Comparative Metabolomics and Transcriptome Studies of Two Forms of Rhododendron chrysanthum Pall. under UV-B Stress
Abstract
Simple Summary
Abstract
1. Introduction
2. Materials and Methods
2.1. Plant Material and Treatment
2.2. Detection of Physiological Indexes of Experimental Radiation Treatment of R. chrysanthum
2.3. Analyzing Metabolites Quantitatively and Qualitatively with GC–TOFMS
2.4. Analysis of Metabolite Data
2.5. RNA-Seq Library Construction and Sequencing
2.6. De Novo Assembly and Sequence Annotation
2.7. Differential Expressed Genetic Analysis
2.8. The Analysis of Statistical Data
3. Results
3.1. Metabolome Analysis of R. chrysanthum
3.2. Detection of Differential Metabolites (DMs) in R. chrysanthum in the Presence of UV-B
3.3. Exploration of UV-B−Responsive Metabolites in R. chrysanthum
3.4. Metabolic Pathways Enrichment Analysis
3.5. Transcriptomic Analysis of R. chrysanthum
3.6. Transcriptomic Analysis of the Regulatory Network of Potential UV-B Stress Biomarker in R. chrysanthum
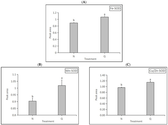
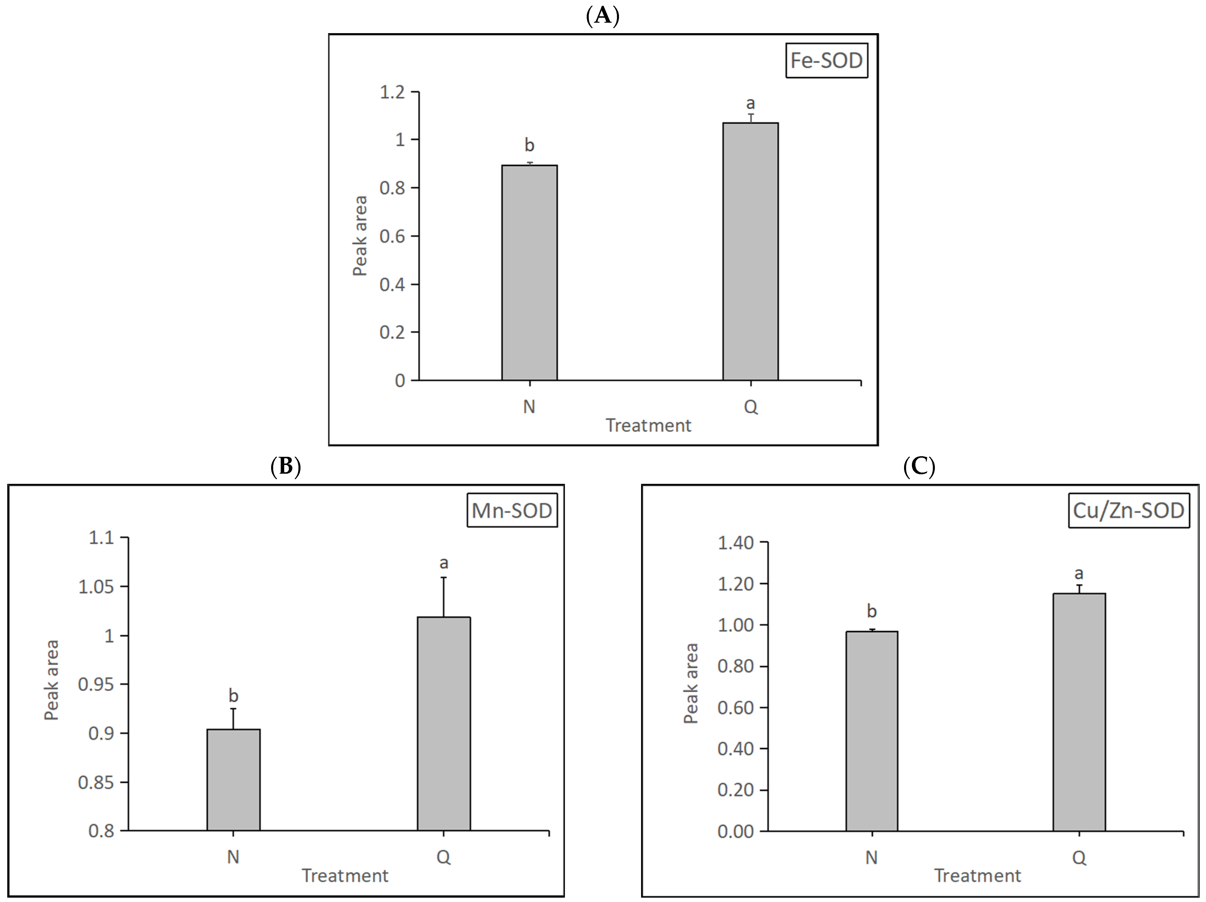
3.7. Changes in Physiology of Domesticated R. chrysanthum
4. Discussion
5. Conclusions
Author Contributions
Funding
Institutional Review Board Statement
Informed Consent Statement
Data Availability Statement
Acknowledgments
Conflicts of Interest
Abbreviations
| R. chrysanthum | Rhododendron chrysanthum Pall. |
| PAR | photosynthetic active radiation |
| GC–TOFMS | gas chromatography–time of flight mass spectrometry |
| RNA-seq | high-throughput RNA sequencing |
| BUSCO | Benchmarking Universal Single-Copy Orthologs |
| GO | Gene Ontology |
| KEGG | Kyoto Encyclopedia of Genes and Genomes |
| PCA | principal component analysis |
| PCC | Pearson’s correlation coefficient |
| DMs | differential metabolites |
| DEGs | differentially expressed genes |
| FC | Fold Change |
| FDR | false discovery rate |
| ALDH | aldehyde dehydrogenase |
| GPP | (DL)-glycerol-3-phosphatase |
| GPAT1_2 | glycer-ol-3-phosphate O-acyltransferase |
| plsC | 1-acyl-sn-glycerol-3-phosphate acyltransferase |
| DGK | diacylglycerol kinase |
| MGLL | acylglycerol lipase |
| TCA | tricarboxylic acid cycle |
| SOD | superoxide dismutase |
| FPKM | transcript fragments per kilobase per million mapped reads |
References
- Bais, A.F.; Bernhard, G.; McKenzie, R.L.; Aucamp, P.J.; Young, P.J.; Ilyas, M.; Jockel, P.; Deushi, M. Ozone-climate interactions and effects on solar ultraviolet radiation. Photochem. Photobiol. Sci. 2019, 18, 602–640. [Google Scholar] [CrossRef]
- Bais, A.F.; McKenzie, R.L.; Bernhard, G.; Aucamp, P.J.; Ilyas, M.; Madronich, S.; Tourpali, K. Ozone depletion and climate change: Impacts on UV radiation. Photochem. Photobiol. Sci. 2015, 14, 19–52. [Google Scholar] [CrossRef] [PubMed]
- Albert, K.R.; Mikkelsen, T.N.; Ro-Poulsen, H.; Michelsen, A.; Arndal, M.F.; Bredahl, L.; Håkansson, K.B.; Boesgaard, K.; Schmidt, N.M. Improved UV-B screening capacity does not prevent negative effects of ambient UV irradiance on PSII performance in High Arctic plants. Results from a six year UV exclusion study. J. Plant Physiol. 2010, 167, 1542–1549. [Google Scholar] [CrossRef]
- Hideg, E.; Jansen, M.A.; Strid, A. UV-B exposure, ROS, and stress: Inseparable companions or loosely linked associates? Trends Plant Sci. 2013, 18, 107–115. [Google Scholar] [CrossRef]
- Widel, M.; Krzywon, A.; Gajda, K.; Skonieczna, M.; Rzeszowska-Wolny, J. Induction of bystander effects by UVA, UVB, and UVC radiation in human fibroblasts and the implication of reactive oxygen species. Free Radic. Biol. Med. 2014, 68, 278–287. [Google Scholar] [CrossRef]
- Rastogi, R.P.; Richa; Kumar, A.; Tyagi, M.B.; Sinha, R.P. Molecular mechanisms of ultraviolet radiation-induced DNA damage and repair. J. Nucleic Acids 2010, 2010, 592980. [Google Scholar] [CrossRef]
- Cao, K.; Zhang, Z.; Fan, H.; Tan, Y.; Xu, H.; Zhou, X. Comparative transcriptomic analysis reveals gene expression in response to cold stress in Rhododendron aureum Georgi. Theor. Exp. Plant Physiol. 2022, 34, 347–366. [Google Scholar] [CrossRef]
- Gong, F.; Yu, W.; Zeng, Q.; Dong, J.; Cao, K.; Xu, H.; Zhou, X. Rhododendron chrysanthum’s Primary Metabolites Are Converted to Phenolics More Quickly When Exposed to UV-B Radiation. Biomolecules 2023, 13, 1700. [Google Scholar] [CrossRef] [PubMed]
- Sun, Q.; Zhou, X.; Yang, L.; Xu, H.; Zhou, X. Integration of Phosphoproteomics and Transcriptome Studies Reveals ABA Signaling Pathways Regulate UV-B Tolerance in Rhododendron chrysanthum Leaves. Genes 2023, 14, 1153. [Google Scholar] [CrossRef]
- Shu, J.; Ma, X.; Ma, H.; Huang, Q.; Zhang, Y.; Guan, M.; Guan, C. Transcriptomic, proteomic, metabolomic, and functional genomic approaches of Brassica napus L. during salt stress. PLoS ONE 2022, 17, e0262587. [Google Scholar] [CrossRef]
- Tian, H.; Lam, S.M.; Shui, G. Metabolomics, a Powerful Tool for Agricultural Research. Int. J. Mol. Sci. 2016, 17, 1871. [Google Scholar] [CrossRef]
- Barnes, P.W.; Tobler, M.A.; Keefover-Ring, K.; Flint, S.D.; Barkley, A.E.; Ryel, R.J.; Lindroth, R.L. Rapid modulation of ultraviolet shielding in plants is influenced by solar ultraviolet radiation and linked to alterations in flavonoids. Plant Cell Environ. 2016, 39, 222–230. [Google Scholar] [CrossRef]
- Palma, C.F.F.; Castro-Alves, V.; Rosenqvist, E.; Ottosen, C.O.; Strid, Å.; Morales, L.O. Effects of UV radiation on transcript and metabolite accumulation are dependent on monochromatic light background in cucumber. Physiol. Plant. 2021, 173, 750–761. [Google Scholar] [CrossRef]
- Wang, Q.W.; Liu, C.; Robson, T.M.; Hikosaka, K.; Kurokawa, H. Leaf density and chemical composition explain variation in leaf mass area with spectral composition among 11 widespread forbs in a common garden. Physiol. Plant. 2021, 173, 698–708. [Google Scholar] [CrossRef]
- Sun, Y.; Liu, Q.; Shang, S.; Chen, J.; Lu, P.; Zang, Y.; Tang, X. Physiological Responses and Metabonomics Analysis of Male and Female Sargassum thunbergii Macroalgae Exposed to Ultraviolet-B Stress. Front. Plant Sci. 2022, 13, 778602. [Google Scholar] [CrossRef] [PubMed]
- Zhou, X.; Lyu, J.; Sun, L.; Dong, J.; Xu, H. Metabolic programming of Rhododendron chrysanthum leaves following exposure to UVB irradiation. Funct. Plant Biol. 2021, 48, 1175–1185. [Google Scholar] [CrossRef]
- Lin, N.; Liu, X.; Zhu, W.; Cheng, X.; Wang, X.; Wan, X.; Liu, L. Ambient Ultraviolet B Signal Modulates Tea Flavor Characteristics via Shifting a Metabolic Flux in Flavonoid Biosynthesis. J. Agric. Food Chem. 2021, 69, 3401–3414. [Google Scholar] [CrossRef] [PubMed]
- Lyu, J.; Wang, C.; Liang, D.Y.; Liu, L.; Pandey, L.K.; Xu, H.W.; Zhou, X.F. Sensitivity of wild and domesticated Rhododendron chrysanthum to different light regime (UVA, UVB, and PAR). Photosynthetica 2019, 57, 841–849. [Google Scholar] [CrossRef]
- Kreslavski, V.D.; Strokina, V.V.; Khudyakova, A.Y.; Shirshikova, G.N.; Kosobryukhov, A.A.; Pashkovskiy, P.P.; Alwasel, S.; Allakhverdiev, S.I. Effect of high-intensity light and UV-B on photosynthetic activity and the expression of certain light-responsive genes in A. thaliana phyA and phyB mutants. Biochim. Biophys. Acta Bioenerg. 2021, 1862, 148445. [Google Scholar] [CrossRef] [PubMed]
- Dong, Z.; Chen, Y. Transcriptomics: Advances and approaches. Sci. China Life Sci. 2013, 56, 960–967. [Google Scholar] [CrossRef]
- Shaw, R.; Tian, X.; Xu, J. Single-Cell Transcriptome Analysis in Plants: Advances and Challenges. Mol. Plant 2021, 14, 115–126. [Google Scholar] [CrossRef]
- Tyagi, P.; Singh, D.; Mathur, S.; Singh, A.; Ranjan, R. Upcoming progress of transcriptomics studies on plants: An overview. Front. Plant Sci. 2022, 13, 1030890. [Google Scholar] [CrossRef]
- Li, W.; Chen, W.; Wu, D.; Zhang, Z.; Yang, Y.; Zhang, J. Understanding the promotion of heat treatment on the flavor of Lentinula edodes using metabolomics integrated with transcriptomics. Food Res. Int. 2022, 162, 112051. [Google Scholar] [CrossRef] [PubMed]
- Merrick, B.A.; London, R.E.; Bushel, P.R.; Grissom, S.F.; Paules, R.S. Platforms for biomarker analysis using high-throughput approaches in genomics, transcriptomics, proteomics, metabolomics, and bioinformatics. IARC Sci. Publ. 2011, 163, 121–142. [Google Scholar]
- Thomas, C.E.; Ganji, G. Integration of genomic and metabonomic data in systems biology—Are we ‘there’ yet? Curr. Opin. Drug Discov. Dev. 2006, 9, 92–100. [Google Scholar]
- Wang, J.; Lv, J.; Liu, Z.; Liu, Y.; Song, J.; Ma, Y.; Ou, L.; Zhang, X.; Liang, C.; Wang, F.; et al. Integration of Transcriptomics and Metabolomics for Pepper (Capsicum annuum L.) in Response to Heat Stress. Int. J. Mol. Sci. 2019, 20, 5042. [Google Scholar] [CrossRef]
- Sun, Q.; Liu, M.; Cao, K.; Xu, H.; Zhou, X. UV-B Irradiation to Amino Acids and Carbohydrate Metabolism in Rhododendron chrysanthum Leaves by Coupling Deep Transcriptome and Metabolome Analysis. Plants 2022, 11, 2730. [Google Scholar] [CrossRef]
- Gong, F.; Zhou, X.; Cao, K.; Xu, H.; Zhou, X. Analyses of the metabolism and assessment of antioxidant activity in Rhododendron chrysanthum Pall. after UV-B Irradiation. Plant Growth Regul. 2024. [Google Scholar] [CrossRef]
- Zhou, X.; Chen, S.; Wu, H.; Yang, Y.; Xu, H. Biochemical and proteomics analyses of antioxidant enzymes reveal the potential stress tolerance in Rhododendron chrysanthum Pall. Biol. Direct 2017, 12, 10. [Google Scholar] [CrossRef]
- Qiu, Y.; Cai, G.; Zhou, B.; Li, D.; Zhao, A.; Xie, G.; Li, H.; Cai, S.; Xie, D.; Huang, C.; et al. A distinct metabolic signature of human colorectal cancer with prognostic potential. Clin. Cancer Res. 2014, 20, 2136–2146. [Google Scholar] [CrossRef]
- Tang, H.; Zhang, X.; Gong, B.; Yan, Y.; Shi, Q. Proteomics and metabolomics analysis of tomato fruit at different maturity stages and under salt treatment. Food Chem. 2020, 311, 126009. [Google Scholar] [CrossRef]
- Xiong, Y.; Yan, P.; Du, K.; Li, M.; Xie, Y.; Gao, P. Nutritional component analyses of kiwifruit in different development stages by metabolomic and transcriptomic approaches. J. Sci. Food Agric. 2020, 100, 2399–2409. [Google Scholar] [CrossRef] [PubMed]
- Chen, Y.; Chen, Y.; Shi, C.; Huang, Z.; Zhang, Y.; Li, S.; Li, Y.; Ye, J.; Yu, C.; Li, Z.; et al. SOAPnuke: A MapReduce acceleration-supported software for integrated quality control and preprocessing of high-throughput sequencing data. Gigascience 2018, 7, gix120. [Google Scholar] [CrossRef] [PubMed]
- Grabherr, M.G.; Haas, B.J.; Yassour, M.; Levin, J.Z.; Thompson, D.A.; Amit, I.; Adiconis, X.; Fan, L.; Raychowdhury, R.; Zeng, Q.; et al. Full-length transcriptome assembly from RNA-Seq data without a reference genome. Nat. Biotechnol. 2011, 29, 644–652. [Google Scholar] [CrossRef] [PubMed]
- Langmead, B.; Salzberg, S.L. Fast gapped-read alignment with Bowtie 2. Nat. Methods 2012, 9, 357–359. [Google Scholar] [CrossRef] [PubMed]
- Li, B.; Dewey, C.N. RSEM: Accurate transcript quantification from RNA-Seq data with or without a reference genome. BMC Bioinform. 2011, 12, 323. [Google Scholar] [CrossRef] [PubMed]
- Love, M.I.; Huber, W.; Anders, S. Moderated estimation of fold change and dispersion for RNA-seq data with DESeq2. Genome Biol. 2014, 15, 550. [Google Scholar] [CrossRef] [PubMed]
- Yang, C.; Wang, X.; Zhang, J.; Li, N.; Wu, R.; Wang, T.; Ding, W. Comparative metabolomic analysis of different-colored hawthorn berries (Crataegus pinnatifida) provides a new interpretation of color trait and antioxidant activity. LWT 2022, 163, 113623. [Google Scholar] [CrossRef]
- Mckenzie, R.L.; Aucamp, P.J.; Bais, A.F.; Björn, L.; Ilyas, M.; Madronich, S. Environmental effects of ozone depletion and its interactions with climate change: 2002 assessment. Executive summary. Photochem. Photobiol. Sci. 2003, 2, 1–4. [Google Scholar]
- Maher, M.; Ahmad, H.; Nishawy, E.; Li, Y.; Luo, J. Novel Transcriptome Study and Detection of Metabolic Variations in UV-B-Treated Date Palm (Phoenix dactylifera cv. Khalas). Int. J. Mol. Sci. 2021, 22, 2564. [Google Scholar] [CrossRef]
- Jansen, M.A.K.; Gaba, V.; Greenberg, B.M. Higher plants and UV-B radiation: Balancing damage, repair and acclimation. Trends Plant Sci. 1998, 3, 131–135. [Google Scholar] [CrossRef]
- Teramura, A.H.; Sullivan, J.H. Effects of UV-B radiation on photosynthesis and growth of terrestrial plants. Photosynth. Res. 1994, 39, 463–473. [Google Scholar] [CrossRef] [PubMed]
- Martínez-Lüscher, J.; Torres, N.; Hilbert, G.; Richard, T.; Sánchez-Díaz, M.; Delrot, S.; Aguirreolea, J.; Pascual, I.; Gomès, E. Ultraviolet-B radiation modifies the quantitative and qualitative profile of flavonoids and amino acids in grape berries. Phytochemistry 2014, 102, 106–114. [Google Scholar] [CrossRef] [PubMed]
- Singh, S.; Agrawal, S.B.; Agrawal, M. Responses of pea plants to elevated UV-B radiation at varying nutrient levels: N-metabolism, carbohydrate pool, total phenolics and yield. Funct Plant Biol 2015, 42, 1045–1056. [Google Scholar] [CrossRef] [PubMed]
- Yoon, J.; Cho, L.H.; Tun, W.; Jeon, J.S.; An, G. Sucrose signaling in higher plants. Plant Sci. 2021, 302, 110703. [Google Scholar] [CrossRef] [PubMed]
- Hu, T.; Hu, L.; Zhang, X.; Zhang, P.; Zhao, Z.; Fu, J. Differential responses of CO2 assimilation, carbohydrate allocation and gene expression to NaCl stress in perennial ryegrass with different salt tolerance. PLoS ONE 2013, 8, e66090. [Google Scholar] [CrossRef]
- Savitch, L.V.; Leonardos, E.D.; Krol, M.; Jansson, S.; Grodzinski, B.; Huner, N.P.A.; Öquist, G. Two different strategies for light utilization in photosynthesis in relation to growth and cold acclimation. Plant Cell Environ. 2002, 25, 761–771. [Google Scholar] [CrossRef]
- Qiu, C.; Sun, J.; Shen, J.; Zhang, S.; Ding, Y.; Gai, Z.; Fan, K.; Song, L.; Chen, B.; Ding, Z.; et al. Fulvic acid enhances drought resistance in tea plants by regulating the starch and sucrose metabolism and certain secondary metabolism. J. Proteom. 2021, 247, 104337. [Google Scholar] [CrossRef]
- Hou, X.; Qi, N.; Wang, C.; Li, C.; Huang, D.; Li, Y.; Wang, N.; Liao, W. Hydrogen-rich water promotes the formation of bulblets in Lilium davidii var. unicolor through regulating sucrose and starch metabolism. Planta 2021, 254, 106. [Google Scholar] [CrossRef]
- Kumar, R.; Mukherjee, S.; Ayele, B.T. Molecular aspects of sucrose transport and its metabolism to starch during seed development in wheat: A comprehensive review. Biotechnol. Adv. 2018, 36, 954–967. [Google Scholar] [CrossRef]
- Dong, S.; Beckles, D.M. Dynamic changes in the starch-sugar interconversion within plant source and sink tissues promote a better abiotic stress response. J. Plant Physiol. 2019, 234–235, 80–93. [Google Scholar] [CrossRef] [PubMed]
- MacNeill, G.J.; Mehrpouyan, S.; Minow, M.A.A.; Patterson, J.A.; Tetlow, I.J.; Emes, M.J. Starch as a source, starch as a sink: The bifunctional role of starch in carbon allocation. J. Exp. Bot. 2017, 68, 4433–4453. [Google Scholar] [CrossRef]
- Mookerjee, S.A.; Gerencser, A.A.; Nicholls, D.G.; Brand, M.D. Quantifying intracellular rates of glycolytic and oxidative ATP production and consumption using extracellular flux measurements. J. Biol. Chem. 2017, 292, 7189–7207. [Google Scholar] [CrossRef] [PubMed]
- Akram, M. Citric acid cycle and role of its intermediates in metabolism. Cell Biochem. Biophys. 2014, 68, 475–478. [Google Scholar] [CrossRef] [PubMed]
- Zhang, X.; Ding, X.; Ji, Y.; Wang, S.; Chen, Y.; Luo, J.; Shen, Y.; Peng, L. Measurement of metabolite variations and analysis of related gene expression in Chinese liquorice (Glycyrrhiza uralensis) plants under UV-B irradiation. Sci. Rep. 2018, 8, 6144. [Google Scholar] [CrossRef]
- Galili, G. The aspartate-family pathway of plants: Linking production of essential amino acids with energy and stress regulation. Plant Signal. Behav. 2011, 6, 192–195. [Google Scholar] [CrossRef]
- Zhu, X.; Galili, G. Increased lysine synthesis coupled with a knockout of its catabolism synergistically boosts lysine content and also transregulates the metabolism of other amino acids in Arabidopsis seeds. Plant Cell 2003, 15, 845–853. [Google Scholar] [CrossRef]
- Yang, B.; Wang, X.; Gao, C.; Chen, M.; Guan, Q.; Tian, J.; Komatsu, S. Proteomic and Metabolomic Analyses of Leaf from Clematis terniflora DC. Exposed to High-Level Ultraviolet-B Irradiation with Dark Treatment. J. Proteome Res. 2016, 15, 2643–2657. [Google Scholar] [CrossRef]
- Alscher, R.G.; Erturk, N.; Heath, L.S. Role of superoxide dismutases (SODs) in controlling oxidative stress in plants. J. Exp. Bot. 2002, 53, 1331–1341. [Google Scholar] [CrossRef]
- Kasote, D.M.; Katyare, S.S.; Hegde, M.V.; Bae, H. Significance of antioxidant potential of plants and its relevance to therapeutic applications. Int. J. Biol. Sci. 2015, 11, 982–991. [Google Scholar] [CrossRef]
- Sato, S. Application of Glyceric Acid to Bio-related Functional Materials and Improvement of Microbial Production. J. Oleo Sci. 2021, 70, 289–295. [Google Scholar] [CrossRef] [PubMed]
- Eriksson, C.J.; Saarenmaa, T.P.; Bykov, I.L.; Heino, P.U. Acceleration of ethanol and acetaldehyde oxidation by D-glycerate in rats. Metabolism 2007, 56, 895–898. [Google Scholar] [CrossRef]
- Sato, S.; Kitamoto, D.; Habe, H. In vitro evaluation of glyceric acid and its glucosyl derivative, α-glucosylglyceric acid, as cell proliferation inducers and protective solutes. Biosci. Biotechnol. Biochem. 2014, 78, 1183–1186. [Google Scholar] [CrossRef]
- Lin, Y.C.; Tsay, Y.F. The glycerate transporter NPF8.4 links photorespiration and nitrogen flux in plants. Nat. Plants 2023, 9, 693–694. [Google Scholar] [CrossRef]
- Igamberdiev, A.U.; Kleczkowski, L.A. The Glycerate and Phosphorylated Pathways of Serine Synthesis in Plants: The Branches of Plant Glycolysis Linking Carbon and Nitrogen Metabolism. Front. Plant Sci. 2018, 9, 318. [Google Scholar] [CrossRef] [PubMed]













| DMS Type | Class | Name | KEGG ID | p Value | FC | Type |
|---|---|---|---|---|---|---|
| UV-B-responsive metabolites | Alcohols | 2-Hydroxypyridine | C02502 | 0.081 | 1.328 | up |
| Amino Acid | L-Tyrosine | C00082 | 0.0019 | 2.081 | up | |
| Amino Acid | 3-Nitrotyrosine | NA | 0.0077 | 0.149 | down | |
| Amino Acid | L-Serine | C00065 | 0.021 | 3.151 | up | |
| Amino Acid | 3-Aminoisobutanoic acid | C05145 | 0.022 | 2.037 | up | |
| Amino Acid | 3-Oxoalanine | NA | 0.026 | 1.431 | up | |
| Amino Acid | L-Methionine | C00073 | 0.031 | 0.646 | down | |
| Amino Acid | N-Acetyl-L-aspartic acid | C01042 | 0.042 | 2.207 | up | |
| Amino Acid | Homocysteine | NA | 0.06 | 1.598 | up | |
| Carbohydrates | Lactulose | C07064 | 0.034 | 2.285 | up | |
| Carbohydrates | D-Glucose | C00031 | 0.059 | 0.596 | down | |
| Carbohydrates | L-Arabitol | C00532 | 0.08 | 2.245 | up | |
| Fatty Acids | Palmitoleic acid | C08362 | 0.007 | 0.466 | down | |
| Fatty Acids | Myristoleic acid | C08322 | 0.02 | 2.057 | up | |
| Hormone | Normetanephrine | C05589 | 0.028 | 2.103 | up | |
| Indoles | Indoleacetic acid | C00954 | 0.00053 | 0.288 | down | |
| Lipids | Phytol | C01389 | 0.0026 | 0.52 | down | |
| Lipids | Cortisol | C00735 | 0.036 | 1.563 | up | |
| Lipids | MG182 | NA | 0.075 | 2.398 | up | |
| Nucleotide | Uridine | C00299 | 0.026 | 16.377 | up | |
| Nucleotide | Guanine | C00242 | 0.074 | 0.394 | down | |
| Vitamin | Alpha-Tocopherol | C02477 | 0.096 | 2.113 | up | |
| Organic Acids | Fumaric acid | C00122 | 0.033 | 1.57 | up | |
| Organic Acids | Maleic acid | C01384 | 0.035 | 1.91 | up | |
| Organic Acids | 3-Pyridylacetic acid | NA | 0.048 | 1.963 | up | |
| Organic Acids | 3-Hydroxybutyric acid | C01089 | 0.09 | 5.289 | up | |
| Potential UV-B stress biomarker | Organic Acids | Glyceric acid | C00258 | 0.0078 | 1.833 | up |
| ID | Pathway Name | Total | Expected | Hits | p Value | FDR |
|---|---|---|---|---|---|---|
| map00250 | Alanine, aspartate, and glutamate metabolism | 28 | 0.529 | 5 | 0.0001 | 0.00771 |
| map00970 | Aminoacyl-tRNA biosynthesis | 48 | 0.906 | 6 | 0.0002 | 0.00771 |
| map00270 | Cysteine and methionine metabolism | 33 | 0.623 | 5 | 0.0003 | 0.00771 |
| map00260 | Glycine, Serine, and threonine metabolism | 33 | 0.623 | 3 | 0.0226 | 0.459 |
| map00524 | Neomycin, kanamycin, and gentamicin biosynthesis | 2 | 0.0378 | 1 | 0.0374 | 0.459 |
| map00350 | Tyrosine metabolism | 42 | 0.793 | 3 | 0.0424 | 0.459 |
| map00040 | Pentose and glucuronate interconversions | 18 | 0.34 | 2 | 0.0437 | 0.459 |
| map00500 | Starch and sucrose metabolism | 18 | 0.34 | 2 | 0.0437 | 0.459 |
| Sample | Total Raw Reads (M) | Total Clean Reads (M) | Total Clean Bases (Gb) | Clean Reads Q20 (%) | Clean Reads Q30 (%) | Clean Reads Ratio (%) |
|---|---|---|---|---|---|---|
| A1 | 45.44 | 42.21 | 6.33 | 97.75 | 93.39 | 92.89 |
| A2 | 45.44 | 43.29 | 6.49 | 97.58 | 92.93 | 95.27 |
| A3 | 45.44 | 43.25 | 6.49 | 97.52 | 92.75 | 95.19 |
| B1 | 45.44 | 43.07 | 6.46 | 97.67 | 93.22 | 94.8 |
| B2 | 45.44 | 43.51 | 6.53 | 97.44 | 92.56 | 95.76 |
| B3 | 45.44 | 42.98 | 6.45 | 97.67 | 93.21 | 94.6 |
| C1 | 43.69 | 42.21 | 6.33 | 97.66 | 93.14 | 96.61 |
| C2 | 45.44 | 43.23 | 6.49 | 97.73 | 93.36 | 95.15 |
| C3 | 45.44 | 42.87 | 6.43 | 97.65 | 93.09 | 94.35 |
| Gene Annotation | Gene ID | log2(FC) | A FPKM | B FPKM | Type |
|---|---|---|---|---|---|
| ALDH | TRINITY_DN520_c2_g1_i1-C_3 | 1.39 | 23.596 | 64.31 | up |
| GPP | TRINITY_DN27872_c0_g1_i1-A_1 | −0.63 | 21.456 | 14.18 | down |
| GPAT1_2 | TRINITY_DN4514_c1_g1_i1-A_1 | −1.38 | 31.313 | 12.516 | down |
| plsC | TRINITY_DN1355_c0_g1_i2-C_2 | 5.15 | 1.813 | 64.5 | up |
| TRINITY_DN16060_c0_g1_i1-C_1 | −4.32 | 44.256 | 2.126 | down | |
| TRINITY_DN2585_c0_g1_i1-A_1 | −1.17 | 38.766 | 17.896 | down | |
| TRINITY_DN3143_c1_g5_i1-B_2 | 4.44 | 0.136 | 3.01 | up | |
| TRINITY_DN614_c0_g1_i4-C_1 | −0.56 | 85.326 | 59.55 | down | |
| TRINITY_DN716_c0_g1_i3-B_2 | 9.33 | 0.266 | 172.753 | up | |
| DGK | TRINITY_DN3436_c0_g2_i2-B_3 | 1.30 | 1.5 | 3.713 | up |
| TRINITY_DN533_c0_g1_i1-C_2 | 1.16 | 3.32 | 7.61 | up | |
| MGLL | TRINITY_DN1203_c0_g1_i3-C_1 | −6.03 | 1.806 | 0.046 | down |
| TRINITY_DN1835_c0_g1_i4-A_1 | −4.69 | 12.776 | 0.513 | down | |
| TRINITY_DN2014_c0_g1_i2-C_2 | −5.03 | 5.506 | 0.183 | down |
Disclaimer/Publisher’s Note: The statements, opinions and data contained in all publications are solely those of the individual author(s) and contributor(s) and not of MDPI and/or the editor(s). MDPI and/or the editor(s) disclaim responsibility for any injury to people or property resulting from any ideas, methods, instructions or products referred to in the content. |
© 2024 by the authors. Licensee MDPI, Basel, Switzerland. This article is an open access article distributed under the terms and conditions of the Creative Commons Attribution (CC BY) license (https://creativecommons.org/licenses/by/4.0/).
Share and Cite
Yu, W.; Gong, F.; Zhou, X.; Xu, H.; Lyu, J.; Zhou, X. Comparative Metabolomics and Transcriptome Studies of Two Forms of Rhododendron chrysanthum Pall. under UV-B Stress. Biology 2024, 13, 211. https://doi.org/10.3390/biology13040211
Yu W, Gong F, Zhou X, Xu H, Lyu J, Zhou X. Comparative Metabolomics and Transcriptome Studies of Two Forms of Rhododendron chrysanthum Pall. under UV-B Stress. Biology. 2024; 13(4):211. https://doi.org/10.3390/biology13040211
Chicago/Turabian StyleYu, Wang, Fushuai Gong, Xiangru Zhou, Hongwei Xu, Jie Lyu, and Xiaofu Zhou. 2024. "Comparative Metabolomics and Transcriptome Studies of Two Forms of Rhododendron chrysanthum Pall. under UV-B Stress" Biology 13, no. 4: 211. https://doi.org/10.3390/biology13040211
APA StyleYu, W., Gong, F., Zhou, X., Xu, H., Lyu, J., & Zhou, X. (2024). Comparative Metabolomics and Transcriptome Studies of Two Forms of Rhododendron chrysanthum Pall. under UV-B Stress. Biology, 13(4), 211. https://doi.org/10.3390/biology13040211

