Effect of Climatic and Thermal Aging on Friction of Frost-Resistant Rubber With and Without Ultra-High Molecular Weight Polyethylene Coating
Abstract
1. Introduction
2. Materials and Methods
3. Results and Discussion
3.1. Mechanical Properties of UHMWPE After Climatic Aging
3.2. Mechanical Properties of Two-Layer Materials After Thermal Aging
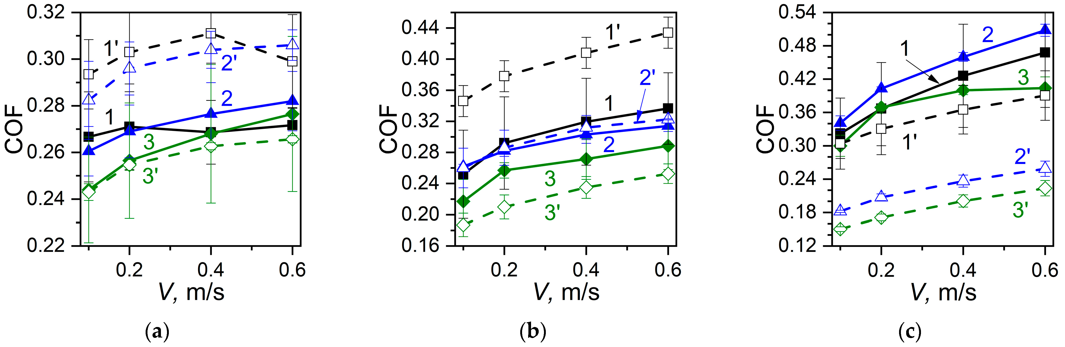
3.3. Tribological Properties of Rubber Before and After Climatic Aging
3.4. Tribological Properties of Rubber-UHMWPE Composite Before and After Thermal Aging
4. Conclusions
Author Contributions
Funding
Institutional Review Board Statement
Informed Consent Statement
Data Availability Statement
Conflicts of Interest
References
- Balasooriya, W.; Schrittesser, B.; Pinter, G.; Schwarz, T. Induced Material Degradation of Elastomers in Harsh Environments. Polym. Test. 2018, 69, 107–115. [Google Scholar] [CrossRef]
- Alexander, J.; Khaladkar, P.; Moniz, B.; Stahl, B.; Taylor, T. Environmental Performance of Elastomers. In Corrosion: Materials; Cramer, S.D., Covino, B.S., Eds.; ASM International: Almere, The Netherlands, 2005; pp. 608–617. ISBN 978-1-62708-183-2. [Google Scholar]
- Sokolova, M.D.; Fedorova, A.F.; Pavlova, V.V. Research of Influence of Plasticizers on the Low-Temperature and Mechanical Properties of Rubbers. Mater. Sci. Forum 2019, 945, 459–464. [Google Scholar] [CrossRef]
- Frigione, M.; Rodríguez-Prieto, A. Can Accelerated Aging Procedures Predict the Long Term Behavior of Polymers Exposed to Different Environments? Polymers 2021, 13, 2688. [Google Scholar] [CrossRef]
- Allen, N.S. Light and UV Stabilization of Polymers. In Plastics Additives; Polymer Science and Technology Series; Pritchard, G., Ed.; Springer: Dordrecht, The Netherlands, 1998; Volume 1, pp. 427–441. ISBN 978-94-010-6477-4. [Google Scholar]
- Dong, C.L.; Yuan, C.Q.; Bai, X.Q.; Yan, X.P.; Peng, Z. Tribological Properties of Aged Nitrile Butadiene Rubber under Dry Sliding Conditions. Wear 2015, 322–323, 226–237. [Google Scholar] [CrossRef]
- Chang, H.; Wan, Z.; Chen, X.; Wan, J.; Luo, L.; Zhang, H.; Shu, S.; Tu, Z. Temperature and Humidity Effect on Aging of Silicone Rubbers as Sealing Materials for Proton Exchange Membrane Fuel Cell Applications. Appl. Therm. Eng. 2016, 104, 472–478. [Google Scholar] [CrossRef]
- Li, S.; Ke, Y.; Xie, L.; Zhao, Z.; Huang, X.; Wang, Y.; Wang, Z. Study on the Aging of Three Typical Rubber Materials under High- and Low-Temperature Cyclic Environment. e-Polymers 2023, 23, 20228089. [Google Scholar] [CrossRef]
- Chen, X.; Kong, Y.; Wang, M.; Huang, X.; Huang, Y.; Lv, Y.; Li, G. Wear and Aging Behavior of Vulcanized Natural Rubber Nanocomposites under High-Speed and High-Load Sliding Wear Conditions. Wear 2022, 498–499, 204341. [Google Scholar] [CrossRef]
- Bai, C.; Qiang, L.; Zhang, B.; Gao, K.; Zhang, J. Optimizing the Tribological Performance of DLC-Coated NBR Rubber: The Role of Hydrogen in Films. Friction 2022, 10, 866–877. [Google Scholar] [CrossRef]
- Dyakonov, A.A.; Vasilev, A.P.; Danilova, S.N.; Okhlopkova, A.A.; Tarasova, P.N.; Lazareva, N.N.; Ushkanov, A.A.; Tuisov, A.G.; Kychkin, A.K.; Vinokurov, P.V. Two-Layer Rubber-Based Composite Material and UHMWPE with High Wear Resistance. Materials 2022, 15, 4678. [Google Scholar] [CrossRef]
- Chang, T.; Yuan, C.; Guo, Z. Tribological Behavior of Aged UHMWPE under Water-Lubricated Condition. Tribol. Int. 2019, 133, 1–11. [Google Scholar] [CrossRef]
- Kolesova, E.S.; Gogoleva, O.V.; Petrova, P.N. Development of Polymer Composite Materials Based on Ultra-High Molecular Weight Polyethylene with the High Stability of Characteristics under the Conditions of Sharply Continental Climate. Arct. Subarct. Nat. Resour. 2021, 26, 122–131. [Google Scholar] [CrossRef]
- Cai, T.; Zhan, S.; Yang, T.; Li, Y.; Jia, D.; Tu, J.; Li, J.; Duan, H. Study on the Tribological Properties of UHMWPE Modified by UV-Induced Grafting under Seawater Lubrication. Tribol. Int. 2022, 168, 107419. [Google Scholar] [CrossRef]
- Naresh Kumar, N.; Yap, S.; Bt Samsudin, F.; Khan, M.; Pattela Srinivasa, R. Effect of Argon Plasma Treatment on Tribological Properties of UHMWPE/MWCNT Nanocomposites. Polymers 2016, 8, 295. [Google Scholar] [CrossRef]
- Baena, J.-C.; Peng, Z. Mechanical and Tribological Performance of UHMWPE Influenced by Temperature Change. Polym. Test. 2017, 62, 102–109. [Google Scholar] [CrossRef]
- Padhan, M.; Paul, G.; Bijwe, J. Roles of Size, Shape, Amount, and Functionalization of Nanoparticles of Titania in Controlling the Tribo-Performance of UHMWPE Composites. Front. Mater. 2020, 7, 205. [Google Scholar] [CrossRef]
- Manoj Kumar, R.; Sharma, S.K.; Manoj Kumar, B.V.; Lahiri, D. Effects of Carbon Nanotube Aspect Ratio on Strengthening and Tribological Behavior of Ultra High Molecular Weight Polyethylene Composite. Compos. Part A Appl. Sci. Manuf. 2015, 76, 62–72. [Google Scholar] [CrossRef]
- Nayak, C.; Balani, K. Effects of Reinforcements and GAMMA‐IRRADIATION on Wear Performance of ULTRA‐HIGH Molecular Weight Polyethylene as Acetabular Cup Liner in HIP‐JOINT Arthroplasty: A Review. J. Appl. Polym. Sci. 2021, 138, 51275. [Google Scholar] [CrossRef]
- Verma, N.; Keshri, A.K.; Zafar, S.; Prasad, A.; Pathak, H. Comparative Analysis on Tribological and Biological Responses of UHMWPE-Based Composite and UV Irradiated UHMWPE. Biotribology 2022, 32, 100225. [Google Scholar] [CrossRef]
- Wang, Y.; Yin, Z.; Li, H.; Gao, G.; Zhang, X. Friction and Wear Characteristics of Ultrahigh Molecular Weight Polyethylene (UHMWPE) Composites Containing Glass Fibers and Carbon Fibers under Dry and Water-Lubricated Conditions. Wear 2017, 380–381, 42–51. [Google Scholar] [CrossRef]
- Wang, Q.; Wang, Y.; Wang, H.; Fan, N.; Yan, F. Fretting Wear Behavior of UHMWPE Under Different Temperature Conditions. J. Macromol. Sci. Part B 2017, 56, 493–504. [Google Scholar] [CrossRef]
- Torskaya, E.; Shkalei, I.; Stepanov, F.; Makhovskaya, Y.; Dyakonov, A.; Petrova, N. Using Thin Ultra-High-Molecular-Weight Polyethylene Coatings to Reduce Friction in Frost-Resistant Rubbers. Polymers 2024, 16, 2870. [Google Scholar] [CrossRef]
- Gavrilova, M.K. Klimat Centralnoy Yakutii; Yakutskoe Knizhnoe Izdatelstvo: Yakutsk, Russia, 1973. [Google Scholar]
- Morozov, A.V.; Petrova, N.N. Method of Evaluating the Coefficient of Friction of Frost-Resistant Sealing Rubbers. J. Frict. Wear 2016, 37, 124–128. [Google Scholar] [CrossRef]
- Stepanov, F.I.; Torskaya, E.V. Modeling of Indentation of Hard Coatings by an Arbitrarily Shaped Indenter. J. Frict. Wear 2019, 40, 326–331. [Google Scholar] [CrossRef]
- Wani, M.F.; Stepanov, F.I.; Torskaya, E.V.; Shkalei, I.V. The Elastic and Frictional Properties of Nanoscale Coatings Based on Molybdenum Disulfide at Micro and Nano Levels. J. Frict. Wear 2023, 44, 291–297. [Google Scholar] [CrossRef]
- Gogoleva, O.V.; Petrova, P.N.; Kolesova, E.S. Study of the Properties and Structure of Composites Based on UHMWPE Exposed to the Conditions of Yakutia. In Proceedings of the EURASTRENCOLD-2022, Yakutsk, Russia, 12–16 September 2022; MCITO: Kirov, Russia, 2022; pp. 96–100. [Google Scholar]
- Costa, L.; Luda, M.P.; Trossarelli, L. Ultra High Molecular Weight Polyethylene—II. Thermal- and Photo-Oxidation. Polym. Degrad. Stab. 1997, 58, 41–54. [Google Scholar] [CrossRef]
- Premnath, V.; Bellare, A.; Merrill, E.W.; Jasty, M.; Harris, W.H. Molecular Rearrangements in Ultra High Molecular Weight Polyethylene after Irradiation and Long-Term Storage in Air. Polymer 1999, 40, 2215–2229. [Google Scholar] [CrossRef]
- Shlyapintoh, V.Y. Photochemical Transformations and Stabilization of Polymers; Himiya, M., Ed.; Hanser Verlag: Munich, Germany, 1979. [Google Scholar]
- Fuller, K.N.G.; Tabor, D. The Effect of Surface Roughness on the Adhesion of Elastic Solids. Proc. R. Soc. Lond. A 1975, 345, 327–342. [Google Scholar] [CrossRef]
- Briggs, G.A.D.; Briscoe, B.J. The Effect of Surface Topography on the Adhesion of Elastic Solids. J. Phys. D Appl. Phys. 1977, 10, 2453–2466. [Google Scholar] [CrossRef]
- Purtov, J.; Gorb, E.V.; Steinhart, M.; Gorb, S.N. Measuring of the Hardly Measurable: Adhesion Properties of Anti-Adhesive Surfaces. Appl. Phys. A 2013, 111, 183–189. [Google Scholar] [CrossRef]
- Guduru, P.R. Detachment of a Rigid Solid from an Elastic Wavy Surface: Theory. J. Mech. Phys. Solids 2007, 55, 445–472. [Google Scholar] [CrossRef]
- Kesari, H.; Lew, A.J. Effective Macroscopic Adhesive Contact Behavior Induced by Small Surface Roughness. J. Mech. Phys. Solids 2011, 59, 2488–2510. [Google Scholar] [CrossRef]





| Component | Mass Fraction | Time of Introduction, min |
|---|---|---|
| Nitrile butadiene rubber (NBR) | 100.0 | 0 |
| Stearic acid | 1.5 | 0 |
| Carbon black N550 | 50.0 | 2 |
| Zinc oxide | 5.0 | 5 |
| Captax | 1.5 | 10 |
| Diphenylguanidine (DPG) | 0.5 | 10 |
| Sulfur | 1.0 | 12 |
| Total | 159.5 | 20 |
| Parameter | Value | |||
|---|---|---|---|---|
| Exposure duration, months | 0 | 2 | 4 | 6 |
| Tensile strength, MPa | 21.2 ± 0.63 | 27.0 ± 0.71 | 19.1 ± 0.65 | 2.1 ± 0.09 |
| Elongation at break, % | 145 ± 8 | 159 ± 10 | 6 ± 0.4 | − |
| Stress at 100% elongation, MPa | 16.7 ± 0.73 | 21.4 ± 0.59 | 19.1 ± 0.75 | − |
| Parameter | Initial | Aged |
|---|---|---|
| Tensile strength, MPa | 16.3 ± 0.72 | 16.5 ± 0.58 |
| Elongation at break, % | 75 ± 3 | 67 ± 4 |
| Samples | Static COF | Wear Rate, mm/km | |
|---|---|---|---|
| 23 °C | −25 °C | ||
| Initial | 0.574 | 1.015 | 58 |
| aged | 0.115 | 0.159 | 81 |
| Test Temperature, ℃ | Roughness Parameters, μm | |||||
|---|---|---|---|---|---|---|
| Sa | Sq | Sz | ||||
| Initial | Aged | Initial | Aged | Initial | Aged | |
| Before test | 0.26 | 0.29 | 0.34 | 0.38 | 5.4 | 7.2 |
| RT | 0.61 | 0.29 | 0.9 | 0.39 | 10.4 | 5.2 |
| −20 | 0.73 | 0.26 | 0.96 | 0.35 | 12.2 | 5.1 |
| +60 | 0.54 | 0.41 | 0.77 | 0.58 | 10.9 | 9.6 |
Disclaimer/Publisher’s Note: The statements, opinions and data contained in all publications are solely those of the individual author(s) and contributor(s) and not of MDPI and/or the editor(s). MDPI and/or the editor(s) disclaim responsibility for any injury to people or property resulting from any ideas, methods, instructions or products referred to in the content. |
© 2025 by the authors. Licensee MDPI, Basel, Switzerland. This article is an open access article distributed under the terms and conditions of the Creative Commons Attribution (CC BY) license (https://creativecommons.org/licenses/by/4.0/).
Share and Cite
Shkalei, I.; Horng, J.-H.; Torskaya, E.; Bukovsky, P.; Morozov, A.; Stepanov, F.; Petrova, N.; Dyakonov, A.; Mukhin, V. Effect of Climatic and Thermal Aging on Friction of Frost-Resistant Rubber With and Without Ultra-High Molecular Weight Polyethylene Coating. Coatings 2025, 15, 514. https://doi.org/10.3390/coatings15050514
Shkalei I, Horng J-H, Torskaya E, Bukovsky P, Morozov A, Stepanov F, Petrova N, Dyakonov A, Mukhin V. Effect of Climatic and Thermal Aging on Friction of Frost-Resistant Rubber With and Without Ultra-High Molecular Weight Polyethylene Coating. Coatings. 2025; 15(5):514. https://doi.org/10.3390/coatings15050514
Chicago/Turabian StyleShkalei, Ivan, Jeng-Haur Horng, Elena Torskaya, Pavel Bukovsky, Aleksey Morozov, Fedor Stepanov, Natalia Petrova, Afanasy Dyakonov, and Vasilii Mukhin. 2025. "Effect of Climatic and Thermal Aging on Friction of Frost-Resistant Rubber With and Without Ultra-High Molecular Weight Polyethylene Coating" Coatings 15, no. 5: 514. https://doi.org/10.3390/coatings15050514
APA StyleShkalei, I., Horng, J.-H., Torskaya, E., Bukovsky, P., Morozov, A., Stepanov, F., Petrova, N., Dyakonov, A., & Mukhin, V. (2025). Effect of Climatic and Thermal Aging on Friction of Frost-Resistant Rubber With and Without Ultra-High Molecular Weight Polyethylene Coating. Coatings, 15(5), 514. https://doi.org/10.3390/coatings15050514

