRef]
- Adhikari, A.; Bisi, A. Collaboration, bargaining, and fairness concern for a green apparel supply chain: An emerging economy perspective. Transp. Res. Part E Logist. Transp. Rev. 2020, 135, 101863. [Google Scholar] [CrossRef]
- Shang, W.; Ha, A.Y.; Tong, S. Information sharing in a supply chain with a common retailer. Manag. Sci. 2016, 62, 245–263. [Google Scholar] [CrossRef]
- Xue, L.; Wang, K. Dual-channel supply chain coordination under risk aversion and fairness concerns. Manag. Decis. Econ. 2023, 44, 3289–3307. [Google Scholar] [CrossRef]
- Song, L.P.; Liu, S.; Yao, F.M.; Xing, Y. Collection and coordination strategies in a dual-channel closed-loop supply chain under manufacturer diseconomies of scale. IEEE Access 2021, 9, 113377–113392. [Google Scholar] [CrossRef]
- Xiao, T.; Choi, T.M.; Cheng, T.C.E. Optimal variety and pricing decisions of a supply chain with economies of scope. IEEE Trans. Eng. Manag. 2015, 62, 411–420. [Google Scholar] [CrossRef]
- Banker, R.D.; Chang, H.; Kemerer, C.F. Evidence on economies of scale in software development. Inf. Softw. Technol. 1994, 36, 275–282. [Google Scholar] [CrossRef]
- Mollick, A.V. Production smoothing in the Japanese vehicle industry. Int. J. Prod. Econ. 2004, 91, 63–74. [Google Scholar] [CrossRef]
- Atkins, D.; Liang, L. A note on competitive supply chains with generalised supply costs. Eur. J. Oper. Res. 2010, 207, 1316–1320. [Google Scholar] [CrossRef]
- Zhao, D.; Li, Z. The impact of manufacturer’s encroachment and nonlinear production cost on retailer’s information sharing decisions. Ann. Oper. Res. 2018, 264, 499–539. [Google Scholar] [CrossRef]
- Wang, T.; Chen, Z.; Wang, X.; Govindan, K.; Skibniewski, M.J. Strategic information sharing in the dual-channel closed loop supply chain with nonlinear production cost. Inf. Sci. 2024, 657, 119944. [Google Scholar] [CrossRef]
- Xu, H.; Liu, J.; Xu, X.; Chen, J.; Yue, X. The impact of AI technology adoption on operational decision-making in competitive heterogeneous ports. Transp. Res. Part E Logist. Transp. Rev. 2024, 183, 103428. [Google Scholar] [CrossRef]
- Sodhi, M.S.; Tang, C.S. Research opportunities in supply chain transparency. Prod. Oper. Manag. 2019, 28, 2946–2959. [Google Scholar] [CrossRef]
- Choi, T.M. Supply chain financing using blockchain: Impacts on supply chains selling fashionable products. Ann. Oper. Res. 2023, 331, 393–415. [Google Scholar] [CrossRef]
- Zhu, J.; Feng, T.; Lu, Y.; Jiang, W. Using blockchain or not? A focal firm’s blockchain strategy in the context of carbon emission reduction technology innovation. Bus. Strategy Environ. 2024, 33, 3505–3531. [Google Scholar] [CrossRef]
- Xu, X.; Tatge, L.; Xu, X.; Liu, Y. Blockchain applications in the supply chain management in German automotive industry. Prod. Plan. Control. 2024, 35, 917–931. [Google Scholar] [CrossRef]
- Babaei, A.; Tirkolaee, E.B.; Ali, S.S. Assessing the viability of blockchain technology in renewable energy supply chains: A consolidation framework. Renew. Sustain. Energy Rev. 2025, 212, 115444. [Google Scholar] [CrossRef]
- Babaei, A.; Khedmati, M.; Jokar, M.R.A.; Tirkolaee, E.B. Product tracing or component tracing? Blockchain adoption in a two-echelon supply chain management. Comput. Ind. Eng. 2025, 200, 110789. [Google Scholar] [CrossRef]
- Yang, C.S. Maritime shipping digitalization: Blockchain-based technology applications, future improvements, and intention to use. Transp. Res. Part E Logist. Transp. Rev. 2019, 131, 108–117. [Google Scholar] [CrossRef]
- Li, X.; Zhou, Y.; Yuen, K.F. Blockchain implementation in the maritime industry: Critical success factors and strategy formulation. Marit. Policy Manag. 2024, 51, 304–322. [Google Scholar] [CrossRef]
- Wang, H.; Wang, C.; Li, M.; Xie, Y. Blockchain technology investment strategy for shipping companies under competition. Ocean. Coast. Manag. 2023, 243, 106696. [Google Scholar] [CrossRef]
- Zhao, H.; Liu, J.; Hu, X. Servitization with blockchain in the maritime supply chain. Ocean. Coast. Manag. 2022, 225, 106195. [Google Scholar] [CrossRef]
- Razavian, S.B.; Tirkolaee, E.B.; Simic, V.; Ali, S.S.; Görçün, Ö.F. Blockchain-enabled healthcare supply chain management: Identification and analysis of barriers and solutions based on improved zero-sum hesitant fuzzy game theory. Eng. Appl. Artif. Intell. 2025, 154, 110991. [Google Scholar] [CrossRef]
- Balci, G.; Surucu-Balci, E. Blockchain adoption in the maritime supply chain: Examining barriers and salient stakeholders in containerized international trade. Transp. Res. Part E Logist. Transp. Rev. 2021, 156, 102539. [Google Scholar] [CrossRef]
- Tu, H.; Pang, M.; Chen, L. Freshness-keeping strategy of logistics service providers: The role of the interaction between blockchain and overconfidence. Mathematics 2023, 11, 3723. [Google Scholar] [CrossRef]
- Liu, J.; Zhao, H.; Lyu, Y.; Yue, X. The provision strategy of blockchain service under the supply chain with downstream competition. Ann. Oper. Res. 2023, 327, 375–400. [Google Scholar] [CrossRef]
- Li, S.; Zhang, C.; Zhang, L.H. The interaction of upstream encroachment and blockchain technology application in a shipping supply chain. Comput. Ind. Eng. 2024, 194, 110350. [Google Scholar] [CrossRef]
- Jin, M.; Wu, S.D.; Erkoc, M. Multiple unit auctions with economies and diseconomies of scale. Eur. J. Oper. Res. 2006, 174, 816–834. [Google Scholar] [CrossRef]
- Bottasso, A.; Conti, M.; Vannoni, D. Scale and (quasi) scope economies in airport technology. An application to UK airports. Transp. Res. Part A Policy Pract. 2019, 125, 150–164. [Google Scholar] [CrossRef]
- Panico, C.; Cennamo, C. User preferences and strategic interactions in platform ecosystems. Strateg. Manag. J. 2022, 43, 507–529. [Google Scholar] [CrossRef]
- Kucheryavyy, K.; Lyn, G.; Rodríguez-Clare, A. Grounded by gravity: A well-behaved trade model with industry-level economies of scale. Am. Econ. J. Macroecon. 2023, 15, 372–412. [Google Scholar] [CrossRef]
- Nakatani, R. Productivity drivers of infrastructure companies: Network industries utilizing economies of scale in the digital era. Ann. Public Coop. Econ. 2023, 94, 1273–1298. [Google Scholar] [CrossRef]
- Rawley, E.; Simcoe, T.S. Diversification, diseconomies of scope, and vertical contracting: Evidence from the taxicab industry. Manag. Sci. 2010, 56, 1534–1550. [Google Scholar] [CrossRef]
- Ha, A.Y.; Tong, S.; Zhang, H. Sharing demand information in competing supply chains with production diseconomies. Manag. Sci. 2011, 57, 566–581. [Google Scholar] [CrossRef]
- Yi, P.; Huang, M.; Guo, L.; Shi, T. Dual recycling channel decision in retailer oriented closed-loop supply chain for construction machinery remanufacturing. J. Clean. Prod. 2016, 137, 1393–1405. [Google Scholar] [CrossRef]
- Coulombel, N.; Monchambert, G. Diseconomies of scale and subsidies in urban public transportation. J. Public Econ. 2023, 223, 104903. [Google Scholar] [CrossRef]
- Chen, X.; Tang, Y. The impact of production diseconomies on manufacturer encroachment. Int. Trans. Oper. Res. 2024, 31, 1270–1295. [Google Scholar] [CrossRef]
- Wang, J.; Zhuo, W. Strategic information sharing in a supply chain under potential supplier encroachment. Comput. Ind. Eng. 2020, 150, 106880. [Google Scholar] [CrossRef]
- Zhou, X.; Zhu, C.; Cai, D. Delivery arrangement in online distribution channels under different power structures. Omega 2024, 126, 103070. [Google Scholar] [CrossRef]
- Bendoly, E.; Donohue, K.; Schultz, K.L. Behavior in operations management: Assessing recent findings and revisiting old assumptions. J. Oper. Manag. 2006, 24, 737–752. [Google Scholar] [CrossRef]
- Xia, L.; Guo, T.; Qin, J.; Yue, X.; Zhu, N. Carbon emission reduction and pricing policies of a supply chain considering reciprocal preferences in cap-and-trade system. Ann. Oper. Res. 2018, 268, 149–175. [Google Scholar] [CrossRef]
- Li, Q.; Xiao, T.; Qiu, Y. Price and carbon emission reduction decisions and revenue-sharing contract considering fairness concerns. J. Clean. Prod. 2018, 190, 303–314. [Google Scholar] [CrossRef]
- Liu, Z.; Zheng, X.X.; Li, D.F.; Liao, C.N.; Sheu, J.B. A novel cooperative game-based method to coordinate a sustainable supply chain under psychological uncertainty in fairness concerns. Transp. Res. Part E Logist. Transp. Rev. 2021, 147, 102237. [Google Scholar] [CrossRef]
- Yoshihara, R.; Matsubayashi, N. Channel coordination between manufacturers and competing retailers with fairness concerns. Eur. J. Oper. Res. 2021, 290, 546–555. [Google Scholar] [CrossRef]
- Xiao, Q.; Chen, L.; Xie, M.; Wang, C. Optimal contract design in sustainable supply chain: Interactive impacts of fairness concern and overconfidence. J. Oper. Res. Soc. 2021, 72, 1505–1524. [Google Scholar] [CrossRef]
- Wu, H.; Weng, J.; Li, G.; Zheng, H. Green subsidy strategies and fairness concern in a capital-constrained supply chain. Transp. Res. Part E Logist. Transp. Rev. 2024, 192, 103693. [Google Scholar] [CrossRef]
- Guan, Z.; Ye, T.; Yin, R. Channel coordination under Nash bargaining fairness concerns in differential games of goodwill accumulation. Eur. J. Oper. Res. 2020, 285, 916–930. [Google Scholar] [CrossRef]
- Diao, W.; Harutyunyan, M.; Jiang, B. Consumer fairness concerns and dynamic pricing in a channel. Mark. Sci. 2023, 42, 569–588. [Google Scholar] [CrossRef]
- Xia, L.; Li, K.; Fu, H. Bargaining in mobile app supply chain considering members’ fairness concern attitudes. Int. J. Prod. Econ. 2024, 270, 109196. [Google Scholar] [CrossRef]
- Chen, L.; Dong, T.; Pang, M.; Liu, Q.; Wang, Z.; Rao, C. Logistics service strategy for e-commerce supply chain: Interactive impacts of cost reduction effort and fairness concern. Manag. Decis. Econ. 2024, 45, 1067–1089. [Google Scholar] [CrossRef]
- Yan, Y.; Bi, W.; Wang, M.; Wang, B. Sustainable Supply Chains for Poverty Alleviation: Considering Branding and Nash Bargaining Fairness Concerns. Systems 2025, 13, 182. [Google Scholar] [CrossRef]
- Zhang, L.H.; Liu, C.; Zhang, C.; Wang, S. Upstream encroachment and downstream outsourcing in competing shipping supply chains. Int. J. Prod. Econ. 2023, 255, 108655. [Google Scholar] [CrossRef]
- Wang, J.; Liu, J.; Zhang, X. Service purchasing and market-entry problems in a shipping supply chain. Transp. Res. Part E Logist. Transp. Rev. 2020, 136, 101895. [Google Scholar] [CrossRef]
- Li, G.; Li, L.; Sun, J. Pricing and service effort strategy in a dual-channel supply chain with showrooming effect. Transp. Res. Part E Logist. Transp. Rev. 2019, 126, 32–48. [Google Scholar] [CrossRef]
- Yu, J.; Song, Z.; Zhou, C. Self-supporting or third-party? The optimal delivery strategy selection decision for e-tailers under competition. Kybernetes 2023, 52, 4783–4811. [Google Scholar] [CrossRef]
- Zhang, R.; Ma, W.; Si, H.; Liu, J.; Liao, L. Cooperative game analysis of coordination mechanisms under fairness concerns of a green retailer. J. Retail. Consum. Serv. 2021, 59, 102361. [Google Scholar] [CrossRef]
- Ma, Y.; Cheng, S. Channel coordination in a closed-loop supply chain with fairness concerns under further extended producer responsibility. Manag. Decis. Econ. 2023, 44, 876–891. [Google Scholar] [CrossRef]
- Zhou, C.; Li, X.; Ren, Y.; Yu, J. How do fairness concern and power structure affect competition between e-platforms and third-party sellers? IEEE Trans. Eng. Manag. 2023, 71, 7479–7495. [Google Scholar] [CrossRef]
- Chen, L.; Shen, H.; Liu, Q.; Rao, C.; Li, J.; Goh, M. Joint optimization on green investment and contract design for sustainable supply chains with fairness concern. Ann. Oper. Res. 2024, 1–39. [Google Scholar] [CrossRef]
- Kshetri, N.; DeFranco, J. The economics behind food supply blockchains. Computer 2020, 53, 106–110. [Google Scholar] [CrossRef]
- Yu, T.; Guan, Z.; Zhang, J.; Dong, J. Blockchain adoption and contract coordination of poverty alleviation supply chain considering altruistic preference. Comput. Ind. Eng. 2024, 188, 109879. [Google Scholar] [CrossRef]
- Fahn, M. Reciprocity in dynamic employment relationships. Manag. Sci. 2023, 69, 5816–5829. [Google Scholar] [CrossRef]
- Beltran, D.G.; Ayers, J.D.; Munoz, A.; Cronk, L.; Aktipis, A. What is reciprocity? A review and expert-based classification of cooperative transfers. Evol. Hum. Behav. 2023, 44, 384–393. [Google Scholar] [CrossRef]
- Cieslak, A.; Pflueger, C. Inflation and asset returns. Annu. Rev. Financ. Econ. 2023, 15, 433–448. [Google Scholar] [CrossRef]
Disclaimer/Publisher’s Note: The statements, opinions and data contained in all publications are solely those of the individual author(s) and contributor(s) and not of MDPI and/or the editor(s). MDPI and/or the editor(s) disclaim responsibility for any injury to people or property resulting from any ideas, methods, instructions or products referred to in the content. |
© 2025 by the authors. Licensee MDPI, Basel, Switzerland. This article is an open access article distributed under the terms and conditions of the Creative Commons Attribution (CC BY) license (https://creativecommons.org/licenses/by/4.0/).