Next Article in Journal
Mechanical Reinforcement of Wool Fiber through Polyelectrolyte Complexation with Chitosan and Gellan Gum
Previous Article in Journal
Application of Electro-Technologies in Processing of Flax Fiber
 
 
Font Type:
Arial Georgia Verdana
Font Size:
Aa Aa Aa
Line Spacing:
Column Width:
Background:
Article

Double Two-Dimensional Discrete Fast Fourier Transform for Determining of Geometrical Parameters of Fibers and Textiles

by
Pavel Shlyakhtenko
and
Oleg Kofnov
*,†
Department of Fibrous Materials Mechanical Technology, St. Petersburg State University of Technology and Design, 18 Bolshaya Morskaya St., St. Petersburg 191186, Russia
*
Author to whom correspondence should be addressed.
These authors contributed equally to this work.
Fibers 2013, 1(3), 36-46; https://doi.org/10.3390/fib1030036
Submission received: 14 August 2013 / Revised: 1 September 2013 / Accepted: 8 October 2013 / Published: 15 October 2013

Abstract

:
We have developed a computing method to determine the geometrical parameters of fibers and the textile periodical structure. This method combines two two-dimensional discrete fast Fourier transforms to calculate a diffraction pattern from a diffraction pattern image of material under consideration. The result is the same as that of observation of a diffraction pattern which is achieved by illuminating the diffraction pattern image of material by a beam of coherent monochromatic light. After the first transform we obtain the Fraunhofer diffraction picture with clearly visible elements of the periodical structure of material, but distances in this picture are reciprocally proportional to distances in the periodical structure of the source object so additional calculations are required. After the second transform we have a clear periodical structure of diffraction maximums where distances between them are equal to distances between repeating elements in the source material (fibers, knots, yarns, etc.)

1. Introduction

The structure of textile materials consists of a network of repeating fibers. For instance, in plain weaving the structure repeats along warp and weft [1]. The important parameter is the distance between warp and weft yarns, which influences textile quality. In spun yarns fiber turns compose a periodical structure where the step between turns determines the twist angle and therefore the yarn strength [2]. The task to be solved was to develop automatic methods for determining steps in such periodical structures.
The diffraction method was claimed to analyze diffraction patterns produced after projecting the textile materials with a laser [3]. Also a numerical method was developed to calculate the same diffraction patterns using a two-dimensional discrete fast Fourier transform of a digital picture of the source material. A special software application measured distances between diffraction maximums [4]. Then real distances in the periodical structure of material could be calculated using the physical parameters of our experimental diffraction system. The distances of in the diffraction patterns depended on the length of the monochromatic wave which illuminated the material and the distance between the material and the screen where the diffraction pattern was projected. In the numeric method it depended on the microscope’s magnification and the digital image resolution.
The idea arose to use the same diffraction method for the diffraction pattern image of the source material, which would form a new diffraction pattern periodical structure where distances between diffraction maximums would be equal to distances between elements in the source periodical structure.

2. Experimental Section

The scheme of our experimental system is shown in Figure 1. We take the image of the diffraction pattern 1 which is produced on the screen when a beam 2 of coherent light illuminates the material 3. L is the distance between the piece of material and the screen with the diffraction pattern.
In the next stage of the experiment, we illuminate the image of the diffraction pattern 1 by coherent light 2, replacing the material 3 with the image of the diffraction pattern 1, and achieve the diffraction pattern 4.
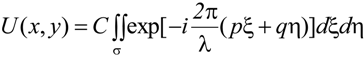
When we illuminate the piece of textile material with a beam of coherent light we have the Fraunhofer diffraction which can be described by the equation given by [5]:
Fibers 01 00036 i001
where C is a constant value; λ is a light wavelength; p = x/L and q = y/L are relative coordinates; L is the distance from the object to the screen, L >> x, y; coordinates (ξ, η) are in the same plane as the object and parallel Cartesian coordinates (x, y), zero points of both coordinate systems are on the same optical axes as the light source and σ is the square of the object’s illuminated areas.
The intensity in point (x,y) is proportional to the amplitude times its complex conjugate:
Fibers 01 00036 i002
where U* is the complex conjugate of U.
If the object is illuminated by a monochromatic wave with non-equal complex amplitude u(ξ,η) which depends on ξ and η [6], the following formula can be used:
Fibers 01 00036 i003
Figure 1. (a) Achieving the diffraction pattern of the source material; (b) Achieving the diffraction pattern of the diffraction pattern image from (a).
Figure 1. (a) Achieving the diffraction pattern of the source material; (b) Achieving the diffraction pattern of the diffraction pattern image from (a).
Fibers 01 00036 g001
For a discrete digital image we can write that ξ = nΔ, η = mΔ, х = k∆ and у = l∆; where Δ is the distance between pixels in a digital image, n = −N/2,, N/2 − 1 and m = −M/2,, M/2 − 1; N and M are the size of the digital image in pixels.
Then we can write Equation (3) as a sum of discrete values [4]:
Fibers 01 00036 i004
Expression in Equation (4) is similar to the expression for the two-dimension discrete Fourier transform and can be calculated by FFT [4]. Thus the diffraction pattern can be computed by the two-dimensional discrete fast Fourier transform algorithm.
According to the Abbe theory (for example, see [7]) two 2D Fourier transforms produce the inverted image of the source object similar to the optical system of two sequential lenses. In our method after completing the first 2D Fourier transform of the source material digital image we have a two-dimensional discrete field of complex amplitudes U. The resulting image can be achieved after replacing the complex amplitudes U by values of their intensities I and applying the second 2D Fourier transform to this field of intensities. The next example demonstrates differences between the Abbe theory and our method.
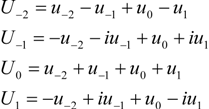
For instance, we consider a simple linear sequence {u−2, u−1, u0, u1} of four elements. The expression of Fourier transform is
Fibers 01 00036 i005
where N = 4. Then
Fibers 01 00036 i006
After the second Fourier transform the result 2U−k is in common with uk
Fibers 01 00036 i007
This result confirms the Abbe theory. But if we substitute complex Uj for real Ij = UjUj* after the first Fourier transform we achieve another result ~U−1 after the second Fourier transform
Fibers 01 00036 i008
That confirms the difference between our method and the optical system using two lenses described by two sequenced Fourier transforms.
In Figure 1a the distances Tξ and Tη between units in the periodical structure of material 3 can be calculated using distances between maximums in the diffraction pattern 1:
Fibers 01 00036 i009
where Dx1 and Dy1 are average distances between diffraction maximums along the X and Y axes of image 1 [4].
If distances between maximums in diffraction pattern 4 are Dx2 and Dy2 (Figure 1b) then:
Fibers 01 00036 i010
where K is the same value as in Equation (9) which depends on our diffraction system magnification.
When we substitute Equation (10) for Equation (9) we have:
Fibers 01 00036 i011
This means that distances between diffraction maximums in the image after the second Fourier transform are equal to distances between units of periodical structure in the source image of the material. To calculate Tξ and Tη we only have to multiply Dx2 and Dy2 by a magnification coefficient of the digital camera taking the source photograph.

3. Results and Discussion

We have conducted a series of numerical experiments with different types of textile materials where we computed the diffraction pattern digital picture of the source image of the material and then we calculated the diffraction pattern image of this picture.
The Figure 2 demonstrates differences between double Fourier transforms using two-lens systems and our method.
Figure 2. (a) The source image of knitted hosiery fabric; (b) The resulting image after double Fourier transform without converting complex U to real I; (c) The resulting image after double diffraction pattern calculation using our method.
Figure 2. (a) The source image of knitted hosiery fabric; (b) The resulting image after double Fourier transform without converting complex U to real I; (c) The resulting image after double diffraction pattern calculation using our method.
Fibers 01 00036 g002
If we apply a Fourier transform to the digital image (Figure 2a), we achieve a 2D field of complex values. If we apply a Fourier transform to this complex field, we obtain the inverted source image (Figure 2b). Tξ is the distance between columns of knitting and Tη is the distance between rows of knitting.
If we apply a Fourier transform to the digital image (Figure 2a) and convert a 2D field of complex values U(x,y) to the digital image of the diffraction pattern calculating the intensities I(x,y) of every pixel by (2), we can apply a Fourier transform to this calculated diffraction pattern and achieve the digital image of the diffraction pattern of the diffraction pattern from the source image (Figure 2c) where we can clearly see the periodical structure of the source material and measure periods. Tξ = Dx2, Tη = Dy2.
Figure 3 shows how to measure the turn period of a twisted yarn using our method.
Figure 3. (a) The digital image of the twisted yarn of two singles; (b) Its diffraction pattern after two transforms. Between Fourier transforms we have built the image using Equation (2).
Figure 3. (a) The digital image of the twisted yarn of two singles; (b) Its diffraction pattern after two transforms. Between Fourier transforms we have built the image using Equation (2).
Fibers 01 00036 g003
There is no difficulty in measuring the distances between diffraction maximums in Figure 3b and they are equal to the yarn’s twist periods.
We have developed a program that automatically makes the necessary measurements (see screenshot, Figure 4).
On the left side of the program window, the graph shows the distribution of digital image pixel intensities along the vertical axis Y. We can clearly see peaks of diffraction maximums and measure the distances between them. Measurements are also calculated for the digital image of the diffraction pattern from the diffraction pattern of the twist yarn digital photograph. These distances (in pixels) are equal to periods of twists in the yarn digital image. Thus we can calculate real distances (in micrometers) if we know the magnification of the microscope and the digital camera for taking the photo of the twist yarn.
Figure 4. Screenshot of the program automatically detecting distances between units in periodical structures.
Figure 4. Screenshot of the program automatically detecting distances between units in periodical structures.
Fibers 01 00036 g004
The program has been developed in C++ with Microsoft .NET Framwork supporting.
Two additional examples of using our method are in Figure 5 and Figure 6. The digital microphotograph of the simple woven cloth is in Figure 5a. The distances between yarns are Tξ and Tη. After applying our method to this digital image we achieve the diffraction pattern (Figure 5b) where we can measure the distances Dx2 and Dy2 between diffraction maximums using our program (Figure 5c). If the original size of the image was 512 × 512 pixels then Tξ = Dx2 = 60 pixels and Tη = Dy2 = 52 pixels.
The digital microphotograph of the tartan is in Figure 6a. The distances between yarns are Tξ and Tη. After applying our method to this digital image we achieve the diffraction pattern (Figure 6b) where we can measure the distances Dx2 and Dy2 between diffraction maximums using our program (Figure 6c), Tξ = Dx2, Tη = Dy2.
Figure 5. (a) The source image of woven cloth; (b) The resulting image after double diffraction pattern calculation using our method; (c) Screenshot of the program automatically detecting distances between units in periodical structures.
Figure 5. (a) The source image of woven cloth; (b) The resulting image after double diffraction pattern calculation using our method; (c) Screenshot of the program automatically detecting distances between units in periodical structures.
Fibers 01 00036 g005
Figure 6. (a) The source image of tartan; (b) The resulting image after double diffraction pattern calculation using our method; (c) Screenshot of the program automatically detecting distances between units in periodical structures.
Figure 6. (a) The source image of tartan; (b) The resulting image after double diffraction pattern calculation using our method; (c) Screenshot of the program automatically detecting distances between units in periodical structures.
Fibers 01 00036 g006

4. Conclusions

We offer a new method of textile material structure analysis which is based on principles of the Fraunhofer diffraction. The images for analysis can be achieved in the physical diffraction apparatus as in Figure 1 or can be calculated using numerical methods for diffraction pattern calculations [4]. In both cases we obtain an image where we can determine distances between periodical units more that are better-defined than in the source material. Periodical units in the source material can have complex geometry, making it difficult to determine them automatically, but here they are shown by bright diffraction maximums which can be easily selected.
This method is easier to use than the method determining distances from a diffraction pattern image after the first Fourier transform [4] because values of periods in diffraction patterns are inversely proportional to periods in the source periodical structure. The second diffraction pattern solves this problem.
This method is also easier than methods which determine edges of complex forms in digital images such as the Hough transform (for example, see [8]).

Acknowledgments

The authors are grateful for the support of the Department of Fibrous Materials Mechanical Technology, St. Petersburg State University of Technology and Design, 18 Bolshaya Morskaya St., St. Petersburg, Russia.

Conflicts of Interest

The authors declare no conflict of interest.

References

  1. Calvimontes, A.; Badrul Hasan, M.M.; Dutschk, V. Effects of Topographic Structure on Wettability of Woven Fabrics. In Woven Fabric Engineering; Dubrovski, P.D., Ed.; Sciyo: Rijeka, Croatia, 2010; pp. 71–92. [Google Scholar]
  2. Lord, P.R. Handbook of yarn technology: science, technology and economics; CRC Press: Boca Raton, Florida, USA, 2003. [Google Scholar]
  3. Shlyakhtenko, P.G. Features of the diffraction monitoring of the geometrical parameters of knitted hosiery fabric. J. Opt. Technol. 2004, 71, 795–798. [Google Scholar] [CrossRef]
  4. Shlyahtenko, P.G.; Pimenov, V.I.; Kofnov, O.V. Use of two-dimensional discrete Fourier transformation for the computer analysis of a material with repeating structure. Autom. Modern Technol. 2013, 7, 20–27. [Google Scholar]
  5. Born, M.; Wolf, E. Principles of Optics: Electromagnetic Theory of Propagation, Interference and Diffraction Light, 7th ed.; University Press: Cambridge, UK, 1997. [Google Scholar]
  6. Shlyakhtenko, P.G.; Shkuropat, S.N.; Nefedov, V.P. Computer analysis of models of optical images of plain weaves. J. Opt. Technol. 2007, 74, 476–478. [Google Scholar] [CrossRef]
  7. Goodman, J.W. Introduction to Fourier Optics, 3rd ed; Robert & Company Publishers: Greenwood Village, Colorado, USA, 2005. [Google Scholar]
  8. Pan, R.; Gao, W.; Liu, J.; Wang, H. Automatic Inspection of Woven Fabric Density of Solid Colour Fabric Density by the Hough Transform. Fibres Text. East. Eur. 2010, 18, 46–51. [Google Scholar]

Share and Cite

MDPI and ACS Style

Shlyakhtenko, P.; Kofnov, O. Double Two-Dimensional Discrete Fast Fourier Transform for Determining of Geometrical Parameters of Fibers and Textiles. Fibers 2013, 1, 36-46. https://doi.org/10.3390/fib1030036

AMA Style

Shlyakhtenko P, Kofnov O. Double Two-Dimensional Discrete Fast Fourier Transform for Determining of Geometrical Parameters of Fibers and Textiles. Fibers. 2013; 1(3):36-46. https://doi.org/10.3390/fib1030036

Chicago/Turabian Style

Shlyakhtenko, Pavel, and Oleg Kofnov. 2013. "Double Two-Dimensional Discrete Fast Fourier Transform for Determining of Geometrical Parameters of Fibers and Textiles" Fibers 1, no. 3: 36-46. https://doi.org/10.3390/fib1030036

APA Style

Shlyakhtenko, P., & Kofnov, O. (2013). Double Two-Dimensional Discrete Fast Fourier Transform for Determining of Geometrical Parameters of Fibers and Textiles. Fibers, 1(3), 36-46. https://doi.org/10.3390/fib1030036

Article Metrics

Back to TopTop