Fouling Release Coatings Based on Polydimethylsiloxane with the Incorporation of Phenylmethylsilicone Oil
Abstract
:1. Introduction
2. Materials and Methods
2.1. Materials
2.2. Preparation of Coating Samples
2.3. Experimental Procedure
2.4. Characterization
2.4.1. Surface Properties of the Coatings
2.4.2. Mechanical Properties of the Coatings
2.4.3. The Leaching Observation of the PSO
2.4.4. Benthic Diatom Adhesion Tests
3. Results and Discussion
3.1. Surface Properties of the Coatings
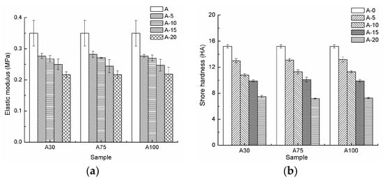
3.2. Mechanical Properties of the Coatings
3.3. Leaching Observation of PSO
3.4. Benthic Diatom Adhesion Tests
4. Conclusions
Author Contributions
Acknowledgments
Conflicts of Interest
References
- Callow, J.A.; Callwo, M.E. Trends in the development of environmentally friendly fouling-resistant marine coatings. Nat. Commun. 2011, 2, 244. [Google Scholar] [CrossRef] [PubMed]
- Chen, R.R.; Li, Y.K.; Tang, L.; Yang, H.C.; Lu, Z.T.; Wang, J.; Liu, L.H.; Takahashi, K. Synthesis of zinc-based acrylate copolymers and their marine antifouling application. RSC Adv. 2017, 7, 40020–40027. [Google Scholar] [CrossRef]
- Yang, W.J.; Neoh, L.G.; Kang, E.T.; Teo, L.M.; Rittschof, D. Polymer brush coatings for combating marine biofouling. Prog. Polym. Sci. 2014, 39, 1017–1042. [Google Scholar] [CrossRef]
- Nurioglu, A.G.; Esteves, A.C.C.; de With, G. Non-toxic, nonbiocide-release antifouling coatings based on molecular structure design for marine applications. J. Mater. Chem. B 2015, 3, 6547–6570. [Google Scholar] [CrossRef]
- Krishnan, S.; Weinman, C.J.; Ober, C.K. Advances in polymers for anti-biofouling surfaces. J. Mater. Chem. 2008, 18, 3405–3413. [Google Scholar] [CrossRef]
- Stafslien, S.J.; Christianson, D.; Daniels, J.; VanderWal, L.; Chernykh, A.; Chisholm, B.J. Combinatorial materials research applied to the development of new surface coatings XVI: Fouling-release properties of amphiphilic polysiloxane coatings. Biofouling 2015, 31, 135–149. [Google Scholar] [CrossRef] [PubMed]
- Loriot, M.; Linossier, I.; Vallee-Rehel, K.; Fay, F. Influence of biodegradable polymer properties on antifouling paints activity. Polymers 2017, 9, 36. [Google Scholar] [CrossRef]
- Hellio, C.; Yebra, D.M. Advances in Marine Antifouling Coatings and Technologies; Woodhead Publishing Ltd.: Cambridge, UK, 2009; pp. 1–15. [Google Scholar]
- Voulvoulis, N.; Scrimshaw, M.D.; Lester, J.N. Alternative antifouling biocides. Appl. Organomet. Chem. 1999, 13, 135–143. [Google Scholar] [CrossRef]
- Omae, I. General aspects of tin-free antifouling paints. Chem. Rev. 2003, 103, 3431–3448. [Google Scholar] [CrossRef] [PubMed]
- Matyjaszewski, K.; Tsarevsky, N.V. Nanostructured functional materials prepared by atom transfer radical polymerization. Nat. Chem. 2009, 1, 276–288. [Google Scholar] [CrossRef] [PubMed]
- Chambers, L.D.; Stokes, K.R.; Walsh, F.C.; Wood, R.J.K. Modern approaches to marine antifouling coatings. Surf. Coat. Technol. 2006, 201, 3642–3652. [Google Scholar] [CrossRef]
- Lejars, M.; Margillan, A.; Bressy, C. Fouling release coatings: A nontoxic alternative to biocidal antifouling coatings. Chem. Rev. 2012, 112, 4347–4390. [Google Scholar] [CrossRef] [PubMed]
- Heilen, W. Silicone Resins and Their Combinations; Vincentz Network GmbH & Co.: Hannover, Germany, 2005; p. 28. [Google Scholar]
- Buyl, F.D. Silicone sealants and structural adhesives. Int. J. Adhes. Adhes. 2001, 21, 411–422. [Google Scholar] [CrossRef]
- Patwardhan, S.V.; Taori, B.P.; Hassan, M.; Agashe, N.R.; Franklin, J.E.; Beaucage, G.; Mark, J.E.; Clarson, S.J. An investigation of the properties of poly(dimethylsiloxane)-bioinspired silica hybrids. Eur. Polym. J. 2006, 42, 167–178. [Google Scholar] [CrossRef]
- Eduok, U.; Faye, O.; Szpunar, J. Recent developments and applications of protective silicone coatings: A review of PDMS functional materials. Prog. Prg. Coat. 2017, 111, 124–163. [Google Scholar] [CrossRef]
- Mueller, W.J.; Nowacki, L.J. Ship’s Hull Coated with Antifouling Silicone Rubber. U.S. Patent 3,702,778, 14 November 1972. [Google Scholar]
- Selvig, T.A.; Leavitt, R.I.; Powers, W.P. Anti-Fouling Marine Compositions. U.S. Patent 4,025,693, 24 May 1977. [Google Scholar]
- Shivapooja, P.; Cao, C.Y.; Orihuela, B.; Levering, V.; Zhao, X.H.; Rittschof, D.; Lopez, G.P. Incorporation of silicone oil into elastomers enhances barnacle detachment by active surface strain. Biofouling 2016, 32, 1017–1028. [Google Scholar] [CrossRef] [PubMed]
- Howell, C.; Vu, T.L.; Lin, J.J.; Kolle, S.; Juthani, N.; Watson, E.; Weaver, J.C.; Alvarenga, J.; Aizenberg, J. Self-replenishing vascularized fouling-release surfaces. ACS Appl. Mater. Interfaces 2014, 6, 13299–13307. [Google Scholar] [CrossRef] [PubMed]
- Galhenage, T.P.; Hoffman, D.; Silbert, S.D.; Stafslien, S.J.; Daniels, J.; Milikovic, T.; Finlay, J.A.; Franco, S.C.; Clare, A.S.; Nedved, B.T.; et al. Fouling-release performance of silicone oil-modified siloxane-polyurethane coatings. ACS Appl. Mater. Interfaces 2016, 8, 29025–29036. [Google Scholar] [CrossRef] [PubMed]
- Stein, J.; Truby, K.; Wood, C.D.; Stein, J.; Gardner, M.; Swain, G.; Kavanagh, C.; Kovach, B.; Schultz, M.; Wiebe, D.; et al. Silicone foul release coatings: Effect of the interaction of oil and coating functionalities on the magnitude of macrofouling attachment strengths. Biofouling 2003, 19, 71–82. [Google Scholar] [CrossRef] [PubMed]
- Ware, C.S.; Smith-Palmer, T.; Peppou-Chapman, S.; Scarratt, L.R.; Humphries, E.M.; Balzer, D.; Neto, C. Marine antifouling behavior of lubricant-infused nanowrinkled polymeric surfaces. ACS Appl. Mater. Interfaces 2018, 10, 4173–7182. [Google Scholar] [CrossRef] [PubMed]
- Truby, K.; Wood, C.D.; Stein, J.; Cella, J.; Carpenter, J.; Kavanagh, C.; Swain, G.; Wiebe, D.; Lapota, D.; Meyer, A.; et al. Evaluation of the performance enhancement of the silicone biofouling-release coatings by oil incorporation. Biofouling 2000, 15, 141–150. [Google Scholar] [CrossRef] [PubMed]
- Afsar, A.; De Nys, R.; Steinberg, P. The effect of foul-release coatings on the settlement and behavior of cyprid larvae of the barnacle balanus amphitrite darwin. Biofouling 2003, 19, 105–110. [Google Scholar] [CrossRef] [PubMed]
- Owens, D.K.; Wendt, R.C. Estimation of the surface free energy of polymers. J. Appl. Polym. Sci. 1969, 13, 1741–1747. [Google Scholar] [CrossRef]
- Ba, M.; Zhang, Z.P.; Qi, Y.H. The dispersion tolerance of micro/nano particle in polydimethylsiloxane and its influence on the properties of fouling release coatings based on polydimethylsiloxane. Coatings 2017, 7, 107. [Google Scholar] [CrossRef]
- Jain, S.R.; Sekkar, V.; Krishnamurthy, V.N. Mechanical and swelling properties of HTPB-based copolyurethan networks. J. Appl. Polym. Sci. 1993, 48, 1515–1523. [Google Scholar] [CrossRef]
- Lai, G.Q.; Xin, S.M. Synthetic Process and Application of Organosilicon; Chemical Industry Press: Beijing, China, 2010; p. 420. (In Chinese) [Google Scholar]
- Flory, P.J.; Rehner, J.J. Statistical mechanics of cross-linked polymer networks II. swelling. J. Chem. Phys. 1943, 11, 521–526. [Google Scholar] [CrossRef]
- Oikawa, H.; Murakami, K. Some comments on the swelling mechanism of rubber vulcanizates. Rubber Chem. Technol. 1987, 60, 579–590. [Google Scholar] [CrossRef]






| Materials | Coating A | Si-30 | Si-75 | Si-100 | PDMS Resin |
|---|---|---|---|---|---|
| Density (g/cm3) | 0.975 | 0.996 | 1.001 | 1.007 | - |
| Relative molecular mass | - | 450 | 610 | 700 | 60,000 |
| Sample | Contact Angle (°) | Surface Free Energy (mJ/m2) | |
|---|---|---|---|
| Water | Diiodomethane | ||
| A | 107.1 ± 0.31 | 65.4 ± 0.11 | 25.8 ± 0.41 |
| A30-5 | 113.9 ± 0.23 | 73.4 ± 0.27 | 21.6 ± 0.22 |
| A30-10 | 114.7 ± 0.17 | 74.3 ± 0.31 | 21.1 ± 0.18 |
| A30-15 | 115.3 ± 0.08 | 75.3 ± 0.28 | 20.6 ± 0.33 |
| A30-20 | 116.0 ± 0.22 | 76.5 ± 0.21 | 19.9 ± 0.28 |
| A75-20 | 116.9 ± 0.15 | 72.1 ± 0.21 | 22.9 ± 0.19 |
| A100-20 | 118.5 ± 0.44 | 70.7 ± 0.33 | 24.2 ± 0.38 |
| Sample | A | A30-5 | A30-10 | A30-15 | A30-20 | A75-20 | A100-20 |
|---|---|---|---|---|---|---|---|
| MC | 11,728 ± 246 | 19,840 ± 374 | 22,495 ± 277 | 24,336 ± 406 | 32,799 ± 178 | 32,710 ± 323 | 32,706 ± 301 |
| Sample | A30-5 | A30-10 | A30-15 | A30-20 | A75-5 | A100-5 |
|---|---|---|---|---|---|---|
| Time (day) | 2250 | 3810 | 5000 | 5890 | 760 | 350 |
| Materials | Si-30 | Si-75 | Si-100 |
|---|---|---|---|
| χ | 1.037 ± 0.0297 | 1.434 ± 0.0266 | 1.779 ± 0.0177 |
| Sample | A | A30-5 | A75-5 | A100-5 | A100-10 | A100-15 | A100-20 |
|---|---|---|---|---|---|---|---|
| Concentration of chlorophyll-a for rinsed samples (mg/m2) | 1735 ± 56 | 1567 ± 27 | 1445 ± 19 | 1375 ± 28 | 830 ± 23 | 719 ± 31 | 460 ± 12 |
| Concentration of chlorophyll-a for washed samples (mg/m2) | 747 ± 27 | 622 ± 42 | 565 ± 32 | 534 ± 28 | 273 ± 33 | 197 ± 40 | 106 ± 20 |
| Fouling removal rate (%) | 56.5 ± 4.71 | 60.3 ± 3.89 | 61.7 ± 2.77 | 60.9 ± 4.14 | 67.1 ± 1.80 | 72.6 ± 2.97 | 76.7 ± 4.36 |
| Sample | A | A30-5 | A75-5 | A100-5 | A100-10 | A100-15 | A100-20 |
|---|---|---|---|---|---|---|---|
| Concentration of chlorophyll-a for rinsed samples (mg/m2) | 1774 ± 48 | 1615 ± 37 | 1485 ± 22 | 1365 ± 42 | 847 ± 33 | 707 ± 12 | 471 ± 22 |
| Concentration of chlorophyll-a for washed samples (mg/m2) | 786 ± 41 | 326 ± 19 | 293 ± 43 | 205 ± 27 | 115 ± 19 | 66 ± 25 | 37 ± 15 |
| Fouling removal rate (%) | 55.7 ± 3.21 | 79.8 ± 3.11 | 80.3 ± 2.16 | 85.0 ± 5.10 | 86.4 ± 3.67 | 90.7 ± 2.77 | 92.1 ± 3.21 |
© 2018 by the authors. Licensee MDPI, Basel, Switzerland. This article is an open access article distributed under the terms and conditions of the Creative Commons Attribution (CC BY) license (http://creativecommons.org/licenses/by/4.0/).
Share and Cite
Ba, M.; Zhang, Z.; Qi, Y. Fouling Release Coatings Based on Polydimethylsiloxane with the Incorporation of Phenylmethylsilicone Oil. Coatings 2018, 8, 153. https://doi.org/10.3390/coatings8050153
Ba M, Zhang Z, Qi Y. Fouling Release Coatings Based on Polydimethylsiloxane with the Incorporation of Phenylmethylsilicone Oil. Coatings. 2018; 8(5):153. https://doi.org/10.3390/coatings8050153
Chicago/Turabian StyleBa, Miao, Zhanping Zhang, and Yuhong Qi. 2018. "Fouling Release Coatings Based on Polydimethylsiloxane with the Incorporation of Phenylmethylsilicone Oil" Coatings 8, no. 5: 153. https://doi.org/10.3390/coatings8050153
APA StyleBa, M., Zhang, Z., & Qi, Y. (2018). Fouling Release Coatings Based on Polydimethylsiloxane with the Incorporation of Phenylmethylsilicone Oil. Coatings, 8(5), 153. https://doi.org/10.3390/coatings8050153

