Comparison of Environmental DNA Metabarcoding and a Traditional Survey Method for Assessing Fish Diversity and Distribution Along Salinity Gradient in an Urban Brackish Reservoir, China
Simple Summary
Abstract
1. Introduction
2. Materials and Methods
2.1. Study Area and Sample Location
2.2. Sampling Collection for Traditional Method
2.3. Sampling Collection and Analyses for eDNA
2.4. Community Data Collection and Analyses
2.4.1. Species Richness
2.4.2. The Relative Abundance
2.4.3. Diversity Index
2.4.4. Body Length and Weight of Fish
2.5. Statistical Analyses
3. Results
3.1. Community Profile in the Xinglinwan Reservoir
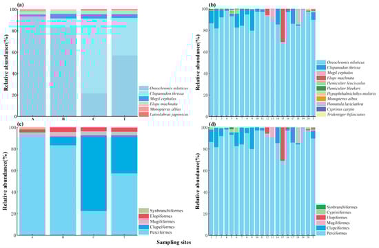
3.2. Relative Abundance and Diversity
3.3. Body Length and Weight Characteristics of Fish
4. Discussion
4.1. Fish Community Characteristics in the Xinglinwan Reservoir
4.2. Fish Community Assessment with eDNA in Lentic Brackish Waters
5. Conclusions
Supplementary Materials
Author Contributions
Funding
Institutional Review Board Statement
Informed Consent Statement
Data Availability Statement
Acknowledgments
Conflicts of Interest
Abbreviations
References
- Zhang, S.; Lu, Q.; Wang, Y.; Wang, X.; Zhao, J.; Yao, M. Assessment of fish communities using environmental DNA: Effect of spatial sampling design in lentic systems of different sizes. Mol. Ecol. Resour. 2020, 20, 242–255. [Google Scholar] [CrossRef] [PubMed]
- Goertzen, D.; Schneider, A.K.; Eggers, T.O.; Suhling, F. Temporal changes of biodiversity in urban running waters—Results of a twelve-year monitoring study. Basic Appl. Ecol. 2022, 58, 74–87. [Google Scholar] [CrossRef]
- Qiu, L.H.; Ji, F.F.; Qiu, Y.H.; Xie, H.Y.; Li, G.Y.; Shen, J.Z. Water-Level Fluctuation Control of the Trophic Structure of a Yangtze River Oxbow. Biology 2023, 12, 1359. [Google Scholar] [CrossRef] [PubMed]
- García-Machado, E.; Laporte, M.; Normandeau, E.; Hernández, C.; Côté, G.; Paradis, Y.; Mingelbier, M.; Bernatchez, L. Fish community shifts along a strong fluvial environmental gradient revealed by eDNA metabarcoding. Environ. DNA 2022, 4, 117–134. [Google Scholar] [CrossRef]
- Zou, K.; Chen, J.; Ruan, H.; Li, Z.; Guo, W.; Li, M.; Liu, L. eDNA metabarcoding as a promising conservation tool for monitoring fish diversity in a coastal wetland of the Pearl River Estuary compared to bottom trawling. Sci. Total Environ. 2020, 702, 134704. [Google Scholar] [CrossRef]
- Ji, F.F.; Han, D.Y.; Yan, L.; Yan, S.H.; Zha, J.M.; Shen, J.Z. Assessment of benthic invertebrate diversity and river ecological status along an urbanized gradient using environmental DNA metabarcoding and a traditional survey method. Sci. Total Environ. 2022, 806, 150587. [Google Scholar] [CrossRef]
- Sahu, A.; Kumar, N.; Singh, C.P.; Singh, M. Environmental DNA (eDNA): Powerful technique for biodiversity conservation. J. Nat. Conserv. 2023, 71, 126325. [Google Scholar] [CrossRef]
- Shaw, J.L.A.; Clarke, L.J.; Wedderburn, S.D.; Barnes, T.C.; Weyrich, L.S.; Cooper, A. Comparison of environmental DNA metabarcoding and conventional fish survey methods in a river system. Biol. Conserv. 2016, 197, 131–138. [Google Scholar] [CrossRef]
- Blabolil, P.; Harper, L.R.; Říčanová, Š.; Sellers, G.; DiMuri, C.; Jůza, T.; Vašek, M.; Sajdlová, Z.; Rychtecký, P.; Znachor, P.; et al. Environmental DNA metabarcoding uncovers environmental correlates of fish communities in spatially heterogeneous freshwater habitats. Ecol. Indic. 2021, 126, 107698. [Google Scholar] [CrossRef]
- Lawson Handley, L.; Read, D.S.; Winfield, I.J.; Kimbell, H.; Johnson, H.; Li, J.; Hahn, C.; Blackman, R.; Wilcox, R.; Donnelly, R.; et al. Temporal and spatial variation in distribution of fish environmental DNA in England’s largest lake. Environ. DNA 2019, 1, 26–39. [Google Scholar] [CrossRef]
- Nguyen, B.N.; Shen, E.W.; Seemann, J.; Correa, A.M.S.; O’Donnell, J.L.; Altieri, A.H.; Knowlton, N.; Crandall, K.A.; Egan, S.P.; McMillan, W.O.; et al. Environmental DNA survey captures patterns of fish and invertebrate diversity across a tropical seascape. Sci. Rep. 2020, 10, 6729. [Google Scholar] [CrossRef] [PubMed]
- Oka, S.I.; Doi, H.; Miyamoto, K.; Hanahara, N.; Sado, T.; Miya, M. Environmental DNA metabarcoding for biodiversity monitoring of a highly diverse tropical fish community in a coral reef lagoon: Estimation of species richness and detection of habitat segregation. Environ. DNA 2021, 3, 55–69. [Google Scholar] [CrossRef]
- Van, D.C.; Everts, T.; Neyrinck, S.; Halfmaerten, D.; Haegeman, A.; Ruttink, T.; Bonte, D.; Brys, R. Using environmental DNA metabarcoding to monitor fish communities in small rivers and large brooks: Insights on the spatial scale of information. Environ. Res. 2023, 228, 115857. [Google Scholar]
- Cheng, R.; Luo, Y.; Li, Q.; Zhang, Y.; Liu, Z.; Chen, Q.; Li, Y.; Shen, Y. Application of eDNA metabarcoding for monitoring the fish diversity of the Jiang to Fuling section of the upper reaches of the Yangtze River. Hydrobiologia 2023, 850, 4067–4088. [Google Scholar] [CrossRef]
- Gu, S.; Deng, Y.; Wang, P.; Li, C.; Shi, D.; Wang, S. Assessing riverine fish community diversity and stability by eDNA metabarcoding. Ecol. Indic. 2023, 157, 111222. [Google Scholar] [CrossRef]
- Luo, A.Q.; Chen, H.H.; Gao, X.F.; Carvalho, L.; Zhang, H.T.; Yang, J. The impact of rainfall events on dissolved oxygen concentrations in a subtropical urban reservoir. Environ. Res. 2024, 244, 117856. [Google Scholar] [CrossRef]
- Yan, X.; Li, S.Z.; Al, M.A.; Mo, Y.Y.; Zuo, J.; Grossart, H.P.; Zhang, H.T.; Yang, Y.G.; Jeppesen, E.; Yang, J. Community stability of free-living and particle-attached bacteria in a subtropical reservoir with salinity fluctuations over 3 years. Water Res. 2024, 20, 121344. [Google Scholar] [CrossRef]
- Peng, F.; Guo, Y.Y.; Isabwe, A.; Chen, H.H.; Wang, Y.M.; Zhang, Y.P.; Zhu, Z.X.; Yang, J. Urbanization drives riverine bacterial antibiotic resistome more than taxonomic community at watershed scale. Environ. Int. 2020, 137, 105524. [Google Scholar] [CrossRef]
- Yang, Y.G.; Chen, H.H.; Abdullah Al, M.; Ndayishimiye, J.C.; Yang, J.R.; Isabwe, A.; Luo, A.Q.; Yang, J. Urbanization reduces resource use efficiency of phytoplankton community by altering the environment and decreasing biodiversity. J. Environ. Sci. 2022, 112, 140–151. [Google Scholar] [CrossRef]
- Luo, A.Q.; Chen, H.H.; Gao, X.F.; Carvalho, L.; Xue, Y.; Jin, L.; Yang, J. Short-term rainfall limits cyanobacterial bloom formation in a shallow eutrophic subtropical urban reservoir in warm season. Sci. Total. Environ. 2022, 827, 154172. [Google Scholar] [CrossRef]
- SL167-1996; Standard for the Investigation of Reservoir Fishery Resources. Ministry of Water Resources, People’s Republic of China: Beijing, China, 1996.
- Galacatos, K.; Barriga-Salazar, R.; Stewart, D.J. Seasonal and habitat influences on fish communities within the lower yasuni river basin of the Ecuadorian Amazon. Environ. Biol. Fish. 2004, 71, 33–51. [Google Scholar] [CrossRef]
- Qiu, L.H.; Ji, F.F.; Qiu, Y.H.; Zhang, S.F.; Shen, J.Z.; Gong, C.; Xu, Y.C. Evolution of fish community structure, cause analysis and implications for ex-situ conservation of Yangtze finless porpoise in Tian-e-Zhou Oxbow of Yangtze River. J. Lake Sci. 2023, 35, 950–960. [Google Scholar]
- Cilleros, K.; Valentini, A.; Allard, L.; Dejean, T.; Etienne, R.; Grenouillet, G.; Iribar, A.; Taberlet, P.; Vigouroux, R.; Brosse, S. Unlocking biodiversity and conservation studies in high-diversity environments using environmental DNA (eDNA): A test with Guianese freshwater fishes. Mol. Ecol. Resour. 2019, 19, 27–46. [Google Scholar] [CrossRef] [PubMed]
- Evans, N.T.; Olds, B.P.; Renshaw, M.A.; Turner, C.R.; Li, Y.Y.; Jerde, C.L.; Mahon, A.R.; Pfrender, M.E.; Lamberti, G.A.; Lodge, D.M. Quantification of mesocosm fish and amphibian species diversity via environmental DNA metabarcoding. Mol. Ecol. Resour. 2016, 16, 29–41. [Google Scholar] [CrossRef] [PubMed]
- Magoč, T.; Salzberg, S.L. FLASH: Fast length adjustment of short reads to improve genome assemblies. Bioinformatics 2011, 27, 2957–2963. [Google Scholar] [CrossRef]
- Edgar, R.C. UPARSE: Highly accurate OTU sequences from microbial amplicon reads. Nat. Methods 2013, 10, 996–998. [Google Scholar] [CrossRef]
- Wang, Q.; Garrity, G.M.; Tiedje, J.M.; Cole, J.R. Naive Bayesian classifier for rapid assignment of rRNA sequences into the new bacterial taxonomy. Appl. Environ. Microbiome 2007, 73, 5261–5267. [Google Scholar] [CrossRef]
- Gibson, J.; Shokralla, S.; Porter, T.M.; King, I.; Van Konynenburg, S.; Janzen, D.; Hallwachs, W.; Hajibabaei, M. Simultaneous assessment of the macrobiome and microbiome in a bulk sample of tropical arthropods through DNA meta systematics. Proc. Natl. Acad. Sci. USA 2014, 111, 8007–8012. [Google Scholar] [CrossRef]
- Li, J.H.; Chen, X.C.; Zhang, X.L.; Huang, Z.J.; Xiao, L.; Huang, L.G.; Kano, Y.C.; Sato, T.; Shimatani, Y.; Zhang, C.P. Fish biodiversity conservation and restoration, yangtze river basin, china, urgently needs ‘scientific’ and ‘ecological’ action. Water 2020, 12, 3043. [Google Scholar] [CrossRef]
- Margalef, D.R. Information theory necology. Genes Genet. Syst. 1957, 3, 36–71. [Google Scholar]
- Schannon, C.E.; Weaver, W. The Mathematical Theory of Communication URBANA; University of Illinois Press: Champaign, IL, USA, 1949; p. 284. [Google Scholar]
- Pielou, E.C. The measurement of diversity in different types of biological collections. J. Theor. Biol. Forum 1966, 13, 131–144. [Google Scholar] [CrossRef]
- Thomsen, P.F.; Kielgast, J.; Iversen, L.L.; Møller, P.R.; Rasmussen, M.; Willerslev, E. Detection of a diverse marine fish fauna using environmental DNA from seawater samples. PLoS ONE 2012, 7, e41732. [Google Scholar] [CrossRef] [PubMed]
- Ma, X.H.; Yang, H.W.; Zhong, X.; Zeng, P.; Zhou, X.J.; Zeng, S.; Dong, X.H.; Min, W.; Huang, F.J. eDNA metabarcoding analysis of the composition and spatial patterns of fish communities in the Sanbanxi Reservoir, China. Sustainability 2022, 14, 12966. [Google Scholar] [CrossRef]
- Hao, L.; Gu, K.D.; Zhou, Y.; An, J.A.; Hu, W.J.; Wu, Z.X.; Shao, J.Q.; Pan, J.Y.; He, G.X.; Liu, Q.G.; et al. Comparing diversity and structure of freshwater fish assemblages using environmental DNA and gillnetting methods: A case study of a large deep reservoir in East China. Ecol. Indic. 2024, 166, 112538. [Google Scholar] [CrossRef]
- Yuan, J.J.; Wen, J.; Kong, Q.H.; Zhou, X.J. Study on Fish Species Diversity in the Pingzhai Reservoir Based on Environmental DNA Technology. Fishes 2024, 9, 382. [Google Scholar] [CrossRef]
- Canonico, G.C.; Arthington, A.; McCrary, J.K.; Thieme, M.L. The effects of introduced tilapias on native biodiversity. Quat. Conserv. 2005, 15, 463–483. [Google Scholar] [CrossRef]
- Martin, C.W.; Valentine, M.M.; Valentine, J.E. Competitive interactions between invasive Nile tilapia and native fish: The potential for altered trophic exchange and modification of food webs. PLoS ONE 2010, 5, e14395. [Google Scholar] [CrossRef]
- Vicente, I.S.T.; Fonseca-Alves, C.E. Impact of introduced Nile tilapia (Oreochromis niloticus) on non-native aquatic ecosystems. Pak. J. Biol. Sci. 2013, 16, 121–126. [Google Scholar] [CrossRef]
- Russell, D.; Thuesen, P.; Thomson, F. A review of the biology, ecology, distribution and control of Mozambique tilapia, Oreochromis mossambicus (Peters 1852) (Pisces: Cichlidae) with particular emphasis on invasive Australian populations. Rev. Fish. Biol. Fisher. 2012, 22, 533–554. [Google Scholar] [CrossRef]
- Gu, D.E.; Ma, G.M.; Zhu, Y.J.; Xu, M.; Luo, D.; Li, Y.Y.; Hu, Y.C. The impacts of invasive Nile tilapia (Oreochromis niloticus) on the fisheries in the main rivers of Guangdong Province, China. Biochem. Syst. Ecol. 2015, 59, 1–7. [Google Scholar] [CrossRef]
- Shuai, F.; Li, X.; Liu, Q.; Zhu, S.; Wu, Z.; Zhang, Y. Nile tilapia (Oreochromis niloticus) invasions disrupt the functional patterns of fish community in a large subtropical river in China. Fisheries Manag. Ecol. 2019, 26, 578–589. [Google Scholar] [CrossRef]
- Tu, C.L.; Chen, H.H.; Wu, L.B.; Yu, H.J.; Huang, Y.C. Comparison of immune factors in Nile tilapia under three ecological environments. Aquat. Sci. 2016, 35, 583–586. [Google Scholar]
- Song, M.J.; Liu, X.S.; Deng, B.; Fei, Y.; Duo, C.; Sun, W.; Chen, Y.H.; Gao, P.F.; Wang, Z.Y.; Chen, Y.Y. Investigation of Tilapia in Ertan Reservoir Area of Yalong River. J. Anhui Agr. Sci. 2023, 8, 51. [Google Scholar]
- Gibson, T.I.; Carvalho, G.; Ellison, A.; Gargiulo, E.; Hatton-Ellis, T.; Lawson-Handley, L.; Mariani, S.; Collins, R.A.; Sellers, G.; Distaso, M.A.; et al. Environmental DNA metabarcoding for fish diversity assessment in a macrotidal estuary: A comparison with established fish survey methods. Estuar. Coast. Shelf Sci. 2023, 294, 108522. [Google Scholar] [CrossRef]
- Spear, M.J.; Embke, H.S.; Krysan, P.J.; Vander Zanden, M.J. Application of eDNA as a tool for assessing fish population abundance. Environ. DNA 2021, 3, 83–91. [Google Scholar] [CrossRef]




| Species | Genus | Family | Order | eDNA | TSM |
|---|---|---|---|---|---|
| Oreochromis niloticus | Oreochromis | Cichlidae | Perciformes | + | + |
| Clupanodon thrissa | Clupanodon | Clupeidae | Clupeiformes | + | + |
| Mugil cephalus | Mugil | Mugilidae | Mugiliformes | + | + |
| Megalops cyprinoides | Megalops | Megalopidae | Elopiformes | + | + |
| Monopterus albus | Monopterus | Synbranchidae | Synbranchiformes | + | + |
| Lateolabrax japonicus | Lateolabrax | Lateolabracidae | Perciformes | − | + |
| Hypophthalmichthys molitrix | Hypophthalmichthys | Cyprinidae | Cypriniformes | + | − |
| Homatula laxiclathra | Paracobitis | Nemacheilidae | Cypriniformes | + | − |
| Cyprinus carpio | Cyprinus | Cyprinidae | Cypriniformes | + | − |
| Tridentiger bifasciatus | Tridentiger | Gobiidae | Perciformes | + | − |
| Hemiculter leucisculus | Hemiculter | Cyprinidae | Cypriniformes | + | − |
| Hemiculter bleekeri | Hemiculter | Cyprinidae | Cypriniformes | + | − |
| Populations | Body Length/cm | Body Weight/g | ||
|---|---|---|---|---|
| Range | Mean ± S.D | Range | Mean ± S.D | |
| Oreochromis niloticus | 5.00–18.40 | 11.91 ± 3.10 | 4.00–214.00 | 76.02 ± 48.38 |
| Clupanodon thrissa | 14.10–18.80 | 17.00 ± 0.99 | 53.00–110.00 | 83.50 ± 12.63 |
| Mugil cephalus | 19.50–30.60 | 27.00 ± 2.72 | 133.00–501.00 | 353.29 ± 91.71 |
| Megalops cyprinoides | 19.20–30.70 | 24.15 ± 3.39 | 73.00–247.00 | 142.00 ± 51.70 |
| Monopterus albus | 49.30–50.30 | 49.80 ± 0.71 | 103.00–110.00 | 106.50 ± 4.95 |
| Lateolabrax japonicus | 21.20–40.00 | 30.60 ± 13.29 | 156.00–1000.00 | 578.00 ± 596.80 |
| Study Area | Species | Order | Family | Genus | Reference |
|---|---|---|---|---|---|
| Xinglinwan Reservoir | 14 | 5 | 9 | 11 | This study |
| Sanbanxi Reservoir | 48 | 4 | 12 | 38 | [35] |
| Xinanjiang Reservoir | 75 | 8 | 17 | / | [36] |
| Pingzhai Reservoir | 43 | 5 | 11 | 37 | [37] |
Disclaimer/Publisher’s Note: The statements, opinions and data contained in all publications are solely those of the individual author(s) and contributor(s) and not of MDPI and/or the editor(s). MDPI and/or the editor(s) disclaim responsibility for any injury to people or property resulting from any ideas, methods, instructions or products referred to in the content. |
© 2024 by the authors. Licensee MDPI, Basel, Switzerland. This article is an open access article distributed under the terms and conditions of the Creative Commons Attribution (CC BY) license (https://creativecommons.org/licenses/by/4.0/).
Share and Cite
Wang, X.; Wang, J.; Lin, L.; Huang, L.; Liu, K.; Dai, G.; Cai, Q.; Li, J.; Feng, S.; Wang, G.; et al. Comparison of Environmental DNA Metabarcoding and a Traditional Survey Method for Assessing Fish Diversity and Distribution Along Salinity Gradient in an Urban Brackish Reservoir, China. Biology 2024, 13, 930. https://doi.org/10.3390/biology13110930
Wang X, Wang J, Lin L, Huang L, Liu K, Dai G, Cai Q, Li J, Feng S, Wang G, et al. Comparison of Environmental DNA Metabarcoding and a Traditional Survey Method for Assessing Fish Diversity and Distribution Along Salinity Gradient in an Urban Brackish Reservoir, China. Biology. 2024; 13(11):930. https://doi.org/10.3390/biology13110930
Chicago/Turabian StyleWang, Xu, Jiaqiao Wang, Lin Lin, Liangmin Huang, Kai Liu, Guangjie Dai, Qianwen Cai, Jun Li, Shilong Feng, Guangzhao Wang, and et al. 2024. "Comparison of Environmental DNA Metabarcoding and a Traditional Survey Method for Assessing Fish Diversity and Distribution Along Salinity Gradient in an Urban Brackish Reservoir, China" Biology 13, no. 11: 930. https://doi.org/10.3390/biology13110930
APA StyleWang, X., Wang, J., Lin, L., Huang, L., Liu, K., Dai, G., Cai, Q., Li, J., Feng, S., Wang, G., Hui, Y., Qiu, L., & Ji, F. (2024). Comparison of Environmental DNA Metabarcoding and a Traditional Survey Method for Assessing Fish Diversity and Distribution Along Salinity Gradient in an Urban Brackish Reservoir, China. Biology, 13(11), 930. https://doi.org/10.3390/biology13110930

