Optimizing Microsatellite Marker Panels for Genetic Diversity and Population Genetic Studies: An Ant Colony Algorithm Approach with Polymorphic Information Content
Abstract
Simple Summary
Abstract
1. Introduction
2. Materials and Methods
2.1. Refining an Intriguing Algorithm for Microsatellite Marker Selection
2.2. Ant Colony Optimization Algorithm
2.3. Microsatellite Marker Dataset
2.4. Comparative Evaluation of Marker Selection Schemes: ACO Algorithm, PIC, PIC + ACO, and Random Selection
2.5. Estimation of Genetic Diversity Measurement on a Reduced Set of Microsatellite Markers
3. Results
3.1. Pairwise Comparison of Marker Selection Schemes on Two Genotype Datasets
3.2. Microsatellite Panel Selection Using Error Margins of 1%, 5%, and 10%
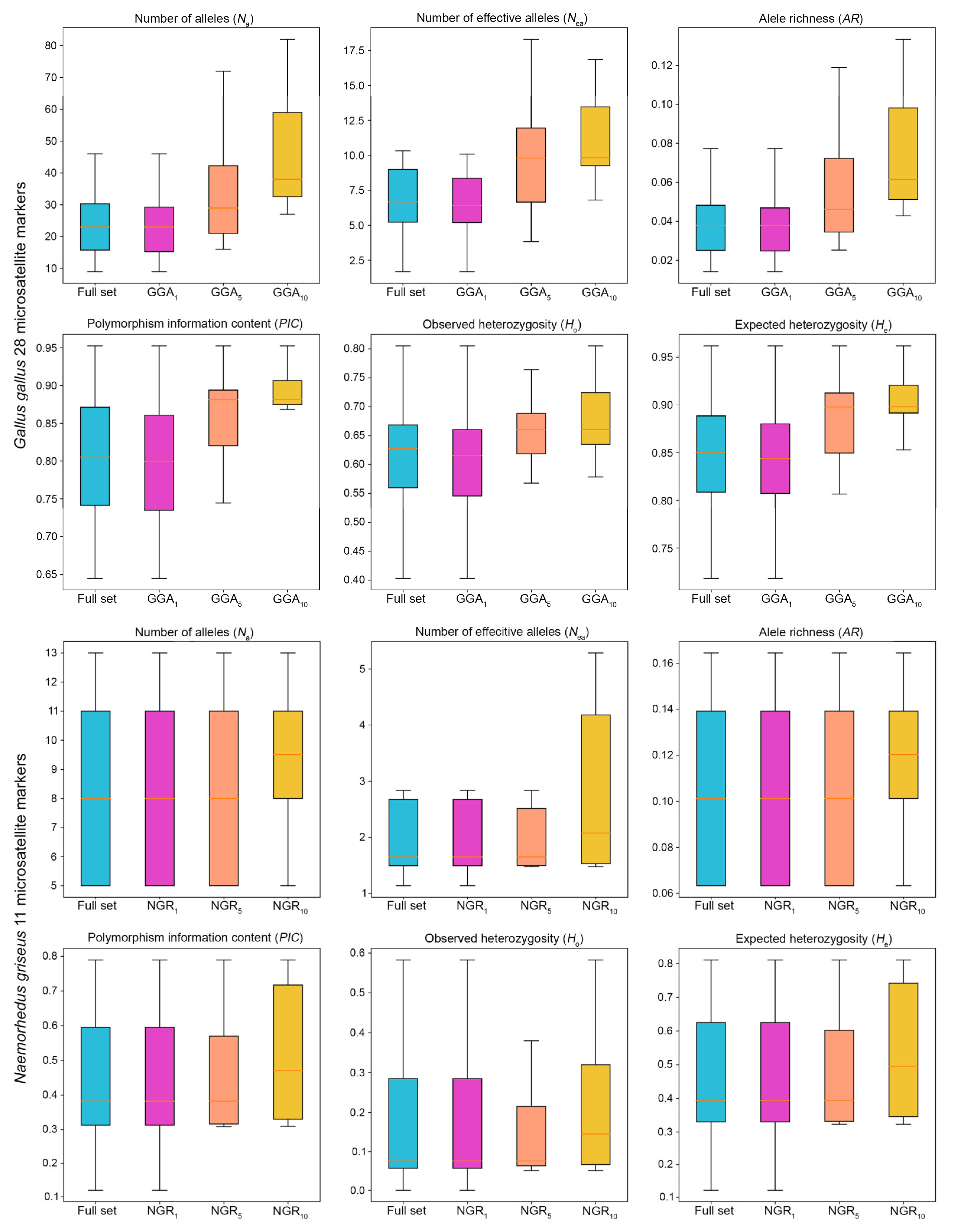
3.3. Genetic Diversity Expressed by the Reduced Set of Microsatellites Using Error Margins of 1% (GGA1 and NGR1), 5% (GGA5 and NGR5), and 10% (GGA10 and NGR10)
3.4. Comparison of Population Structure Inference between the Full Set and Reduced Sets of Microsatellites
4. Discussion
4.1. Challenges in Microsatellite Marker Panel Selection
4.2. Using the PIC as a Discriminative Power Indicator of the Marker
4.3. Implications for Conservation Effort and Breeding Program
5. Conclusions
Supplementary Materials
Author Contributions
Funding
Institutional Review Board Statement
Informed Consent Statement
Data Availability Statement
Acknowledgments
Conflicts of Interest
References
- Reddy, U.K.; Abburi, L.; Abburi, V.L.; Saminathan, T.; Cantrell, R.; Vajja, V.G.; Reddy, R.; Tomason, Y.R.; Levi, A.; Wehner, T.C.; et al. A genome-wide scan of selective sweeps and association mapping of fruit traits using microsatellite markers in watermelon. J. Hered. 2015, 106, 166–176. [Google Scholar] [CrossRef] [PubMed]
- Kaiser, S.A.; Taylor, S.A.; Chen, N.; Sillett, T.S.; Bondra, E.R.; Webster, M.S. A comparative assessment of SNP and microsatellite markers for assigning parentage in a socially monogamous bird. Mol. Ecol. Resour. 2017, 17, 183–193. [Google Scholar] [CrossRef] [PubMed]
- Ling, C.; Lixia, W.; Rong, H.; Fujun, S.; Wenping, Z.; Yao, T.; Yaohua, Y.; Bo, Z.; Liang, Z. Comparative analysis of microsatellite and SNP markers for parentage testing in the golden snub-nosed monkey (Rhinopithecus roxellana). Conserv. Genet. Resour. 2020, 12, 611–620. [Google Scholar] [CrossRef]
- Tereba, A.; Konecka, A. Comparison of microsatellites and SNP markers in genetic diversity level of two Scots pine stands. Environ. Sci. Proc. 2020, 3, 4. [Google Scholar] [CrossRef]
- Food and Agriculture Organization. Molecular genetic characterization of animal genetic resources. In FAO Animal Production and Health Guidelines; FAO: Rome, Italy, 2011.
- Al Salami, N.M. Ant colony optimization algorithm. UbiCC J. 2009, 4, 823–826. [Google Scholar]
- Colorni, A.; Dorigo, M.; Maniezzo, V. Distributed optimization by ant colonies. In Proceedings of the First European Conference on Artificial Life, Paris, France, 11–13 December 1991; Elsevier Publishing: Amsterdam, The Netherlands, 1991; pp. 134–142. [Google Scholar]
- Yu, H.; Gu, G.; Liu, H.; Shen, J.; Zhao, J. A modified ant colony optimization algorithm for tumor marker gene selection. Genom. Proteom. Bioinform. 2009, 7, 200–208. [Google Scholar] [CrossRef] [PubMed]
- Kuhn, H.W.; Tucker, A.W. Nonlinear programming. In Traces and Emergence of Nonlinear Programming; Springer: Basel, Switzerland, 2013; pp. 247–258. [Google Scholar]
- Scribner, K.; Topchy, A.; Punch, W. Accuracy-driven loci selection and assignment of individuals. Mol. Ecol. Notes 2004, 4, 798–800. [Google Scholar] [CrossRef]
- Duval, B.; Hao, J. Advances in metaheuristics for gene selection and classification of microarray data. Brief. Bioinform. 2010, 11, 127–141. [Google Scholar] [CrossRef]
- Kennedy, J.; Eberhart, R. Particle swarm optimization. In Proceedings of the ICNN’95-International Conference on Neural Networks, Perth, Australia, 27 November–1 December 1995; Volume 4, pp. 1942–1948. [Google Scholar]
- Glover, F.W. Tabu search and adaptive memory programming advances, applications and challenges. In Interfaces in Computer Science and Operations Research: Advances in Metaheuristics, Optimization, and Stochastic Modeling Technologies; Springer: New York, NY, USA, 1997; pp. 1–75. [Google Scholar]
- Katoch, S.; Chauhan, S.S.; Kumar, V. A review on genetic algorithm: Past, present, and future. Multimed. Tools Appl. 2020, 80, 8091–8126. [Google Scholar] [CrossRef]
- Glover, F.W.; Kochenberger, G.A. Handbook of Metaheuristics; Springer: New York, NY, USA, 2006; Volume 57. [Google Scholar]
- Kuyu, Y.C.; Vatansever, F. A metaheuristic-based tool for function minimization. Acad. Perspect. Procedia 2019, 2, 613–620. [Google Scholar] [CrossRef]
- Serrote, C.M.; Reiniger, L.R.; Silva, K.B.; Rabaiolli, S.M.D.S.; Stefanel, C.M. Determining the Polymorphism Information Content of a molecular marker. Gene 2020, 726, 144175. [Google Scholar] [CrossRef] [PubMed]
- Waits, L.P.; Luikart, G.; Taberlet, P. Estimating the probability of identity among genotypes in natural populations: Cautions and guidelines. Mol. Ecol. 2001, 10, 249–256. [Google Scholar] [CrossRef] [PubMed]
- Zhivotovsky, L.A.; Feldman, M.W. Microsatellite variability and genetic distances. Proc. Natl. Acad. Sci. USA 1995, 92, 11549–11552. [Google Scholar] [CrossRef] [PubMed]
- Nei, M. Genetic distance between populations. Am. Nat. 1972, 106, 283–292. [Google Scholar] [CrossRef]
- Ripley, B.D. The R project in statistical computing. In MSOR Connections. The Newsletter of the LTSN Maths, Stats & OR Network; The University of Birmingham: Edgbaston, UK, 2001; pp. 23–25. [Google Scholar]
- Iwata, H.; Ninomiya, S. Antmap: Constructing genetic linkage maps using an ant colony optimization algorithm. Breed. Sci. 2006, 56, 371–377. [Google Scholar] [CrossRef]
- Elston, R.C. Polymorphism information content. In Encyclopedia of Biostatistics; Wiley: Hoboken, NJ, USA, 2005. [Google Scholar] [CrossRef]
- Tutte, W.T. Graph Theory; Cambridge University Press: Cambridge, UK, 2001; Volume 21. [Google Scholar]
- Schneider, J.; Kirkpatrick, S. Stochastic Optimization; Springer: Berlin/Heidelberg, Germany, 2007. [Google Scholar]
- Abdi, H.; Williams, L.J. Tukey’s honestly significant difference (HSD) test. In Encyclopedia of Research Design; Salkind, N., Ed.; Sage: Thousand Oaks, CA, USA, 2010; pp. 1–5. [Google Scholar]
- Tabassum, M.; Mathew, K. Software evolution analysis of Linux (Ubuntu) OS. In Proceedings of the 2014 International Conference on Computational Science and Technology (ICCST), Kota Kinabalu, Malaysia, 27–28 August 2014; pp. 1–7. [Google Scholar]
- Hata, A.; Nunome, M.; Suwanasopee, T.; Duengkae, P.; Chaiwatana, S.; Chamchumroon, W.; Suzuki, T.; Koonawootrittriron, S.; Matsuda, Y.; Srikulnath, K. Origin and evolutionary history of domestic chickens inferred from a large population study of Thai red junglefowl and indigenous chickens. Sci. Rep. 2021, 11, 2035. [Google Scholar] [CrossRef]
- Singchat, W.; Chaiyes, A.; Wongloet, W.; Ariyaraphong, N.; Jaisamut, K.; Panthum, T.; Ahmad, S.F.; Chaleekarn, W.; Suksavate, W.; Inpota, M.; et al. Red junglefowl resource management guide: Bioresource reintroduction for sustainable food security in Thailand. Sustainability 2022, 14, 7895. [Google Scholar] [CrossRef]
- Budi, T.; Singchat, W.; Tanglertpaibul, N.; Wongloet, W.; Chaiyes, A.; Ariyaraphong, N.; Thienpreecha, W.; Wannakan, W.; Mungmee, A.; Thong, T.; et al. Thai local chicken breeds, Chee Fah and Fah Luang, originated from Chinese black-boned chicken with introgression of red junglefowl and domestic chicken breeds. Sustainability 2023, 15, 6878. [Google Scholar] [CrossRef]
- Wongloet, W.; Singchat, W.; Chaiyes, A.; Ali, H.; Piangporntip, S.; Ariyaraphong, N.; Budi, T.; Thienpreecha, W.; Wannakan, W.; Mungmee, A.; et al. Environmental and socio–cultural factors impacting the unique gene pool pattern of Mae Hong-Son chicken. Animals 2023, 13, 1949. [Google Scholar] [CrossRef]
- Jangtarwan, K.; Kamsongkram, P.; Subpayakom, N.; Sillapaprayoon, S.; Muangmai, N.; Kongphoemph, A.; Wongsodchuen, A.; Intapan, S.; Chamchumroon, W.; Safoowong, M.; et al. Predictive genetic plan for a captive population of the Chinese goral (Naemorhedus griseus) and prescriptive action for ex situ and in situ conservation management in Thailand. PLoS ONE 2020, 15, e0234064. [Google Scholar] [CrossRef]
- Ariyaraphong, N.; Pansrikaew, T.; Jangtarwan, K.; Thintip, J.; Singchat, W.; Laopichienpong, N.; Pongsanarm, T.; Panthum, T.; Suntronpong, A.; Ahmad, S.F.; et al. Introduction of wild Chinese gorals into a captive population requires careful genetic breeding plan monitoring for successful long-term conservation. Glob. Ecol. Conserv. 2021, 28, e01675. [Google Scholar] [CrossRef]
- Peakall, R.; Smouse, P.E. Genalex 6: Genetic analysis in excel. Population genetic software for teaching and research. Mol. Ecol. Notes 2006, 6, 288–295. [Google Scholar] [CrossRef]
- R Core Team. R: A Language and Environment for Statistical Computing; R Foundation for Statistical Computing: Vienna, Austria, 2023. [Google Scholar]
- Ari, N.; Ustazhanov, M. Matplotlib in Python. In Proceedings of the 2014 11th International Conference on Electronics, Computer and Computation (ICECCO), Abuja, Nigeria, 29 September–1 October 2014; pp. 1–6. [Google Scholar] [CrossRef]
- Seabold, S.; Perktold, J. Statsmodels: Econometric and statistical modeling with Python. In Proceedings of the 9th Python in Science Conference, Austin, TX, USA, 28 June–3 July 2010; Volume 57, pp. 92–96. [Google Scholar] [CrossRef]
- Okunev, R. Independent T-Test. In Analytics for Retail: A Step-by-Step Guide to the Statistics Behind a Successful Retail Business; Apress: Berkeley, CA, USA, 2022; pp. 107–114. [Google Scholar]
- Binder, D.A. Bayesian cluster analysis. Biometrika 1978, 65, 31–38. [Google Scholar] [CrossRef]
- Morrison, D.A. Phylogenetic tree-building. Int. J. Parasitol. 1996, 26, 589–617. [Google Scholar] [CrossRef] [PubMed]
- Cox, T.F.; Cox, M.A. Multidimensional Scaling; CRC Press: Boca Raton, FL, USA, 2000. [Google Scholar]
- Pritchard, J.K.; Wen, X.; Falush, D. Documentation for Structure Software, Version 2.3; University of Chicago: Chicago, IL, USA, 2010.
- Evanno, G.; Regnaut, S.; Goudet, J. Detecting the number of clusters of individuals using the software structure: A simulation study. Mol. Ecol. 2005, 14, 2611–2620. [Google Scholar] [CrossRef] [PubMed]
- Reich, D.; Price, A.L.; Patterson, N. Principal component analysis of genetic data. Nat. Genet. 2008, 40, 491–492. [Google Scholar] [CrossRef] [PubMed]
- Zhang, L.; Li, H.; Meng, L.; Wang, J. Ordering of high-density markers by the k-optimal algorithm for the traveling-salesman problem. Crop. J. 2020, 8, 701–712. [Google Scholar] [CrossRef]
- Kangwanpong, D.; Chaijaruwanich, J.; Srikummool, M.; Kampuansai, J. Selection of Y-Chromosomal microsatellites for phylogenetic study among Hilltribes in Northern Thailand using the decision tree induction algorithm. ScienceAsia 2004, 30, 239–245. [Google Scholar] [CrossRef]
- Buono, V.; Burgio, S.; Macrì, N.; Catania, G.; Hauffe, H.C.; Mucci, N.; Davoli, F. Microsatellite characterization and panel selection for brown bear (Ursus arctos) population assessment. Genes 2022, 13, 2164. [Google Scholar] [CrossRef]
- DeYoung, R.W.; Demarais, S.; Honeycutt, R.L.; Gonzales, R.A.; Gee, K.L.; Anderson, J.D. Evaluation of a DNA microsatellite panel useful for genetic exclusion studies in white-tailed deer. Wildl. Soc. Bull. 2003, 31, 220–232. [Google Scholar]
- Da Silva, E.C.; McManus, C.M.; Guimarães, M.P.; Gouveia, A.M.; Facó, O.; Pimentel, D.M.; Caetano, A.R.; Paiva, S.R. Validation of a microsatellite panel for parentage testing of locally adapted and commercial goats in Brazil. Genet. Mol. Biol. 2014, 37, 54–60. [Google Scholar] [CrossRef] [PubMed][Green Version]
- Luikart, G.; Biju-Duval, M.; Ertugrul, O.; Zagdsuren, Y.; Maudet, C.; Taberlet, P. Power of 22 microsatellite markers in fluorescent multiplexes for parentage testing in goats (Capra hircus). Anim. Genet. 1999, 30, 431–438. [Google Scholar] [CrossRef] [PubMed]
- Arranz, J.; Bayon, Y.; San Primitivo, F. Genetic variation at microsatellite loci in Spanish sheep. Small Rumin. Res. 2001, 39, 3–10. [Google Scholar] [CrossRef] [PubMed]
- Nei, M.; Roychoudhury, A.K. Sampling variances of heterozygosity and genetic distance. Genetics 1974, 76, 379–390. [Google Scholar] [CrossRef] [PubMed]
- Hoffman, J.I.; Amos, W. Microsatellite genotyping errors: Detection approaches, common sources and consequences for paternal exclusion. Mol. Ecol. 2004, 14, 599–612. [Google Scholar] [CrossRef] [PubMed]
- Xiong, L.; Li, Z.; Li, W.; Li, L. DT-PICS: An efficient and cost-effective SNP selection method for the germplasm identification of Arabidopsis. Int. J. Mol. Sci. 2023, 24, 8742. [Google Scholar] [CrossRef] [PubMed]
- Habimana, R.; Okeno, T.O.; Ngeno, K.; Mboumba, S.; Assami, P.; Gbotto, A.A.; Keambou, C.T.; Nishimwe, K.; Mahoro, J.; Yao, N. Genetic diversity and population structure of indigenous chicken in Rwanda using microsatellite markers. PLoS ONE 2020, 15, e0225084. [Google Scholar] [CrossRef] [PubMed]
- Colombo, E.; Strillacci, M.G.; Cozzi, M.C.; Madeddu, M.; Mangiagalli, M.G.; Mosca, F.; Zaniboni, L.; Bagnato, A.; Cerolini, S. Feasibility study on the FAO chicken microsatellite panel to assess genetic variability in the turkey (Meleagris gallopavo). J. Anim. Sci. 2014, 13, 3334. [Google Scholar] [CrossRef][Green Version]
- Miller, W.L.; Edson, J.; Pietrandrea, P.; Miller-Butterworth, C.; Walter, W.D. Identification and evaluation of a core microsatellite panel for use in white-tailed deer (Odocoileus virginianus). BMC Genet. 2019, 20, 49. [Google Scholar] [CrossRef]
- Reyes-Valdés, M.H. Informativeness of microsatellite markers. In Microsatellites: Methods and Protocols; Humana: Totowa, NJ, USA, 2013; pp. 59–270. [Google Scholar]
- Dorigo, M.; Stützle, T. Ant Colony Optimization: Overview and Recent Advances; Springer: Berlin/Heidelberg, Germany, 2019. [Google Scholar]
- Bullnheimer, B. A new rank based version of the ant system: A computational study. Cent. Eur. J. Oper. Res. Econ. 1997, 7, 25–38. [Google Scholar]
- Cordon, O.; Viana, I.F.; Herrera, F.; Moreno, L. A new ACO model integrating evolutionary computation concepts: The best-worst Ant System. In Proceedings of the ANTS’2000 from Ant Colonies to Artificial Ants: Second International Workshop on Ant Algorithms, Brussels, Belgium, 7–9 September 2000; pp. 22–29. [Google Scholar]
- Blum, C.; Roll, A.; Dorigo, M. HC–ACO: The hyper-cube framework for Ant Colony Optimization. In Proceedings of the Meta–Heuristics International Conference, Porto, Portugal, 16–20 July 2001; Volume 2, pp. 399–403. [Google Scholar]
- Kaelbling, L.P.; Littman, M.L.; Moore, A.W. Reinforcement learning: A survey. J. Artif. Intell. Res. 1996, 4, 237–285. [Google Scholar] [CrossRef]
- He, Y.; Wang, Z.; Zheng-Huan, W.; Wang, X. Genetic diversity and population structure of a Sichuan sika deer (Cervus sichuanicus) population in Tiebu Nature Reserve based on microsatellite variation. Zool. Res. 2014, 35, 528. [Google Scholar] [CrossRef]
- Wehausen, J.D.; Ramey, R.R.; Epps, C.W. Experiments in DNA extraction and PCR amplification from bighorn sheep feces: The importance of DNA extraction method. J. Hered. 2004, 95, 503–509. [Google Scholar] [CrossRef]
- Du, L.; Zhang, C.; Liu, Q.; Zhang, X.; Yue, B. Krait: An ultrafast tool for genome-wide survey of microsatellites and primer design. Bioinformatics 2018, 34, 681–683. [Google Scholar] [CrossRef] [PubMed]



| Parameter | Description | Value |
|---|---|---|
| ant_n | Ant population size | 50 |
| E | Number of epochs (iterations) | 120 |
| α 1 | Weight factor of the pheromone trail in the decision-making process | 0.7 |
| decay 2 | Evaporation rate of the pheromone trail | 0.9 |
| Dataset | Average Genetic Distance Estimation Accuracy Loss | Selection Scheme | ||
|---|---|---|---|---|
| PIC + ACO 1 | ACO 2 | PIC 3 | ||
| Gallus gallus 28 markers | 10% | MCW0034, MCW0104, LEI0234, MCW0016, MCW0111, MCW0183, LEI0192 | MCW0104, LEI0234, LEI0166, MCW0123, MCW0111, ADL0268, LEI0192 | MCW0034, MCW0104, LEI0234, MCW0123, MCW0111, LEI0094, LEI0192 |
| 5% | MCW0034, MCW0104, MCW0165, LEI0234, MCW0123, MCW0206, MCW0111, LEI0094, MCW0183, MCW0069, LEI0166, LEI0192 | MCW0034, MCW0078, MCW0098, MCW0165, LEI0234, MCW0216, MCW0123, MCW0206, MCW0111, MCW0183, MCW0069, ADL0268, LEI0192 | MCW0034, MCW0104, MCW0330, LEI0234, MCW0123, MCW0016, MCW0111, LEI0094, MCW0183, MCW0069, MCW0295, ADL0268, LEI0192 | |
| 1% | MCW0034, MCW0098, MCW0081, MCW0330, MCW0165, LEI0234, MCW0222, MCW0206, MCW0104, MCW0078, ADL0112, MCW0216, MCW0111, MCW0183, MCW0069, ADL0268, LEI0192, MCW0037, MCW0248, MCW0014, MCW0103, MCW0067, MCW0016, MCW0295, LEI0166, ADL0278 | MCW0034, MCW0098, MCW0081, MCW0330, MCW0165, LEI0234, MCW0222, MCW0104, MCW0078, ADL0112, MCW0216, MCW0111, MCW0183, MCW0069, ADL0268, LEI0192, MCW0037, MCW0248, MCW0014, LEI0094, MCW0103, MCW0067, MCW0123, MCW0016, MCW0295, LEI0166, ADL0278 | MCW0034, MCW0098, MCW0081, MCW0330, MCW0165, LEI0234, MCW0222, MCW0206, MCW0104, MCW0078, ADL0112, MCW0216, MCW0111, MCW0183, MCW0069, ADL0268, LEI0192, MCW0037, MCW0248, MCW0014, LEI0094, MCW0103, MCW0067, MCW0123, MCW0016, MCW0295, LEI0166 | |
| Naemorhedus griseus 11 markers | 10% | SY434F, SY14F, SY12BF, SY129F, SY449F, SY128F | SY434F, SY14F, SY12BF, SY129F, SY449F, SY128F | SY434F, SY14F, SY12BF, SY93F, SY129F, SY128F, SY84BF, SY84F |
| 5% | SY434F, SY14F, SY12BF, SY93F, SY129F, SY76F, SY449F, SY84BF, SY84F | SY434F, SY14F, SY12BF, SY93F, SY129F, SY76F, SY449F, SY128F, SY84BF, SY84F | SY434F, SY14F, SY12BF, SY93F, SY129F, SY76F, SY449F, SY128F, SY84BF, SY84F | |
| 1% | SY434F, SY14F, SY259F, SY12BF, SY93F, SY129F, SY76F, SY449F, SY128F, SY84BF, SY84F | SY434F, SY14F, SY259F, SY12BF, SY93F, SY129F, SY76F, SY449F, SY128F, SY84BF, SY84F | SY434F, SY14F, SY259F, SY12BF, SY93F, SY129F, SY76F, SY449F, SY128F, SY84BF, SY84F |
| Dataset | Reduced Panel | Measurement | Mean-Diff | t-Stat | p-Val | Significance |
|---|---|---|---|---|---|---|
| Gallus gallus 28 markers | GGA1 (26 markers) | Na | 5.115 | −0.394 | 0.697 | ns |
| Nea | 6.813 | −1.909 | 0.067 | ns | ||
| AR | 0.008 | −0.397 | 0.695 | ns | ||
| PIC | 0.122 | −1.341 | 0.192 | ns | ||
| Ho | 0.101 | 1.975 | 0.108 | ns | ||
| He | 0.099 | 2.354 | 0.193 | ns | ||
| GGA5 (12 markers) | Na | 18.521 | 3.240 | 0.003 | ** | |
| Nea | 5.246 | 3.093 | 0.005 | ** | ||
| AR | 0.030 | 3.146 | 0.004 | ** | ||
| PIC | 0.110 | 2.515 | 0.018 | * | ||
| Ho | 0.105 | 2.422 | 0.023 | * | ||
| He | 0.086 | 2.347 | 0.027 | * | ||
| GGA10 (7 markers) | Na | 27.857 | 5.081 | 0.000 | *** | |
| Nea | 6.175 | 3.222 | 0.003 | ** | ||
| AR | 0.045 | 4.866 | 0.000 | *** | ||
| PIC | 0.129 | 2.586 | 0.016 | * | ||
| Ho | 0.101 | 1.975 | 0.059 | ns | ||
| He | 0.099 | 2.354 | 0.026 | * | ||
| Naemorhedus griseus 11 markers | NGR1 (11 markers) | Na | – | – | – | – |
| Nea | – | – | – | – | ||
| AR | – | – | – | – | ||
| PIC | – | – | – | – | ||
| Ho | – | – | – | – | ||
| He | – | – | – | – | ||
| NGR5 (9 markers) | Na | 0.667 | 0.251 | 0.808 | ns | |
| Nea | 0.668 | −0.595 | 0.567 | ns | ||
| AR | 0.008 | 0.228 | 0.825 | ns | ||
| PIC | 0.015 | 0.087 | 0.933 | ns | ||
| Ho | 0.130 | −0.899 | 0.392 | ns | ||
| He | 0.026 | 0.147 | 0.886 | ns | ||
| NGR10 (6 markers) | Na | 1.733 | 0.874 | 0.405 | ns | |
| Nea | 1.022 | 1.249 | 0.243 | ns | ||
| AR | 0.023 | 0.892 | 0.396 | ns | ||
| PIC | 0.142 | 1.135 | 0.286 | ns | ||
| Ho | 0.087 | 0.771 | 0.460 | ns | ||
| He | 0.140 | 1.081 | 0.308 | ns |
Disclaimer/Publisher’s Note: The statements, opinions and data contained in all publications are solely those of the individual author(s) and contributor(s) and not of MDPI and/or the editor(s). MDPI and/or the editor(s) disclaim responsibility for any injury to people or property resulting from any ideas, methods, instructions or products referred to in the content. |
© 2023 by the authors. Licensee MDPI, Basel, Switzerland. This article is an open access article distributed under the terms and conditions of the Creative Commons Attribution (CC BY) license (https://creativecommons.org/licenses/by/4.0/).
Share and Cite
Rasoarahona, R.; Wattanadilokchatkun, P.; Panthum, T.; Thong, T.; Singchat, W.; Ahmad, S.F.; Chaiyes, A.; Han, K.; Kraichak, E.; Muangmai, N.; et al. Optimizing Microsatellite Marker Panels for Genetic Diversity and Population Genetic Studies: An Ant Colony Algorithm Approach with Polymorphic Information Content. Biology 2023, 12, 1280. https://doi.org/10.3390/biology12101280
Rasoarahona R, Wattanadilokchatkun P, Panthum T, Thong T, Singchat W, Ahmad SF, Chaiyes A, Han K, Kraichak E, Muangmai N, et al. Optimizing Microsatellite Marker Panels for Genetic Diversity and Population Genetic Studies: An Ant Colony Algorithm Approach with Polymorphic Information Content. Biology. 2023; 12(10):1280. https://doi.org/10.3390/biology12101280
Chicago/Turabian StyleRasoarahona, Ryan, Pish Wattanadilokchatkun, Thitipong Panthum, Thanyapat Thong, Worapong Singchat, Syed Farhan Ahmad, Aingorn Chaiyes, Kyudong Han, Ekaphan Kraichak, Narongrit Muangmai, and et al. 2023. "Optimizing Microsatellite Marker Panels for Genetic Diversity and Population Genetic Studies: An Ant Colony Algorithm Approach with Polymorphic Information Content" Biology 12, no. 10: 1280. https://doi.org/10.3390/biology12101280
APA StyleRasoarahona, R., Wattanadilokchatkun, P., Panthum, T., Thong, T., Singchat, W., Ahmad, S. F., Chaiyes, A., Han, K., Kraichak, E., Muangmai, N., Koga, A., Duengkae, P., Antunes, A., & Srikulnath, K. (2023). Optimizing Microsatellite Marker Panels for Genetic Diversity and Population Genetic Studies: An Ant Colony Algorithm Approach with Polymorphic Information Content. Biology, 12(10), 1280. https://doi.org/10.3390/biology12101280

