Yummy Inland Saline–Alkali Crabs? Aquatic Products with Quality and Flavor Preferences in Market Encroachment
Abstract
1. Introduction
2. Literature Review
2.1. Consumer Behavior
2.2. Market Encroachment
3. Problem Description and Model Development
3.1. Problem Description and Symbols
3.2. Demand
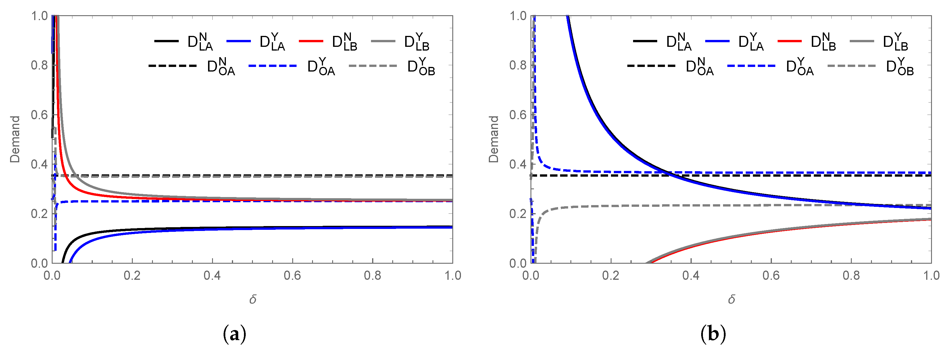
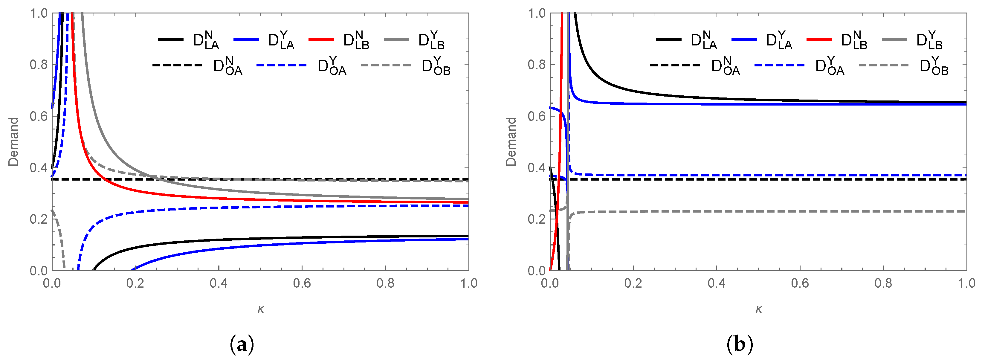
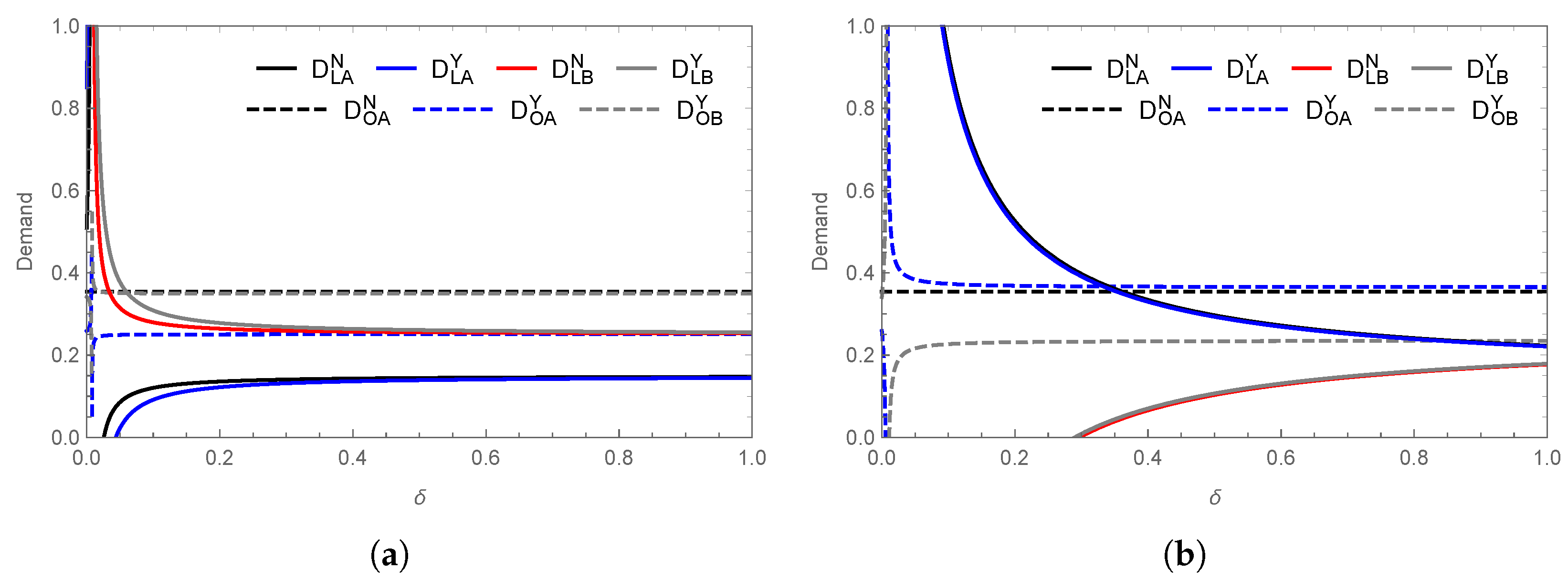
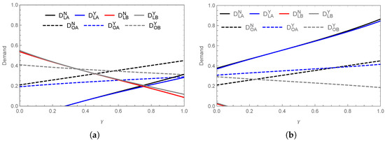
3.2.1. Demand of No-Encroachment (N) Scenario
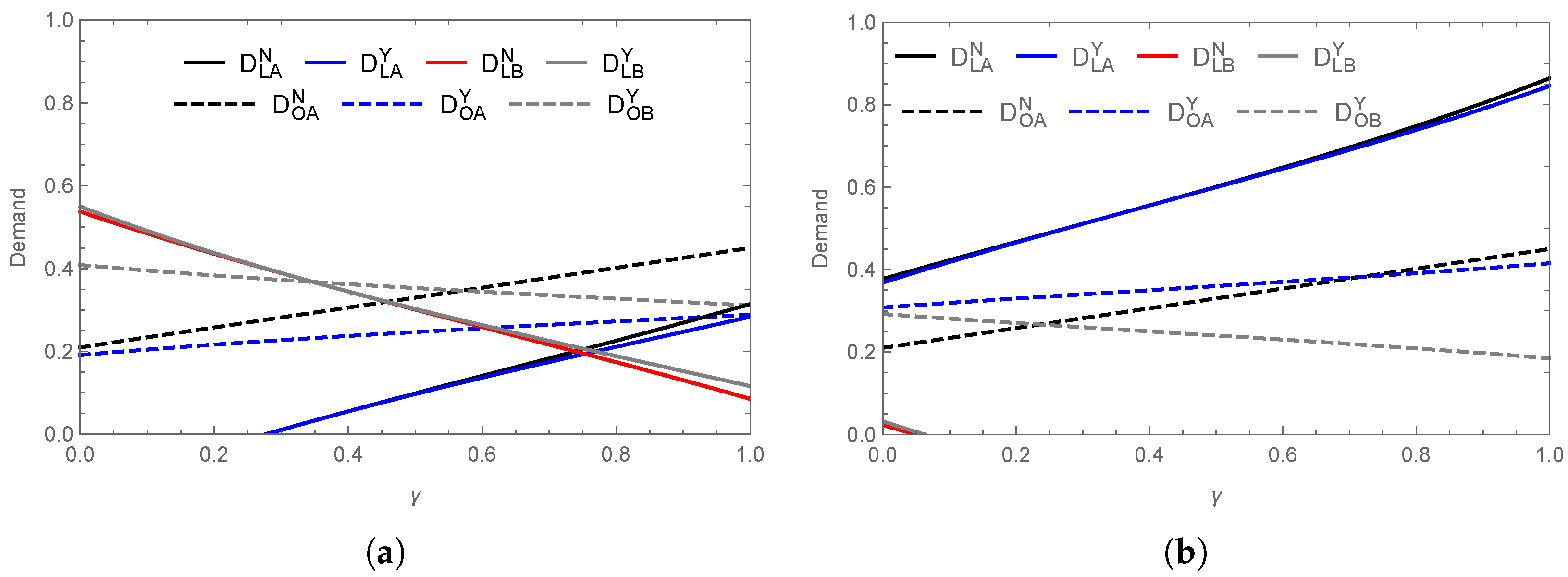
3.2.2. Demand of Encroachment (Y) Scenario
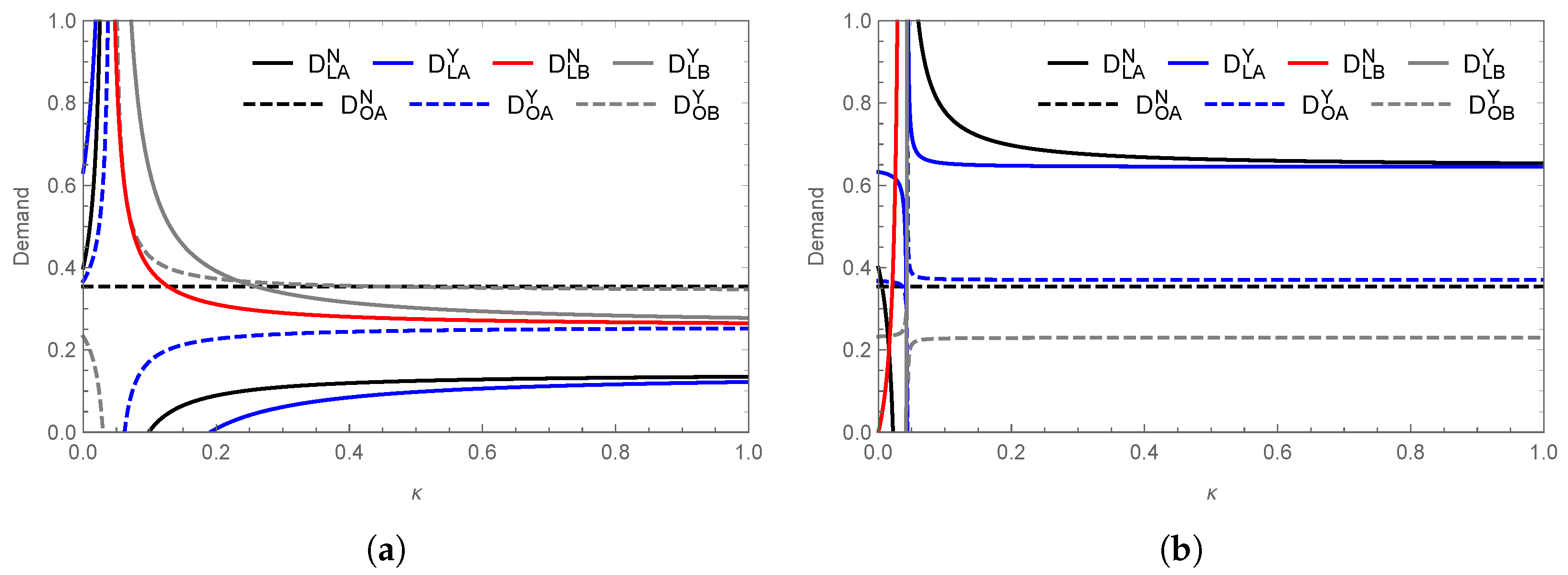
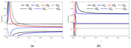
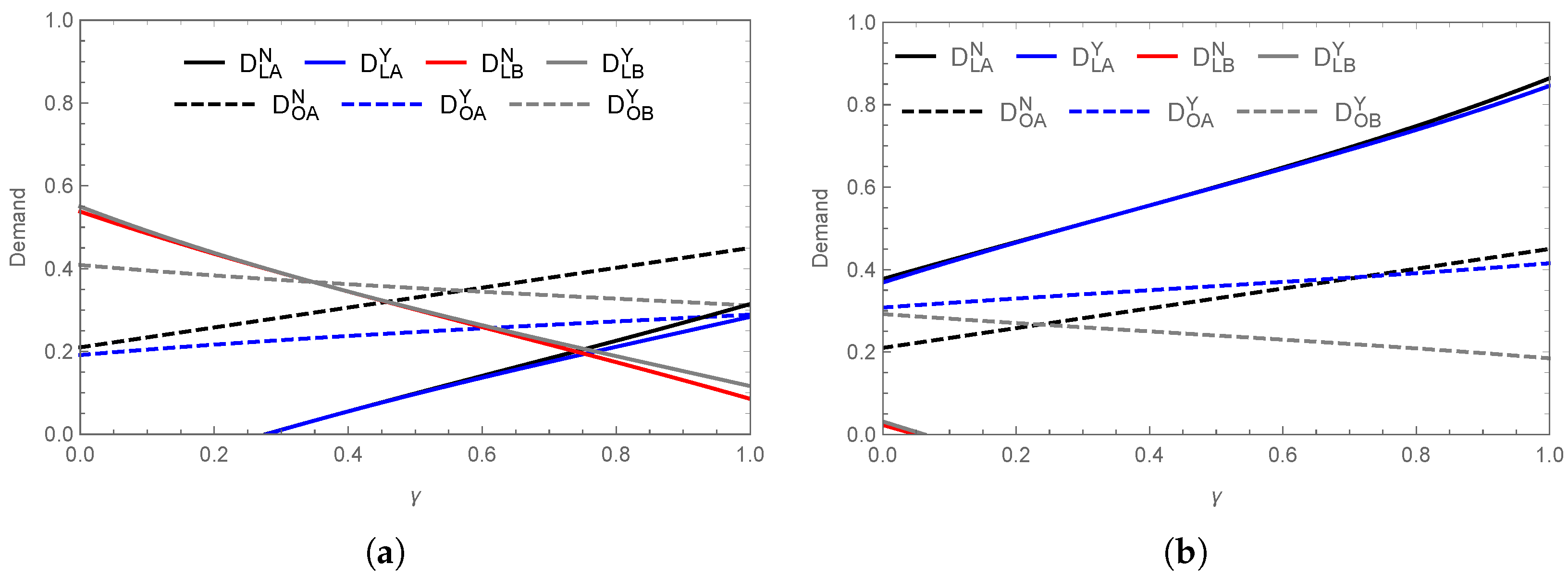
4. Strategy and Result Analysis
4.1. No-Encroachment (N) Scenario
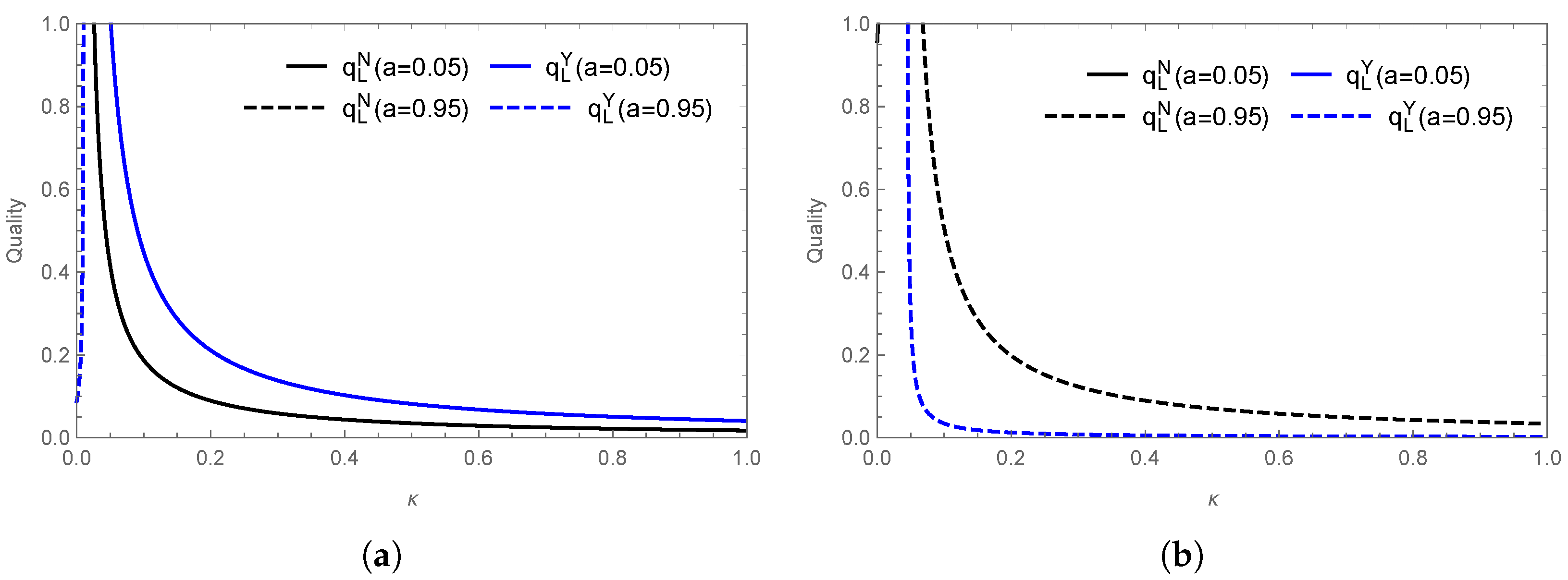
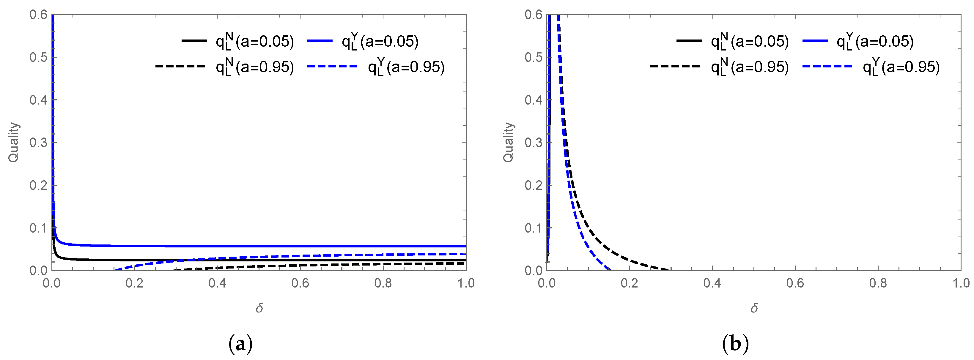
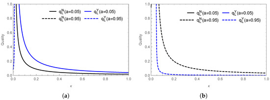
- The relationship between quality decisions and γ depends on μ. If , then ; otherwise, .
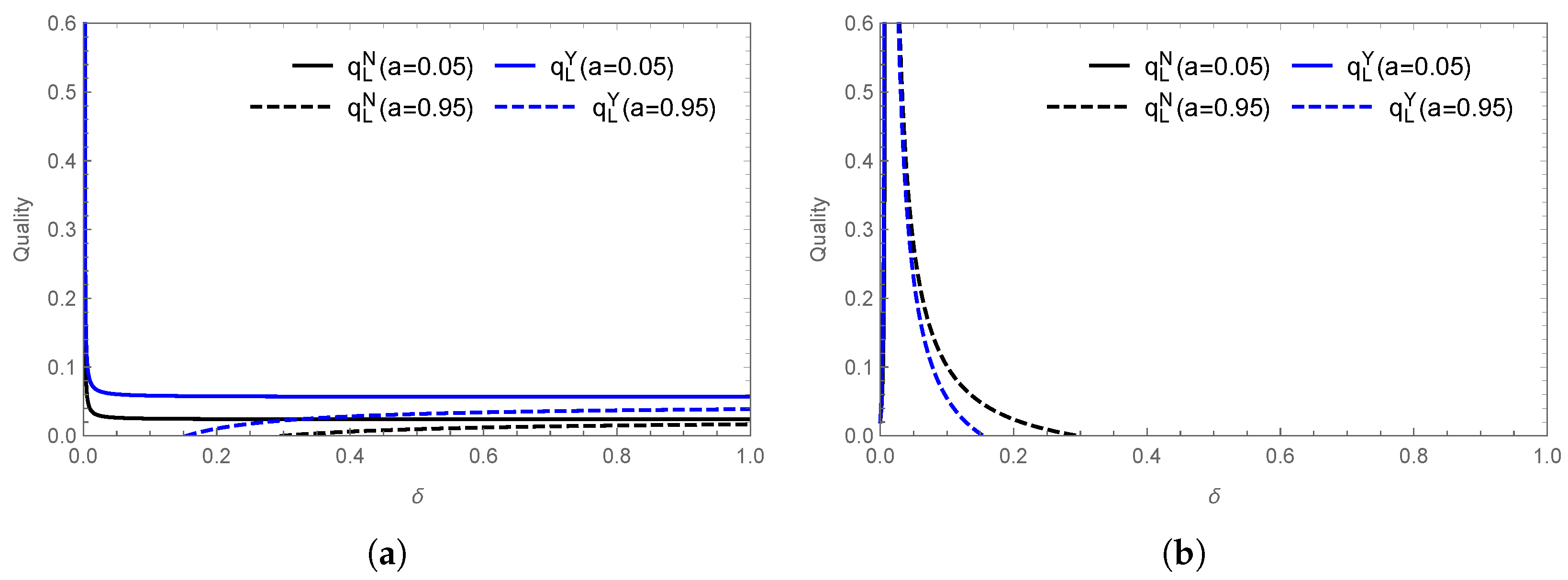
- The relationship between quality decisions and δ is jointly influenced by and μ. If and or if and , then ; otherwise, .
- The relationship between quality decisions and is also influenced by μ. If and or if and , then ; otherwise, .
- If and or if and , then ; otherwise, .
- If and or if and , then ; otherwise, .
- The relationship between and δ is influenced by μ. If , then ; otherwise, .
- The relationship between and δ is influenced by and μ. If and or if and , then ; otherwise, .
- The relationship between and κ is influenced by μ. If , then ; otherwise, .
- The relationship between and κ is affected by and μ. If and or if and , then ; otherwise, .
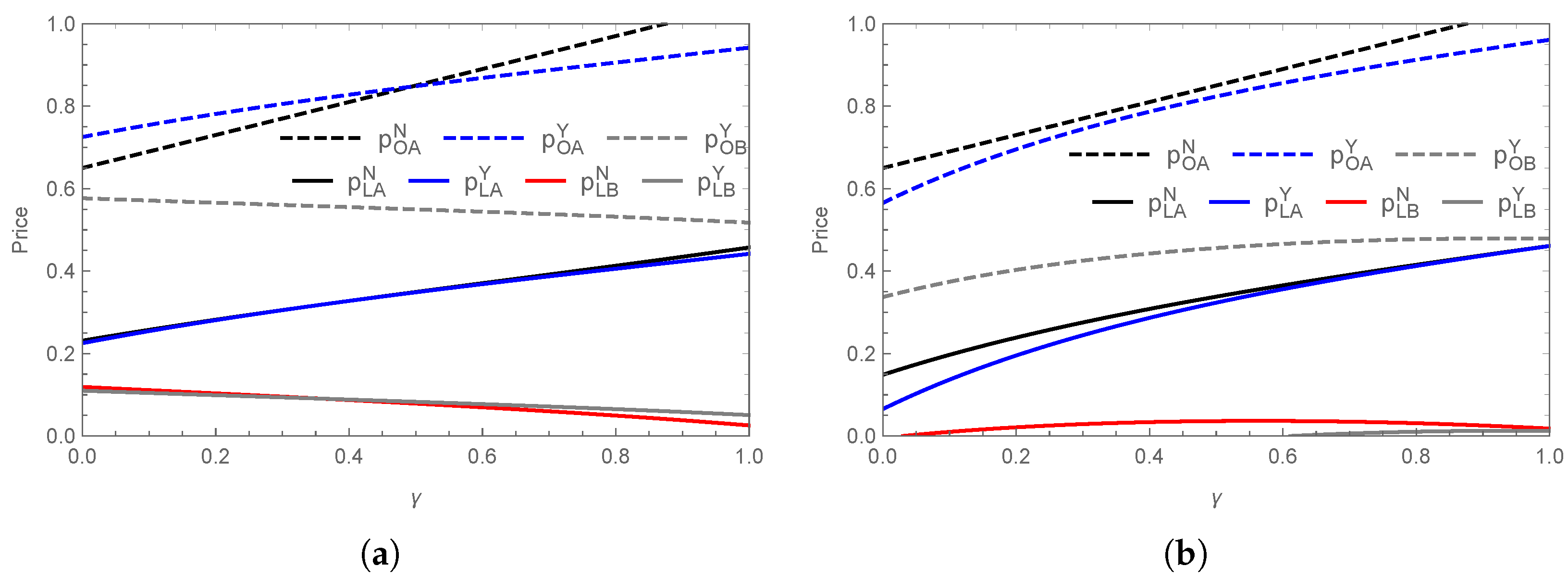
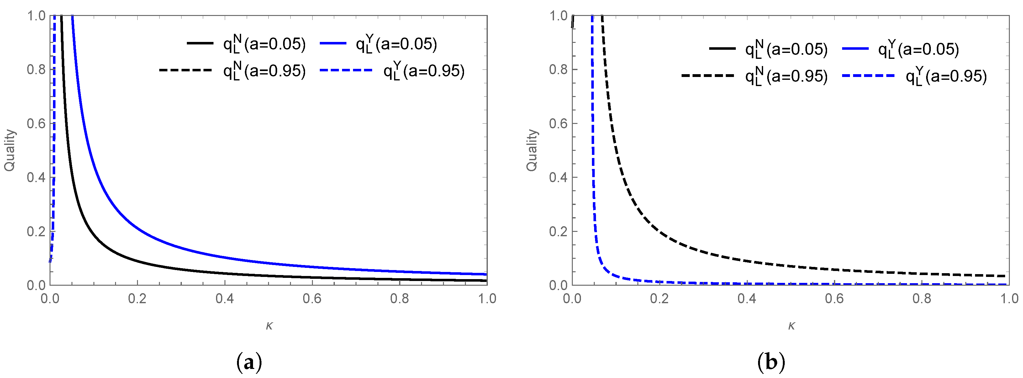
4.2. Encroachment (Y) Scenario
- The relationship between γ and the quality decisions of supplier is influenced by the parameter μ. If , then . Under the conditions for optimality, does not exist.
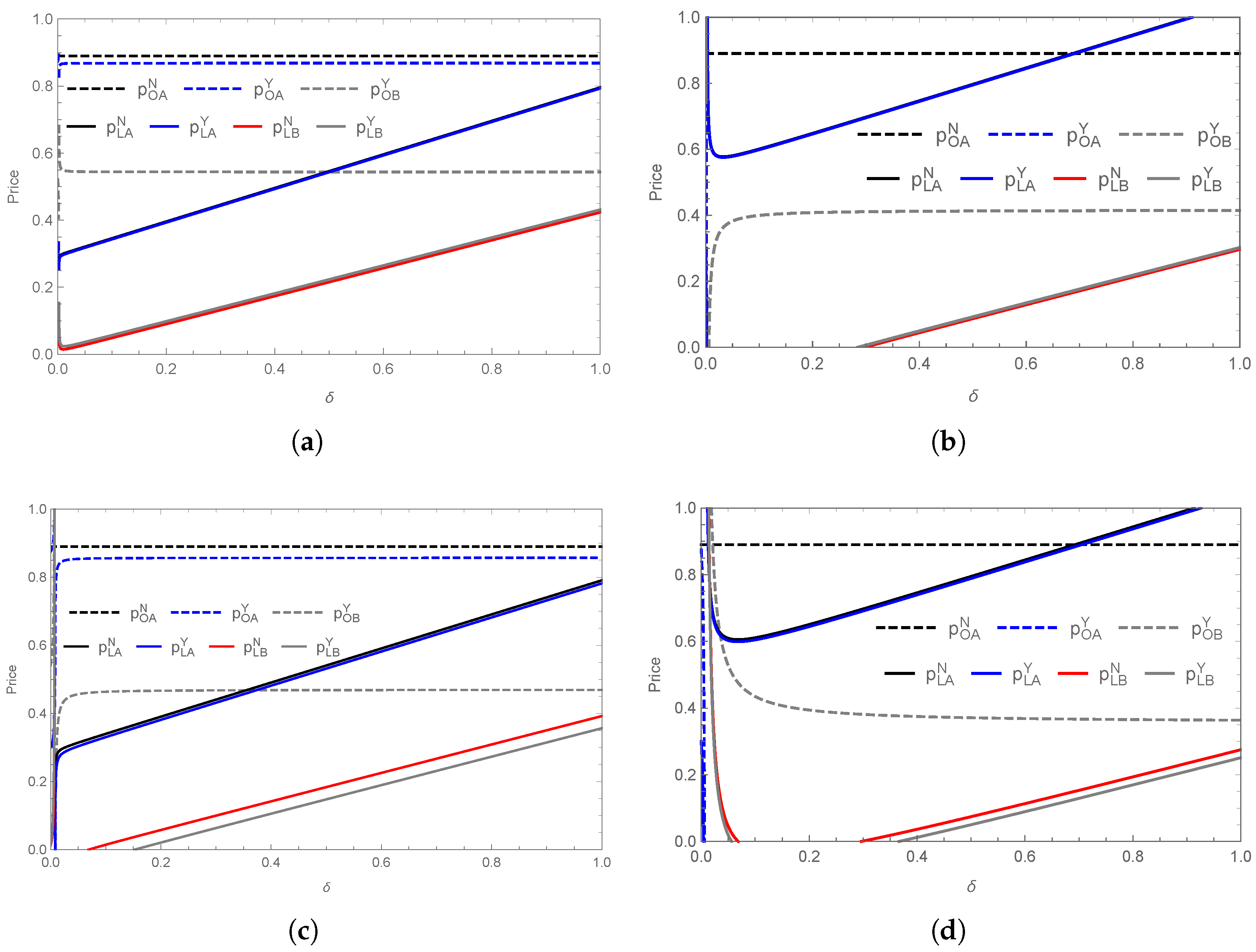
- The relationship between δ and the quality decisions of supplier is influenced by and μ. If and or if and , then ; otherwise, .
- The relationship between and the quality decisions of supplier is also influenced by μ. If and or if and , then ; otherwise, .
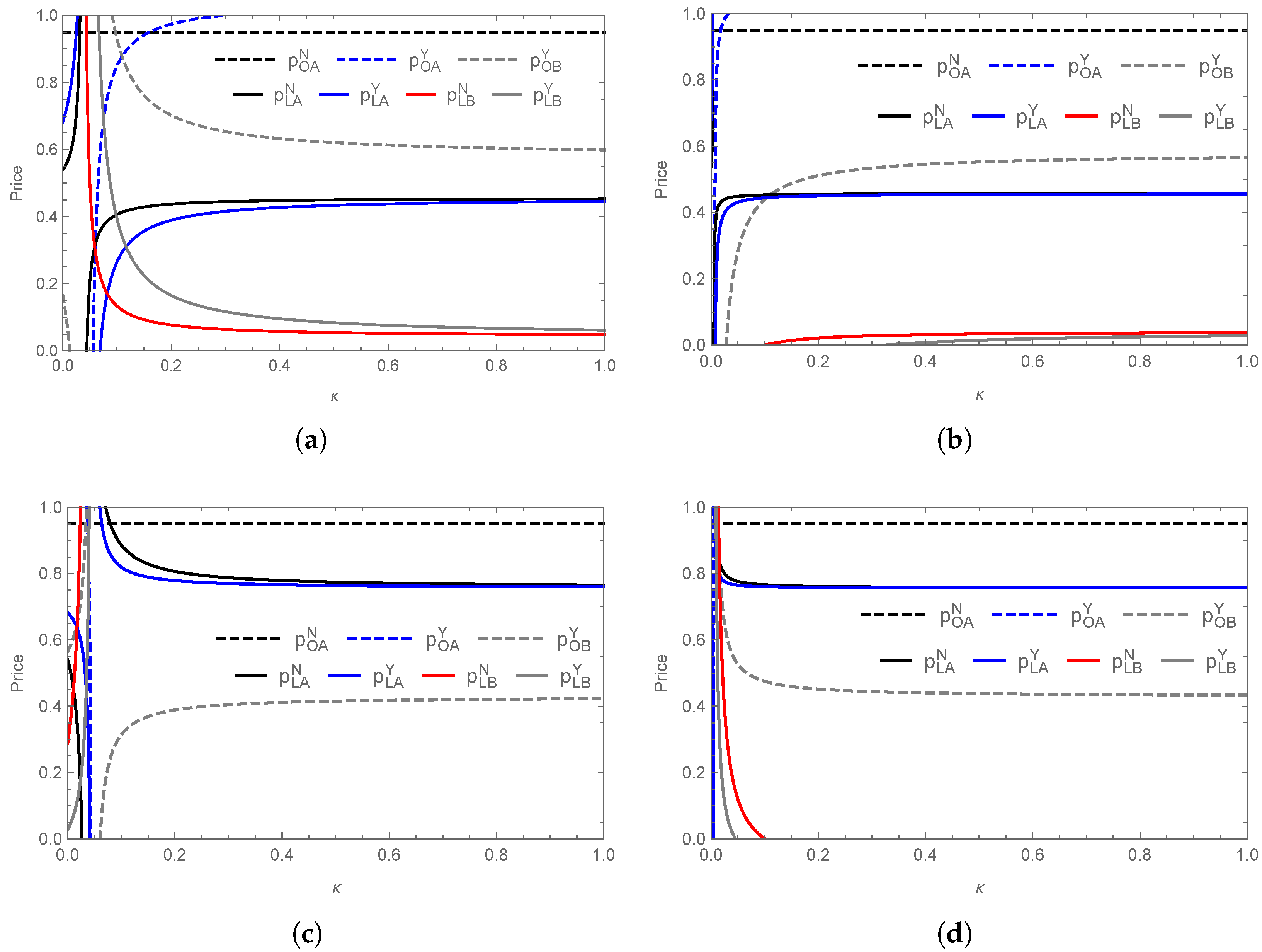
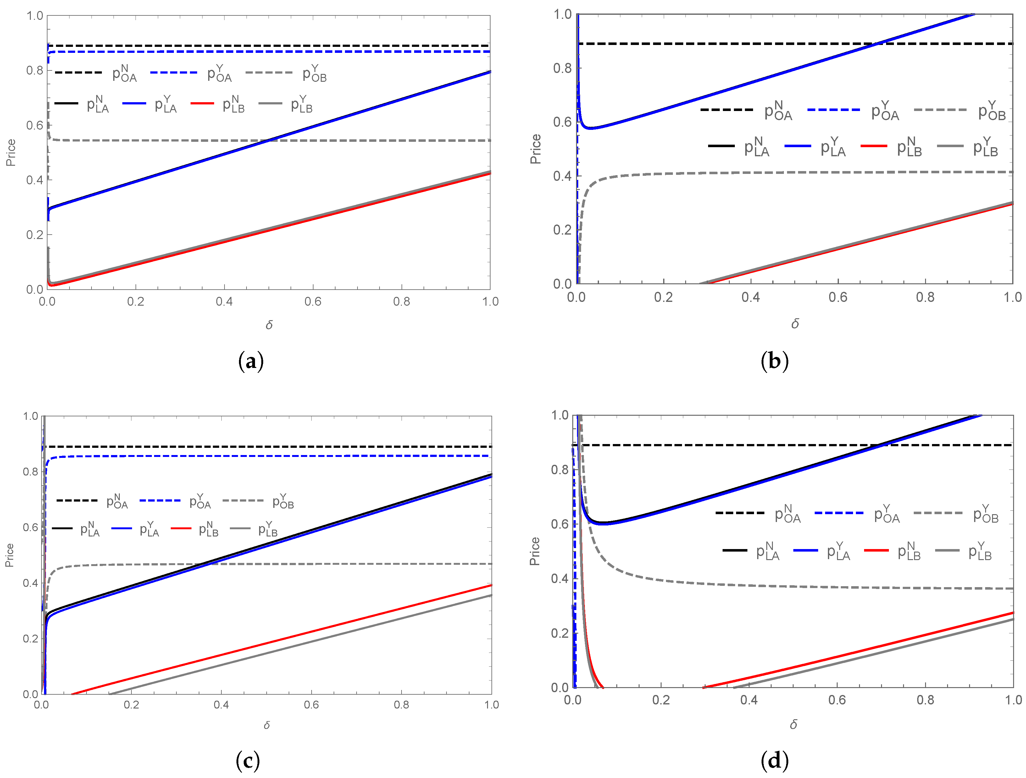
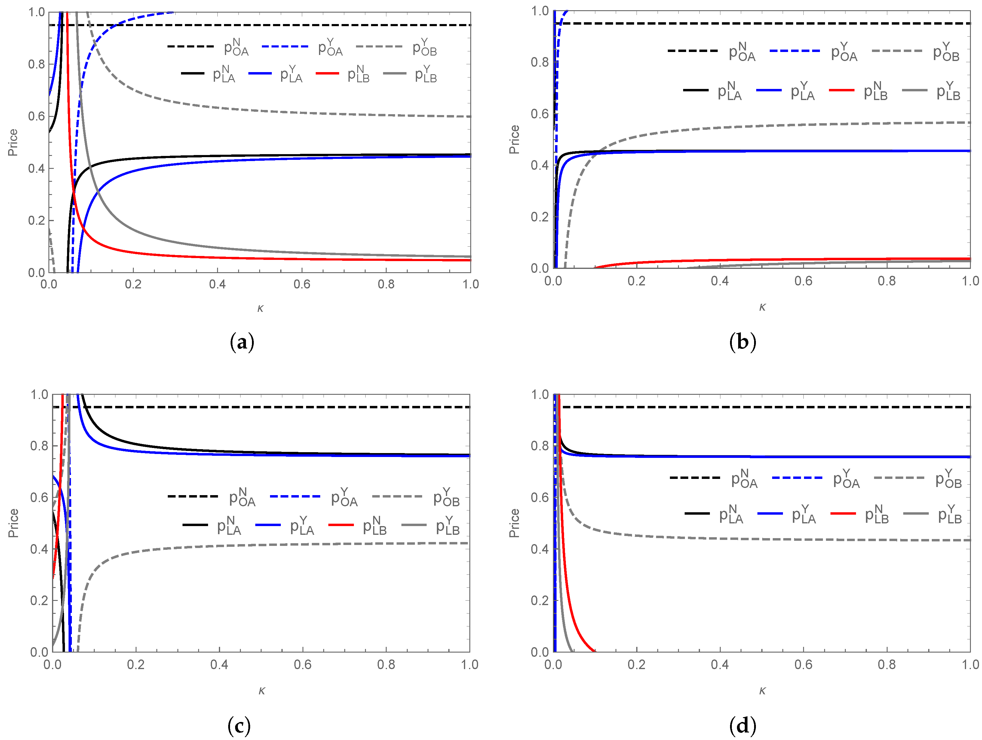
- In the inland market, product prices are not constrained by . If , then , while does not exist within the feasible domain. If , then ; otherwise, .
- In the coastal market, the relationship between product prices and consumer quality preferences is constrained by . If and or if and , then ; otherwise, . If , then ; otherwise, .
- In the inland market, the relationship between the prices of the two products and δ is as follows. If , then ; otherwise, . If and or if and , then ; otherwise, .
- In the coastal market, the relationship between the prices of the two products and δ is as follows. If , then ; otherwise, . If and or if and , then ; otherwise, .
- The price changes of marine crabs are influenced by μ. If , then , ; otherwise, , .
- The price changes of marine crabs are jointly influenced by and μ. If and or if and , then , ; otherwise, , .
5. Discussion and Managerial Implications
5.1. The Influence of Consumer Quality Preferences on Suppliers
5.2. The Influence of Flavor Preferences on Suppliers
5.3. The Influence of Technical Input Cost on Suppliers
5.4. Product Strategy in Segmented Markets
5.5. Product Strategy in Hybrid Markets
6. Conclusions
Author Contributions
Funding
Data Availability Statement
Acknowledgments
Conflicts of Interest
Appendix A. Substitutes for Complex Expressions
References
- Wang, C. Current status and high quality culture industry development strategiesof mud crab in genus Scylla in China: A review. J. Dalian Ocean. Univ. 2023, 38, 913–924. [Google Scholar]
- Jiang, X.; Niu, M.; Qin, K.; Hu, Y.; Li, Y.; Che, C.; Wang, C.; Mu, C.; Wang, H. Enhancement of Nutrient Composition and Non-Volatile Flavor Substances in Muscle Tissue of Red Drum (Sciaenops ocellatus) Through Inland Low Salinity Saline-Alkaline Water Culture. J. Agric. Food Chem. 2024, 72, 7326–7335. [Google Scholar] [CrossRef] [PubMed]
- Ding, W.; Lu, Q.; Fan, L.; Yin, M.; Xiao, T.; Guo, X.; Zhang, L.; Wang, X. Correlation of Taste Components with Consumer Preferences and Emotions in Chinese Mitten Crabs (Eriocheir sinensis): The Use of Artificial Neural Network Model. Foods 2022, 11, 4106. [Google Scholar] [CrossRef]
- Ministry of Education of China. Marine Crabs Settling Along Yellow River: Transforming Saline-Alkali Barren Land into Productive Fields—Ningbo University’s Targeted Assistance. 2022. Available online: http://www.moe.gov.cn/jyb_xwfb/xw_zt/moe_357/jjyzt_2022/2022_zt04/dianxing/xiangmu/shengshu/shengshu4th/202204/t20220418_619116.html (accessed on 27 December 2023).
- CCTV. Henan Yanjin: Large-Scale Crab Production in Saline-Alkali Land. 2021. Available online: https://sannong.cctv.com/2021/10/11/ARTIX1Uy44BQCZGTisIQbQAu211011.shtml (accessed on 14 March 2024).
- Ningxia Daily. New Prospects for Prosperity—Modern Agricultural Development in Ningxia. 2024. Available online: https://szb.nxrb.cn/nxrb/pc/con/202409/16/content_133968.html (accessed on 18 September 2024).
- Inner Mongolia Daily. Small Crabs Revitalizing Saline-Alkali Land. 2023. Available online: https://szb.northnews.cn/nmgrb/html/2023-10/11/content_44172_217975.htm (accessed on 14 March 2024).
- Qin, K.; Feng, W.; Ji, Z.; Jiang, X.; Hu, Y.; Li, Y.; Che, C.; Wang, C.; Mu, C.; Wang, H. Shrimp Cultured in Low-Salt Saline-Alkali Water has a Better Amino Acid Nutrition and Umami-Comparison of Flavors between Saline-Alkali Water- and Seawater-Cultured Litopenaeus vannamei. J. Agric. Food Chem. 2024, 72, 6585–6592. [Google Scholar] [CrossRef]
- Latsos, C.; Bakratsas, G.; Moerdijk, T.; van Houcke, J.; Timmermans, K.R. Effect of salinity and pH on growth, phycoerythrin, and non-volatile umami taste active compound concentration of Rhodomonas salina using a D-optimal design approach. J. Appl. Phycol. 2021, 33, 3591–3602. [Google Scholar] [CrossRef]
- Chen, Y.; Qin, K.; Liang, G.; Li, X.; Niu, M.; Wang, H.; Wang, C.; Mu, C.; Zhu, R. Comparative study on non-volatile flavor substances of Scylla paramamosain cultured in inland low saline-alkaline water. J. Food Compos. Anal. 2023, 118, 105157. [Google Scholar] [CrossRef]
- Chen, W.; Li, X.; Zhao, Y.; Chen, S.; Yao, H.; Wang, H.; Wang, C.; Wu, Q. Effects of short-term low salinity stress on non-volatile flavor substances of muscle and hepatopancreas in Portunus trituberculatus. J. Food Compos. Anal. 2022, 109, 104520. [Google Scholar] [CrossRef]
- Zhu, T.; Jin, M.; Peng, H.; Zhao, W.; Shen, Y.; Xie, S.; Zhou, Q. Cholesterol Modifies Nutritional Values and Flavor Qualities in Female Swimming Crab (Portunus trituberculatus). Aquac. Nutr. 2024, 2024, 7067588. [Google Scholar] [CrossRef]
- Wu, Q.; Shi, X.; Fang, S.; Xie, Z.; Guan, M.; Li, S.; Zheng, H.; Zhang, Y.; Ikhwanuddin, M.; Ma, H. Different biochemical composition and nutritional value attribute to salinity and rearing period in male and female mud crab Scylla paramamosain. Aquaculture 2019, 513, 734417. [Google Scholar] [CrossRef]
- Qin, K.; Li, X.; Jiang, X.; Hu, Y.; Li, Y.; Che, C.; Wang, H.; Wang, C.; Ye, C.; Mu, C.; et al. Effect of Domestication on Nonvolatile Flavor Substances in Mud Crabs (Scylla paramamosain): A Way to Improve the Quality of Commercial Crabs. J. Agric. Food Chem. 2023, 71, 15270–15279. [Google Scholar] [CrossRef]
- Thepaper.cn. East China Sea Crab Settles in Yulin: Transforming Saline-Alkali Land into Productive Farmland. 2023. Available online: https://www.thepaper.cn/newsDetail_forward_23597809 (accessed on 15 March 2024).
- Online, G. Xinjiang Has No “Sea”—So How Can It Farm “Seafood”? 2023. Available online: https://m.gmw.cn/2023-09/11/content_1303510963.htm (accessed on 28 December 2023).
- News, Q.N.L. Geographical Indications in Shandong: What Makes Yellow River Estuary Eriocheir Sinensis So Delicious? 2023. Available online: https://sdxw.iqilu.com/w/article/YS0yMS0xNTExMjQyNg.html (accessed on 28 December 2023).
- Xia, N.; Rajagopalan, S. Standard vs. custom Products: Variety, lead Time, and price competition. Mark. Sci. 2009, 28, 887–900. [Google Scholar] [CrossRef]
- Lauga, D.O.; Ofek, E. Product Positioning in a Two-Dimensional Vertical Differentiation Model: The Role of Quality Costs. Mark. Sci. 2011, 30, 903–923. [Google Scholar] [CrossRef]
- Cheung, R.; Lam, A.Y.; Lau, M.M. Drivers of green product adoption: The role of green perceived value, green trust and perceived quality. J. Glob. Sch. Mark. Sci. 2015, 25, 232–245. [Google Scholar] [CrossRef]
- Wang, Z.; Yang, T. Research on the product positioning strategy of the independent seller under platform encroachment. Systems 2024, 12, 36. [Google Scholar] [CrossRef]
- Liu, Z.; Geng, X.; Gao, Z.; Zhang, J. Consumer preference for fresh produce: Does the biological control influence their choices? Econ. Anal. Policy 2025, 85, 2030–2042. [Google Scholar] [CrossRef]
- Desai, P.; Kekre, S.; Radhakrishnan, S.; Srinivasan, K. Product differentiation and commonality in design: Balancing revenue and cost drivers. Manag. Sci. 2001, 47, 37–51. [Google Scholar] [CrossRef]
- Iyer, G. Coordinating Channels Under Price and Nonprice Competition. Mark. Sci. 1998, 17, 338–355. [Google Scholar] [CrossRef]
- Guo, L.; Zhang, J. Consumer Deliberation and Product Line Design. Mark. Sci. 2012, 31, 995–1007. [Google Scholar] [CrossRef]
- Raimondo, M.; Spina, D.; D’Amico, M.; di Vita, G.; Califano, G.; Caracciolo, F. Taste matters more than origin: An experimental economics study on consumer preferences for native and foreign varieties of walnuts. Food Qual. Prefer. 2024, 115, 105106. [Google Scholar] [CrossRef]
- Bohlmann, J.D.; Golder, P.N.; Mitra, D. Deconstructing the Pioneer’s Advantage: Examining Vintage Effects and Consumer Valuations of Quality and Variety. Manag. Sci. 2002, 48, 1175–1195. [Google Scholar] [CrossRef]
- Alptekinoğlu, A.; Corbett, C.J. Mass customization vs. mass production: Variety and price competition. Manuf. Serv. Oper. Manag. 2008, 10, 204–217. [Google Scholar] [CrossRef]
- Takagoshi, N.; Matsubayashi, N. Customization competition between branded firms: Continuous extension of product line from core product. Eur. J. Oper. Res. 2013, 225, 337–352. [Google Scholar] [CrossRef]
- Chen, Y.; Iyer, G. Research Note Consumer Addressability and Customized Pricing. Mark. Sci. 2002, 21, 197–208. [Google Scholar] [CrossRef]
- Oertel, C.; Schmutzler, A. Challenging the incumbent: Entry in markets with captive consumers and taste heterogeneity. J. Econ. Manag. Strategy 2022, 31, 961–979. [Google Scholar] [CrossRef]
- Ha, A.; Long, X.; Nasiry, J. Quality in Supply Chain Encroachment. Manuf. Serv. Oper. Manag. 2016, 18, 280–298. [Google Scholar] [CrossRef]
- Dai, B.; Wang, M.; Ke, J. Implications of product line competition on channel matching strategies in a retail platform. Nav. Res. Logist. 2023, 70, 145–164. [Google Scholar] [CrossRef]
- Chen, J.; Liang, L.; Yao, D.Q.; Sun, S. Price and quality decisions in dual-channel supply chains. Eur. J. Oper. Res. 2017, 259, 935–948. [Google Scholar] [CrossRef]
- Chen, W.; Yang, H. Assortment planning for vertically differentiated products under a consider-then-choose model. Oper. Res. Lett. 2019, 47, 507–512. [Google Scholar] [CrossRef]
- Li, X.; Cai, X.; Chen, J. Quality and private label encroachment strategy. Prod. Oper. Manag. 2022, 31, 374–390. [Google Scholar] [CrossRef]
- Yang, H.; Luo, J.; Zhang, Q. Supplier encroachment under nonlinear pricing with imperfect substitutes: Bargaining power versus revenue-sharing. Eur. J. Oper. Res. 2018, 267, 1089–1101. [Google Scholar] [CrossRef]
- Xu, J.; Zhou, X.; Zhang, J.; Long, D.Z. The optimal channel structure with retail costs in a dual-channel supply chain. Int. J. Prod. Res. 2021, 59, 47–75. [Google Scholar] [CrossRef]
- Mou, Z.; Ding, K.; Fu, Y.; Sun, H. Supplier encroachment channel selection on an online retail platform. Systems 2025, 13, 66. [Google Scholar] [CrossRef]
- Liang, L.; Chen, J.; Yao, D. Switching to profitable outside options under supplier encroachment. Prod. Oper. Manag. 2023, 32, 2788–2804. [Google Scholar] [CrossRef]
- Yao, Y.; Zhang, J.; Fan, X. Strategic pricing: An anti-encroachment policy of retailer with uncertainty in retail service. Eur. J. Oper. Res. 2021, 302, 144–157. [Google Scholar] [CrossRef]
- Cui, Q. Quality investment, and the contract manufacturer’s encroachment. Eur. J. Oper. Res. 2019, 279, 407–418. [Google Scholar] [CrossRef]
- Choi, S.C.; Turut, O. National brand’s competition with premium private labels: The role of context-dependent preferences. J. Bus. Res. 2023, 165, 114038. [Google Scholar] [CrossRef]
- Hamzah, I.N.; Huang, W. The dynamics of strategically important food preference in Indonesia: An empirical evaluation of consumption pattern and welfare loss. Econ. Anal. Policy 2023, 79, 435–449. [Google Scholar] [CrossRef]
- Kumar, S.; Talwar, S.; Murphy, M.; Kaur, P.; Dhir, A. A behavioural reasoning perspective on the consumption of local food. A study on REKO, a social media-based local food distribution system. Food Qual. Prefer. 2021, 93, 104264. [Google Scholar] [CrossRef]
- Hasanzade, V.; Elshiewy, O.; Toporowski, W. Is it just the distance? Consumer preference for geographical and social proximity of food production. Ecol. Econ. 2022, 200, 107533. [Google Scholar] [CrossRef]
- Zhou, J.X.; Arnold, M.J.; Pereira, A.; Yu, J. Chinese consumer decision-making styles: A comparison between the coastal and inland regions. J. Bus. Res. 2010, 63, 45–51. [Google Scholar] [CrossRef]
- Yu, J.; Zhou, J.X. Segmenting Young Chinese Consumers Based on Shopping-Decision Styles: A Regional Comparison. J. Int. Consum. Mark. 2009, 22, 59–71. [Google Scholar] [CrossRef]
- Ahmadi, R.; Iravani, F.; Mamani, H. Coping with Gray Markets: The Impact of Market Conditions and Product Characteristics. Prod. Oper. Manag. 2015, 24, 762–777. [Google Scholar] [CrossRef]
- Bernstein, F.; Song, J.; Zheng, X. Free riding in a multi-channel supply chain. Nav. Res. Logist. 2009, 56, 745–765. [Google Scholar] [CrossRef]
- Zhang, Z.; Ren, D.; Lan, Y.; Yang, S. Price competition and blockchain adoption in retailing markets. Eur. J. Oper. Res. 2021, 300, 647–660. [Google Scholar] [CrossRef]
- Garella, P.G.; Laussel, D.; Resende, J. Behavior based price personalization under vertical product differentiation. Int. J. Ind. Organ. 2021, 76, 102717. [Google Scholar] [CrossRef]
- Zhang, X.; Zhang, S.; Du, B. To compete or to collaborate? Logistics service sharing and retailers’ resale in competitive online channels. Systems 2023, 11, 358. [Google Scholar] [CrossRef]












| Parameter | Description |
|---|---|
| i | , where O represents the coastal market and L represents the inland market. |
| j | , where A corresponds to marine crabs supplied by and B corresponds to inland saline–alkali crabs supplied by . |
| l | , where Y indicates that supplier sells in both coastal and inland markets, and N indicates that supplier sells only in the inland market. |
| v | Consumers’ base valuation for products, . |
| Proportion of coastal consumers. | |
| Proportion of inland consumers. | |
| a | Search cost due to lack of product knowledge, leading to a loss in consumer utility. |
| Intensity of competition between differentiated products, . | |
| Consumers’ preference for product quality, . | |
| t | Travel cost incurred by flavor differences, . |
| Flavor preference differences indicating consumers’ tolerance for product flavor variation. indicates actual travel cost due to flavor preferences. | |
| Cost coefficient of technological innovation for supplier . | |
| Cost coefficient of quality improvement for inland saline-alkali crabs, where the farming cost due to quality improvement is . | |
| Unit farming cost for marine crabs. | |
| Unit farming cost for inland saline-alkali crabs. | |
| F | The fixed cost of technological input. |
| E | Market encroachment cost. |
| Demand for product j in market i under scenario l. | |
| Total demand for product j under scenario l. | |
| Decision Variables | Description |
| Price of product j in market i under scenario l. | |
| Quality level of product j in market i under scenario l. |
| Decision Variables | Optimal Solutions |
|---|---|
| Decision Variables | Optimal Solutions |
|---|---|
Disclaimer/Publisher’s Note: The statements, opinions and data contained in all publications are solely those of the individual author(s) and contributor(s) and not of MDPI and/or the editor(s). MDPI and/or the editor(s) disclaim responsibility for any injury to people or property resulting from any ideas, methods, instructions or products referred to in the content. |
© 2025 by the authors. Licensee MDPI, Basel, Switzerland. This article is an open access article distributed under the terms and conditions of the Creative Commons Attribution (CC BY) license (https://creativecommons.org/licenses/by/4.0/).
Share and Cite
Zhang, S.; Shu, W.; Du, B. Yummy Inland Saline–Alkali Crabs? Aquatic Products with Quality and Flavor Preferences in Market Encroachment. Systems 2025, 13, 273. https://doi.org/10.3390/systems13040273
Zhang S, Shu W, Du B. Yummy Inland Saline–Alkali Crabs? Aquatic Products with Quality and Flavor Preferences in Market Encroachment. Systems. 2025; 13(4):273. https://doi.org/10.3390/systems13040273
Chicago/Turabian StyleZhang, Shengping, Wenwen Shu, and Bisheng Du. 2025. "Yummy Inland Saline–Alkali Crabs? Aquatic Products with Quality and Flavor Preferences in Market Encroachment" Systems 13, no. 4: 273. https://doi.org/10.3390/systems13040273
APA StyleZhang, S., Shu, W., & Du, B. (2025). Yummy Inland Saline–Alkali Crabs? Aquatic Products with Quality and Flavor Preferences in Market Encroachment. Systems, 13(4), 273. https://doi.org/10.3390/systems13040273

