Preparation of Urea-Formaldehyde-Coated Cationic Red-Ternary System Microcapsules and Properties Optimization
Abstract
1. Introduction
2. Materials and Methods
2.1. Test Materials
2.2. Preparation Method of Microcapsules
- Preparation and dispersion of core materials: The water bath was adjusted to 50 °C, and 80 g of decanol was added to a beaker. Then 4.8 g bisphenol A and 1.6 g crystal violet lactone were added with the mass ratio of crystal violet lactone: bisphenol A: decanol being 1:3:50. The mixture was stirred at 400 rpm for 1.5 h, followed by cooling to room temperature. The obtained product was the thermochromic core material, hereinafter also referred to as the thermochromic compound. The 5.37 g gum arabic and 3.16 g Triton X-100 were weighed as emulsifiers, and 0.06 g dispersible cationic red dye was added. Then 162.13 mL distilled water and 12.80 g thermochromic compounds were added. The system was adjusted to 65 °C and stirred at a relatively high speed for 30 min. Then ultrasonic emulsification was carried out for 5 min.
- Preparation of wall materials: According to the material list, 8.00 g urea and 12.62 g formaldehyde were weighed. After adding 256.00 mL distilled water, triethanolamine was added dropwise to adjust the system pH to 8.5. The beaker was sealed, the temperature was adjusted to 70 °C, and the mixture was maintained at 300 rpm for 1 h to pre-polymerize the wall material.
- Preparation of microcapsules: The urea-formaldehyde prepolymer was added dropwise into the core material emulsion at a stirring speed of 500 rpm and a temperature of 35 °C, followed by the addition of 1.79 g SiO2 and 1.79 g NaCl. The 8% citric acid monohydrate solution was added dropwise to adjust the pH of the system to 2.5, and the mixture was stirred for 1 h. Then the temperature was then raised to 68 °C, the stirring speed was reduced to 250 rpm, and after stirring for 30 min, the microcapsule emulsion was left to stand at room temperature. The microcapsule emulsion was sealed and left to stand for 24 h, with a portion used for formaldehyde emission testing and the remainder subjected to spray drying. The inlet temperature of the spray dryer was set to 130 °C, and the peristaltic pump speed was set to 100 mL/h. After the machine was preheated and the outlet temperature stabilized around 60 °C, the drying process began. The spray-dried light purple powder constituted the final microcapsule product.
2.3. Preparation Method of the Paint Film:
2.4. Testing and Characterization
2.4.1. Yield and Encapsulation Rate Test
2.4.2. Color-Changing Performance and Formaldehyde Emission Test
2.4.3. Normalization Analysis
2.4.4. Microscopic Morphology Test
2.4.5. Chemical Composition Test
2.4.6. Optical Performance Test
2.4.7. Mechanical Performance Test
3. Results and Discussion
3.1. Analysis of Microcapsule Preparation Results
3.1.1. Analysis of Microcapsule Yield and Encapsulation Rate
3.1.2. Analysis of Color-Changing Performance and Formaldehyde Emission of Microcapsules
3.1.3. Analysis of Normalized Orthogonal Experiment Results and Single-Factor Comprehensive Performance of Microcapsules
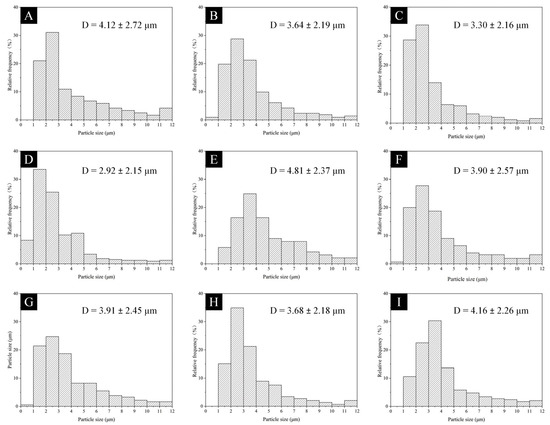
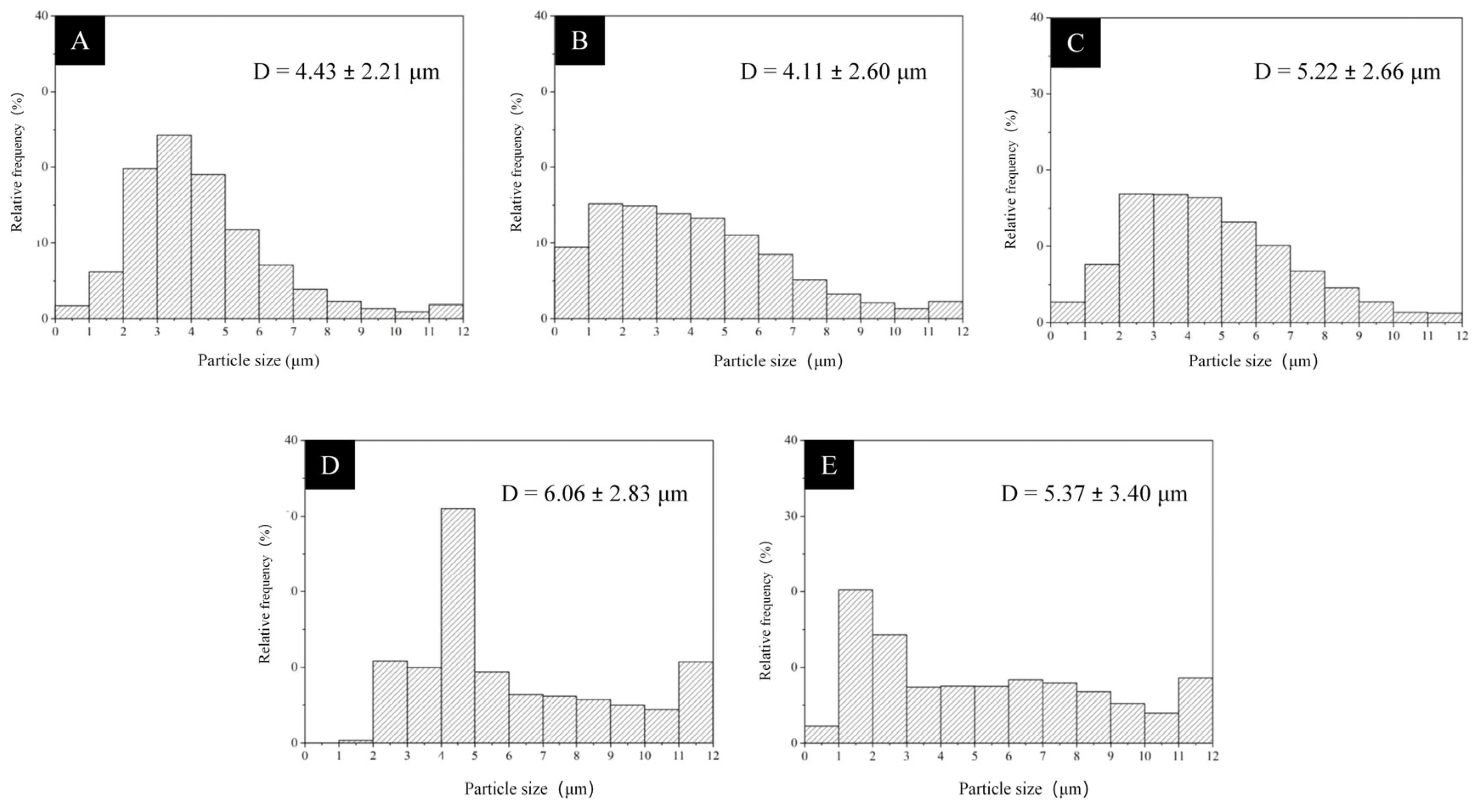
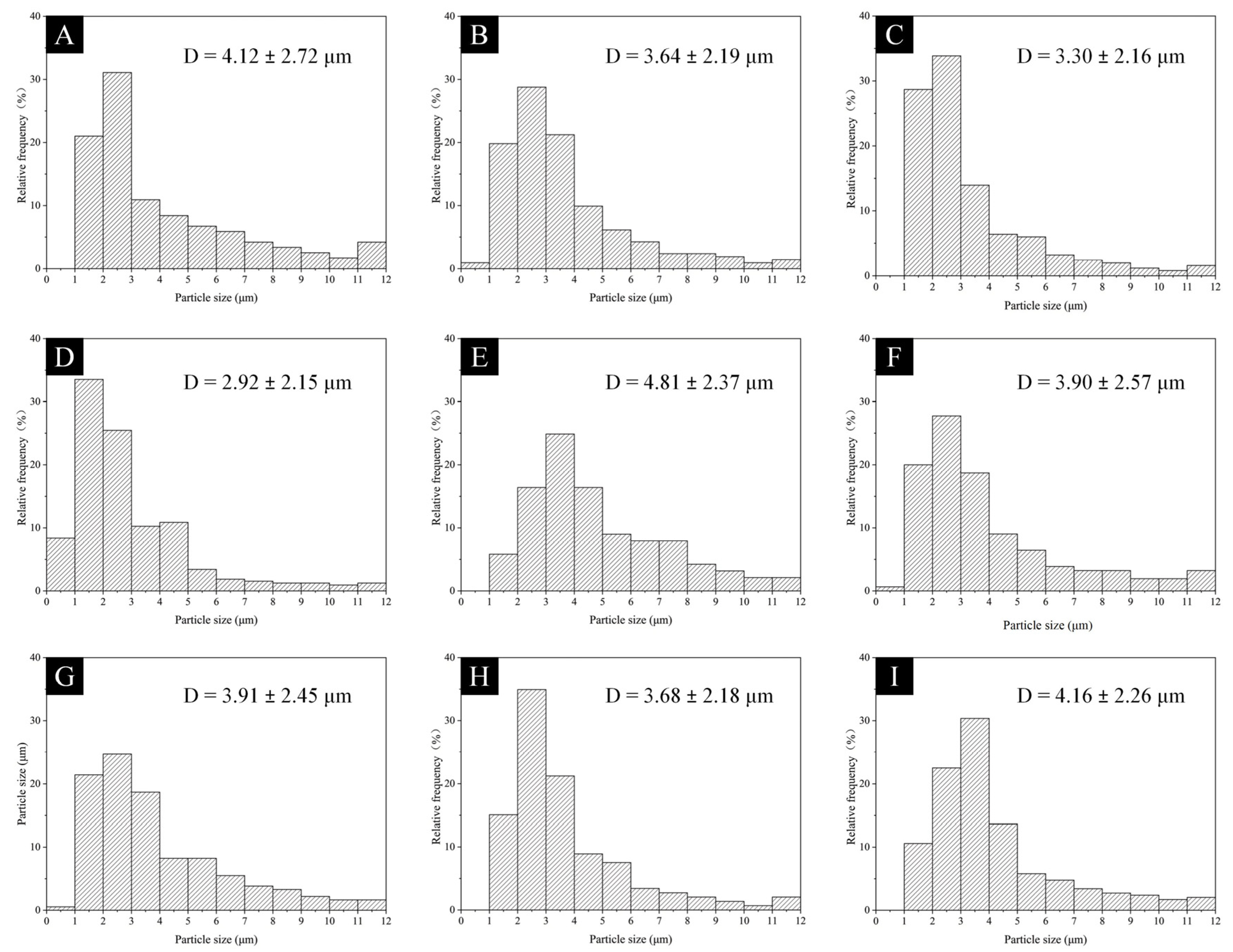
3.1.4. Microscopic Morphology Analysis of Microcapsules
3.1.5. Chemical Composition Analysis of Microcapsules
3.2. Paint Film Performance Analysis
3.2.1. Analysis of Paint Film Optical Performance
3.2.2. Analysis of Paint Film Mechanical Performance
3.2.3. Analysis of Paint Film Morphology
3.2.4. Chemical Composition Analysis of Paint Film
4. Conclusions
Author Contributions
Funding
Institutional Review Board Statement
Informed Consent Statement
Data Availability Statement
Conflicts of Interest
References
- Wu, J.; Yu, P.C.; Wang, L.J.; Zhang, X.J.; Xie, W.W.; Zeng, J.; Zhou, G.F.; Zhang, Z. Reversible Thermochromic Phase Change Material Microcapsules with High Latent Heat via Cellulose Nanocrystal Stabilized Pickering Emulsion for Smart Coatings. Small 2025, 21, 2505575. [Google Scholar] [CrossRef] [PubMed]
- Chang, Y.J.; Yan, X.X.; Wu, Z.H. Application and prospect of self-healing microcapsules in surface coating of wood. Colloid Interface Sci. Commun. 2023, 56, 100736. [Google Scholar] [CrossRef]
- An, K.; Wang, Y.Q.; Sui, Y.; Qing, Y.Q.; Tong, W.; Wang, X.Z.; Liu, C.S. Recent advances of cerium compounds in functional coatings: Principle, strategies and applications. J. Rare Earth. 2025, 43, 227–245. [Google Scholar] [CrossRef]
- Chen, Z.B.; Wu, Z.H. Application Prospect of Multifunctional Hydrogel Coating in Household Field. Coatings 2024, 14, 1580. [Google Scholar] [CrossRef]
- Chang, Y.J.; Wu, Z.H.; Liu, E.W. Fabrication of chitosan-encapsulated microcapsules containing wood wax oil for antibacterial self-healing wood coatings. Ind. Crops Prod. 2024, 222, 119438. [Google Scholar] [CrossRef]
- Calabrese, L.; Proverbio, E. Recent Developments on Functional Coatings for Industrial Applications. Coatings 2023, 13, 59. [Google Scholar] [CrossRef]
- Li, Y.J.; Yao, B.H.; Zeng, P.Y.; Peng, Q.C.; Li, Y.Y.; Li, K.; Zang, S.Q. Pressure-Triggered Photochromism in Chiral Salicylaldehyde Schiff Bases. Chin. J. Chem. 2024, 42, 2987–2992. [Google Scholar] [CrossRef]
- Sun, D.D.; Wu, Y.; Han, X.; Liu, S.M. A supramolecular strategy for gated photochromism in aqueous solution and solid state. Mater. Chem. Front. 2022, 6, 2929–2934. [Google Scholar] [CrossRef]
- Jaik, T.G.; Ciubini, B.; Frascella, F.; Jonas, U. Thermal response and thermochromism of methyl red-based copolymer systems—Coupled responsiveness in critical solution behaviour and optical absorption properties. Polym. Chem. 2022, 13, 1186–1214. [Google Scholar] [CrossRef]
- Wilk-Kozubek, M.; Potaniec, B.; Gazinska, P.; Cybinska, J. Exploring the Origins of Low-Temperature Thermochromism in Polydiacetylenes. Polymers 2024, 16, 2856. [Google Scholar] [CrossRef]
- Gupta, J.; Shaik, H.; Gupta, V.K.; Sattar, S.A. Perspective of Electrochromic Double Layer Towards Enrichment of Electrochromism: A Review. Braz. J. Phys. 2024, 54, 89. [Google Scholar] [CrossRef]
- Deng, J.Z.; Huang, N.; Yan, X.X. Effect of Composite Addition of Antibacterial/Photochromic/Self-Repairing Microcapsules on the Performance of Coatings for Medium-Density Fiberboard. Coatings 2023, 13, 1880. [Google Scholar] [CrossRef]
- Chen, Y.; Liu, R.; Luo, J. Enhancing weathering resistance of UV-curable coatings by using TiO2 particles as filler. Prog. Org. Coat. 2023, 169, 106936. [Google Scholar] [CrossRef]
- Zhang, H.Q.; Feng, X.H.; Wu, Y.; Wu, Z.H. Factors influencing the properties of UV-cured self-matting film. Prog. Org. Coat. 2024, 189, 108241. [Google Scholar] [CrossRef]
- Zhang, Y.A.; Sheng, Y.M.; Wang, M.H.; Lu, X. UV-curable self-healing, high hardness and transparent polyurethane acrylate coating based on dynamic bonds and modified nano-silica. Prog. Org. Coat. 2022, 172, 107051. [Google Scholar] [CrossRef]
- Todorova, D.; Dimitrov, K.; Herzog, M. Solvent free UV curable coating for paper protection. Sustain. Chem. Pharm. 2021, 24, 100543. [Google Scholar] [CrossRef]
- Sykam, K.; Hussain, S.S.; Sivanandan, S.; Narayan, R.; Basak, P. Non-halogenated UV-curable flame retardants for wood coating applications: Review. Prog. Org. Coat. 2023, 179, 107549. [Google Scholar] [CrossRef]
- Wang, T.H.; Liu, X.B.; Luo, J.; Liu, R.; Sun, G.Q. Encapsulation of Dyed Alkanes with Polyurethane Microcapsules from Interfacial Polymerization Enables Irreversible Thermochromic Coatings. ACS Appl. Polym. Mater. 2024, 6, 8811–8820. [Google Scholar] [CrossRef]
- Sánchez-Osorno, D.M.; López-Jaramillo, M.C.; Paz, A.V.C.; Villa, A.L.; Peresin, M.S.; Martínez-Galán, J.P. Recent Advances in the Microencapsulation of Essential Oils, Lipids, and Compound Lipids through Spray Drying: A Review. Pharmaceutics 2023, 15, 1490. [Google Scholar] [CrossRef]
- Liu, X.D.; Gao, W.; Lu, Y.; Wu, L.Y.; Chen, Y.P. High-throughput microfluidic production of carbon capture microcapsules: Fundamentals, applications, and perspectives. Int. J. Extrem. Manuf. 2024, 6, 032010. [Google Scholar] [CrossRef]
- Lu, X.R.; Wang, X.F.; Xue, D.; Zhao, T. Preparation and characterization of n-octadecane @ bio-based polyurea microcapsules. Sustain. Chem. Pharm. 2025, 45, 102002. [Google Scholar] [CrossRef]
- Xiao, Z.B.; Zhou, L.Y.; Sun, P.L.; Li, Z.B.; Kang, Y.X.; Guo, M.X.; Niu, Y.W.; Zhao, D. Regulation of mechanical properties of microcapsules and their applications. J. Control. Release 2024, 375, 90–104. [Google Scholar] [CrossRef] [PubMed]
- Berraaouan, D.; Essifi, K.; Addi, M.; Hano, C.; Fauconnier, M.L.; Tahani, A. Hybrid Microcapsules for Encapsulation and Controlled Release of Rosemary Essential Oil. Polymers 2023, 15, 823. [Google Scholar] [CrossRef] [PubMed]
- Chang, Y.J.; Liu, E.W.; Wu, Z.H. Constructing chitosan microcapsules using hydroxypropyl methylcellulose for self-healing antibacterial wood coating. Int. J. Biol. Macromol. 2025, 308, 142300. [Google Scholar] [CrossRef]
- Deng, J.Z.; Yan, X.X. Preparation of Tung Oil Microcapsules Coated with Chitosan-Arabic Gum and Its Effect on the Properties of UV Coating. Polymers 2025, 17, 1985. [Google Scholar] [CrossRef]
- Xia, Y.X.; Yan, X.X. Preparation of UV Topcoat Microcapsules and Their Effect on the Properties of UV Topcoat Paint Film. Polymers 2024, 16, 1410. [Google Scholar] [CrossRef]
- Tao, Y.T.; Tang, Z.H.; Huang, Q.Y.; Xu, X.F.; Cheng, X.Y.; Zhang, G.X.; Jing, X.Y.; Li, X.L.; Liang, J.; Granato, D.; et al. Effects of spray drying temperature on physicochemical properties of grapeseed oil microcapsules and the encapsulation efficiency of pterostilbene. Lwt-Food Sci. Technol. 2024, 193, 115779. [Google Scholar] [CrossRef]
- Phanse, S.K.; Chandra, S. Spray drying encapsulation of essential oils: Insights on various factors affecting the physicochemical properties of the microcapsules. Flavour Frag. J. 2024, 39, 93–115. [Google Scholar] [CrossRef]
- Espinosa-Andrews, H.; Morales-Hernández, N.; García-Márquez, E.; Rodríguez-Rodríguez, R. Development of fish oil microcapsules by spray drying using mesquite gum and chitosan as wall materials: Physicochemical properties, microstructure, and lipid hydroperoxide concentration. Int. J. Polym. Mater. 2023, 72, 646–655. [Google Scholar] [CrossRef]
- Zhang, S.N.; Yan, R.M.; Zhang, S.Y.; Lu, Y.N. W/O/W Multiple Emulsified Microcapsules Based on Biopolymer Soybean Isolate Proteins: Improving Tannic Acid’s Biocompatibility and Sustained-Release Performance. Molecules 2025, 30, 2373. [Google Scholar] [CrossRef]
- Zhang, X.Z.; Wang, D.; Liu, L.; Jiang, W.L.; Xiang, W.L.; Zhang, Q.; Tang, J. Microencapsulation of Zanthoxylum schinifolium essential oil through emulsification followed by spray drying: Microcapsule characterization and functional evaluation. Colloids Surf. A 2024, 687, 133484. [Google Scholar] [CrossRef]
- da Silva Acácio, R.; Pamphile-Adrian, A.J.; Florez-Rodriguez, P.P.; de Freitas, J.D.; Goulart, H.F.; Santana, A.E.G. Dataset of Schinus terebinthifolius essential oil microencapsulated by spray-drying. Data Brief 2023, 47, 108927. [Google Scholar] [CrossRef] [PubMed]
- Takatani, M.; Takaoka, N.; Nakagawa, K.; Kobayashi, T. Preparation of bio-based thermal energy storage microcapsules by spray drying and its property evaluation. J. Therm. Anal. Calorim. 2025, 150, 5981–5990. [Google Scholar] [CrossRef]
- Jiang, J.Y.; Ma, C.; Song, X.N.; Zeng, J.H.; Zhang, L.W.; Gong, P.M. Spray drying co-encapsulation of lactic acid bacteria and lipids: A review. Trends Food Sci. Technol. 2022, 129, 134–143. [Google Scholar] [CrossRef]
- Hashim, N.A.; Mudalip, S.K.A.; Man, R.C.; Sulaiman, S.Z. Menhaden fish oil encapsulation by spray drying process: Influence of different biopolymer materials, inlet air temperature and emulsion ratios. J. Chem. Technol. Biot. 2023, 98, 2726–2733. [Google Scholar] [CrossRef]
- San, S.M.; Jaturanpinyo, M.; Limwikrant, W. Effects of Wall Material on Medium-Chain Triglyceride (MCT) Oil Microcapsules Prepared by Spray Drying. Pharmaceutics 2022, 14, 1281. [Google Scholar] [CrossRef]
- Zou, Y.M.; Yan, X.X. Preparation and Optimization of Thermochromic Microcapsules as a Ternary System of Crystal Violet Lactone: Bisphenol A: Decanol Encapsulated with Urea Formaldehyde Resin in a UV-Curable Primer. Polymers 2025, 17, 851. [Google Scholar] [CrossRef]
- GB/T 11186.3-1989; Methods for Measuring the Colour of Coating Films. Part III: Calculation of Colour Differences. Standardization Administration of the People’s Republic of China: Beijing, China, 1990.
- Qi, Y.Q.; Zhang, Z.Q.; Sun, Y.; Shen, L.M.; Han, J.L. Study on the Process Optimization of Peanut Coat Pigment Staining of Poplar Wood. Forests 2024, 15, 504. [Google Scholar] [CrossRef]
- Qi, Y.Q.; Zhou, Z.W.; Li, J.X.; Shen, L.M.; Han, J.L. Study on the dyeing properties of Chinese fir with Cinnamomum camphor pigment by premordant dyeing. Wood Mater. Sci. Eng. 2025, 20, 16–176. [Google Scholar] [CrossRef]
- GB/T 4893.6-2013; Test of Surface Coatings of Furniture-Part 6: Determination of Gloss Value. Standardization Administration of the People’s Republic of China: Beijing, China, 2013.
- Wang, C.; Li, J.Y.; Wang, X.W.; Chu, Q.; Wang, T.Y. Influence of Shell Structure on the Tensile Strength of Fused Filament Fabrication Models. Mater. Plast. 2024, 61, 19–26. [Google Scholar] [CrossRef]
- Xue, J.X.; Xu, W.; Zhou, J.C.; Mao, W.G.; Wu, S.S. Effects of High-Temperature Heat Treatment Modification by Impregnation on Physical and Mechanical Properties of Poplar. Materials 2022, 15, 7334. [Google Scholar] [CrossRef] [PubMed]
- Wang, C.; Huang, H.Y.; Wang, X.W.; Wang, Y.B.R.; Zhu, Y. Effect of drying treatment on the physical and mechanical properties of material extrusion-based 3D-printed PETG models. BioResources 2025, 20, 7000–7009. [Google Scholar] [CrossRef]
- Hu, W.G.; Zhao, Y.; Xu, W.; Liu, Y.Q. The Influences of Selected Factors on Bending Moment Capacity of Case Furniture Joints. Appl. Sci. 2024, 14, 10044. [Google Scholar] [CrossRef]
- Hu, W.G.; Yu, R.Z.; Yang, P. Characterizing Roughness of Wooden Mortise and Tenon Considering Effects of Measured Position and Assembly Condition. Forests 2024, 15, 1584. [Google Scholar] [CrossRef]
- Liu, Y.; Hu, J.; Xu, W. Surface Roughness of Wood Substrates after Grinding and Its Influence on the Modification Effect of Structural Color Layers. Forests 2023, 14, 2213. [Google Scholar] [CrossRef]
- Xu, X.T.; Zhang, M.; Yue, X.Y.; Xiong, X.Q. Design of furniture mortise-and-tenon joints: A review of mechanical properties and design recommendations. Wood Mater. Sci. Eng. 2025, 1–15. [Google Scholar] [CrossRef]
- Hu, W.; Luo, M.; Liu, Y.; Xu, W.; Konukcu, A.C. Experimental and numerical studies on the mechanical properties and behaviors of a novel wood dowel reinforced dovetail joint. Eng. Fail. Anal. 2023, 152, 107440. [Google Scholar] [CrossRef]
- Wang, C.L.; Wu, Z.H.; Wang, J.X.; Liu, Y. Theory and Method for Rapid Carbon Footprint Accounting of Solid Wood Furniture. Forest Prod. J. 2025, 75, 155–163. [Google Scholar] [CrossRef]
- Shi, L.Y.; Liu, Y.; Hu, J.; Chen, H.; Ji, J.G. Life-Cycle Assessment of Bicycles Based on Bamboo Bending Technology. For. Prod. J. 2025, 75, 179–188. [Google Scholar] [CrossRef]
- Fu, S.J.; Xiong, X.Q.; Wan, R.Y.; Zhang, M.; Xu, X.T. The Development and Future Challenges of China’s Furniture Industry. Drewno 2025, 68, 00045. [Google Scholar] [CrossRef]
- Hu, J.; Liu, Y.; Xu, W. Impact of cellular structure on the thickness and light reflection properties of structural color layers on diverse wood surfaces. Wood Mater. Sci. Eng. 2025, 20, 495–505. [Google Scholar] [CrossRef]
- Hu, J.; Liu, Y.; Xu, W. Influence of Cell Characteristics on the Construction of Structural Color Layers on Wood Surfaces. Forests 2024, 15, 676. [Google Scholar] [CrossRef]












| Test Materials | Molecular Formula | Molecular Mass | Purity | Manufacturer |
|---|---|---|---|---|
| Crystal violet lactone | C26H29N3O2 | 415.527 | AR | Shanghai Haiyu Chemical Co., Ltd., Shanghai, China |
| Dispersible cationic red dye | C3H4N4O2 | 128.09 | - | Jiangsu Yancheng Delong Chemical Co., Ltd., Yancheng, China |
| Bisphenol A | C15H16O2 | 228.286 | AR | Shanghai Haiyu Chemical Co., Ltd., Shanghai, China |
| Decanol | C10H22O | 158.28 | AR | Guangdong Wengjiang Chemical Reagent Co., Ltd., Shaoguan, China |
| Urea | CH4N2O | 60.06 | AR | Guangzhou Suixin Chemical Co., Ltd., Guangzhou, China |
| Formaldehyde solution | CH2O | 30.03 | 37% | Guangzhou Suixin Chemical Co., Ltd., Guangzhou, China |
| Triethanolamine | C6H15NO3 | 149.19 | AR | Shandong Hengshuo Chemical Co., Ltd., Jinan, China |
| Citric acid monohydrate | C6H10O8 | 210.139 | AR | Guangdong Fangxin Biotechnology Co., Ltd., Shaoguan, China |
| Gum arabic powder | N/A | - | AR | Langfang Qianyao Technology Co., Ltd., Langfang, China |
| Triton X-100 | C16H26O2 | 250.376 | AR | Jinan Xiaoshi Chemical Co., Ltd., Jinan, China |
| Span 80 | C24H44O6 | 428.6 | AR | Jinan Xiaoshi Chemical Co., Ltd., Jinan, China |
| Sodium chloride | NaCl | 58.44 | AR | Shanghai Sinopharm Reagent Co., Ltd., Shanghai, China |
| Silicon dioxide | SiO2 | 60.08 | AR | Shanghai Sinopharm Reagent Co., Ltd., Shanghai, China |
| Test Equipments | Model | Manufacturer |
|---|---|---|
| Constant temperature water bath pot | DF-101S | Muyang Hongguanriyi E-commerce Co., Ltd., Muyang, China |
| Scanning electron microscope (SEM) | Quanta-200 | Thermo Fisher Technology Co., Ltd., Waltham, MA, USA |
| Zeiss optical microscope (OM) | AX10 | Carl Zeiss AG., Baden, Germany |
| Infrared Spectrometer (FTIR) | VERTEX 80V | Brook Co., Karlsruhe, Germany |
| Glossmeter | HG268 | Shenzhen Sanenshi Technology Co., Ltd., Shenzhen, China |
| Colorimete | SEGT-J | Zhuhai Tianchuang Instrument Co., Ltd., Zhuhai, China |
| UV spectrophotometer | U-3900/3900H | Hitachi Instrument Co., Ltd., Suzhou, China |
| Roughness meter | J8-4C | Shanghai Taiming Optical Instrument Co., Ltd., Shanghai, China |
| Universal mechanical testing machine | AG-IC10OKN | Shimadzu Production House, Kyoto, Japan |
| UV single lamp curing machine | 620# | Huzhou Tongxu Machinery Equipment Co., Ltd., Huzhou, China |
| Small spray dryer | JA-PWGZ100 | Shenyang Jingao Instrument Technology Co., Ltd., Shenyang, China |
| Air quality detector | DM105D | Shenzhen Langdeli Technology Co., Ltd., Shenzhen, China |
| Handheld thermometer | 2003Y | Putian Hanjiang Huafeng Plastic Co., Ltd., Putian, China |
| Level | Factor A | Factor B | Factor C | Factor D |
|---|---|---|---|---|
| Mass Fraction of Cationic Red in the Core Materials (%) | WF:WU | HLB Value of the Emulsifier | Core–Wall Ratio | |
| 1 | 2.5 | 1.2:1 | 6.0 | 1:1 |
| 2 | 1.5 | 1.0:1 | 8.0 | 1:1.5 |
| 3 | 0.5 | 0.8:1 | 10.0 | 1:2 |
| Sample (#) | Factor A | Factor B | Factor C | Factor D |
|---|---|---|---|---|
| Mass Fraction of Cationic Red in the Core Materials (%) | WF:WU | HLB Value of the Emulsifier | Core–Wall Ratio | |
| 1 | 2.5 | 1.2:1 | 6.0 | 1:1 |
| 2 | 2.5 | 1.0:1 | 8.0 | 1:1.5 |
| 3 | 2.5 | 0.8:1 | 10.0 | 1:2 |
| 4 | 1.5 | 1.2:1 | 8.0 | 1:2 |
| 5 | 1.5 | 1.0:1 | 10.0 | 1:1 |
| 6 | 1.5 | 0.8:1 | 6.0 | 1:1.5 |
| 7 | 0.5 | 1.2:1 | 10.0 | 1:1.5 |
| 8 | 0.5 | 1.0:1 | 6.0 | 1:2 |
| 9 | 0.5 | 0.8:1 | 8.0 | 1:1 |
| Sample (#) | Dye (g) | Urea (g) | Formaldehyd (g) | Distilled Water (Wall Material) (mL) | Gum Arabic (g) | Span 80 (g) | Triton X-100 (g) | Distilled Water (Core Material) (mL) | Core Material (g) | NaCl (g) | SiO2 (g) |
|---|---|---|---|---|---|---|---|---|---|---|---|
| 1 | 0.32 | 8.00 | 12.62 | 256.00 | 3.92 | 4.61 | - | 162.13 | 12.80 | 1.79 | 1.79 |
| 2 | 0.20 | 8.00 | 10.52 | 240.00 | 5.33 | - | - | 101.33 | 8.00 | 1.12 | 1.12 |
| 3 | 0.08 | 8.00 | 8.42 | 125.00 | 1.31 | - | 0.77 | 39.39 | 3.11 | 0.44 | 0.44 |
| 4 | 0.10 | 8.00 | 12.62 | 256.00 | 4.27 | - | - | 81.07 | 6.40 | 0.90 | 0.90 |
| 5 | 0.18 | 8.00 | 10.52 | 240.00 | 5.04 | - | 2.96 | 152.00 | 12.00 | 1.68 | 1.68 |
| 6 | 0.06 | 8.00 | 8.42 | 125.00 | 1.27 | 1.49 | - | 52.52 | 4.15 | 0.58 | 0.58 |
| 7 | 0.04 | 8.00 | 12.62 | 256.00 | 3.58 | - | 2.11 | 108.09 | 8.53 | 1.19 | 1.19 |
| 8 | 0.03 | 8.00 | 10.52 | 240.00 | 1.82 | 2.16 | - | 76.00 | 6.00 | 0.84 | 0.84 |
| 9 | 0.03 | 8.00 | 8.42 | 125.00 | 4.15 | - | - | 78.79 | 6.22 | 0.87 | 0.87 |
| Sample (#) | Dye (g) | Urea (g) | Formaldehyd (g) | Distilled Water (Wall Material) (mL) | Gum Arabic (g) | Triton X-100 (g) | Distilled Water (Core Material) (mL) | Core Material (g) | NaCl (g) | SiO2 (g) |
|---|---|---|---|---|---|---|---|---|---|---|
| 10 | 0.06 | 8.00 | 12.62 | 256.00 | 5.37 | 3.16 | 162.13 | 12.80 | 1.79 | 1.79 |
| 11 | 0.05 | 8.00 | 12.62 | 256.00 | 4.88 | 2.87 | 147.39 | 11.64 | 1.63 | 1.63 |
| 12 | 0.05 | 8.00 | 12.62 | 256.00 | 4.48 | 2.63 | 135.11 | 10.67 | 1.49 | 1.49 |
| 13 | 0.05 | 8.00 | 12.62 | 256.00 | 4.13 | 2.43 | 124.72 | 9.85 | 1.38 | 1.38 |
| 14 | 0.04 | 8.00 | 12.62 | 256.00 | 3.84 | 2.26 | 115.81 | 9.14 | 1.28 | 1.28 |
| Microcapsule Addition Amount (%) | Microcapsule Quality (g) | UV Primer Quality (g) |
|---|---|---|
| 0 | 0.00 | 1.00 |
| 5 | 0.05 | 0.95 |
| 10 | 0.10 | 0.90 |
| 15 | 0.15 | 0.85 |
| 20 | 0.20 | 0.80 |
| 25 | 0.25 | 0.75 |
| 30 | 0.30 | 0.70 |
| Category | Sample (#) | Mass Fraction of Cationic Red in the Core Materials (%) | WF:WU | HLB Value | Core–Wall Ratio | Yield Rate (%) |
|---|---|---|---|---|---|---|
| Range | 1 | 2.5 | 1.2:1 | 6.0 | 1:1 | 40.37 ± 0.96 |
| 2 | 2.5 | 1.0:1 | 8.0 | 1:1.5 | 27.09 ± 1.70 | |
| 3 | 2.5 | 0.8:1 | 10.0 | 1:2 | 36.76 ± 1.32 | |
| 4 | 1.5 | 1.2:1 | 8.0 | 1:2 | 43.91 ± 1.18 | |
| 5 | 1.5 | 1.0:1 | 10.0 | 1:1 | 46.01 ± 1.41 | |
| 6 | 1.5 | 0.8:1 | 6.0 | 1:1.5 | 38.70 ± 1.63 | |
| 7 | 0.5 | 1.2:1 | 10.0 | 1:1.5 | 45.91 ± 1.15 | |
| 8 | 0.5 | 1.0:1 | 6.0 | 1:2 | 38.96 ± 1.74 | |
| 9 | 0.5 | 0.8:1 | 8.0 | 1:1 | 41.32 ± 1.05 | |
| Mean value 1 | 34.74 | 43.40 | 39.34 | 42.56 | ||
| Mean value 2 | 42.87 | 37.35 | 37.44 | 37.23 | ||
| Mean value 3 | 42.06 | 38.93 | 42.89 | 39.88 | ||
| Range | 8.14 | 6.04 | 5.45 | 5.33 | ||
| Factor primary and secondary level | A > B > C > D | |||||
| Optimal level | A2 | B1 | C3 | D1 | ||
| Optimal scheme | A2B1C3D1 | |||||
| Factor | SS | df | MS | F | p-Value |
|---|---|---|---|---|---|
| Factor A: Mass fraction of cationic red in the core materials (%) | 240.979 | 2 | 120.490 | 20.829 | 0.000 ** |
| Factor B: WF:WU | 117.977 | 2 | 58.988 | 10.197 | 0.005 ** |
| Factor C: HLB value of the emulsifier | 91.763 | 2 | 45.882 | 7.931 | 0.010 ** |
| Factor D: Core–Wall ratio | 85.290 | 2 | 42.645 | 7.372 | 0.013 * |
| Error | 52.063 | 9 | 5.785 | ||
| Total | 588.072 | 17 |
| Category | Sample (#) | Mass Fraction of Cationic Red in the Core Materials (%) | WF:WU | HLB Value | Core–Wall Ratio | Encapsulation Rate (%) |
|---|---|---|---|---|---|---|
| Range | 1 | 2.5 | 1.2:1 | 6.0 | 1:1 | 68 ± 1.63 |
| 2 | 2.5 | 1.0:1 | 8.0 | 1:1.5 | 64 ± 1.41 | |
| 3 | 2.5 | 0.8:1 | 10.0 | 1:2 | 51 ± 1.63 | |
| 4 | 1.5 | 1.2:1 | 8.0 | 1:2 | 68 ± 2.16 | |
| 5 | 1.5 | 1.0:1 | 10.0 | 1:1 | 63 ± 0.82 | |
| 6 | 1.5 | 0.8:1 | 6.0 | 1:1.5 | 49 ± 2.16 | |
| 7 | 0.5 | 1.2:1 | 10.0 | 1:1.5 | 59 ± 1.63 | |
| 8 | 0.5 | 1.0:1 | 6.0 | 1:2 | 63 ± 0.82 | |
| 9 | 0.5 | 0.8:1 | 8.0 | 1:1 | 59 ± 1.41 | |
| Mean value 1 | 61.00 | 65.00 | 60.00 | 63.33 | ||
| Mean value 2 | 60.00 | 63.33 | 63.67 | 57.33 | ||
| Mean value 3 | 60.33 | 53.00 | 57.67 | 60.67 | ||
| Range | 1.00 | 12.00 | 6.00 | 6.00 | ||
| Factor primary and secondary level | B > C = D > A | |||||
| Optimal level | A1 | B1 | C2 | D1 | ||
| Optimal scheme | A1B1C2D1 | |||||
| Factor | SS | df | MS | F | p-Value |
|---|---|---|---|---|---|
| Factor A: Mass fraction of cationic red in the core materials | 3.111 | 2 | 1.556 | 0.350 | 0.714 |
| Factor B: WF:WU | 507.111 | 2 | 253.556 | 57.050 | 0.000 ** |
| Factor C: HLB value of the emulsifier | 109.778 | 2 | 54.889 | 12.350 | 0.003 ** |
| Factor D: Core–wall ratio | 108.444 | 2 | 54.222 | 12.200 | 0.003 ** |
| Error | 40.000 | 9 | 4.444 | ||
| Total | 768.444 | 17 |
| Sample (#) | Low Temperature Chromaticity Value (−20 °C) | High Temperature Chromaticity Value (60 °C) | ΔE | Formaldehyde Emission (mg/m3) | ||||
|---|---|---|---|---|---|---|---|---|
| L1 | a1 | b1 | L2 | a2 | b2 | |||
| 1 | 37.700 | 47.750 | −4.250 | 42.000 | 49.300 | −3.775 | 4.595 ± 0.141 | 1.303 ± 0.018 |
| 2 | 55.575 | 49.425 | −7.875 | 53.225 | 49.750 | −5.300 | 3.501 ± 0.289 | 1.383 ± 0.007 |
| 3 | 31.725 | 36.500 | −3.950 | 37.250 | 43.650 | −2.075 | 9.228 ± 0.211 | 1.315 ± 0.011 |
| 4 | 48.650 | 52.100 | −7.550 | 51.725 | 53.750 | −5.125 | 4.250 ± 0.178 | 1.330 ± 0.015 |
| 5 | 47.450 | 52.850 | −2.250 | 37.625 | 50.825 | 1.075 | 10.568 ± 0.279 | 1.316 ± 0.010 |
| 6 | 45.175 | 47.100 | −8.225 | 47.975 | 49.725 | −6.050 | 4.411 ± 0.199 | 1.383 ± 0.008 |
| 7 | 51.475 | 38.175 | −13.150 | 52.200 | 45.000 | −11.200 | 7.135 ± 0.316 | 1.303 ± 0.013 |
| 8 | 32.575 | 34.350 | −9.375 | 36.475 | 40.100 | −6.975 | 7.351 ± 0.205 | 1.348 ± 0.011 |
| 9 | 49.350 | 41.550 | −13.275 | 52.950 | 43.725 | −10.600 | 4.985 ± 0.120 | 1.291 ± 0.009 |
| Sample (#) | High Temperature Chromaticity Value (60 °C) | Low Temperature Chromaticity Value (−20 °C) | ΔE | ||||
|---|---|---|---|---|---|---|---|
| L1 | a1 | b1 | L2 | a2 | b2 | ||
| 1 | 43.800 | 48.700 | −3.100 | 39.300 | 49.100 | −3.300 | 4.522 ± 0.159 |
| 2 | 53.200 | 49.500 | −5.800 | 56.200 | 50.200 | −8.100 | 3.844 ± 0.123 |
| 3 | 37.700 | 42.300 | −1.600 | 31.900 | 35.800 | −3.800 | 8.985 ± 0.224 |
| 4 | 50.900 | 53.200 | −5.500 | 47.000 | 52.400 | −7.600 | 4.501 ± 0.163 |
| 5 | 39.200 | 50.400 | 1.700 | 44.800 | 56.900 | −2.800 | 9.688 ± 0.260 |
| 6 | 48.500 | 49.800 | −5.800 | 45.800 | 46.900 | −7.900 | 4.484 ± 0.132 |
| 7 | 51.300 | 45.100 | −11.400 | 51.300 | 37.900 | −12.000 | 7.225 ± 0.127 |
| 8 | 38.500 | 38.500 | −7.100 | 34.100 | 32.800 | −9.500 | 7.590 ± 0.094 |
| 9 | 52.400 | 46.600 | −10.300 | 51.600 | 42.800 | −13.400 | 4.969 ± 0.155 |
| Category | Sample (#) | Mass Fraction of Cationic Red in the Core Materials (%) | WF:WU | HLB Value | Core–Wall Ratio | ΔE |
|---|---|---|---|---|---|---|
| Range | 1 | 2.5 | 1.2:1 | 6.0 | 1:1 | 4.595 |
| 2 | 2.5 | 1.0:1 | 8.0 | 1:1.5 | 3.501 | |
| 3 | 2.5 | 0.8:1 | 10.0 | 1:2 | 9.228 | |
| 4 | 1.5 | 1.2:1 | 8.0 | 1:2 | 4.250 | |
| 5 | 1.5 | 1.0:1 | 10.0 | 1:1 | 10.568 | |
| 6 | 1.5 | 0.8:1 | 6.0 | 1:1.5 | 4.411 | |
| 7 | 0.5 | 1.2:1 | 10.0 | 1:1.5 | 7.135 | |
| 8 | 0.5 | 1.0:1 | 6.0 | 1:2 | 7.351 | |
| 9 | 0.5 | 0.8:1 | 8.0 | 1:1 | 4.985 | |
| Mean value 1 | 5.78 | 5.33 | 5.45 | 6.72 | ||
| Mean value 2 | 6.41 | 7.14 | 4.25 | 5.02 | ||
| Mean value 3 | 6.49 | 6.21 | 8.98 | 6.94 | ||
| Range | 0.72 | 1.81 | 4.73 | 1.93 | ||
| Factor primary and secondary level | C > D > B > A | |||||
| Optimal level | A3 | B2 | C3 | D3 | ||
| Optimal scheme | A3B2C3D3 | |||||
| Factor | SS | df | MS | F | p-Value |
|---|---|---|---|---|---|
| Factor A: Mass fraction of cationic red in the core materials | 1.841 | 2 | 0.921 | 3.326 | 0.083 |
| Factor B: WF:WU | 9.867 | 2 | 4.934 | 17.825 | 0.001 ** |
| Factor C: HLB value of the emulsifier | 72.548 | 2 | 36.274 | 131.053 | 0.000 ** |
| Factor D: Core–wall ratio | 13.310 | 2 | 6.655 | 24.044 | 0.000 ** |
| Error | 2.491 | 9 | 0.277 | ||
| Total | 100.057 | 17 |
| Category | Sample (#) | Mass Fraction of Cationic Red in the Core Materials (%) | WF:WU | HLB Value | Core–Wall Ratio | Formaldehyde Emission After Positive Pretreatment (mg/m3) |
|---|---|---|---|---|---|---|
| Range | 1 | 2.5 | 1.2:1 | 6.0 | 1:1 | 0.696 |
| 2 | 2.5 | 1.0:1 | 8.0 | 1:1.5 | 0.616 | |
| 3 | 2.5 | 0.8:1 | 10.0 | 1:2 | 0.684 | |
| 4 | 1.5 | 1.2:1 | 8.0 | 1:2 | 0.669 | |
| 5 | 1.5 | 1.0:1 | 10.0 | 1:1 | 0.683 | |
| 6 | 1.5 | 0.8:1 | 6.0 | 1:1.5 | 0.616 | |
| 7 | 0.5 | 1.2:1 | 10.0 | 1:1.5 | 0.696 | |
| 8 | 0.5 | 1.0:1 | 6.0 | 1:2 | 0.651 | |
| 9 | 0.5 | 0.8:1 | 8.0 | 1:1 | 0.708 | |
| Mean value 1 | 0.67 | 0.69 | 0.65 | 0.70 | ||
| Mean value 2 | 0.66 | 0.65 | 0.66 | 0.64 | ||
| Mean value 3 | 0.69 | 0.67 | 0.69 | 0.67 | ||
| Range | 0.03 | 0.04 | 0.03 | 0.05 | ||
| Factor primary and secondary level | D > B > C > A | |||||
| Optimal level | A3 | B1 | C3 | D1 | ||
| Optimal scheme | A3B1C3D1 | |||||
| Factor | SS | df | MS | F | p-Value |
|---|---|---|---|---|---|
| Factor A: Mass fraction of cationic red in the core materials | 0.003 | 2 | 0.001 | 13.297 | 0.002 ** |
| Factor B: WF:WU | 0.004 | 2 | 0.002 | 20.780 | 0.000 ** |
| Factor C: HLB value of the emulsifier | 0.004 | 2 | 0.002 | 17.753 | 0.001 ** |
| Factor D: Core–wall ratio | 0.008 | 2 | 0.004 | 42.636 | 0.000 ** |
| Error | 0.001 | 9 | 0.000 | ||
| Total | 0.020 | 17 |
| Sample (#) | Normalized Scores | Average of Weighted Total Scores | |||
|---|---|---|---|---|---|
| Yield Rate | Encapsulation Rate | ΔE | Formaldehyde Emission | ||
| 1 | 70.19 | 100.00 | 15.48 | 86.96 | 63.34 |
| 2 | 0.00 | 78.95 | 0.00 | 0.00 | 23.69 |
| 3 | 51.10 | 10.53 | 81.04 | 73.91 | 53.97 |
| 4 | 88.94 | 100.00 | 10.59 | 57.61 | 58.57 |
| 5 | 100.00 | 73.68 | 100.00 | 72.83 | 86.67 |
| 6 | 61.38 | 0.00 | 12.88 | 0.00 | 13.72 |
| 7 | 99.47 | 52.63 | 51.42 | 86.96 | 66.10 |
| 8 | 62.76 | 73.68 | 54.47 | 38.04 | 58.19 |
| 9 | 75.22 | 52.63 | 20.99 | 100.00 | 54.42 |
| Sample (#) | Mass Fraction of Cationic Red in the Core Materials (%) | WF:WU | HLB Value | Core–wall Ratio | Average of Weighted Total Scores Based on Range Analysis |
|---|---|---|---|---|---|
| 1 | 2.5 | 1.2:1 | 6.0 | 1:1 | 63.34 |
| 2 | 2.5 | 1.0:1 | 8.0 | 1:1.5 | 23.69 |
| 3 | 2.5 | 0.8:1 | 10.0 | 1:2 | 53.97 |
| 4 | 1.5 | 1.2:1 | 8.0 | 1:2 | 58.57 |
| 5 | 1.5 | 1.0:1 | 10.0 | 1:1 | 86.67 |
| 6 | 1.5 | 0.8:1 | 6.0 | 1:1.5 | 13.72 |
| 7 | 0.5 | 1.2:1 | 10.0 | 1:1.5 | 66.10 |
| 8 | 0.5 | 1.0:1 | 6.0 | 1:2 | 58.19 |
| 9 | 0.5 | 0.8:1 | 8.0 | 1:1 | 54.42 |
| Mean value 1 | 47.00 | 62.67 | 45.08 | 68.14 | |
| Mean value 2 | 52.99 | 56.18 | 45.56 | 34.50 | |
| Mean value 3 | 59.57 | 40.70 | 68.91 | 56.91 | |
| Range | 12.57 | 21.97 | 23.83 | 33.64 | |
| Factor primary and secondary level | D > C > B > A | ||||
| Optimal level | A3 | B1 | C3 | D1 | |
| Optimal scheme | A3B1C3D1 | ||||
| Sample (#) | Low Temperature Chromaticity Value (−20 °C) | High Temperature Chromaticity Value (60 °C) | Yield Rate (%) | Encapsulation Rate (%) | ΔE | Formaldehyde Emission (mg/m3) | ||||
|---|---|---|---|---|---|---|---|---|---|---|
| L1 | a1 | b1 | L2 | a2 | b2 | |||||
| 10 | 62.975 | 28.775 | −8.725 | 61.000 | 22.525 | −8.725 | 38.53 ± 1.28 | 63 ± 1.41 | 6.555 ± 0.181 | 1.414 ± 0.010 |
| 11 | 59.125 | 26.925 | −5.975 | 65.400 | 20.075 | −5.750 | 31.95 ± 1.78 | 68 ± 1.63 | 9.292 ± 0.209 | 1.381 ± 0.013 |
| 12 | 70.750 | 13.650 | −5.150 | 67.450 | 12.975 | −10.150 | 27.44 ± 1.15 | 65 ± 0.82 | 6.029 ± 0.126 | 1.340 ± 0.009 |
| 13 | 61.025 | 18.450 | −12.200 | 54.975 | 16.475 | −17.250 | 27.08 ± 1.27 | 56 ± 1.63 | 8.124 ± 0.201 | 1.331 ± 0.015 |
| 14 | 56.500 | 24.075 | −14.750 | 54.400 | 19.950 | −16.950 | 30.41 ± 0.98 | 59 ± 0.82 | 5.125 ± 0.162 | 1.451 ± 0.012 |
| Sample (#) | Normalized Scores | Average of Weighted Total Scores | |||
|---|---|---|---|---|---|
| Yield Rate | Encapsulation Rate | ΔE | Formaldehyde Emission | ||
| 10 | 100.00 | 58.33 | 34.30 | 30.83 | 50.67 |
| 11 | 42.58 | 100.00 | 100.00 | 58.33 | 83.05 |
| 12 | 3.21 | 75.00 | 21.69 | 92.50 | 49.07 |
| 13 | 0.00 | 0.00 | 71.97 | 100.00 | 45.19 |
| 14 | 29.11 | 25.00 | 0.00 | 0.00 | 11.87 |
| Sample (#) | High Temperature Chromaticity Value (60 °C) | Low Temperature Chromaticity Value (−20 °C) | ΔE | ||||
|---|---|---|---|---|---|---|---|
| L1 | a1 | b1 | L2 | a2 | b2 | ||
| 10 | 56.200 | 23.400 | −8.100 | 60.800 | 27.700 | −8.400 | 6.304 ± 0.139 |
| 11 | 67.000 | 26.100 | −9.200 | 63.100 | 32.700 | −4.100 | 9.208 ± 0.074 |
| 12 | 68.600 | 13.100 | −10.500 | 65.000 | 14.100 | −5.900 | 5.926 ± 0.102 |
| 13 | 51.400 | 17.800 | −16.200 | 57.900 | 17.600 | −11.400 | 8.083 ± 0.143 |
| 14 | 48.200 | 25.100 | −21.400 | 48.400 | 29.100 | −18.400 | 5.004 ± 0.091 |
| Peak Numbers (cm−1) | Characteristic Peak | Substance | Formation Reasons |
|---|---|---|---|
| 3321 | –OH | Bisphenol A | Stretching and vibration peak |
| 2922 | C–CH3 | Bisphenol A | Stretching and vibration peak |
| 1513 and 1463 | Benzene ring C=C skeleton | Bisphenol A | Stretching and vibration peak |
| 1251 | C–OH | Bisphenol A | Absorption peak |
| 1055 | C–O | Bisphenol A | Stretching and vibration peak |
| 1613 | Lactone ring carbonyl C=O | Crystal violet lactone | Stretching and vibration peak |
| 1177 and 1055 | Ester group C–O–C | Crystal violet lactone | Symmetrical stretching and vibration peak |
| 3435 | N–H | Disperse cationic red | Absorption peak |
| 1734 | Ester carbonyl group with non-lactone ring structure | Core materials | Absorption peak |
| 3321 | -OH in the carboxyl group | Core materials | Absorption peak |
| 3353 | N–H, O–H | Wall materials | Stretching vibration peak |
| 2963 | –CH2– | Wall materials | Asymmetric stretching vibration |
| 1566 | The N–H of the amide | Wall materials | Flexural vibration |
| 1390 | C–N | Wall materials | Stretching and vibration peak |
| 1136 | CH3O | Wall materials | Absorption peak |
| Amount of Microcapsules Added (%) | Gloss (GU) | 60° Light Loss Rate (%) | Transmittance (%) | ||
|---|---|---|---|---|---|
| 20° | 60° | 85° | |||
| 0 | 73.7 | 112.1 | 91.6 | - | 94.06 |
| 5 | 15.8 | 42.2 | 53.7 | 62 | 91.92 |
| 10 | 26.4 | 63.8 | 72.9 | 43 | 84.95 |
| 15 | 28.0 | 60.0 | 64.5 | 46 | 75.20 |
| 20 | 16.7 | 49.0 | 46.6 | 56 | 67.51 |
| 25 | 19.8 | 48.9 | 47.8 | 56 | 65.92 |
| 30 | 16.8 | 35.8 | 29.7 | 68 | 56.58 |
| Amount of Microcapsules Added (%) | Elongation at Break (%) | Roughness (μm) |
|---|---|---|
| 0 | 10.6 | 0.089 |
| 5 | 9.3 | 0.308 |
| 10 | 6.8 | 0.425 |
| 15 | 6.6 | 0.640 |
| 20 | 2.4 | 0.536 |
| 25 | 2.1 | 0.706 |
| 30 | 0.9 | 0.927 |
Disclaimer/Publisher’s Note: The statements, opinions and data contained in all publications are solely those of the individual author(s) and contributor(s) and not of MDPI and/or the editor(s). MDPI and/or the editor(s) disclaim responsibility for any injury to people or property resulting from any ideas, methods, instructions or products referred to in the content. |
© 2025 by the authors. Licensee MDPI, Basel, Switzerland. This article is an open access article distributed under the terms and conditions of the Creative Commons Attribution (CC BY) license (https://creativecommons.org/licenses/by/4.0/).
Share and Cite
Hang, J.; Zou, Y.; Yan, X.; Li, J. Preparation of Urea-Formaldehyde-Coated Cationic Red-Ternary System Microcapsules and Properties Optimization. Coatings 2025, 15, 1112. https://doi.org/10.3390/coatings15091112
Hang J, Zou Y, Yan X, Li J. Preparation of Urea-Formaldehyde-Coated Cationic Red-Ternary System Microcapsules and Properties Optimization. Coatings. 2025; 15(9):1112. https://doi.org/10.3390/coatings15091112
Chicago/Turabian StyleHang, Jingyi, Yuming Zou, Xiaoxing Yan, and Jun Li. 2025. "Preparation of Urea-Formaldehyde-Coated Cationic Red-Ternary System Microcapsules and Properties Optimization" Coatings 15, no. 9: 1112. https://doi.org/10.3390/coatings15091112
APA StyleHang, J., Zou, Y., Yan, X., & Li, J. (2025). Preparation of Urea-Formaldehyde-Coated Cationic Red-Ternary System Microcapsules and Properties Optimization. Coatings, 15(9), 1112. https://doi.org/10.3390/coatings15091112
