Impact of Physical Interventions, Phosphorus Fertilization, and the Utilization of Soil Amendments on the Absorption of Cadmium by Lettuce Grown in a Solar-Powered Greenhouse
Abstract
Simple Summary
Abstract
1. Introduction
2. Materials and Methods
2.1. Overview of the Experimental Site
2.2. Experimental Design
2.3. Field Experiments
2.4. Analytical Methods
2.4.1. Determination of the Chlorophyll and Plant Height
2.4.2. Determination of the Aboveground Biomass
2.4.3. Determination of the Levels of Cd
2.4.4. Data Analysis
3. Results
3.1. Effects of the Various Treatments on Lettuce Growth
3.1.1. Deep Plowing and Soil Covering
| Soil Cd Remediation Applications | Lettuce Biomass (g/plant) | Chlorophyll (SPAD) | Plant Height (cm) | Leaf Length (mm) | ||
|---|---|---|---|---|---|---|
| Deep plowing and soil covering (cm) | Deep plowing | 15 (CK) | 279 ± 43 a | 29.6 ± 2.7 a | 29.4 ± 0.7 a | 84.3 ± 3.9 a |
| 30 | 191 ± 13 b | 28.7 ± 3.5 a | 27.7 ± 0.4 b | 73.7 ± 4.3 b | ||
| 40 | 166 ± 31 b | 28.4 ± 3.2 a | 27.5 ± 0.3 b | 67.4 ± 4.7 b | ||
| 50 | 151 ± 24 b | 26.9 ± 2.2 a | 27.7 ± 0.5 b | 74.9 ± 3.3 b | ||
| Soil covering | 15 | 170 ± 33 b | 28.5 ± 2.4 a | 27.6 ± 0.6 b | 70.5 ± 2.7 b | |
3.1.2. Application of Phosphorus Fertilizers
| Soil Cd Remediation Applications | Lettuce Biomass (g/plant) | Chlorophyll (SPAD) | Plant Height (cm) | Leaf Length (mm) | ||
|---|---|---|---|---|---|---|
| Phosphorus fertilizer application rates (P2O5 kg/ha) | DAP | 75 | 272 ± 26 a | 33 ± 0.6 a | 30.7 ± 0.9 a | 83 ± 3.8 a |
| 150 | 286 ± 18 a | 32 ± 2.4 a | 32.4 ± 3.3 a | 82 ± 2.0 a | ||
| 225 | 310 ± 22 a | 34 ± 2.2 a | 30.4 ± 2.1 a | 84 ± 2.2 a | ||
| CMP | 75 | 272 ± 16 a | 30 ± 1.9 a | 28.5 ± 1.2 a | 75 ± 3.0 b | |
| 150 | 264 ± 23 a | 31 ± 3.2 a | 28.7 ± 1.5 a | 75 ± 3.0 b | ||
| 225 | 198 ± 18 b | 30 ± 0.1 a | 29.5 ± 0.6 a | 76 ± 2.4 b | ||
| SSP | 75 | 265 ± 21 a | 31 ± 2.9 a | 30.1 ± 0.8 a | 81 ± 2.8 a | |
| 150 | 296 ± 23 a | 30 ± 2.1 a | 30.9 ± 0.9 a | 84 ± 3.1 a | ||
| 225 | 312 ± 34 a | 29 ± 2.6 a | 29.9 ± 0.5 a | 82 ± 3.0 a | ||
| CK | 0 | 279 ± 33 a | 30 ± 1.3 a | 29.4 ± 0.2 a | 84 ± 3.6 a | |
3.1.3. Application of the Soil Conditioners
| Soil Cd Remediation Applications | Lettuce Biomass (g/plant) | Chlorophyll (SPAD) | Plant Height (cm) | Leaf Length (mm) | ||
|---|---|---|---|---|---|---|
| Soil amendment | Biochar (t/ha) | 2 | 177 ± 23 ab | 28.6 ± 2.4 a | 29.2 ± 2.1 a | 70.6 ± 4.6 a |
| 4 | 171 ± 24 ab | 29.1 ± 3.0 a | 28.4 ± 3.5 a | 67.5 ± 6.4 a | ||
| 6 | 160 ± 33 ab | 29.4 ± 4.3 a | 26.7 ± 2.0 a | 65.2 ± 6.1 a | ||
| 8 | 162 ± 29 ab | 28.5 ± 3.1 a | 27.3 ± 1.9 a | 69.9 ± 8.0 a | ||
| 10 | 173 ± 20 ab | 27.3 ± 4.3 a | 27.8 ± 1.9 a | 68.0 ± 14.0 a | ||
| 12 | 181 ± 17 a | 27.7 ± 3.4 a | 27.4 ± 1.9 a | 65.6 ± 8.5 a | ||
| CK | 149 ± 22 b | 28.1 ± 1.8 a | 26.5 ± 2.3 a | 65.2 ± 11.1 a | ||
| Attapulgite clay (kg/ha) | 0 (CK) | 229 ± 38 a | 32.7 ± 2.6 a | 25.7 ± 2.3 a | 71.4 ± 10 a | |
| 40 | 249 ± 67 a | 31.5 ± 3.9 a | 26.0 ± 2.5 a | 75.5 ± 7.2 a | ||
| 80 | 267 ± 105 a | 31.8 ± 3.0 a | 26.9 ± 4.0 a | 74.2 ± 9.9 a | ||
| 120 | 227 ± 28 a | 31.6 ± 2.3 a | 26.2 ± 2.5 a | 71.0 ± 8.7 a | ||
| 160 | 245 ± 19 a | 32.2 ± 3.6 a | 28.2 ± 2.4 a | 74.2 ± 7.6 a | ||
| 200 | 233 ± 70 a | 32.0 ± 2.3 a | 26.3 ± 3.2 a | 71.1 ± 7.9 a | ||
| Nano-hydroxyapatite (kg/ha) | 0 (CK) | 248 ± 48 a | 32.5 ± 3.0 a | 27.4 ± 3.6 a | 69.1 ± 8.2 a | |
| 40 | 213 ± 67 a | 33.1 ± 3.9 a | 25.9 ± 4.3 a | 67.3 ± 9.3 a | ||
| 80 | 225 ± 73 a | 32.8 ± 3.1 a | 25.7 ± 3.4 a | 68.7 ± 11.1 a | ||
| 120 | 235 ± 57 a | 32.3 ± 3.0 a | 26.2 ± 3.6 a | 73.4 ± 8.5 a | ||
| 160 | 214 ± 68 a | 32.4 ± 3.2 a | 26.7 ± 2.6 a | 69.0 ± 11.1 a | ||
| 200 | 202 ± 60 a | 32.4 ± 3.1 a | 24.9 ± 3.9 a | 65.7 ± 9.8 a | ||
3.2. Effects of Various Treatments on the Uptake of Cd in Lettuce
3.2.1. Physical Measures
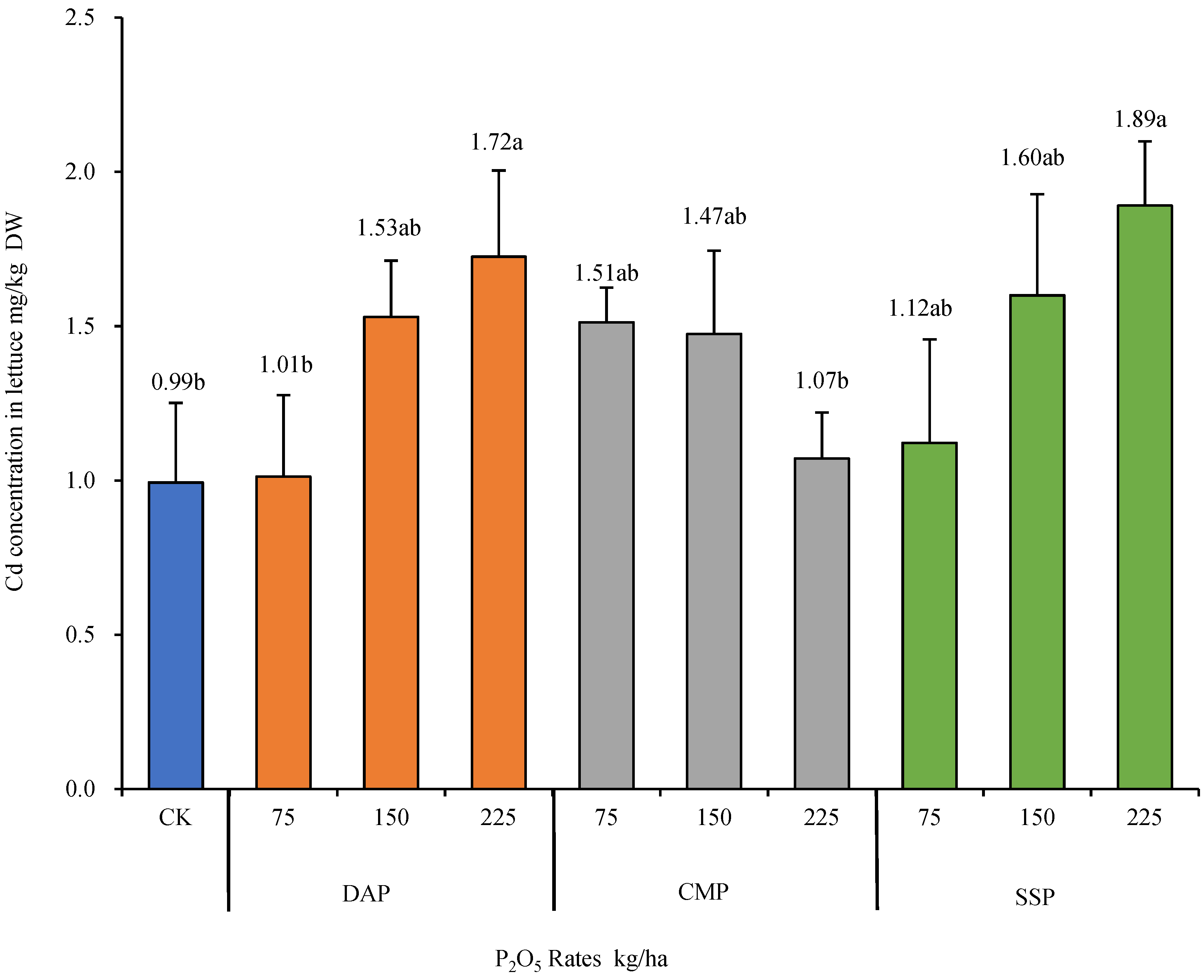
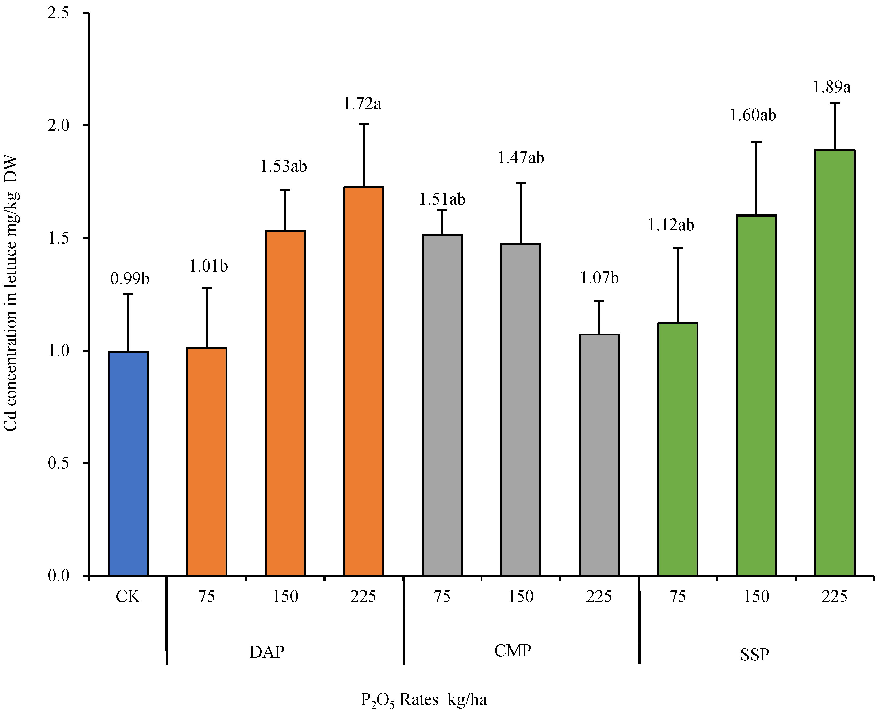
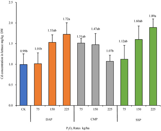
3.2.2. Applications of Phosphorous
3.2.3. Application of Soil Conditioners
4. Discussion
5. Conclusions
Author Contributions
Funding
Institutional Review Board Statement
Informed Consent Statement
Data Availability Statement
Conflicts of Interest
References
- Zhang, Q.; Zhu, J.; Yu, X.; Huang, S.; Zhang, X.; Zhang, S.; Qiu, R.; Agathokleous, E. Assessing suitability of major meteorological factors for facility agriculture in mainland China. Environ. Res. Lett. 2023, 18, 114002. [Google Scholar] [CrossRef]
- Cao, Z.; Wei, B.; Yang, L.; Yu, J.; Meng, M.; Chen, Q.; Li, F. Different crop rotation patterns vary heavy metals behavior in soils under plastic sheds: Evidence from field research. Process Saf. Environ. Prot. 2022, 162, 543–552. [Google Scholar] [CrossRef]
- Liu, M.; Qi, D.S.; Zhong, T.Y. Agricultural development policy diffusion associated with leading cadre’s experience and expansion of protected agriculture in China. Front. Environ. Sci. 2023, 11, 1078565. [Google Scholar] [CrossRef]
- Zhang, X.; Song, X.Y.; Zhang, H.Y.; Li, Y.S.; Hou, Y.X.; Zhao, X.X. Source apportionment and risk assessment of heavy metals in typical greenhouse vegetable soils in Shenyang, China. Environ. Monit. Assess. 2024, 196, 72. [Google Scholar] [CrossRef] [PubMed]
- Cui, K.; Ning, M.; Liang, J.; Guan, S.; Fang, L.; Ding, R.; Wang, J.; Li, T.; Dong, Z. Pollution characteristics and non-dietary human cumulative risk assessment of neonicotinoids in vegetable greenhouse soils: A case study in Shandong Province, China. J. Soil Sediment 2023, 23, 331–343. [Google Scholar] [CrossRef]
- Wan, L.; Lv, H.; Qasim, W.; Xia, L.; Yao, Z.; Hu, J.; Zhao, Y.; Ding, X.; Zheng, X.; Li, G.; et al. Heavy metal and nutrient concentrations in top- and sub-soils of greenhouses and arable fields in East China-Effects of cultivation years, management, and shelter. Environ. Pollut. 2022, 307, 119494. [Google Scholar] [CrossRef]
- Ispas, G.; Roba, C.; Balc, R.; Gligor, D. Heavy metals in soils and vegetables cultivated in several greenhouses from botosani county—Romania. Environ. Eng. Manag. J. 2022, 21, 91–103. [Google Scholar]
- Sun, J.T.; Pan, L.L.; Li, Z.H.; Zeng, Q.T.; Wang, L.W.; Zhu, L.Z. Comparison of greenhouse and open field cultivations across China: Soil characteristics, contamination and microbial diversity. Environ. Pollut. 2018, 243, 1509–1516. [Google Scholar] [CrossRef] [PubMed]
- Wang, J.; Mi, W.K.; Song, P.P.; Xie, H.; Zhu, L.S.; Wang, J.H. Cultivation Ages Effect on Soil Physicochemical Properties and Heavy Metal Accumulation in Greenhouse Soils. Chin. Geogr. Sci. 2018, 28, 717–726. [Google Scholar] [CrossRef]
- Wang, Y.; Xv, X.; Shao, T.; He, Q.; Guo, Z.; Wang, Y.; Guo, Q.; Xing, B. A case on source to soil to solutions: Distribution characteristics of microplastics in farmland soil of the largest vegetable base in Northwest China. Sci. Total Environ. 2024, 907, 167910. [Google Scholar] [CrossRef]
- Tian, K.; Huang, B.; Xing, Z.; Hu, W.Y. Geochemical baseline establishment and ecological risk evaluation of heavy metals in greenhouse soils from Dongtai, China. Ecol. Indic. 2017, 72, 510–520. [Google Scholar] [CrossRef]
- Meng, M.; Yang, L.; Wei, B.; Li, H.; Yu, J. Contamination Assessment and Spatial Distribution of Heavy Metals in Greenhouse Soils in China. Chin. J. Ecol. 2018, 34, 1019–1026. [Google Scholar]
- Feng, Y.; Ma, L.; Wang, Q.; Wu, Y.; Huang, L.; Zhou, Q.; Yang, X. Heavy-metal pollution and safety production technologies of soil-vegetable crop systems in China. J. Agro-Environ. Sci. 2018, 37, 2359–2370. [Google Scholar]
- Tang, X.; Song, Y.; He, X.; Yi, L. Enhancing Phytoremediation Efficiency Using Regulated Deficit Irrigation. Pol. J. Environ. Stud. 2019, 28, 2399–2405. [Google Scholar] [CrossRef] [PubMed]
- Tang, X.; Pang, Y.; Ji, P.; Gao, P.; Nguyen, T.H.; Tong, Y. Cadmium uptake in above-ground parts of lettuce (Lactuca sativa L.). Ecotoxicol. Environ. Saf. 2016, 125, 102–106. [Google Scholar] [CrossRef] [PubMed]
- Hao, Y.; Zhang, J.A.; Liang, Y.; Song, Y.; Tang, X. Effect of brackish water irrigation on cadmium migration in a soil–maize system. Environ. Sci. Pollut. Res. 2024, 31, 12995–13002. [Google Scholar] [CrossRef] [PubMed]
- Tang, X.; Yi, L.; Song, Y.; He, X.; Fang, L.; Zhang, J. Changes in Root Exudates’ Composition and Their Ability to Release Cadmium Adhered to Soil in Four Lettuce Varieties under Cadmium Stress. Pol. J. Environ. Stud. 2021, 30, 1809–1816. [Google Scholar] [CrossRef]
- Wang, M.; Chen, Z.; Chen, D.; Liu, L.; Hamid, Y.; Zhang, S.; Shan, A.; Kang, K.J.; Feng, Y.; Yang, X. Combined cadmium and fluorine inhibit lettuce growth through reducing root elongation, photosynthesis, and nutrient absorption. Environ. Sci. Pollut. Res. 2022, 29, 91255–91267. [Google Scholar] [CrossRef] [PubMed]
- Yuan, J.; Liu, Q.; Chen, Z.; Wen, Z.; Liu, Y.; Huang, L.; Yu, C.; Feng, Y. Organic amendments perform better than inorganic amendments in reducing the absorption and accumulation of cadmium in lettuce. Environ. Sci. Pollut. Res. 2023, 30, 117277–117287. [Google Scholar] [CrossRef]
- Khan, U.; Irfan, M.; Murad, Z.; Ahmad, I.; Khan, M.O.; Mehmood, I.; Waleed, M.; Kamal, A. Enhancing Lettuce Growth and Cadmium and Lead Tolerance Through Biochar and Bacteria. Gesunde Pflanz. 2023, 75, 2685–2696. [Google Scholar] [CrossRef]
- Cui, H.; Cheng, J.; Shen, L.; Zheng, X.; Zhou, J.; Zhou, J. Activation of endogenous cadmium from biochar under simulated acid rain enhances the accumulation risk of lettuce (Lactuca sativa L.). Ecotoxicol. Environ. Saf. 2023, 255, 114820. [Google Scholar] [CrossRef]
- Tang, W.; Liang, L.; Li, R.; Xie, Y.; Li, X.; Li, H.; Lin, L.; Huang, Z.; Sun, B.; Sun, G.; et al. Effects of exogenous melatonin on the growth and cadmium accumulation of lettuce under cadmium-stress conditions. Environ. Prog. Sustain. Energy 2023, 42, e14014. [Google Scholar] [CrossRef]
- Yin, X.; Wang, Y.; Wang, L.; Huang, H.; Zhou, C.; Ni, G. Reduced cadmium(Cd) accumulation in lettuce plants by applying KMnO4 modified water hyacinth biochar. Heliyon 2022, 8, e11304. [Google Scholar] [CrossRef]
- He, L.; Yu, Y.; Lin, J.; Hong, Z.; Dai, Z.; Liu, X.; Tang, C.; Xu, J. Alkaline lignin does not immobilize cadmium in soils but decreases cadmium accumulation in the edible part of lettuce (Lactuca sativa L.). Environ. Pollut. 2022, 310, 119879. [Google Scholar] [CrossRef] [PubMed]
- Liu, Q.; Huang, L.; Chen, Z.; Wen, Z.; Ma, L.; Wu, Y.; Liu, Y.; Feng, Y. Biochar and its combination with inorganic or organic amendment on growth, uptake and accumulation of cadmium on lettuce. J. Clean. Prod. 2022, 370, 133610. [Google Scholar] [CrossRef]
- Rivera, J.; Reyes, J.; Cuervo, J.; Martinez-Cordon, M.; Zamudio, A. Effect of biochar amendments on the growth and development of ‘Vera’ crisp lettuce in four soils contaminated with cadmium. Chil. J. Agric. Res. 2022, 82, 244–255. [Google Scholar] [CrossRef]
- Nunes, E.A.; Kiyota, E.; Lopez Andrade, S.A. Cadmium Accumulation in a Tropicalized Lettuce Variety Under Overfertilization Simulation. Clean. Soil Air Water 2022, 50, 2100065. [Google Scholar] [CrossRef]
- Tang, X.; Li, Q.; Wu, M.; Lin, L.; Scholz, M. Review of remediation practices regarding cadmium-enriched farmland soil with particular reference to China. J. Environ. Manag. 2016, 181, 646–662. [Google Scholar] [CrossRef]
- Li, Y.M.; Xu, X.N.; Suo, L.N.; Sun, Y.X.; Sun, N.; Liu, J.; Li, S.; Zou, G.; Liao, S. The Effects of Calcium and Sulfur Fertilizers Accompanied by Different Side Elements on the Growth and Cd Uptake of Spinacia oleracea Grown in Cd-Contaminated Alkaline Soil. Horticulturae 2023, 9, 835. [Google Scholar] [CrossRef]
- Huang, R.; Mao, P.; Xiong, L.; Qin, G.; Zhou, J.; Zhang, J.; Wu, J. Negatively charged nano-hydroxyapatite can be used as a phosphorus fertilizer to increase the efficacy of wollastonite for soil cadmium immobilization. J. Hazard. Mater. 2023, 443, 130291. [Google Scholar] [CrossRef]
- Ma, J.; Rehman, M.; Saleem, M.H.; Adrees, M.; Rizwan, M.; Javed, A.; Rafique, M.; Farooq, M. Effect of phosphorus sources on growth and cadmium accumulation in wheat under different soil moisture levels. Environ. Pollut. 2022, 311, 119977. [Google Scholar] [CrossRef]
- Hong, Y.K.; Kim, J.W.; Kim, H.S.; Yang, J.E.; Kim, S.C. The Synergetic Effect of Soil Amendments on Reducing Bioavailable Heavy Metals and Greenhouse Gas Emissions from Upland Soil. Agriculture 2022, 12, 246. [Google Scholar] [CrossRef]
- Ji, M.Y.; Wang, X.X.; Usman, M.; Liu, F.H.; Dan, Y.T.; Zhou, L.; Campanaro, S.; Luo, G.; Sang, W. Effects of different feedstocks-based biochar on soil remediation: A review. Environ. Pollut. 2022, 294, 118655. [Google Scholar] [CrossRef] [PubMed]
- Sánchez-Castro, I.; Molina, L.; Prieto-Fernández, M.A.; Segura, A. Past, present and future trends in the remediation of heavy-metal contaminated soil-Remediation techniques applied in real soil-contamination events. Heliyon 2023, 9, e16692. [Google Scholar] [CrossRef]
- Dıaz-Zorita, M. Effect of deep-tillage and nitrogen fertilization interactions on dryland corn (Zea mays L.) productivity. Soil Tillage Res. 2000, 54, 11–19. [Google Scholar] [CrossRef]
- Vittal, K.P.R.; Vijayalakshmi, K.; Rao, U.M.B. Effect of deep tillage on dryland crop production in red soils of India. Soil Tillage Res. 1983, 3, 377–384. [Google Scholar] [CrossRef]
- Wu, J.H.; Song, Q.M.; Wu, Y.X.; Liu, J.J.; Wu, Z.H.; Zhou, J.Y.; Wang, Y.; Wu, W. Application of phosphorus amendments reduces metal uptake and increases yield of Oryza saliva L. (rice) in Cd/Cu-contaminated paddy field. Chemosphere 2023, 318, 137875. [Google Scholar] [CrossRef] [PubMed]
- Wang, Y.Z.; Peng, X.Y.; Lai, L.Y.; Li, H.; Zhang, X.Y.; Chen, H.X.; Xie, L. Phosphorus fertilization regimes and rates alter Cd extractability in rhizospheric soils and uptake in maize (Zea mays L.). Chemosphere 2022, 298, 134288. [Google Scholar] [CrossRef] [PubMed]
- Liu, W.Y.; Gao, J.Y.; Wan, X.; Li, Q.; Fu, Q.L.; Zhu, J.; Hu, H. Effect of phosphorus fertilizer on phytoextraction using Ricinus communis L. in Cu and Cd co-contaminated soil. Int. J. Phytoremediat. 2023, 25, 822–831. [Google Scholar] [CrossRef]
- Tang, G.M.; Zhang, X.L.; Qi, L.L.; Li, L.; Guo, J.H.; Zhong, H.; Liu, J.; Huang, J. Nitrogen and Phosphorus Fertilizer Increases the Uptake of Soil Heavy Metal Pollutants by Plant Community. B Environ. Contam. Tox. 2022, 109, 1059–1066. [Google Scholar] [CrossRef]
- Maqbool, A.; Rizwan, M.; Yasmeen, T.; Arif, M.S.; Hussain, A.; Mansha, A.; Ali, S.; Alshaya, H.; Okla, M.K. Phosphorus Fertilizers Enhance the Phytoextraction of Cadmium through Solanum nigrum L. Plants 2022, 11, 236. [Google Scholar] [CrossRef] [PubMed]
- Yazici, M.A.; Asif, M.; Tutus, Y.; Ortas, I.; Ozturk, L.; Lambers, H.; Cakmak, I. Reduced root mycorrhizal colonization as affected by phosphorus fertilization is responsible for high cadmium accumulation in wheat. Plant Soil. 2021, 468, 19–35. [Google Scholar] [CrossRef]
- Cai, T.; Liu, J.; Liu, X.; Wei, X.; Du, H.; Tie, B. Spatial variation of agricultural soil Cd species and the nanohydroxyapatite resistance control in a typical small watershed. Chin. J. Ecol. 2019, 38, 2799–2804. [Google Scholar] [CrossRef]
- Ren, J.; Liao, Q.; Fan, J. Effectof in-situ stabilizing remediation of Cd-polluted soil by attapulgite. Ecol. Environ. Sci. 2017, 26, 2161–2168. [Google Scholar] [CrossRef]





Disclaimer/Publisher’s Note: The statements, opinions and data contained in all publications are solely those of the individual author(s) and contributor(s) and not of MDPI and/or the editor(s). MDPI and/or the editor(s) disclaim responsibility for any injury to people or property resulting from any ideas, methods, instructions or products referred to in the content. |
© 2024 by the authors. Licensee MDPI, Basel, Switzerland. This article is an open access article distributed under the terms and conditions of the Creative Commons Attribution (CC BY) license (https://creativecommons.org/licenses/by/4.0/).
Share and Cite
Zhang, J.; Hao, Y.; Xiong, G.; Tang, Q.; Tang, X. Impact of Physical Interventions, Phosphorus Fertilization, and the Utilization of Soil Amendments on the Absorption of Cadmium by Lettuce Grown in a Solar-Powered Greenhouse. Biology 2024, 13, 332. https://doi.org/10.3390/biology13050332
Zhang J, Hao Y, Xiong G, Tang Q, Tang X. Impact of Physical Interventions, Phosphorus Fertilization, and the Utilization of Soil Amendments on the Absorption of Cadmium by Lettuce Grown in a Solar-Powered Greenhouse. Biology. 2024; 13(5):332. https://doi.org/10.3390/biology13050332
Chicago/Turabian StyleZhang, Jun’an, Yingjun Hao, Guangsen Xiong, Quanzhong Tang, and Xiwang Tang. 2024. "Impact of Physical Interventions, Phosphorus Fertilization, and the Utilization of Soil Amendments on the Absorption of Cadmium by Lettuce Grown in a Solar-Powered Greenhouse" Biology 13, no. 5: 332. https://doi.org/10.3390/biology13050332
APA StyleZhang, J., Hao, Y., Xiong, G., Tang, Q., & Tang, X. (2024). Impact of Physical Interventions, Phosphorus Fertilization, and the Utilization of Soil Amendments on the Absorption of Cadmium by Lettuce Grown in a Solar-Powered Greenhouse. Biology, 13(5), 332. https://doi.org/10.3390/biology13050332

