Sign in to use this feature.

Years

Between: -

Subjects

remove_circle_outline
remove_circle_outline
remove_circle_outline
remove_circle_outline
remove_circle_outline
remove_circle_outline
remove_circle_outline
remove_circle_outline
remove_circle_outline

Journals

remove_circle_outline
remove_circle_outline
remove_circle_outline
remove_circle_outline
remove_circle_outline
remove_circle_outline
remove_circle_outline
remove_circle_outline

Article Types

Countries / Regions

remove_circle_outline
remove_circle_outline
remove_circle_outline
remove_circle_outline

Search Results (858)

Search Parameters:
Keywords = ant colony optimization

Order results
Result details
Results per page
Select all
Export citation of selected articles as:
26 pages, 10218 KB  
Article
Self-Adaptive Ant Colony Optimization with Bidirectional Updating for Robot Path Planning
by Yixuan Zhang, Shaoxin Sun, Yin Wang and Yiyang Yuan
Appl. Sci. 2026, 16(6), 2870; https://doi.org/10.3390/app16062870 - 17 Mar 2026
Viewed by 180
Abstract
Mobile robot path planning using Ant Colony Optimization (ACO) has the disadvantages of slow convergence, local optima, and unsmooth paths because of fixed heuristics and constant pheromone updating. In this paper, Self-Adaptive Risk-Aware Bidirectional updating ACO (SAR-BACO) is proposed with three improvements: (1) [...] Read more.
Mobile robot path planning using Ant Colony Optimization (ACO) has the disadvantages of slow convergence, local optima, and unsmooth paths because of fixed heuristics and constant pheromone updating. In this paper, Self-Adaptive Risk-Aware Bidirectional updating ACO (SAR-BACO) is proposed with three improvements: (1) composite heuristic incorporating target attraction, obstacle repulsion and direction consistency to minimize early blind searching; (2) dynamic pheromone updating based on solution quality and number of iterations to balance exploration and exploitation; (3) triangular pruning to remove redundant turning points and become smoother. Theoretical analysis verifies convergence. Our experimental results on grids up to 50 × 50 demonstrate that SAR-BACO performs much better than classical and heuristic-improved algorithms with respect to the length of a path, convergence rate, smoothness and efficiency. Using SAR-BACO on a 50 × 50 map, the path lengths, convergence iterations and turning points decreased by 60.68%, 48.96%, and 96.00% respectively compared to Basic ACO (after triangular pruning, values averaged over 50 runs). The framework provides a generalizable solution to autonomous navigation with the need to consider both search efficiency and path executability. Full article
Show Figures

Figure 1

17 pages, 3074 KB  
Article
Predicting CO2 Solubility in Brine for Carbon Storage with a Hybrid Machine Learning Framework Optimized by Ant Colony Algorithm
by Seyed Hossein Hashemi, Farshid Torabi and Sepideh Palizdan
Water 2026, 18(6), 662; https://doi.org/10.3390/w18060662 - 11 Mar 2026
Viewed by 198
Abstract
Predicting carbon dioxide (CO2) solubility in brine is critical for carbon capture and storage. This study employs the Ant Colony Optimization (ACO) algorithm to enhance the predictive accuracy of four machine learning models: Neural Network (NN), Decision Tree (DT), Support Vector [...] Read more.
Predicting carbon dioxide (CO2) solubility in brine is critical for carbon capture and storage. This study employs the Ant Colony Optimization (ACO) algorithm to enhance the predictive accuracy of four machine learning models: Neural Network (NN), Decision Tree (DT), Support Vector Regression (SVR), and Gradient Boosting Machine (GBM). The models were trained and validated on a mineral compound dataset. Performance was evaluated using the coefficient of determination (R2) and error metrics including RMSE and MAE. The GBM model achieved the highest test accuracy (R2 = 0.986) with low errors (RMSE = 0.0478, MAE = 0.0362), demonstrating superior ability to model complex, non-linear relationships with minimal overfitting. The optimized NN, featuring three layers and fifteen neurons, delivered strong performance (R2 = 0.930) with balanced errors across datasets. The DT model offered excellent interpretability and a strong test score (R2 = 0.912), while the SVR model provided robust generalization (R2 = 0.889). The results indicate that ACO is an effective tool for hyperparameter tuning across diverse model architectures. For maximum accuracy, GBM is recommended, whereas DT is ideal when interpretability is required. The NN presents a strong middle-ground option with competitive accuracy. This comparative framework assists in selecting the optimal model based on specific project priorities of accuracy, transparency, or computational efficiency for geochemical forecasting. Full article
Show Figures

Figure 1

33 pages, 447 KB  
Review
Review of Autonomous Underwater Vehicle Path Planning
by Rongzhi Ni, Jingyu Wang, Denghui Qin, Zhijian He, Quan Li and Chengxi Zhang
Symmetry 2026, 18(3), 476; https://doi.org/10.3390/sym18030476 - 11 Mar 2026
Viewed by 344
Abstract
This review systematically examines major research advances in AUV path planning over recent years, covering several mainstream methodologies: sample-based path planning (e.g., PRM and RRT along with their asymptotically optimal variants, suitable for high-dimensional space exploration), graph-search-based path planning (e.g., A-series and D-series [...] Read more.
This review systematically examines major research advances in AUV path planning over recent years, covering several mainstream methodologies: sample-based path planning (e.g., PRM and RRT along with their asymptotically optimal variants, suitable for high-dimensional space exploration), graph-search-based path planning (e.g., A-series and D-series algorithms, achieving global optimization and dynamic replanning through environmental modeling), optimization-based approaches (including artificial potential field (APF), nonlinear programming (NLP), and model predictive control (MPC), designed to satisfy stringent dynamic constraints on AUV motion), swarm intelligence-based planning methods (such as genetic algorithms and ant colony optimization), and learning-based intelligent methods (such as deep reinforcement learning (DRL) for real-time decision-making in unknown and dynamic environments). Through in-depth analysis of these methods’ principles, improvement strategies, and AUV path planning contexts, this review highlights current research trends toward hybrid cooperative planning, dynamic environmental adaptability, and high-precision trajectory optimization. Finally, the paper outlines future directions for AUV path planning, emphasizing multi-AUV collaboration and higher-level intelligent decision-making as key research priorities. Full article
(This article belongs to the Section Computer)
Show Figures

Figure 1

32 pages, 7748 KB  
Article
Research on Energy-Efficient Path Planning for Tugboat Based on Ant Colony Optimization Integrated with Potential Field Maps
by Yao Fang and Diju Gao
J. Mar. Sci. Eng. 2026, 14(6), 524; https://doi.org/10.3390/jmse14060524 - 10 Mar 2026
Viewed by 228
Abstract
To address the problems of high energy consumption and excessive navigation time in autonomous tugboat operations during cross-regional missions, an Ant Colony Optimization algorithm integrated with Potential Field Maps (PFM-ACO) is proposed. The proposed method is capable of planning routes that satisfy navigation [...] Read more.
To address the problems of high energy consumption and excessive navigation time in autonomous tugboat operations during cross-regional missions, an Ant Colony Optimization algorithm integrated with Potential Field Maps (PFM-ACO) is proposed. The proposed method is capable of planning routes that satisfy navigation time constraints, thereby improving navigation efficiency while minimizing voyage energy consumption. Specifically, time-based and energy-consumption-based potential field maps are constructed using ocean current data. The initial pheromone matrix and heuristic function are further redesigned to enhance target-oriented guidance. In addition, an adaptive heuristic factor based on a goal-biased strategy is introduced to strengthen the global search capability of the algorithm. Finally, the proposed PFM-ACO algorithm is compared with the A*, A*-DCE and NDACA algorithms. Experimental results demonstrate that, under navigation time constraints, the paths generated by PFM-ACO achieve both the lowest energy consumption and the highest path smoothness. Overall, the proposed algorithm outperforms the comparative methods, indicating its effectiveness and superiority in energy-efficient path planning for tugboat navigation. Full article
(This article belongs to the Section Ocean Engineering)
Show Figures

Figure 1

26 pages, 3517 KB  
Article
Comparative Assessment of Optimization Strategies with a Hybrid Branch-and-Cut Time Decomposition for Optimal Energy Management Systems
by Tawfiq M. Aljohani
Sustainability 2026, 18(5), 2586; https://doi.org/10.3390/su18052586 - 6 Mar 2026
Viewed by 190
Abstract
The integration of electric vehicles into microgrids demands advanced energy management to coordinate charging with renewable generation and storage resources. This study presents a cohesive and comprehensive evaluation of four distinct optimization strategies—genetic algorithm (GA), particle swarm optimization (PSO), ant colony optimization (ACO), [...] Read more.
The integration of electric vehicles into microgrids demands advanced energy management to coordinate charging with renewable generation and storage resources. This study presents a cohesive and comprehensive evaluation of four distinct optimization strategies—genetic algorithm (GA), particle swarm optimization (PSO), ant colony optimization (ACO), and mixed-integer linear programming (MILP)—in coordinating EV charging and energy dispatch within a 55 MW grid-connected microgrid that includes photovoltaic, wind, battery energy storage (BESS), and bidirectional EV systems. Beyond numerical outcomes, this work emphasizes the behavioral and methodological characteristics of each optimization approach, assessing their structural advantages and resource utilization dynamics. A novel MILP solution algorithm is introduced, based on a hybrid branch-and-cut technique integrated with time decomposition, enabling the solver to capture long-horizon optimization dynamics with high precision. All four methods are applied over a year-long simulation with hourly resolution. While each strategy maintains operational feasibility and power balance, the MILP approach consistently achieves the highest economic benefit, delivering approximately $2.43 million in annual cost savings, representing roughly a 72.3% improvement over the best-performing heuristic strategy under the same deterministic operating conditions. GA, PSO, and ACO each capture moderate benefits but show limitations in foresight and storage cycling. The findings not only benchmark algorithmic performance but also provide insight into the internal logic and structural behavior of optimization techniques applied to dynamic energy systems, offering guidance for algorithm selection and design in microgrid EMS. Full article
Show Figures

Figure 1

25 pages, 4334 KB  
Article
An Enhanced Ant Colony Optimization Approach for Aerospace Cable Routing
by Bingyan Li, Weixiong Peng, Huiping Huang, Wenzhi Xiao, Gongping Liu and Xiaoli Qiao
Electronics 2026, 15(5), 994; https://doi.org/10.3390/electronics15050994 - 27 Feb 2026
Viewed by 201
Abstract
To address the challenges of dense structural layouts, limited path feasibility, and stringent assembly constraints in cable routing within complex compartments of aerospace equipment, this paper proposes a cable path planning method that integrates Bidirectional Crossing Line Pruning (BCLP) with an improved ant [...] Read more.
To address the challenges of dense structural layouts, limited path feasibility, and stringent assembly constraints in cable routing within complex compartments of aerospace equipment, this paper proposes a cable path planning method that integrates Bidirectional Crossing Line Pruning (BCLP) with an improved ant colony optimization (IACO) algorithm. First, a hierarchical activation strategy for key obstacles is realized by constructing primary and extended crossing lines. On this basis, the BCLP algorithm is introduced, combining global perspective with local reduction capability to significantly reduce the complexity of the search space. Second, in line with cable assembly process requirements, a composite heuristic function is formulated by integrating obstacle-crossing cost and bending penalty. Additionally, a multi-objective-driven pheromone update model is developed to enhance the routing process’ feasibility and convergence performance. Experimental results across various aerospace cabling simulation scenarios demonstrate that the proposed method achieves an average reduction of 19.6% in multi-objective process cost and a 68.5% improvement in convergence efficiency compared to traditional visual graph methods combined with standard ACO. The approach provides effective support for the automation and intelligent planning of cable layouts in complex environments, offering strong potential for engineering applications. Full article
(This article belongs to the Section Industrial Electronics)
Show Figures

Figure 1

20 pages, 6797 KB  
Article
Traffic-Informed Optimization of Last-Mile Delivery Using Hybrid Heuristic Approaches
by Afia Yeboah, Deo Chimba and Malshe Rohit
Future Transp. 2026, 6(2), 55; https://doi.org/10.3390/futuretransp6020055 - 27 Feb 2026
Viewed by 275
Abstract
The rapid growth of e-commerce has intensified operational and sustainability challenges in urban last-mile delivery, necessitating routing methods that perform reliably under realistic traffic and spatial conditions. This study evaluates three routing algorithms, Nearest Neighbor (NN), Clarke–WrightSavings (CWS), and Ant Colony Optimization (ACO), [...] Read more.
The rapid growth of e-commerce has intensified operational and sustainability challenges in urban last-mile delivery, necessitating routing methods that perform reliably under realistic traffic and spatial conditions. This study evaluates three routing algorithms, Nearest Neighbor (NN), Clarke–WrightSavings (CWS), and Ant Colony Optimization (ACO), using 1764 real-world Amazon delivery stops grouped into ten operational clusters in the Nashville metropolitan area. Travel distances and times were obtained through the Google Maps Distance Matrix API in driving mode to reflect actual road network structure and typical traffic conditions. Substantial performance differences were observed across algorithms and cluster configurations. NN achieved a strong performance in compact clusters (18.43 miles and 58.48 min in Cluster 4) but performed poorly in dispersed clusters (82.44 miles and 196.48 min in Cluster 9), reflecting high sensitivity to spatial dispersion. In contrast, CWS consistently reduced travel distance and time across clusters, achieving the shortest observed route (18.50 miles and 47.82 min in Cluster 10). Relative to ACO, CWS reduced travel distance by up to 42% (Cluster 9) and reduced travel time by over 45% in high-dispersion clusters. ACO exhibited the highest variability, with distances reaching 98.77 miles and travel times exceeding 218 min. Multi-criteria evaluation using efficiency ratios, distributional analysis, performance quadrant visualization, and a Composite Performance Index (CPI) confirmed the dominance of CWS. CPI scores of 1.00 (CWS), 0.78 (NN), and 0.00 (ACO) reflected balanced spatial and temporal efficiency under identical traffic-informed inputs. The results demonstrate that deterministic savings-based routing provides superior stability, efficiency, and scalability in semi-static urban delivery systems. However, the present study did not benchmark the evaluated algorithms against state-of-the-art exact TSP solvers (e.g., Concorde, LKH) or more recent metaheuristics such as Genetic Algorithms or Variable Neighborhood Search. The objective was to provide a controlled empirical comparison under consistent traffic-informed cost matrices rather than to establish global optimality bounds. Consequently, while the findings strongly support the relative superiority of the Clarke–Wright Savings approach within the evaluated framework, future research incorporating advanced exact and hybrid optimization methods would further contextualize algorithmic performance. Full article
Show Figures

Figure 1

27 pages, 3083 KB  
Article
Multi-Objective Dynamic Scheduling in Cable Flexible Flow Shop Considering Energy Consumption and Reel-Splitting Constraints
by Changbiao Zhu, Chongxin Wang, Zhonghua Ni, Xiaojun Liu and Zhenyu Yang
Processes 2026, 14(5), 769; https://doi.org/10.3390/pr14050769 - 27 Feb 2026
Viewed by 278
Abstract
Cable manufacturing is a typical hybrid production system characterized by the deep coupling of continuous processes and discrete logic. However, the unique “Reel-Splitting Constraint”—where continuous cables must be segmented into strictly sequenced sub-reels—along with high energy consumption and frequent dynamic disturbances render traditional [...] Read more.
Cable manufacturing is a typical hybrid production system characterized by the deep coupling of continuous processes and discrete logic. However, the unique “Reel-Splitting Constraint”—where continuous cables must be segmented into strictly sequenced sub-reels—along with high energy consumption and frequent dynamic disturbances render traditional Hybrid Flexible Flow Shop scheduling models ineffective in this context. To address these challenges, this paper proposes a novel Multi-Objective Dynamic Scheduling Framework tailored for the cable industry. First, a mathematical model is constructed that explicitly formalizes the rigid logic of sub-reel sequencing and continuous material flow, aiming to simultaneously minimize total energy consumption, makespan, and changeover times. Unlike generic models, this formulation introduces a constraint-handling mechanism to ensure the physical continuity of sub-reels during optimization. Second, a two-stage hybrid swarm intelligence algorithm is developed to solve this NP-hard problem. An improved Ant Colony Optimization (ACO) algorithm is employed for “population seeding” to generate feasible initial schedules and avoid deadlocks, while a Variable Neighborhood Search (VNS) executes deep evolutionary operations—such as setup reduction and critical operation insertion—to escape local optima. Case studies based on real-world industrial data demonstrate the superior performance of the proposed method. The hybrid strategy reduces the makespan by approximately 9.8% compared to traditional approaches and effectively mitigates energy waste in bottleneck processes. Furthermore, the proposed event-driven dynamic rescheduling mechanism exhibits exceptional responsiveness, reducing rescheduling time for unexpected equipment breakdowns from 18 h to 0.83 h, thereby enabling within-shift decision-making and robust operation in volatile manufacturing environments. Full article
(This article belongs to the Special Issue Advances of Intelligent Manufacturing Process and Equipment)
Show Figures

Figure 1

33 pages, 2933 KB  
Article
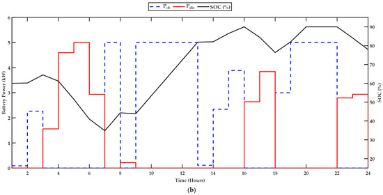
Optimal Scheduling Strategies for Smart Homes Integrated with Grid-Connected Hybrid Renewable Energy Systems
by Temitope Adefarati, Gulshan Sharma, Pitshou N. Bokoro and Rajesh Kumar
Energies 2026, 19(5), 1174; https://doi.org/10.3390/en19051174 - 26 Feb 2026
Viewed by 336
Abstract
The increasing demand for sustainable energy in residential buildings and public concerns on greenhouse gas (GHG) emissions has driven the integration of smart homes with hybrid renewable energy systems (HRESs). This research proposes an optimal scheduling strategy for home energy consumption in a [...] Read more.
The increasing demand for sustainable energy in residential buildings and public concerns on greenhouse gas (GHG) emissions has driven the integration of smart homes with hybrid renewable energy systems (HRESs). This research proposes an optimal scheduling strategy for home energy consumption in a grid-connected HRES that comprises a grid, wind turbines, photovoltaics and battery storage systems. The objective of the study is to reduce the net energy cost, scheduling inconvenience cost (SIC), GHG cost and battery degradation cost. An ant colony optimization algorithm is utilized in the MATLAB environment, with load profiles and meteorological data of Upington, South Africa, obtained from NASA and a residential consumption dataset to accomplish the objectives of the study. The outcomes of the study show that case study 3 is the most feasible configuration based on a net energy revenue cost of $9.8382, GHG cost of $0.0627, battery degradation cost of $0.461 and SIC of $0.66. Simulation results demonstrate that energy purchased from the grid has been reduced by 98% and 48% relative to case studies 1 and 2. The results of the study can assist households to improve the sustainability and resilience of the power system in residential environments where the grid supply is unstable and electricity costs are high. Full article
Show Figures

Figure 1

35 pages, 6265 KB  
Article
Topological Progress Potential-Enhanced Continuous-Space Ant Colony Algorithm for Robot Path Planning
by Guikun Dong, Feixiong Zhao, Jiaxiong Zhuo, Lei Zhou, Qiaoling Liu and Xiangjun Yang
Sensors 2026, 26(4), 1264; https://doi.org/10.3390/s26041264 - 14 Feb 2026
Viewed by 331
Abstract
To address the issues of traditional grid-based Ant Colony Optimization path planning in discretized continuous space—including limited direction freedom, lack of global topological guidance, and difficulty in balancing path smoothness and safety margin—a topological progress potential-enhanced continuous-space ant colony path planning algorithm (TPP-CSACO) [...] Read more.
To address the issues of traditional grid-based Ant Colony Optimization path planning in discretized continuous space—including limited direction freedom, lack of global topological guidance, and difficulty in balancing path smoothness and safety margin—a topological progress potential-enhanced continuous-space ant colony path planning algorithm (TPP-CSACO) is proposed. TPP-CSACO discards grid-based expansion; instead, a perception circle centered on each ant is defined, movement is executed via a sector-based perception framework with probabilistic direction selection, and band-shaped decaying pheromones are deposited along the path. By coupling the global topological progress potential derived from the simplified probabilistic roadmap (PRM) with pheromones, a dual-field guidance mechanism is established to prevent local congestion. Combined with the explicit safety constraints of the signed distance field (SDF), an adaptive step size strategy that integrates elastic step size and frustration-induced temperature rise is introduced to enhance obstacle avoidance and search stability. Results from repeated experiments on multiscale constrained maps (conducted against six typical algorithms and the traditional ACO) show that compared with ACO, TPP-CSACO reduces the path length by up to 50.6% in the same environment, while achieving faster convergence and maintaining good search diversity. Although the path length increases slightly (by a maximum of 5.9%) compared with the shortest heuristic algorithms, the maximum turning angle is reduced by 75% to 93%, and a 100% success rate and zero safety violations are realized. This indicates that TPP-CSACO has achieved a relatively stable balance among safety, smoothness, and global search capability. Full article
(This article belongs to the Section Sensors and Robotics)
Show Figures

Figure 1

46 pages, 4689 KB  
Article
Time-Dependent Green Location-Routing Problem with the Consideration of Spatio-Temporal Variations
by Junxi Chen, Zhenlin Wei, Bin Han, Xiao Tang, Zhihuan Jiang and Tianding Wang
Smart Cities 2026, 9(2), 34; https://doi.org/10.3390/smartcities9020034 - 14 Feb 2026
Viewed by 437
Abstract
Urban logistics systems are under mounting pressure to decarbonize while meeting growing freight demand. This study addresses this dual challenge by formulating a novel Time-Dependent Green Location-Routing Problem with Spatio-Temporal Variations (TDGLRP-STV). Our proposed framework integrates a dynamic carbon emission calculation method that [...] Read more.
Urban logistics systems are under mounting pressure to decarbonize while meeting growing freight demand. This study addresses this dual challenge by formulating a novel Time-Dependent Green Location-Routing Problem with Spatio-Temporal Variations (TDGLRP-STV). Our proposed framework integrates a dynamic carbon emission calculation method that explicitly links real-time traffic dynamics with the energy consumption patterns of electric logistics vehicles (ELVs), enabling precise, spatio-temporally resolved emission quantification. To tackle the NP-hard complexity arising from the coupling of emission objectives with location-routing decisions, we devise a Two-Stage Interactive Optimization Algorithm (TSI-LR-IACO). This algorithm synergizes Lagrangian Relaxation (LR) and an Improved Ant Colony Optimization (IACO) through a bidirectional feedback mechanism, effectively coordinating strategic facility location with tactical vehicle routing. Numerical experiments based on real-world metropolitan road network data from Beijing demonstrate the efficacy of our approach. The TSI-LR-IACO achieves a 5% reduction in total carbon emissions with a merely 0.01% increase in total system cost, validating its ability to balance environmental and economic objectives. This research provides a scalable and scientifically robust decision-support framework for advancing low-carbon urban logistics. Full article
Show Figures

Figure 1

18 pages, 1639 KB  
Article
A Hybrid Optimization Approach for Multi-Criteria Decision Making in Emergency Response Coordination
by Ning Zhang, Jikai Wang, Shengtao Zhang, Fei Meng, Chuanyi Ma, Yuan Tian and Jianqing Wu
Infrastructures 2026, 11(2), 61; https://doi.org/10.3390/infrastructures11020061 - 11 Feb 2026
Viewed by 381
Abstract
Optimizing the allocation of emergency vehicles is essential for enhancing route-planning efficiency and ensuring road safety during traffic incidents. Traditional dispatch methods often struggle with complex scenarios due to their inability to integrate and balance multiple conflicting factors. This study proposes a multi-objective [...] Read more.
Optimizing the allocation of emergency vehicles is essential for enhancing route-planning efficiency and ensuring road safety during traffic incidents. Traditional dispatch methods often struggle with complex scenarios due to their inability to integrate and balance multiple conflicting factors. This study proposes a multi-objective dispatch framework for emergency vehicles that integrates regression analysis, deep learning, and an enhanced ant colony algorithm. Key environmental factors (e.g., weather, visibility) are selected through logistic regression, and a BP neural network predicts the impact ranges of accidents. The adaptive ant colony algorithm optimizes dynamic routing through innovations such as adjusting state transition probability and implementing pheromone reward—penalty strategies. It achieves faster convergence (with a comprehensive index of 86 in 8 iterations compared to 158 in 20 iterations) and superior path quality (a 9% reduction in rescue time and a 12% decrease in costs). Compared with existing hybrid frameworks, this study is the first to integrate logistic regression-selected environmental factors with BP neural network-predicted accident impact ranges, and further proposes adaptive state transition and pheromone reward-penalty update mechanisms, thereby achieving faster convergence speed and superior path quality in dynamic multi-objective rescue route planning. Full article
(This article belongs to the Special Issue Smart Transportation Infrastructure: Optimization and Development)
Show Figures

Figure 1

34 pages, 904 KB  
Article
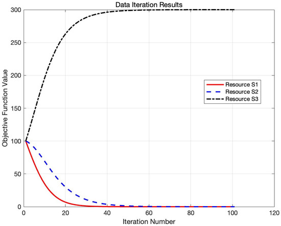
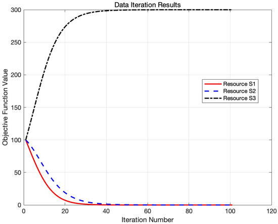
Optimizing Sustainable Resource Integration in Cultural and Tourism Communities Considering Community Influence on Spatial Quality
by Zixuan Sun and Jianming Yao
Sustainability 2026, 18(4), 1714; https://doi.org/10.3390/su18041714 - 7 Feb 2026
Viewed by 282
Abstract
Achieving sustainable development in emerging cultural and tourism communities requires not only economic efficiency, but also the long-term revaluation and adaptive integration of cultural and tourism resources. A key challenge lies in integrating diverse and interdependent resources in ways that enhance cultural value, [...] Read more.
Achieving sustainable development in emerging cultural and tourism communities requires not only economic efficiency, but also the long-term revaluation and adaptive integration of cultural and tourism resources. A key challenge lies in integrating diverse and interdependent resources in ways that enhance cultural value, satisfy heterogeneous visitor demands, and maintain resilience under uncertainty. As many emerging cultural tourism communities rely on newly constructed, place-based cultural scenes rather than historically rooted heritage, conventional resource evaluation approaches often fail to capture the cultural and social dimensions essential for sustainability. To address this gap, this study proposes a sustainability-oriented resource integration framework for emerging cultural tourism communities. Drawing on scene theory and customer value theory, a quantitative evaluation system is developed to measure tourists’ perceived spatial quality while explicitly incorporating community interaction and social influence. Based on this evaluation, a multi-objective optimization model is constructed to balance perceived spatial quality, system dynamic adaptability, and tourism suppliers’ cost expectation fulfillment. The model is solved using an ant colony aggregation-inspired dynamic allocation algorithm and validated through a case study in China. The results show that integrating spatial quality and community influence into resource selection enhances cultural sustainability and system resilience, while avoiding short-term, efficiency-driven development. This study provides a decision-support approach for responsible, community-oriented local development. Full article
Show Figures

Figure 1

26 pages, 2042 KB  
Article
Performance of a Newly Developed Hybrid APO–PSO Metaheuristic for Monitoring of Intelligent Transformer
by Mokhtar Said, Taher Anwar, Ali M. El-Rifaie, Alaa A. K. Ismaeel, Eslam M. Abd Elaziz, Oussama Accouche and Khaled H. Ibrahim
Machines 2026, 14(2), 185; https://doi.org/10.3390/machines14020185 - 6 Feb 2026
Viewed by 244
Abstract
Maintaining the safety and continuity of contemporary power systems depends critically on the accurate diagnosis of transformer failures. The most widely used diagnostic approach is still dissolved gas analysis (DGA); nevertheless, traditional ratio-based techniques, such as the Rogers’ ratio, rely on predefined thresholds [...] Read more.
Maintaining the safety and continuity of contemporary power systems depends critically on the accurate diagnosis of transformer failures. The most widely used diagnostic approach is still dissolved gas analysis (DGA); nevertheless, traditional ratio-based techniques, such as the Rogers’ ratio, rely on predefined thresholds and sometimes exhibit limited flexibility and unclear judgments under varied operating circumstances. This study suggests an optimization-oriented diagnostic approach that uses sophisticated metaheuristic algorithms to adaptively modify DGA gas ratio limitations in order to overcome these shortcomings. Four optimization schemes are formulated and comparatively assessed: the Artificial Protozoa Optimizer (APO), a hybrid Genetic Algorithm–Ant Colony Optimization model (GA–ACO), a hybrid Particle Swarm–Grey Wolf Optimization model (PSO–GWO), and a newly developed hybrid APO–PSO model. A dataset of 500 real-world DGA samples is used to evaluate the algorithms, and each optimization technique is conducted across 50 separate runs. The analysis focuses on statistical consistency, robustness, convergence characteristics, and diagnostic accuracy. With an average classification accuracy of around 96–97%, the suggested hybrid APO–PSO model outperforms standalone APO by about 2–3%, GA–ACO by 1–2%, and PSO–GWO by 1–2%, according to the numerical data. Furthermore, the APO–PSO scheme achieves more consistent behavior over repeated trials, reduced fitness variation, and quicker convergence. The statistical significance of these improvements is confirmed by statistical validation using the Friedman test and the Wilcoxon signed-rank test at a significance threshold of p < 0.05. Overall, the combination of APO’s strong global exploration with PSO’s efficient local exploitation produces a robust and adaptive diagnostic approach. The proposed framework enhances fault discrimination capability, reduces the likelihood of misclassification, and is suitable for both offline fault analysis and online transformer condition monitoring applications. Full article
(This article belongs to the Section Electromechanical Energy Conversion Systems)
Show Figures

Figure 1

22 pages, 2055 KB  
Article
Time-Dependent Route Optimization for Multimodal Hazardous Materials Transport Using Conditional Value-at-Risk Under Uncertainty
by Song Liu, Jingjing Li, Yazhi Lin, Dennis Z. Yu, Yong Peng, Yi Liu and Xianting Ma
Symmetry 2026, 18(2), 292; https://doi.org/10.3390/sym18020292 - 5 Feb 2026
Viewed by 287
Abstract
Transporting hazardous materials has low accident probabilities but potentially catastrophic consequences, making effective risk management essential in uncertain conditions such as population distribution, weather, traffic, and multimodal scheduling constraints. This study develops a Conditional Value-at-Risk (CVaR)-based optimization model for multimodal hazardous materials transportation [...] Read more.
Transporting hazardous materials has low accident probabilities but potentially catastrophic consequences, making effective risk management essential in uncertain conditions such as population distribution, weather, traffic, and multimodal scheduling constraints. This study develops a Conditional Value-at-Risk (CVaR)-based optimization model for multimodal hazardous materials transportation that incorporates transportation and transshipment risks, population exposure uncertainty, fixed departure schedules for rail and waterway transport, dual time-window constraints, and limits on the number of transshipments. The model also reflects the decision-maker’s risk aversion and time-varying travel times. To solve this NP-hard problem, an improved chaotic simulated annealing-ant colony optimization (CSAACO) algorithm is proposed. Numerical experiments show that CSAACO outperforms the standard ACO in terms of solution quality and stability. The results demonstrate that the model effectively captures tail risk in dynamic environments and that both the risk aversion coefficient μ and departure time significantly influence route selection. The proposed approach provides an efficient and practical decision-support tool for hazardous materials multimodal transportation planning under uncertainty. Full article
(This article belongs to the Special Issue The Fusion of Fuzzy Sets and Optimization Using Symmetry)
Show Figures

Figure 1

Back to TopTop