Rotation Culture of Macroalgae Based on Photosynthetic Physiological Characteristics of Algae
Abstract
Simple Summary
Abstract
1. Introduction
2. Materials and Methods
2.1. Monitoring Site
2.2. Seaweed Farms
2.3. Monitoring of Environmental Factors in Aquaculture Water
2.4. Fluorescence Parameter Determination
2.5. Construct Rotational Models
2.6. Statistical Analysis
3. Results
3.1. Changes in Environmental Factors in Aquaculture Water
3.2. Comparison of Photosynthetic Fluorescence Parameters of the Three Macroalgae
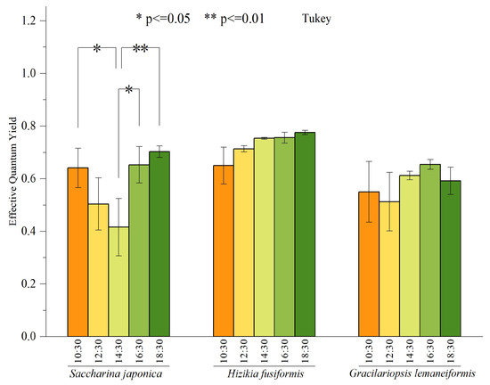
3.3. Diurnal Variation of Effective Quantum Yield of the Macroalgae
3.4. Rotation Culture Models of the Macroalgae
4. Discussion
4.1. Response of Photosynthetic Physiological Characteristics of the Three Macroalgae Species to Temperature
4.2. The Photosynthetic Response of the Three Species of Macroalgae to Light
4.3. Design and Application of Rotation Culture Model in Large Seaweeds
5. Conclusions
Author Contributions
Funding
Institutional Review Board Statement
Informed Consent Statement
Data Availability Statement
Acknowledgments
Conflicts of Interest
References
- FAO. The State of World Fisheries and Aquaculture: Sustainability in Action; FAO: Rome, Italy, 2020; pp. 1–210. [Google Scholar]
- Chopin, T.; Tacon, A.G.J. Importance of Seaweeds and Extractive Species in Global Aquaculture Production. Rev. Fish. Sci. Aquac. 2021, 29, 139–148. [Google Scholar] [CrossRef]
- Duarte, C.M.; Bruhn, A.; Krause-Jensen, D. A seaweed aquaculture imperative to meet global sustainability targets. Nat. Sustain. 2021, 5, 185–193. [Google Scholar] [CrossRef]
- Kang, Y.H.; Kim, S.; Choi, S.K.; Lee, H.J.; Chung, I.K.; Park, S.R. A comparison of the bioremediation potential of five seaweed species in an integrated fish-seaweed aquaculture system: Implication for a multi-species seaweed culture. Rev. Aquac. 2020, 13, 353–364. [Google Scholar] [CrossRef]
- Bertocci, I.; Araújo, R.; Oliveira, P.; Sousa-Pinto, I.; Österblom, H. REVIEW: Potential effects of kelp species on local fisheries. J. Appl. Ecol. 2015, 52, 1216–1226. [Google Scholar] [CrossRef]
- Teagle, H.; Hawkins, S.J.; Moore, P.J.; Smale, D.A. The role of kelp species as biogenic habitat formers in coastal marine ecosystems. J. Exp. Mar. Biol. Ecol. 2017, 492, 81–98. [Google Scholar] [CrossRef]
- Xiao, X.; Agusti, S.; Lin, F.; Li, K.; Pan, Y.; Yu, Y.; Zheng, Y.; Wu, J.; Duarte, C.M. Nutrient removal from Chinese coastal waters by large-scale seaweed aquaculture. Sci. Rep. 2017, 7, 46613. [Google Scholar] [CrossRef]
- Zheng, Y.; Jin, R.; Zhang, X.; Wang, Q.; Wu, J. The considerable environmental benefits of seaweed aquaculture in China. Stoch. Environ. Res. Risk Assess. 2019, 33, 1203–1221. [Google Scholar] [CrossRef]
- Jiang, Z.; Liu, J.; Li, S.; Chen, Y.; Du, P.; Zhu, Y.; Liao, Y.; Chen, Q.; Shou, L.; Yan, X.; et al. Kelp cultivation effectively improves water quality and regulates phytoplankton community in a turbid, highly eutrophic bay. Sci. Total Environ. 2020, 707, 135561. [Google Scholar] [CrossRef]
- Xiao, X.; Agustí, S.; Yu, Y.; Huang, Y.; Chen, W.; Hu, J.; Li, C.; Li, K.; Wei, F.; Lu, Y.; et al. Seaweed farms provide refugia from ocean acidification. Sci. Total Environ. 2021, 776, 145192. [Google Scholar] [CrossRef]
- Tseng, C.K. Algal biotechnology industries and researh activities in China. J. Appl. Phycol. 2001, 12, 15. [Google Scholar] [CrossRef]
- Pang, S.J.; Jin, Z.H.; Sun, J.Z.; Gao, S.Q. Temperature tolerance of young sporophytes from two populations of Laminaria japonica revealed by chlorophyll fluorescence measurements and short-term growth and survival performances in tank culture. Aquaculture 2007, 262, 493–503. [Google Scholar] [CrossRef]
- Zhang, J.; Liu, Y.; Yu, D.; Song, H.; Cui, J.; Liu, T. Study on high-temperature-resistant and high-yield Laminaria variety “Rongfu”. J. Appl. Phycol. 2011, 23, 165–171. [Google Scholar] [CrossRef]
- Su, L.; Pang, S.J.; Shan, T.F.; Li, X. Large-scale hatchery of the kelp Saccharina japonica: A case study experience at Lvshun in northern China. J. Appl. Phycol. 2017, 29, 3003–3013. [Google Scholar] [CrossRef]
- Shan, T.; Li, Q.; Wang, X.; Su, L.; Pang, S. Assessment of the Genetic Connectivity Between Farmed Populations on a Typical Kelp Farm and Adjacent Spontaneous Populations of Saccharina japonica (Phaeophyceae, Laminariales) in China. Front. Mar. Sci. 2019, 6, 494. [Google Scholar] [CrossRef]
- Wu, W.G.; Zhang, J.H.; Liu, Y.; Zhao, Y.X.; Zhang, K.Y.; Wang, L.L. Analysis of the effectiveness of the polyculture of shellfish and algae and influencing factors in the Xuejiadao sea cage aquacultrue area. Prog. Fish. Sci. 2022, 43, 10. [Google Scholar] [CrossRef]
- Borlongan, I.A.; Arita, R.; Nishihara, G.N.; Terada, R. The effects of temperature and irradiance on the photosynthesis of two heteromorphic life history stages of Saccharina japonica (Laminariales) from Japan. J. Appl. Phycol. 2020, 32, 4175–4187. [Google Scholar] [CrossRef]
- Ralph, P.J.; Gademann, R. Rapid light curves: A powerful tool to assess photosynthetic activity. Aquat. Bot. 2005, 82, 222–237. [Google Scholar] [CrossRef]
- Bhagooli, R.; Mattan-Moorgawa, S.; Kaullysing, D.; Louis, Y.D.; Gopeechund, A.; Ramah, S.; Soondur, M.; Pilly, S.S.; Beesoo, R.; Wijayanti, D.P.; et al. Chlorophyll fluorescence—A tool to assess photosynthetic performance and stress photophysiology in symbiotic marine invertebrates and seaplants. Mar. Pollut. Bull. 2021, 165, 112059. [Google Scholar] [CrossRef] [PubMed]
- Zou, D.; Xia, J.; Yang, Y. Photosynthetic use of exogenous inorganic carbon in the agarophyte Gracilaria lemaneiformis (Rhodophyta). Aquaculture 2004, 237, 421–431. [Google Scholar] [CrossRef]
- Abdala-Díaz, R.T.; Cabello-Pasini, A.; Pérez-Rodríguez, E.; Álvarez, R.M.C.; Figueroa, F.L. Daily and seasonal variations of optimum quantum yield and phenolic compounds in Cystoseira tamariscifolia (Phaeophyta). Mar. Biol. 2005, 148, 459–465. [Google Scholar] [CrossRef]
- Pang, S.J.; Zhang, Z.H.; Zhao, H.J.; Sun, J.Z. Cultivation of the brown alga Hizikia fusiformis (Harvey) Okamura: Stress resistance of artificially raised young seedlings revealed by chlorophyll fluorescence measurement. J. Appl. Phycol. 2007, 19, 557–565. [Google Scholar] [CrossRef]
- Zou, D.; Gao, K. Photosynthetic acclimation to different light levels in the brown marine macroalga, Hizikia fusiformis (Sargassaceae, Phaeophyta). J. Appl. Phycol. 2009, 22, 395–404. [Google Scholar] [CrossRef]
- Wang, Y.; Xu, D.; Fan, X.; Zhang, X.; Ye, N.; Wang, W.; Mao, Y.; Mou, S.; Cao, S. Variation of photosynthetic performance, nutrient uptake, and elemental composition of different generations and different thallus parts of Saccharina japonica. J. Appl. Phycol. 2012, 25, 631–637. [Google Scholar] [CrossRef]
- Zou, D.; Gao, K. Temperature response of photosynthetic light- and carbon-use characteristics in the red seaweed Gracilariopsis lemaneiformis (Gracilariales, Rhodophyta). J. Phycol. 2014, 50, 366–375. [Google Scholar] [CrossRef] [PubMed]
- Wang, L.; Zhang, X.; Zou, D.; Chen, W.; Jiang, H. Growth and Fv/Fm in embryos of Hizikia fusiformis (Harvey) Okamura (Sargassaceae, Phaeophyta) cultured under different temperature and irradiance conditions. J. Oceanol. Limnol. 2018, 36, 1798–1805. [Google Scholar] [CrossRef]
- Ji, Z.; Zou, D.; Gong, J.; Liu, C.; Ye, C.; Chen, Y. The different responses of growth and photosynthesis to NH4(+) enrichments between Gracilariopsis lemaneiformis and its epiphytic alga Ulva lactuca grown at elevated atmospheric CO2. Mar. Pollut. Bull. 2019, 144, 173–180. [Google Scholar] [CrossRef] [PubMed]
- Jiang, H.; Zou, D.; Lou, W.; Chen, W.; Yang, Y. Growth and photosynthesis by Gracilariopsis lemaneiformis (Gracilariales, Rhodophyta) in response to different stocking densities along Nan’ao Island coastal waters. Aquaculture 2019, 501, 279–284. [Google Scholar] [CrossRef]
- Kokubu, S.; Nishihara, G.N.; Watanabe, Y.; Tsuchiya, Y.; Amamo, Y.; Terada, R. The effect of irradiance and temperature on the photosynthesis of a native alga Sargassum fusiforme (Fucales) from Kagoshima, Japan. Phycologia 2019, 54, 235–247. [Google Scholar] [CrossRef]
- Van der Loos, L.M.; Schmid, M.; Leal, P.P.; McGraw, C.M.; Britton, D.; Revill, A.T.; Virtue, P.; Nichols, P.D.; Hurd, C.L. Responses of macroalgae to CO2 enrichment cannot be inferred solely from their inorganic carbon uptake strategy. Ecol. Evol. 2019, 9, 125–140. [Google Scholar] [CrossRef]
- Zou, D.; Ji, Z.; Chen, W.; Li, G. High temperature stress might hamper the success of sexual reproduction in Hizikia fusiformis from Shantou, China: A photosynthetic perspective. Phycologia 2019, 57, 394–400. [Google Scholar] [CrossRef]
- Lanctôt, C.M.; Bednarz, V.N.; Melvin, S.; Jacob, H.; Oberhaensli, F.; Swarzenski, P.W.; Ferrier-Pagès, C.; Carroll, A.R.; Metian, M. Physiological stress response of the scleractinian coral Stylophora pistillata exposed to polyethylene microplastics. Environ. Pollut. 2020, 263 Pt A, 114559. [Google Scholar] [CrossRef] [PubMed]
- Zhu, Q.; Wu, L.; Li, X.; Li, G.; Li, J.; Li, C.; Zhao, C.; Wang, F.; Du, C.; Deng, C.; et al. Effects of ambient temperature on the redistribution efficiency of nutrients by desert cyanobacteria—Scytonema javanicum. Sci. Total Environ. 2020, 737, 139733. [Google Scholar] [CrossRef] [PubMed]
- Wen, J.; Zou, D. Interactive effects of increasing atmospheric CO2 and copper exposure on the growth and photosynthesis in the young sporophytes of Sargassum fusiforme (Phaeophyta). Chemosphere 2021, 269, 129397. [Google Scholar] [CrossRef] [PubMed]
- The State Oceanic Administration of China. The Specification for Marine Monitoring; Ocean Press: Beijing, China, 2007. [Google Scholar]
- Lideman; Nishihara, G.N.; Noro, T.; Terada, R. Effect of temperature and light on the photosynthesis as measured by chlorophyll fluorescence of cultured Eucheuma denticulatum and Kappaphycus sp. (Sumba strain) from Indonesia. J. Appl. Phycol. 2012, 25, 399–406. [Google Scholar] [CrossRef]
- Zhang, J.; Wu, W.; Ren, J.S.; Lin, F. A model for the growth of mariculture kelp Saccharina japonica in Sanggou Bay, China. Aquac. Environ. Interact. 2016, 8, 273–283. [Google Scholar] [CrossRef]
- Hu, Z.; Shan, T.; Zhang, J.; Zhang, Q.; Critchley, A.T.; Choi, H.; Yotsukura, N.; Liu, F.; Duan, D. Kelp aquaculture in China: A retrospective and future prospects. Rev. Aquac. 2021, 13, 1324–1351. [Google Scholar] [CrossRef]
- Yu, J.; Kuang, L.; Wang, Q.; Liu, Y.; Gong, Q.; Li, J. Differences in photosynthesis, growth and resource accumulation between drifting alga Sargassum houneri and cultured alga Undaria pinnatifida and their roles in interspecies competition. Period. Ocean Univ. China 2021, 51, 1–10. [Google Scholar]
- Hong, M.; Ma, Z.; Wang, X.; Shen, Y.; Mo, Z.; Wu, M.; Chen, B.; Zhang, T. Effects of light intensity and ammonium stress on photosynthesis in Sargassum fusiforme seedlings. Chemosphere 2021, 273, 128605. [Google Scholar] [CrossRef] [PubMed]
- Xing, Y.; Zeng, J.; Wu, X.; Yang, S.; Huang, M.; Tang, X. Cultivation Status and Application Prospect of Three Topical Economic Seaweeds. Trans. Oceanol. Limnol. 2019, 6, 1–9. [Google Scholar] [CrossRef]
- Fieler, R.; Greenacre, M.; Matsson, S.; Neves, L.; Forbord, S.; Hancke, K. Erosion Dynamics of Cultivated Kelp, Saccharina latissima, and Implications for Environmental Management and Carbon Sequestration. Front. Mar. Sci. 2021, 8, 632725. [Google Scholar] [CrossRef]
- Yang, Y.; Chai, Z.; Wang, Q.; Chen, W.; He, Z.; Jiang, S. Cultivation of seaweed Gracilaria in Chinese coastal waters and its contribution to environmental improvements. Algal Res. 2015, 9, 236–244. [Google Scholar] [CrossRef]
- Wu, H.; Jiang, H.; Liu, C.; Deng, Y. Growth, pigment composition, chlorophyll fluorescence and antioxidant defenses in the red alga Gracilaria lemaneiformis (Gracilariales, Rhodophyta) under light stress. S. Afr. J. Bot. 2015, 100, 27–32. [Google Scholar] [CrossRef]
- Wu, H. Study on the Responses of the Growth and Photosynthetic Functions of Marine Macroalgae to Diverse Light Environments. Ph.D. Thesis, South China University of Technology, Guangzhou, China, 2016. [Google Scholar]
- Cheng, X.; Zhang, S.; Lin, J.; Wang, Z.; Zhao, X.; Huang, L.; Wang, K. Response of photosynthetic activity to different temperature and light lntensities in Saccharina japonica sporophyte. J. Fish. China 2020, 44, 11. [Google Scholar]
- Takabayashi, A.; Kishine, M.; Asada, K.; Endo, T.; Sato, F. Differential use of two cyclic electron flows around photosystem I for driving CO2-concentration mechanism in C4 photosynthesis. Proc. Natl. Acad. Sci. USA 2005, 102, 16898–16903. [Google Scholar] [CrossRef] [PubMed]
- Zou, D.; Gao, K. Photosynthetic characteristics of the economic brown seaweed Hizikia fusiforme (Sargassaceae, Phaeophyta), with special reference to its “leaf” and receptacle. J. Appl. Phycol. 2005, 17, 255–259. [Google Scholar] [CrossRef]
- Liu, C.; Zou, D.; Yang, Y.; Chen, B.; Jiang, H. Temperature responses of pigment contents, chlorophyll fluorescence characteristics, and antioxidant defenses in Gracilariopsis lemaneiformis (Gracilariales, Rhodophyta) under different CO2 levels. J. Appl. Phycol. 2016, 29, 983–991. [Google Scholar] [CrossRef]
- Hwang, E.K.; Ha, D.S.; Park, C.S. The influences of temperature and irradiance on thallus length of Saccharina japonica (Phaeophyta) during the early stages of cultivation. J. Appl. Phycol. 2018, 30, 2875–2882. [Google Scholar] [CrossRef]
- Grebe, G.S.; Byron, C.J.; Gelais, A.S.; Kotowicz, D.M.; Olson, T.K. An ecosystem approach to kelp aquaculture in the Americas and Europe. Aquac. Rep. 2019, 15, 100215. [Google Scholar] [CrossRef]
- Zhang, S.; Liu, S.; Zhou, X.; Wang, Z.; Wang, K. Ecological function of seaweed-formed habitat and discussion of its application to sea ranching. J. Fish. China 2019, 43, 11. [Google Scholar] [CrossRef]






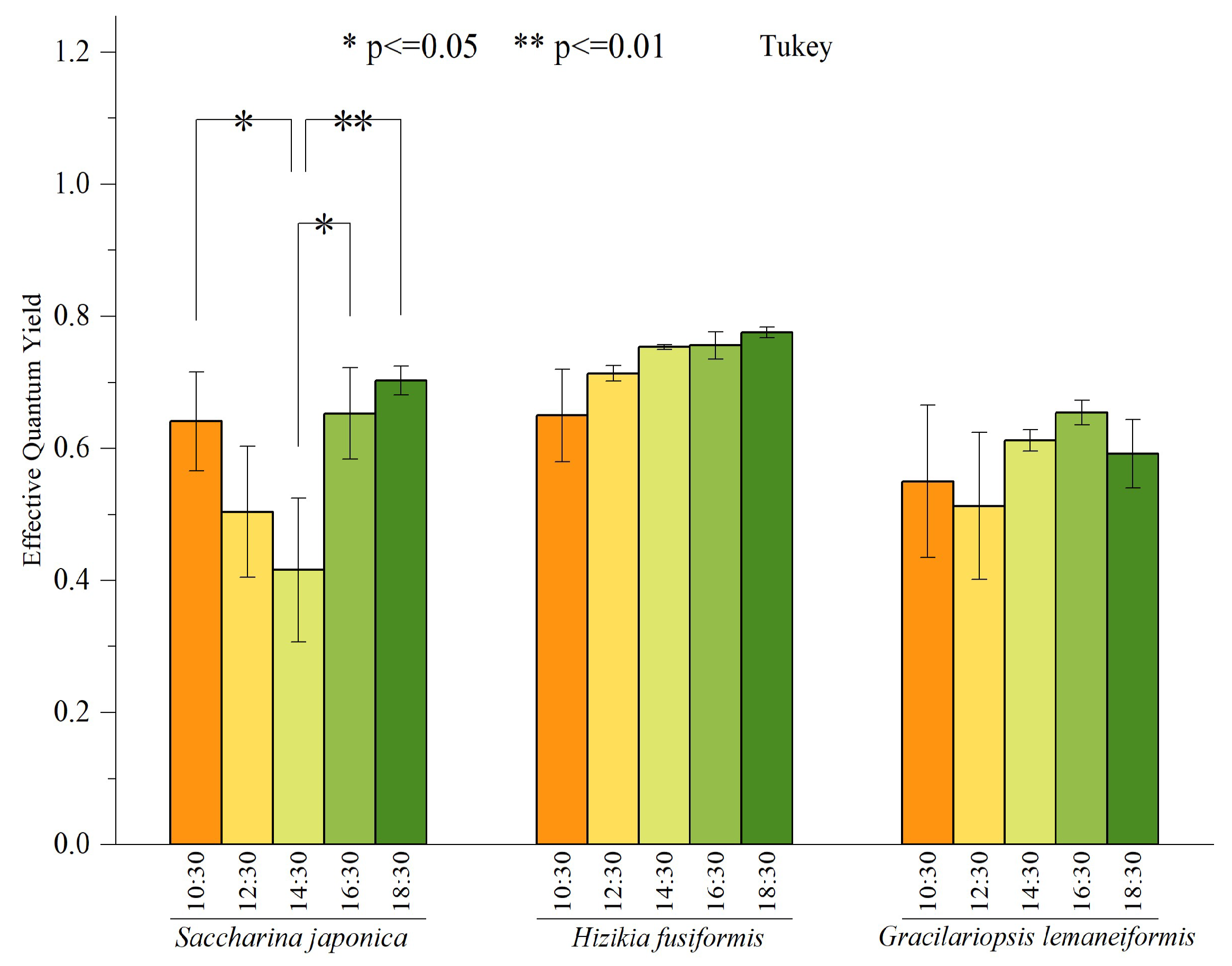
| Species | Parameters | January | May | September |
|---|---|---|---|---|
| Saccharina japonica | α | 0.23 ± 0.04 a | 0.22 ± 0.04 a | - |
| β | 0.05 ± 0.02 a | 0.01 ± 0.01 b | - | |
| rETRmax | 43.58 ± 9.59 b | 58.2 ± 8.78 a | - | |
| Ek | 187.33 ± 66.05 b | 264.91 ± 84.17 a | - | |
| Em | 328.66 ± 39.2 b | 970.9 ± 148.8 a | - | |
| R2 | 0.86 | 0.79 | - | |
| Hizikia fusiformis | α | 0.29 ± 0.03 a | 0.3 ± 0.03 a | - |
| β | 0 | 0 | - | |
| rETRmax | 70.45 ± 4.48 b | 106.75 ± 8.62 a | - | |
| Ek | 238.85 ± 35.08 a | 352.21 ± 54.13 a | - | |
| Em | 1201.72 ± 211.15 a | - | - | |
| R2 | 0.91 | 0.96 | - | |
| Gracilariopsis lemaneiformis | α | 0.29 ± 0.02 a | 0.33 ± 0.05 a | 0.19 ± 0.02 b |
| β | 0 | 0 | 0 | |
| rETRmax | 75.33 ± 4.37 b | 74.33 ± 6.72 b | 93.07 ± 13.21 a | |
| Ek | 263.46 ± 32.95 b | 224.8 ± 47.6 b | 495.08 ± 111.55 a | |
| Em | 1095.08 ± 84.7 a | 973.29 ± 130.63 a | - | |
| R2 | 0.94 | 0.89 | 0.96 |
Disclaimer/Publisher’s Note: The statements, opinions and data contained in all publications are solely those of the individual author(s) and contributor(s) and not of MDPI and/or the editor(s). MDPI and/or the editor(s) disclaim responsibility for any injury to people or property resulting from any ideas, methods, instructions or products referred to in the content. |
© 2024 by the authors. Licensee MDPI, Basel, Switzerland. This article is an open access article distributed under the terms and conditions of the Creative Commons Attribution (CC BY) license (https://creativecommons.org/licenses/by/4.0/).
Share and Cite
Cheng, X.; Zhao, X.; Lin, J.; Zhang, S.; Wang, Z.; Huang, H.; Wang, K.; Chen, J. Rotation Culture of Macroalgae Based on Photosynthetic Physiological Characteristics of Algae. Biology 2024, 13, 459. https://doi.org/10.3390/biology13060459
Cheng X, Zhao X, Lin J, Zhang S, Wang Z, Huang H, Wang K, Chen J. Rotation Culture of Macroalgae Based on Photosynthetic Physiological Characteristics of Algae. Biology. 2024; 13(6):459. https://doi.org/10.3390/biology13060459
Chicago/Turabian StyleCheng, Xiaopeng, Xu Zhao, Jun Lin, Shouyu Zhang, Zhenhua Wang, Hong Huang, Kai Wang, and Jianqu Chen. 2024. "Rotation Culture of Macroalgae Based on Photosynthetic Physiological Characteristics of Algae" Biology 13, no. 6: 459. https://doi.org/10.3390/biology13060459
APA StyleCheng, X., Zhao, X., Lin, J., Zhang, S., Wang, Z., Huang, H., Wang, K., & Chen, J. (2024). Rotation Culture of Macroalgae Based on Photosynthetic Physiological Characteristics of Algae. Biology, 13(6), 459. https://doi.org/10.3390/biology13060459
