A Dual-Level Model of AI Readiness in the Public Sector: Merging Organizational and Individual Factors Using TOE and UTAUT
Abstract
1. Introduction
- RQ1: How can a comprehensive multi-criteria decision-making model be developed to assess organizational readiness to adopt AI in public administration?
- RQ2: What technological, organizational, environmental, and individual factors influence this readiness?
- RQ3: How can these factors be structured and weighted to support strategic decision-making in the public sector?
- RQ4: How does the integration of TOE and UTAUT frameworks enhance the robustness and relevance of AI readiness assessments?
2. The Literature Review
- (1)
- The impact of AI-enabled services on citizen satisfaction in government agencies [19];
- (2)
- The factors that influence the trust and perceived usefulness of AI-based HR tools among professionals [29];
- (3)
- Citizens’ acceptance of AI in the delivery of public services [30];
- (4)
- The perception and willingness of government employees to support the use of AI technologies [17];
- (5)
- The determinants of the acceptance of AI technologies by employees within organizations [31].
3. Methodology
3.1. Research Design
3.2. Method
3.3. Proposed Model
- aij represents the relative importance of element I compared to element j;
- aji = 1/aij and aii = 1.
- A is the comparison matrix;
- w is the eigenvector of priorities;
- λmax is the maximum eigenvalue of matrix A.
- Score for the category technology is calculated as follows:
- Score for the category organization is calculated as outlined below:
- Score for the category environment is calculated as follows:
- Score for the category individual readiness is calculated as detailed below:
- Overall score for the organization:
4. Results
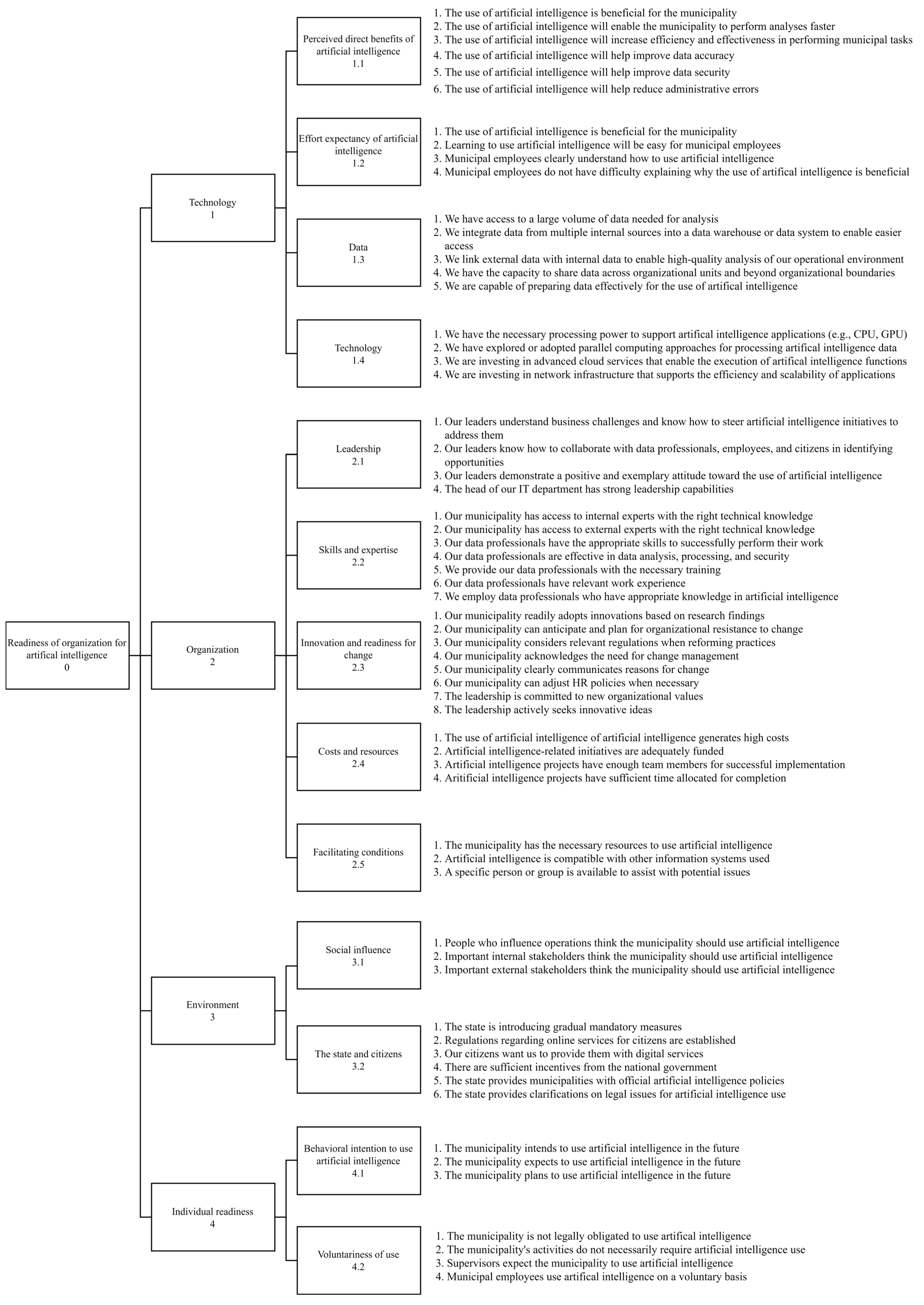
4.1. Structure of the Decision Model
- 1. Technology
- 1.1. Perceived direct benefits of artificial intelligence
- 1.1.1. The use of artificial intelligence is beneficial for the municipality;
- 1.1.2. The use of artificial intelligence will enable the municipality to perform analyses faster;
- 1.1.3. The use of artificial intelligence will increase efficiency and effectiveness in performing municipal tasks;
- 1.1.4. The use of artificial intelligence will help improve data accuracy;
- 1.1.5. The use of artificial intelligence will help improve data security;
- 1.1.6. The use of artificial intelligence will help reduce administrative errors.
- 1.2. Effort expectancy of artificial intelligence
- 1.2.1. It will be easy for municipal employees to acquire the skills needed to use artificial intelligence;
- 1.2.2. Learning to use artificial intelligence will be easy for municipal employees;
- 1.2.3. Municipal employees clearly understand how to use artificial intelligence;
- 1.2.4. Municipal employees do not have difficulty explaining why the use of artificial intelligence is beneficial.
- 1.3. Data
- 1.3.1. We have access to a large volume of data needed for analysis;
- 1.3.2. We integrate data from multiple internal sources into a data warehouse or data system to enable easier access;
- 1.3.3. We link external data with internal data to enable high-quality analysis of our operational environment;
- 1.3.4. We have the capacity to share data across organizational units and beyond organizational boundaries;
- 1.3.5. We are capable of preparing data effectively for the use of artificial intelligence.
- 1.4. Technology
- 1.4.1. We have the necessary processing power to support artificial intelligence applications (e.g., CPU, GPU);
- 1.4.2. We have explored or adopted parallel computing approaches for processing artificial intelligence data;
- 1.4.3. We are investing in advanced cloud services that enable the execution of artificial intelligence functions;
- 1.4.4. We are investing in network infrastructure that supports the efficiency and scalability of applications.
- 2. Organization
- 2.1. Leadership
- 2.1.1. Our leaders understand business challenges and know how to steer artificial intelligence initiatives to address them;
- 2.1.2. Our leaders know how to collaborate with data professionals, employees, and citizens in identifying opportunities;
- 2.1.3. Our leaders demonstrate a positive and exemplary attitude toward the use of artificial intelligence;
- 2.1.4. The head of our IT department has strong leadership capabilities.
- 2.2. Skills and abilities
- 2.2.1. Our municipality has access to internal experts with the right technical knowledge;
- 2.2.2. Our municipality has access to external experts with the right technical knowledge;
- 2.2.3. Our data professionals have the appropriate skills to successfully perform their work;
- 2.2.4. Our data professionals are effective in data analysis, processing, and security;
- 2.2.5. We provide our data professionals with the necessary training;
- 2.2.6. Our data professionals have relevant work experience;
- 2.2.7. We employ data professionals who have appropriate knowledge in AI.
- 2.3. Innovation and readiness for change
- 2.3.1. Our municipality readily adopts innovations based on research findings;
- 2.3.2. Our municipality can anticipate and plan for organizational resistance to change;
- 2.3.3. Our municipality considers relevant regulations when reforming practices;
- 2.3.4. Our municipality acknowledges the need for change management;
- 2.3.5. Our municipality clearly communicates reasons for change;
- 2.3.6. Our municipality can adjust HR policies when necessary;
- 2.3.7. The leadership is committed to new organizational values;
- 2.3.8. The leadership actively seeks innovative ideas.
- 2.4. Costs and resources
- 2.4.1. The use of artificial intelligence generates high costs;
- 2.4.2. Artificial intelligence-related initiatives are adequately funded;
- 2.4.3. AI projects have enough team members for successful implementation;
- 2.4.4. AI projects have sufficient time allocated for completion.
- 2.5. Facilitating conditions
- 2.5.1. The municipality has the necessary resources to use artificial intelligence;
- 2.5.2. Artificial intelligence is compatible with other information systems used;
- 2.5.3. A specific person or group is available to assist with potential issues.
- 3. Environment
- 3.1. Social influence
- 3.1.1. People who influence operations think the municipality should use AI;
- 3.1.2. Important internal stakeholders think the municipality should use AI;
- 3.1.3. Important external stakeholders think the municipality should use AI.
- 3.2. The state and the citizens
- 3.2.1. The state is introducing gradual mandatory measures;
- 3.2.2. Regulations regarding online services for citizens are established;
- 3.2.3. Our citizens want us to provide them with digital services;
- 3.2.4. There are sufficient incentives from the national government;
- 3.2.5. The state provides municipalities with official AI policies;
- 3.2.6. The state provides clarifications on legal issues for AI use.
- 4. Individual readiness
- 4.1. Behavioral intention to use artificial intelligence
- 4.1.1. The municipality intends to use artificial intelligence in the future;
- 4.1.2. The municipality expects to use artificial intelligence in the future;
- 4.1.3. The municipality plans to use artificial intelligence in the future.
- 4.2. Voluntariness of use
- 4.2.1. The municipality is not legally obligated to use artificial intelligence;
- 4.2.2. The municipality’s activities do not necessarily require AI use;
- 4.2.3. Supervisors expect the municipality to use artificial intelligence;
- 4.2.4. Municipal employees use artificial intelligence on a voluntary basis.
4.2. Outputs of the Decision Model
- The weights were derived using the principal eigenvector of the aggregated pairwise comparison matrices;
- CI was calculated ;
- CR was calculated as , where RI is the random index.
5. Discussion
6. Conclusions
Author Contributions
Funding
Data Availability Statement
Conflicts of Interest
Abbreviations
| AHP | Analytic Hierarchy Process |
| AI | Artificial intelligence |
| BIM | Building Information Modeling |
| CI | Consistency index |
| CIO | Chief Information Office |
| GMM | Geometric mean method |
| CR | Consistency ratio |
| GDPR | General Data Protection Regulation |
| HR | Human resources |
| ICT | Information and Communication Technology |
| MCDM | Multi-criteria decision-making |
| RQ | Research question |
| TAM | Technology Acceptance Model |
| TOE | Technology–organization–environment |
| TRAM | Technology Readiness and Acceptance Model |
| TRI | Technology Readiness Index |
| UTAUT | Unified theory of acceptance and use of technology |
References
- Brynjolfsson, E.; McAfee, A. The Business of Artificial Intelligence. Harv. Bus. Rev. 2017, 7, 3–11. [Google Scholar]
- Davenport, T.H.; Ronanki, R. Artificial Intelligence for the Real World. Harv. Bus. Rev. 2018, 96, 108–116. [Google Scholar]
- Kolbjørnsrud, V.; Amico, R.; Thomas, R.J. Partnering with AI: How Organizations Can Win over Skeptical Managers. Strategy Leadersh. 2017, 45, 37–43. [Google Scholar] [CrossRef]
- Wilson, H.J.; Daugherty, P.R. Collaborative Intelligence: Humans and AI Are Joining Forces. Harv. Bus. Rev. 2018, 96, 114–123. [Google Scholar]
- OECD. The State of the Public Sector Response to COVID-19; OECD Publishing: Paris, France, 2022. [Google Scholar]
- Wirtz, B.W.; Langer, P.F.; Fenner, C. Artificial Intelligence in the Public Sector—a Research Agenda. Int. J. Public Adm. 2021, 44, 1103–1128. [Google Scholar] [CrossRef]
- Mergel, I.; Edelmann, N.; Haug, N. Defining Digital Transformation: Results from Expert Interviews. Gov. Inf. Q. 2019, 36, 101385. [Google Scholar] [CrossRef]
- Entwistle, T. Public Management; Routledge: London, UK, 2021; ISBN 9780429331046. [Google Scholar]
- Kelman, S. Public Management Needs Help! Acad. Manag. J. 2005, 48, 967–969. [Google Scholar] [CrossRef]
- Eubanks, V. Automating Inequality: How High-Tech Tools Profile, Police, and Punish the Poor; St. Martin’s Press: New York, NY, USA, 2018; ISBN 9781250074317. [Google Scholar]
- Janssen, M.; van den Hoven, J. Big and Open Linked Data (BOLD) in Government: A Challenge to Transparency and Privacy? Gov. Inf. Q. 2015, 32, 363–368. [Google Scholar] [CrossRef]
- Hood, C. A Public Management for All Seasons? Public Adm. 1991, 69, 3–19. [Google Scholar] [CrossRef]
- Margetts, H.; Dorobantu, C. Rethink Government with AI. Nature 2019, 568, 163–165. [Google Scholar] [CrossRef]
- Tornatzky, L.G.; Fleischer, M. The Processes of Technological Innovation; Lexington Books: Lanham, MD, USA, 1990; ISBN 0669203483. [Google Scholar]
- Venkatesh, V.; Morris, M.G.; Davis, G.B.; Davis, F.D. User Acceptance of Information Technology: Toward a Unified View. MIS Q. 2003, 27, 425–478. [Google Scholar] [CrossRef]
- Saaty, T.L. Decision Making with the Analytic Hierarchy Process. Int. J. Serv. Sci. 2008, 1, 83. [Google Scholar] [CrossRef]
- Ahn, M.J.; Chen, Y.C. Digital Transformation toward AI-Augmented Public Administration: The Perception of Government Employees and the Willingness to Use AI in Government. Gov. Inf. Q. 2022, 39, 101664. [Google Scholar] [CrossRef]
- Baker, J. The Technology—Organization—Environment Framework. In Integrated Series in Information Systems; Dwivedi, Y., Wade, M., Schneberger, S., Eds.; Springer: New York, NY, USA, 2012; Volume 1, pp. 231–245. [Google Scholar]
- Chatterjee, S.; Khorana, S.; Kizgin, H. Harnessing the Potential of Artificial Intelligence to Foster Citizens’ Satisfaction: An Empirical Study on India. Gov. Inf. Q. 2022, 39, 101621. [Google Scholar] [CrossRef]
- Davis, F.D. Perceived Usefulness, Perceived Ease of Use, and User Acceptance of Information Technology. MIS Q. 1989, 13, 319–339. [Google Scholar] [CrossRef]
- Venkatesh, V.; Davis, F.D. A Theoretical Extension of the Technology Acceptance Model: Four Longitudinal Field Studies. Manag. Sci. 2000, 46, 186–204. [Google Scholar] [CrossRef]
- Venkatesh, V.; Bala, H. Technology Acceptance Model 3 and a Research Agenda on Interventions. Decis. Sci. 2008, 39, 273–315. [Google Scholar] [CrossRef]
- Parasuraman, A. Technology Readiness Index (Tri). J. Serv. Res. 2000, 2, 307–320. [Google Scholar] [CrossRef]
- Parasuraman, A.; Colby, C.L. An Updated and Streamlined Technology Readiness Index: TRI 2.0. J. Serv. Res. 2015, 18, 59–74. [Google Scholar] [CrossRef]
- Chen, S.C.; Liu, M.L.; Lin, C.P. Integrating Technology Readiness into the Expectation—Confirmation Model: An Empirical Study of Mobile Services. Cyberpsychology Behav. Soc. Netw. 2013, 16, 604–612. [Google Scholar] [CrossRef]
- Venkatesh, V.; Thong, J.Y.L.; Xu, X. Consumer Acceptance and Use of Information Technology: Extending the Unified Theory of Acceptance and Use of Technology. MIS Q. 2012, 36, 157–178. [Google Scholar] [CrossRef]
- Li, K.; Rollins, J.; Yan, E. Web of Science Use in Published Research and Review Papers 1997–2017: A Selective, Dynamic, Cross-Domain, Content-Based Analysis. Scientometrics 2018, 115, 1–20. [Google Scholar] [CrossRef] [PubMed]
- Pranckutė, R. Web of Science (WoS) and Scopus: The Titans of Bibliographic Information in Today’s Academic World. Publications 2021, 9, 12. [Google Scholar] [CrossRef]
- Revillod, G. Trust Influence on AI HR Tools Perceived Usefulness in Swiss HRM: The Mediating Roles of Perceived Fairness and Privacy Concerns. AI Soc. 2025. [Google Scholar] [CrossRef]
- Gesk, T.S.; Leyer, M. Artificial Intelligence in Public Services: When and Why Citizens Accept Its Usage. Gov. Inf. Q. 2022, 39, 101704. [Google Scholar] [CrossRef]
- Choi, Y. A Study of Employee Acceptance of Artificial Intelligence Technology. Eur. J. Manag. Bus. Econ. 2020, 30, 318–330. [Google Scholar] [CrossRef]
- Huang, Q.; Lv, C.; Lu, L.; Tu, S. Evaluating the Quality of AI-Generated Digital Educational Resources for University Teaching and Learning. Systems 2025, 13, 174. [Google Scholar] [CrossRef]
- Adjorlolo, G.; Tang, Z.; Wauk, G.; Adu Sarfo, P.; Braimah, A.B.; Blankson Safo, R.; N-yanyi, B. Evaluating Corruption-Prone Public Procurement Stages for Blockchain Integration Using AHP Approach. Systems 2025, 13, 267. [Google Scholar] [CrossRef]
- Ottaviani, F.M.; Zenezini, G.; Saba, F.; De Marco, A.; Gavinelli, L. System-Level Critical Success Factors for BIM Implementation in Construction Management: An AHP Approach. Systems 2025, 13, 94. [Google Scholar] [CrossRef]
- An, S.Y.; Ngayo, G.; Hong, S.P. Applying Blockchain, Causal Loop Diagrams, and the Analytical Hierarchy Process to Enhance Fifth-Generation Ceramic Antenna Manufacturing: A Technology—Organization—Environment Framework Approach. Systems 2024, 12, 184. [Google Scholar] [CrossRef]
- Jais, R.; Ngah, A.H.; Rahi, S.; Rashid, A.; Ahmad, S.Z.; Mokhlis, S. Chatbots Adoption Intention in Public Sector in Malaysia from the Perspective of TOE Framework. The Moderated and Mediation Model. J. Sci. Technol. Policy Manag. 2024. [Google Scholar] [CrossRef]
- Alfiani, H.; Kurnia Aditya, S.; Lusa, S.; Indra Sensuse, D.; Wibowo Putro, P.A.; Indriasari, S. E-Government Issues in Developing Countries Using TOE and UTAUT Frameworks: A Systematic Review. Policy Gov. Rev. 2024, 8, 169. [Google Scholar] [CrossRef]
- Ates, H.; Polat, M. Exploring Adoption of Humanoid Robots in Education: UTAUT-2 and TOE Models for Science Teachers. Educ. Inf. Technol. 2025, 30, 12765–12806. [Google Scholar] [CrossRef]
- Saaty, T.L. How to Make a Decision: The Analytic Hierarchy Process. Eur. J. Oper. Res. 1990, 48, 9–26. [Google Scholar] [CrossRef]
- Saaty, T.L. Relative Measurement and Its Generalization in Decision Making Why Pairwise Comparisons Are Central in Mathematics for the Measurement of Intangible Factors the Analytic Hierarchy/Network Process. Rev. R. Acad. Cienc. Exactas. Fis. Nat. A. Mat. 2008, 102, 251–318. [Google Scholar] [CrossRef]
- Dyer, J.S. Remarks on the Analytic Hierarchy Process. Manag. Sci. 1990, 36, 249–258. [Google Scholar] [CrossRef]
- Janković, A.; Popović, M. Methods for Assigning Weights to Decision Makers in Group AHP Decision-Making. Decis. Mak. Appl. Manag. Eng. 2019, 2, 147–165. [Google Scholar] [CrossRef]
- Huang, Y.; Liao, J.; Lin, Z. A Study on Aggregation of Group Decisions. Syst. Res. Behav. Sci. 2009, 26, 445–454. [Google Scholar] [CrossRef]
- Ossadnik, W.; Schinke, S.; Kaspar, R.H. Group Aggregation Techniques for Analytic Hierarchy Process and Analytic Network Process: A Comparative Analysis. Group Decis. Negot. 2016, 25, 421–457. [Google Scholar] [CrossRef]
- Cheng, E.W.L.; Li, H. Analytic Hierarchy Process. Meas. Bus. Excell. 2001, 5, 30–37. [Google Scholar] [CrossRef]
- Ramanathan, R.; Ganesh, L.S. Group Preference Aggregation Methods Employed in AHP: An Evaluation and an Intrinsic Process for Deriving Members’ Weightages. Eur. J. Oper. Res. 1994, 79, 249–265. [Google Scholar] [CrossRef]
- Nurski, L. AI Adoption in the Public Sector: A Case Study; Bruegel: Brussels, Belgium, 2023. [Google Scholar]
- Grimmelikhuijsen, S.; Tangi, L. What Factors Influence Perceived Artificial Intelligence Adoption by Public Managers? A Survey Among Public Managers in Seven EU Countries; Publications Office of the European Union: Luxembourg, 2024. [Google Scholar]
- Neumann, O.; Guirguis, K.; Steiner, R. Exploring Artificial Intelligence Adoption in Public Organizations: A Comparative Case Study. Public Manag. Rev. 2024, 26, 114–141. [Google Scholar] [CrossRef]
- Taherdoost, H. Decision Making Using the Analytic Hierarchy Process (AHP); A Step by Step Approach. Int. J. Econ. Manag. Syst. 2017, 2, 244–246. [Google Scholar]
- Abastante, F.; Corrente, S.; Greco, S.; Ishizaka, A.; Lami, I.M. A New Parsimonious AHP Methodology: Assigning Priorities to Many Objects by Comparing Pairwise Few Reference Objects. Expert Syst. Appl. 2019, 127, 109–120. [Google Scholar] [CrossRef]
- Fountzoula, C.; Aravossis, K. Decision-Making Methods in the Public Sector during 2010–2020: A Systematic Review. Adv. Oper. Res. 2022, 2022, 1750672. [Google Scholar] [CrossRef]
- Khaira, A.; Dwivedi, R.K. A State of the Art Review of Analytical Hierarchy Process. Mater. Today Proc. 2018, 5, 4029–4035. [Google Scholar] [CrossRef]
- Hasan Emon, M.M. Insights Into Technology Adoption: A Systematic Review of Framework, Variables and Items. Inf. Manag. Comput. Sci. 2023, 6, 55–61. [Google Scholar] [CrossRef]
- Awa, H.O.; Ukoha, O.; Igwe, S.R. Revisiting Technology-Organization-Environment (T-O-E) Theory for Enriched Applicability. Bottom Line 2017, 30, 2–22. [Google Scholar] [CrossRef]
- Li, L.; Min, X.; Guo, J.; Wu, F. The Influence Mechanism Analysis on the Farmers’ Intention to Adopt Internet of Things Based on UTAUT-TOE Model. Sci. Rep. 2024, 14, 15016. [Google Scholar] [CrossRef]
- Tan, K.S.T.; Lee, A.S.H. Key Determinants of Blockchain Adoption: A Unified Framework Integrating UTAUT and TOE Models. In Proceedings of the 2024 7th International Conference on Blockchain Technology and Applications, Xi’an, China, 6 December 2024; ACM: New York, NY, USA, 2024; pp. 60–65. [Google Scholar]
- Bouteraa, M. Mixed-Methods Approach to Investigating the Diffusion of FinTech Services: Enriching the Applicability of TOE and UTAUT Models. J. Islam. Mark. 2024, 15, 2036–2068. [Google Scholar] [CrossRef]












| Model Name and Version | Authors | Year | Key Constructs |
|---|---|---|---|
| TAM (Original) | [20] | 1989 | Perceived usefulness (PU) |
| Perceived ease of use (PEOU) | |||
| TAM2 | [21] | 2000 | PU + PEOU |
| Subjective norm | |||
| Image | |||
| Job relevance | |||
| Output quality | |||
| Result demonstrability | |||
| Moderators: experience, voluntariness | |||
| TAM3 | [22] | 2008 | TAM2 constructs |
| Antecedents of PEOU: computer self-efficacy, anxiety, playfulness | |||
| Anchors and adjustments for PEOU/PU | |||
| TRI (Original) | [23] | 2000 | Optimism |
| Innovativeness | |||
| Discomfort | |||
| Insecurity | |||
| TRI 2.0 | [24] | 2015 | Optimism |
| Innovativeness | |||
| Discomfort | |||
| Insecurity (streamlined to 16 items) | |||
| UTAUT (Original) | [15] | 2003 | Performance expectancy |
| Effort expectancy | |||
| Social influence | |||
| Facilitating conditions | |||
| Moderators: age/gender/experience | |||
| UTAUT2 | [26] | 2012 | UTAUT constructs |
| Hedonic motivation | |||
| Price value | |||
| Habit | |||
| TRAM | [25] | 2005 | TRI dimensions |
| TAM constructs |
| Indicator | Value |
|---|---|
| Average Age | 46.9 |
| Min Age | 25.0 |
| Max Age | 65.0 |
| Average Total Tenure (years) | 21.4 |
| Min Total Tenure | 3.0 |
| Max Total Tenure | 35.0 |
| Female (%) | 62.5 |
| Male (%) | 31.2 |
| Non-disclosed Gender (%) | 3.1 |
| University Degree (%) | 56.2 |
| Master’s Degree (%) | 31.2 |
| Secondary or Lower (%) | 9.4 |
| Leadership Role (%) | 21.9 |
| High ICT Skills (%) | 21.9 |
| Good ICT Skills (%) | 62.5 |
| Average ICT Skills (%) | 12.5 |
| n | RI |
|---|---|
| 1 | 0 |
| 2 | 0 |
| 3 | 0.58 |
| 4 | 0.9 |
| 5 | 1.12 |
| 6 | 1.24 |
| 7 | 1.32 |
| 8 | 1.41 |
| 9 | 1.45 |
| 10 | 1.49 |
| Variables | Explanation |
|---|---|
| S0 | final score of the organization |
| Sci | score for category i |
| Sc1 | score for category technology |
| Sc1 | score for category organization |
| Sc1 | score for category environment |
| Sc1 | score for category individual readiness |
| eC1j | end user assessment for an alternative under criterion j of category technology |
| eC2j | end user assessment for an alternative under criterion j of category organization |
| eC3j | end user assessment for an alternative under criterion j of category environment |
| eC4j | end user assessment for an alternative under criterion j of category individual readiness |
| wci | global weight of category i |
| wc1j | local weight of criterion j within category technology |
| wc2j | local weight of criterion j within category organization |
| wc3j | local weight of criterion j within category environment |
| wc4j | local weight of criterion j within category individual readiness |
| gwcij | global weight of criterion j in category i. |
| i | 1, 2, …, m number of top-level categories |
| j | 1, 2, …, n number of criteria in that subcategory |
| Readiness Level | Percentages |
|---|---|
| Initial level | 0–20% |
| Basic level | 20.1–40% |
| Developing level | 40.1–60% |
| Advanced level | 60.1–80% |
| Optimized level | 80.1–100% |
| Variable | Category | Weight—First Round | Weight—Second Round |
|---|---|---|---|
| wC1 | Technology | 18.5% | 18.0% |
| wC2 | Organization | 28.4% | 29.5% |
| wC3 | Environment | 16.4% | 20.1% |
| wC4 | Individual readiness | 36.6% | 32.3% |
| CI1 | Consistency index | 0.022 | 0.0036 |
| CR1 | Consistency ratio | 0.024 | 0.004 |
| Variable | Category | Weight—First Round | Weight—Second Round |
|---|---|---|---|
| wC11 | Perceived direct benefits of artificial intelligence | 16.1% | 21.4% |
| wC12 | Effort expectancy of artificial intelligence | 22.4% | 23.8% |
| wC13 | Data | 35.4% | 31.4% |
| wC14 | Technology | 26.2% | 23.4% |
| CIC1 | Consistency index | 0.043 | 0.0024 |
| CRC1 | Consistency ratio | 0.047 | 0.0027 |
| Variable | Category | Weight—First Round | Weight—Second Round |
|---|---|---|---|
| wC21 | Leadership | 17.0% | 19.5% |
| wC22 | Skills and expertise | 27.3% | 22.5% |
| wC23 | Innovation and readiness for change | 22.4% | 26.2% |
| wC24 | Costs and resources | 19.8% | 14.7% |
| wC25 | Facilitating conditions | 13.5% | 17.1% |
| CIC2 | Consistency index | 0.032 | 0.0052 |
| CRC2 | Consistency ratio | 0.029 | 0.0046 |
| Variable | Category | Weight—First Round | Weight—Second Round |
|---|---|---|---|
| wC31 | Social influence | 71.0% | 61.9% |
| wC32 | The state and citizens | 29.0% | 38.1% |
| CIC3 | Consistency index | 0 | 0 |
| CRC3 | Consistency ratio | 0 | 0 |
| Variable | Category | Weight—First Round | Weight—Second Round |
|---|---|---|---|
| wC41 | Behavioral intention to use artificial intelligence | 31.8% | 38.3% |
| wC42 | Voluntariness of use | 68.2% | 61.7% |
| CIC4 | Consistency index | 0 | 0 |
| CRC4 | Consistency ratio | 0 | 0 |
| Variable | Category | Global Weight—First Round | Global Rank—First Round | Global Weight—Second Round | Global Rank—Second Round |
|---|---|---|---|---|---|
| wC11 | Perceived direct benefits of artificial intelligence | 3.0% | 13th | 3.8% | 13th |
| wC12 | Effort expectancy of artificial intelligence | 4.1% | 11th | 4.3% | 10–11th |
| wC13 | Data | 6.6% | 5th | 5.6% | 8th |
| wC14 | Technology | 4.9% | 8th | 4.2% | 12th |
| wC21 | Leadership | 4.8% | 9–10th | 5.8% | 7th |
| wC22 | Skills and expertise | 7.8% | 4th | 6.6% | 6th |
| wC23 | Innovation and readiness for change | 6.3% | 6th | 7.7% | 4–5th |
| wC24 | Costs and resources | 5.6% | 7th | 4.3% | 10–11th |
| wC25 | Facilitating conditions | 3.8% | 12th | 5.1% | 9th |
| wC31 | Social influence | 11.7% | 2nd–3rd | 12.5% | 2nd |
| wC32 | The state and citizens | 4.8% | 9–10th | 7.7% | 4–5th |
| wC41 | Behavioral intention to use artificial intelligence | 11.7% | 2nd–3rd | 12.4% | 3rd |
| wC42 | Voluntariness of use | 25.0% | 1st | 20.0% | 1st |
Disclaimer/Publisher’s Note: The statements, opinions and data contained in all publications are solely those of the individual author(s) and contributor(s) and not of MDPI and/or the editor(s). MDPI and/or the editor(s) disclaim responsibility for any injury to people or property resulting from any ideas, methods, instructions or products referred to in the content. |
© 2025 by the authors. Licensee MDPI, Basel, Switzerland. This article is an open access article distributed under the terms and conditions of the Creative Commons Attribution (CC BY) license (https://creativecommons.org/licenses/by/4.0/).
Share and Cite
Hržica, R.; Debelak, K.; Pevcin, P. A Dual-Level Model of AI Readiness in the Public Sector: Merging Organizational and Individual Factors Using TOE and UTAUT. Systems 2025, 13, 705. https://doi.org/10.3390/systems13080705
Hržica R, Debelak K, Pevcin P. A Dual-Level Model of AI Readiness in the Public Sector: Merging Organizational and Individual Factors Using TOE and UTAUT. Systems. 2025; 13(8):705. https://doi.org/10.3390/systems13080705
Chicago/Turabian StyleHržica, Rok, Katja Debelak, and Primož Pevcin. 2025. "A Dual-Level Model of AI Readiness in the Public Sector: Merging Organizational and Individual Factors Using TOE and UTAUT" Systems 13, no. 8: 705. https://doi.org/10.3390/systems13080705
APA StyleHržica, R., Debelak, K., & Pevcin, P. (2025). A Dual-Level Model of AI Readiness in the Public Sector: Merging Organizational and Individual Factors Using TOE and UTAUT. Systems, 13(8), 705. https://doi.org/10.3390/systems13080705

