Abstract
Due to the lack of UV-protective properties for cotton textiles and the potential of cotton textiles to cause microbes to their users, we synthesized benzimidazole Schiff base derivative (BZI) namely N-((1H-benzo[d]imidazol-2-yl)methyl)-1-(4-fluorophenyl)methanimine and their V(III), Fe(III), Co(II), Ni(II), and Cu(II) complexes as UV protection and antimicrobial agents for cotton textile. Several techniques investigated these compounds: 1H, 13C NMR, IR, UV–Vis, elemental analysis, DTA, and TGA. The Schiff base ligand behaved as a bidentate ligand. The prepared ligand and its complexes are used to treat the cotton fabrics (CFs) by immersing the fabric in the solution of the samples under ultrasonic. The treated cotton fabrics were investigated using IR and SEM-EDX analysis. The UPF values of the treated cotton fabric were obtained. The results showed that the cotton fabric treated with Fe(III) and Cu(II) complexes had excellent UV protection with UPF values of 50+. The disc diffusion method evaluated the treated cotton fabric’s antimicrobial activity. The antifungal activities of the treated CFs demonstrated that the Co(II)-BZI-CF was active on C. albicans with an inhibition zone of 12 mm, while the other samples were inactive on C. albicans and A. flavus. The V(III)-BZI-CF and Fe(III)-BZI-CF had no activity against S. aureus and E. coli bacteria while the other samples gave an inhibition zone of between 10 to 17 mm. Unlike previous studies that primarily focused on either UV protection or antimicrobial properties of metal complexes separately, this research integrates both functionalities by synthesizing benzimidazole Schiff base metal complexes and applying them to cotton textiles, demonstrating enhanced UV protection and selective antimicrobial activity.
1. Introduction
Despite cotton’s importance, it may be exposed to microbe attacks due to its ability to absorb an immense amount of moisture. It may act as a nutrient under specific humidity and temperature conditions, making it a convenient environment for the growth of bacteria and fungi [1,2,3]. Making and studying a fluorinated Schiff base from benzimidazole and its metal complexes for cotton fabrics that are antimicrobial and protect against UV light has been performed [3,4,5]. A lot of research has been conducted on adding antimicrobial agents to cotton fabrics and seeing what happens to the textiles after they are treated. Quaternary ammonium salts, N-halimane compounds [6], chitosan derivatives [7], and Schiff bases and their metal complexes based on aniline derivatives [8], pyridine acetohydrazide derivatives [9], and pyrimidinethione hydrazide derivatives [10], are some examples of these agents. Moreover, in the field of nanoparticles (NPs), for instance, graphene oxide NPs [11], silver NPs [3,12], and metal oxide NPs such as ZnO [12], CuO [13], and TiO2 [14] were also used as antimicrobial agents.
Sun UV radiation provides some benefits to human health, e.g., the natural synthesis of vitamin D in human skin [15], and is used in the treatment of numerous skin diseases. It also has a role in reducing blood pressure and improving cardiovascular health [16]. Conversely, overexposure to UV radiation may cause harmful effects on the skin and eyes and DNA damage [17,18]. The ozone layer absorbs all UV-C and approximately 95% of UV-B radiation. Around 95% of the UV-A and only 5% of the UV-B radiation reaches the Earth’s surface and affects human skin. The harmful effects that result from UVR radiation on humans can be divided into chronic and acute effects [19]. UV-A radiation leads to skin aging, wrinkling, scaling, dryness, and chloasma and causes sun tanning and sunburn [20]. UV-B radiation causes sun tanning, erythema, blistering, photoaging, as well as photo carcinogenesis, which may raise the risk factor for melanoma or cause various skin cancers. Additionally, it may lead to damage to DNA and the eye, photokeratitis, and cataracts [20,21]. Therefore, protecting the skin from excessive exposure to UV radiation is crucial. Avoiding exposure to sunlight during peak UVR, which is in the midday period, and using sunglasses, sunscreen, and UV protection clothing are UV protection measures that are recommended [22]. Thus, the researchers have paid a lot of attention to improving the UV protection properties of textiles [23]. These properties depend on many factors: fiber type, surface of fabric, porosity, density, type of dyestuff and its concentrations, and finishing processes [21,24]. To classify textiles as having excellent UV protection, the value of the ultraviolet protection factor (UPF) should be higher than 40 [21]. Cotton fibers are considered one of the most fashionable clothing textiles in the summer due to their excellent properties such as breathability, softness, and comfort for the user. The UPF of cotton fibers is weak [22]. Therefore, the researchers have focused on modifying the cotton fabric surface using UV-blocking agents such as metal oxide nanoparticles ZnO [25] and TiO2 [26], TiO2/SiO2 nanocomposites [27], azobenzene Schiff base derivatives [28], benzotriazole derivatives [29], and metal complexes based on aniline Schiff base derivatives [8], pyridine acetohydrazide derivatives [30], and pyrimidinethione hydrazide derivatives [10].
Schiff bases are important organic compounds resulting from the condensation of primary amines with carbonyl compounds (aldehydes or ketones). The Schiff base ligands are one of the most widely used ligands due to their simplicity of formation, remarkable diversity, and ability to form stable complexes with the majority of the transition metals [31,32]. They form complexes by donating the lone pair of electrons that are present on the nitrogen atom of the azomethine group(-C=N-) to the metal ion [33]. Benzimidazole moiety exhibits numerous biological activities including antimicrobial [34], antitumor [35], antidepressant [36], anti-inflammatory [37], anticonvulsant [38], anti-HIV [36], analgesic [39], antimalarial [40], antiviral [41], and antidiabetic [42]. Moreover, it is considered a significant pharmacophore in modern drug discovery. The analysis in this report [43] has mentioned the U.S. Food and Drug Administration (FDA) approved drugs, which reveals that 59% of small-molecule drugs contain nitrogen heterocycle. Benzimidazole is one of the top 25 most frequently appearing nitrogen heterocycles in small-molecule drugs. [43,44]. Some drugs that benzimidazole-based compounds are commercially available including Omeprazole and Rabeprazole (anti-ulcer), Benoxaprofen Analog (anti-inflammatory), Pantoprazole (antacid), Bendamustine Hydrochloride, and Veliparib (anti-cancer), Enviradine (anti-viral), Astemizole (antihistamine), Mebendazole and Albendazole (anthelmintic), Thiabendazole (anti-fungal and anthelmintic), Candesartan (anti-hypertensive) [45,46,47]. Furthermore, several metal complexes based on benzimidazole derivatives have been reported as antimicrobial agents [48,49]. Moreover, benzimidazole derivatives were used as UV-protective agents [50].
Previous studies used Schiff bases and their metal complexes in the finishing of textiles. Benzyl vanillin Schiff base (SB) was used as an antimicrobial, UV resistance, and good fragrance properties for polyester fabric [51]. In another study, lyocell fiber was modified with 4-Amino-benzenesulfonic acid monosodium salt Schiff base ligand and then complexed with copper ions for imparted antibacterial activity [52].
To the best of our knowledge, no work has yet been completed on the treatment of cotton fabric with N-((1H-benzo[d]imidazol-2-yl)methyl)-1-(4-fluorophenyl)methanimine. The considerations mentioned above prompted us to impart antimicrobial properties and UV protective agents to cotton fabric using a novel Schiff base, namely N-((1H-benzo[d]imidazol-2-yl) methyl)-1-(4-fluorophenyl) methanimine (BZI) and its metal complexes. In our study, five metal ions, namely V(III), Fe (III), Co (II), Ni (II), and Cu (II) are used. Several techniques investigated the BZI and its metal complexes: 1H and 13C NMR, IR, UV–Vis, elemental analysis, and thermal analysis (DTA and TGA). The treated cotton fabrics (CFs) were characterized by IR and SEM-EDX analysis. The UPF values of the treated CFs were obtained. In addition, the antimicrobial activity of the treated CFs was also investigated.
2. Experimental Section
2.1. Materials
Pure bleached 100% cotton fabric (138 g·m−2) was purchased from Misr for Spinning and Weaving Company at Mehalla El-Kobra, Egypt.
2.2. Chemicals
4-fluorobenzaldehyde, DMSO, DMF, ethanol, and VCl3 salt were purchased from Sigma Aldrich (MO, USA), while the other metal salts were obtained from Loba Chemie (Mumbai, India). 1H-benzo[d]imidazol-2-yl)methanamine was provided from BOC Sciences (WA, USA).
2.3. Instruments
Fourier transform infrared (FT-IR) spectra were recorded using an Agilent Cary 600 FTIR spectrometer (Santa Clara, CA, USA) across a wavenumber range of 4000–400 cm−1. Ultraviolet–visible (UV–Vis) spectra for the ligand and metal complexes in the DMSO solution were measured with a Shimadzu UV-1800 spectrophotometer (Duisburg, Germany) over a wavelength range of 200–1100 nm. Proton (1H) and carbon (13C) nuclear magnetic resonance (NMR) spectra were acquired on a Bruker Avance 400 MHz NMR spectrometer using DMSO-d6 as the solvent, with tetramethylsilane (TMS) as the internal reference. X-ray diffraction (XRD) patterns of the ligand and metal complexes were obtained using a Rigaku Ultima-IV diffractometer (Tokyo, Japan) operating at 40 kV and 40 mA, with Cu Kα radiation (λ = 1.54180 Å). Data were collected over a 2θ range of 10–90° with a step size of 0.02°.
The molar conductivity (Λm) of DMF solutions of the metal complexes, at a concentration of 1 × 10−3 M, was measured at 25 °C using the Session+ MM374 conductivity meter (Hach, Loveland, CO, USA). Thermogravimetric analysis (TGA) and differential thermal analysis (DTA) of the metal complexes were performed using a Shimadzu DTG-60AH system (Kyoto, Japan) under nitrogen flow at a heating rate of 10 °C/min, in the temperature range of 21–550 °C, with aluminum oxide (Al2O3) as the reference material for DTA. The melting points of the synthesized compounds were determined using a Stuart SMP-30 apparatus (Staffordshire, UK). Magnetic susceptibility measurements of the metal complexes were carried out at 25 °C using an Auto magnetic susceptibility balance from Sherwood Scientific (Cambridge, UK). Scanning electron microscopy coupled with energy-dispersive X-ray (SEM-EDX) analysis was performed using a TESCAN Vega III system (Brno, Czech Republic) equipped with EDX spectroscopy.
2.4. Preparation of N-((1H-Benzo[d]imidazol-2-yl)methyl)-1-(4-fluorophenyl)methenamine Ligand: (BZI) (1)
To synthesize the Schiff base ligand, a solution of 4-fluorobenzaldehyde (124.11 mg, 1 mmol) was prepared in 10 mL of ethanol. This solution was then combined with a solution of 1H-benzo[d]imidazol-2-yl)methenamine (147.18 mg, 1 mmol) in 10 mL of ethanol. The mixture was stirred continuously for 6 h to ensure thorough reaction. As the reaction progressed, a yellowish-orange precipitate formed, indicating the formation of the Schiff base ligand. This precipitate was collected by filtration and washed multiple times with ethanol to remove any impurities. Finally, the purified precipitate was allowed to dry, resulting in the desired Schiff base ligand (Scheme 1).
Scheme 1.
Synthesis of the Schiff base ligand (BZI).
The synthesized Schiff base ligand was obtained with a yield of 68%, and it exhibited a yellowish-orange color. The melting point of the compound was determined to be 125 °C.
Elemental Analysis (E.A.): The experimental elemental analysis results for the compound C15H12FN3 (molecular weight: 253.28 g/mole) were found to be in good agreement with the calculated values. The measured percentages were 71.48% for carbon (calculated: 71.13%), 5.06% for hydrogen (calculated: 4.78%), and 16.78% for nitrogen (calculated: 16.59%).
FT-IR Spectroscopy: The FT-IR spectrum of the compound showed characteristic absorption bands. The band at 3330 cm−1 corresponds to the stretching vibration of the NH group. Weak bands at 2970 cm−1 and 2874 cm−1 are attributed to the C-H stretching vibrations. The strong bands at 1683 cm−1 and 1599 cm−1 are indicative of the C=N stretching vibrations, confirming the formation of the Schiff base. Additionally, the band at 1153 cm−1 is associated with the C-F stretching vibration.
1H-NMR (400 MHz, DMSO-d6): The 1H-NMR spectrum displayed a singlet at δ 12.18 ppm, corresponding to the NH proton. Another singlet at δ 8.8 ppm was assigned to the N=CH proton. The aromatic protons appeared as a multiplet in the range of δ 7.63–7.16 ppm, integrating for 8 protons.
13CNMR (400 MHz, DMSO-d6) (δ, ppm): The 13CNMR (400 MHz, DMSO-d6) spectrum showed signals at δ 166.85 ppm (C16), 161.15 ppm (C12), and 142.31 ppm (C8), which are characteristic of the imine and aromatic carbons. The aromatic carbon signals were observed in the range of δ 135.92–115.18 ppm. Additionally, a signal at δ 50.59 ppm was attributed to C10.
These analytical results confirm the successful synthesis and characterization of the Schiff base ligand.
2.5. Preparation of Metal Complexes
To synthesize the metal complexes, 2 mmol of various metal chloride salts ((VCl3, FeCl3·6H2O, CoCl2·6H2O, NiCl2·6H2O, or CuCl2·2H2O) were each dissolved in 10 mL of ethanol. Separately, 2 mmol of the Schiff base ligand N-((1H-benzo[d]imidazol-2-yl)methyl)-1-(4-fluorophenyl)methanimine (BZI) (253 mg) was also dissolved in 10 mL of ethanol.
The metal chloride solution was then mixed with the BZI solution, and the resulting mixture was subjected to reflux for a period of 4 to 6 h, depending on the specific metal salt used. Refluxing ensures that the reaction mixture is heated to the boiling point of ethanol, allowing the reaction to proceed efficiently while preventing the solvent from evaporating.
As the reaction progressed, the formation of the metal complexes was indicated by the appearance of a precipitate. The resulting complexes were isolated by filtration, washed several times with hot ethanol to remove any unreacted starting materials or impurities, and then dried under vacuum over CaCl2 to ensure complete removal of any residual solvent.
This methodical approach to synthesizing metal complexes ensures high purity and yield of the desired products, which can then be further characterized and studied for their chemical properties and potential applications.
2.5.1. V(III)-Complex (2)
Yield (60%), color: brown, m.p. = 278 °C, Ʌm = 13.45 (Ω−1mol−1cm−2), μeff = 2.82 BM. E.A. of [V(BZI)(Cl)3(H2O)]·2H2O, C15H18Cl3FN3O3V, (464.62 g·mol−1): Found (calcd.) %C 39.07 (38.78), %H 4.21 (3.91), %N 9.26 (9.04), %Cl 23.11 (22.89), %V 11.17 (10.96). FT-IR (cm−1), 3528–2767 ν(H2O), 2961w, 2850w ν(C-H), 1679 and 1597 ν(C=N), 593 ν(N→V), 505 ν(N→V), 412 ν(M-Cl).
2.5.2. Fe(III)-Complex (3)
Yield (78%), m.p. > 300 °C, color: reddish brown, Ʌm = 12.39 (Ω−1mol−1cm−2), μeff = 5.67 BM. E.A. of [Fe(BZI)(Cl)3(H2O)]·H2O, C15H16Cl3FFeN3O2, (451.51 g·mol−1): Found (calcd.)%C 40.27 (39.90), %H 4.19 (3.75), %N 9.54 (9.31), %Cl 23.72 (23.55), %Fe 12.48 (12.37). FT-IR(cm−1), 3293–3087 ν(H2O), 2978w, 2888w ν(C-H), 1601 and 1536 ν(C=N), 548 ν(N→Fe), 533 ν(N→Fe), 421 ν(M-Cl).
2.5.3. Co(II)-Complex (4)
Yield (59%), m.p. > 300 °C, color: olive green, Ʌm = 2.55 (Ω−1mol−1cm−2 ), μeff = 4.83 BM. E.A. of [Co(BZI)(Cl)2(H2O)2]·H2O, C15H18Cl2CoFN3O3, (437.16 g·mol−1): Found (calcd.) %C 41.53 (41.21), %H 4.77 (4.51), %N 9.74 (9.61), %Cl 16.48 (16.22), %Co 13.65 (13.48). FT-IR (cm−1), 3684–3257 ν(H2O), 2981w, 2884w ν(C-H), 1601 and 1575 ν(C=N), 577 ν(N→Co), 527 ν(N→Co), 417 ν(M-Cl).
2.5.4. Ni(II)-Complex (5)
Yield (81%), m.p. = 283 °C, color: burgundy, Ʌm = 13.20 (Ω−1mol−1cm−2), μeff = 2.91 BM. E.A. of [Ni(BZI)(Cl)2(H2O)2]·3H2O, C15H22Cl2FN3NiO5, (472.95 g·mol−1): Found (calcd.) %C 37.89 (38.09), %H 4.47 (4.69), %N 8.59 (8.88), %Cl 14.69 (14.99), %Ni 12.33 (12.41). FT-IR(cm−1), 3634–2514 ν(H2O), 2965w, 2865w ν(C-H), 1673 and 1597 ν(C=N), 595 ν(N→Ni), 517 ν(N→Ni), 427 ν(M-Cl).
2.5.5. Cu(II)-Complex (6)
Yield (70%), m.p. > 300 °C, color: olive green, Ʌm = 14.52 (Ω−1mol−1cm−2), μeff = 1.69 BM. E.A. of [Cu(BZI)(Cl)2(H2O)2]·H2O, C15H18Cl2CuFN3O3, (441.77 g·mol−1): Found (calcd.) %C 40.91 (40.78), %H 4.36 (4.11), %N 9.73 (9.51), %Cl 16.13 (16.05), %Cu 14.47 (14.38). FT-IR (cm−1), 3382–2780 ν(H2O), 2960w, 2884w ν(C-H), 1711 and 1633 ν(C=N), 543 ν(N→Cu), 531 ν(N→Cu), 436 ν(M-Cl).
2.6. Treatment of Cotton Fabric by Prepared Ligand and Its M-Complexes
To prepare the treated cotton fabrics, the Schiff base ligand (BZI) or its metal complex (M-complex) was first dissolved in 30 mL of ethanol (EtOH). This solution was then subjected to sonication at 50 °C for 5 min. Sonication helps to ensure that the compound is thoroughly dissolved and evenly distributed in the solvent by using ultrasonic waves to agitate the particles.
Next, 1 g of cotton fabric was immersed in the prepared ethanolic solution. The fabric was then sonicated for an additional 20 min at 50 °C. This step allows the compound to penetrate the fabric fibers more effectively, ensuring a uniform treatment.
After sonication, the treated fabric samples were dried at 50 °C for 10 min. This drying step helps to remove the bulk of the ethanol solvent. Finally, the samples were washed repeatedly with deionized water to remove any unbound or excess compound and then dried again to ensure that the fabric was free of any residual moisture.
This method ensures that the cotton fabric is uniformly treated with the ligand or metal complex, potentially imparting new properties to the fabric, such as enhanced durability, antimicrobial activity, or other desired characteristics.
2.7. Ultraviolet Protection Factor (UPF)
The UPF of the treated cotton fabrics was measured using a Shimadzu UV-3101 spectrophotometer (company of Shimadzu in Kyoto from Japan). This instrument operates in the wavelength range of 200–400 nm, which encompasses the ultraviolet (UV) spectrum. The UPF value indicates how effectively the fabric can block UV radiation, providing a measure of its protective capability against harmful UV rays.
2.8. In Vitro Antimicrobial
The antimicrobial properties of the treated fabric samples were assessed using the disc diffusion method. This method involves placing discs of the treated fabric on agar plates inoculated with specific microorganisms. The microorganisms tested included:
- Gram-positive bacteria “Staphylococcus aureus (S. aureus) (AATCC12600)”
- Gram-negative bacteria “Escherichia coli (E. coli) (ATCC11775)”
- Fungi “Candida albicans (C. albicans) (ATCC 7102)” and Aspergillus flavus (A. flavus) (ATCC 9643)
The antimicrobial activity is determined by measuring the zone of inhibition around the fabric discs, which indicates the effectiveness of the treatment in preventing microbial growth. This method provides a clear and quantifiable way to evaluate the antimicrobial properties of the treated fabrics against a range of pathogenic microorganisms.
3. Results and Discussion
3.1. Chemistry
Schiff base ligands have garnered significant attention in coordination chemistry due to their versatile binding properties and potential applications in various fields, including catalysis, material science, and medicinal chemistry. In this study, we focus on the synthesis and characterization of a Schiff base ligand, N-((1H-benzo[d]imidazol-2-yl)methyl)-1-(4-fluorophenyl)methanimine (BZI), and its metal complexes.
The Schiff base ligand (BZI) was synthesized through a condensation reaction between 4-fluorobenzaldehyde and 1H-benzo[d]imidazol-2-yl)methenamine. This reaction results in the formation of a ligand with both imine and aromatic functionalities, which are known to coordinate effectively with various metal ions.
To explore the coordination chemistry of BZI, it was reacted with different metal chloride salts, including (VCl3, FeCl3·6H2O, CoCl2·6H2O, NiCl2·6H2O, or CuCl2·2H2O). The resulting metal complexes were subjected to a comprehensive suite of analytical techniques to elucidate their structures and properties. These techniques included UV–Vis spectroscopy, FT-IR spectroscopy, elemental analysis, X-ray diffraction (XRD) powder analysis, and thermal analyses (TGA and DTA).
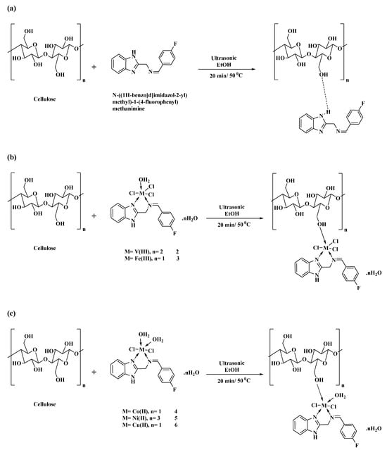
Elemental analysis revealed that the metal salts interacted with the ligand in a 1:1 molar ratio (1 metal: 1 ligand), as depicted in Figure 1. The general formula for the V(III) and Fe(III) complexes was determined to be [M(BZI)(Cl)3(H2O)]·nH2O, n = 2, n = 1, for V(III) and (n = 1) for Fe(III). For the Co(II), Ni(II), and Cu(II) complexes, the general formula was [M(BZI)(Cl)2(H2O)2]·nH2O, where n = 1, n = 3, n = 1, with (n = 1) for Co(II), (n = 3) for Ni(II), and (n = 1) for Cu(II).
Figure 1.
The supposed structures of the prepared M-complexes.
The Supplementary Materials provide detailed information on the physical properties and the results of FT-IR, XRD, and thermal analyses (TGA and DTA) for both the ligand and its metal complexes. These analyses confirm the successful synthesis of the metal complexes and provide insights into their structural and thermal stability, which are crucial for their potential applications in various domains.
UV–Visible Spectra and Magnetic Susceptibility
The UV–Visible spectra of the BZI ligand and its M-complexes were studied in DMSO at 200–1100 nm (Figure 2a,b), and their data were recorded in Table 1. As observed in the UV–Vis spectrum of the BZI ligand, three distinct absorption bands are present. The band with the maximum energy, which is observed at 301 nm, can be attributed to the transition of the benzene ring from π to π*. On the other hand, the band appearing at 358 nm is associated with the transition of the imine group from π to π*. It is believed that the n → π* transition of the imine group is responsible for making the lowest energy band appear at a wavelength of 421 nm [53]. There was a bathochromic shift of the n → π* transition in all complexes when compared with the ligand, which is proof of the participation of imine nitrogen in chelation with metallic ions. This shift occurred as a result of the coordination process [54]. A broad absorption band at 719 nm is observed in the visible spectra of the V(III) complex, as depicted in Figure 2b. This band is attributed to the transition from 3T1g to 3T2g (F), which suggests that the V(III) complex possesses an octahedral (Oh) organization. There is a correlation between the d2 electronic structure of V(III) complexes in an Oh geometry and the magnetic moment value of the V(III) complex, which is 2.52 BM [55]. A pair of absorption bands may be observed in the visible spectra of the Fe(III) complex. These bands are located at 655 and 554 nm, and they are attributed to the transitions from 6A1g to 4T2g (G) and 6A1g to 4T1g (G), respectively. In accordance with the Oh geometry of the Fe(III) ion, these transitions manifest themselves. There is a high spin Fe(III) configuration (d5) that is compatible with the μeff value of the Fe(III) complex, which is 5.67 BM [56]. There are three transitions that can be found in the visible spectrum of the Co(II) complex. These transitions are located at 705, 622, and 519 nm. These transitions are described as follows: 4T1g (F) → 4T2g (F), 4T1g (F) → 4A2g (F), and 4T1g (F) → 4T1g (P), respectively. These transitions indicate the octahedral geometry around the Co(II) ion [54,57,58]. The Co(II) complex has a magnetic moment of 4.83 BM, which corresponds with high spin octahedral Co(II) ion (d7) [59]. In the case of the Ni(II) complex visible spectrum, there is one absorption band present at 500 nm, which is assigned to 3A2g (F) → 3T1g (P) transition and that proves that the Ni(II) complex has an octahedral structure [60]. The μeff value of the Ni(II) complex is equal to 2.91 BM, which is compatible with the d8 electronic structure of Ni(II) complexes in the geometry of an Oh [61]. In the visible spectrum of the Cu(II) complex, there are three absorption bands that may be observed at 989, 707, and 513 nm. These bands are attributed to the transitions of 2B1g → 2A1g, 2B1g → 2B2g, and 2B1g → 2Eg, which occur sequentially. A tetragonal distorted octahedral geometry is confirmed by the fact that the magnetic moment value of the Cu(II) complex is 1.69 BM. This indicates that the Cu(II) complex follows this geometry [62].
Figure 2.
(a) The UV–Visible spectra of 1–6 in the range 280–650 nm, (b) the visible spectra of 2–6 compounds in the range 450–1100 nm.
Table 1.
UV–Vis spectral data of the ligand and its M-complexes.
3.2. Characterization of the Treated Cotton Fabric
In the realm of textile engineering, the characterization of treated cotton fabrics is pivotal for understanding their enhanced properties and potential applications. This study employs a comprehensive suite of analytical techniques to evaluate the modifications imparted to the cotton substrates. The treated cotton fabrics were meticulously analyzed using the following methodologies:
3.2.1. FTIR Spectra
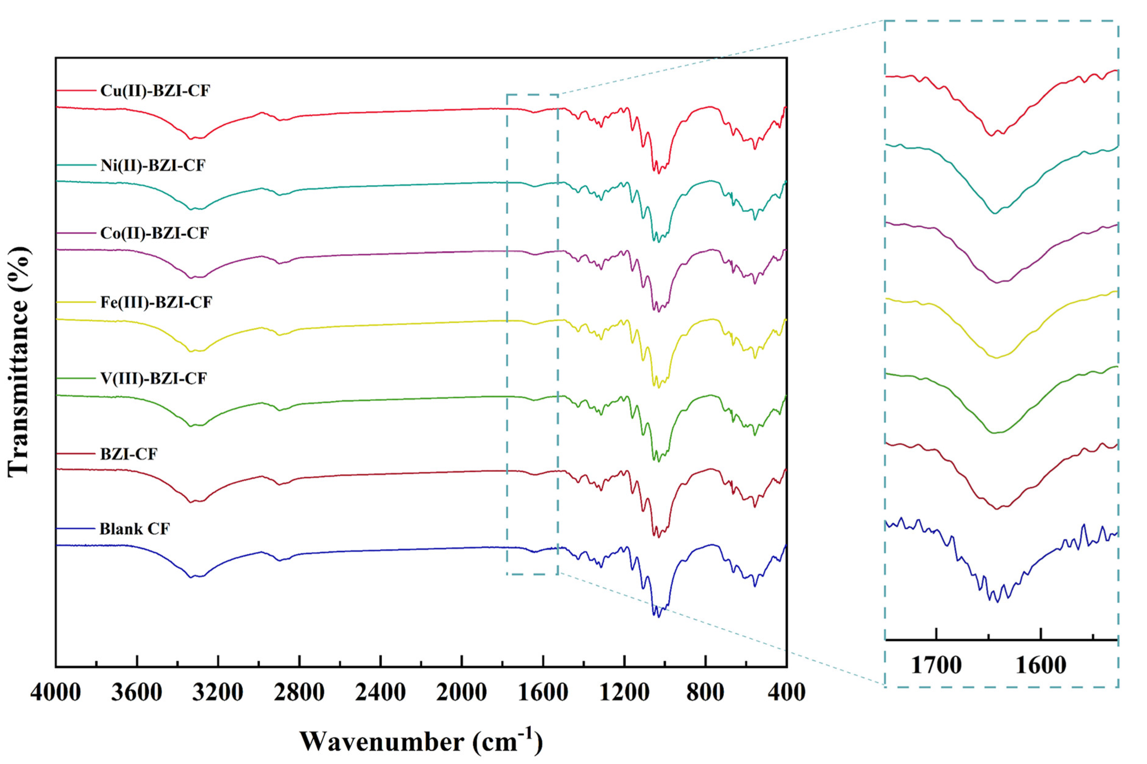
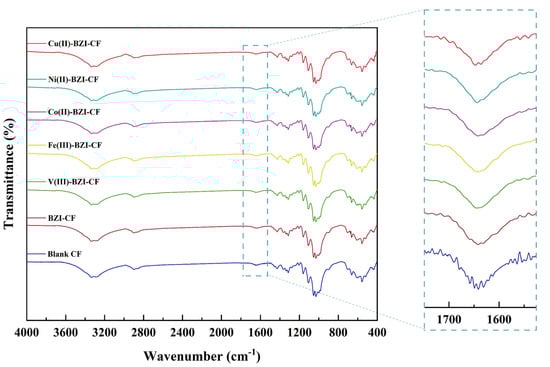
The IR spectra of the blank CF and treated CFs were obtained and depicted in Figure 3. In the blank cotton fabric spectrum, the peaks characteristic of the cellulose structure were observed. The band around 3315 cm−1 is attributed to the stretching vibration of the OH group [63]. It was found that the stretching and bending vibrations of C-H caused the weak peaks that were observed at 2898 cm−1 and 1369 cm−1, respectively [30]. Vibrations in the range of 1500–800 cm−1 are referred to as O-H vibrations, C–O vibrations, and C–O–C vibrations, respectively [64]. After treatment of the CFs with BZI and its M-complexes, it is observed that all the treated samples exhibited the characteristic peaks of the cellulose structure. Furthermore, the appearance of peaks at 1658 cm−1 and 1641 cm−1 in the infrared spectra of BZI-CF is found. These peaks are associated with the stretching vibration of the C=N groups of the azomethine and benzimidazole rings, respectively [65]. After complexation process, C=N bands (azomethine and benzimidazole ring) shifted to lower wavenumber by (1647 and 1635 cm−1) for V(III) complex, (1650 and 1637 cm−1) for Fe(III) complex, (1643 and 1631 cm−1) for Co(II) complex, (1645 and 1633 cm−1) for Ni(II) complex, and (1647 and 1635 cm−1) for Cu(II) complex. These types of bonding are confirmed by the appearance of a peak near 592–530 cm−1 in all IR spectra of M-BZI-CF which corresponds to the vibration of (M-N) [66]. Moreover, a new peak presents near 437–410 cm−1 in all IR spectra of M-BZI-CF, which can be referred to as the vibration of (M-Cl) [67]. The broadband that appears in the IR spectra of the treated CFs at 3550–3112 cm−1 may be attributed to the hydrogen bonding that forms between the NH of the benzimidazole ring and OH groups of the cellulose CF (Scheme 2) [63]. These results indicate the success of adsorption of the BZI and M-BZI complexes on the cellulose surface of CFs.
Figure 3.
FT-IR spectra of the blank CF, BZI-CF, V(III)-BZI-CF, Fe(III)-BZI-CF, Co(II)-BZI-CF, Ni(II)-BZI-CF, and Cu(II)-BZI-CF.
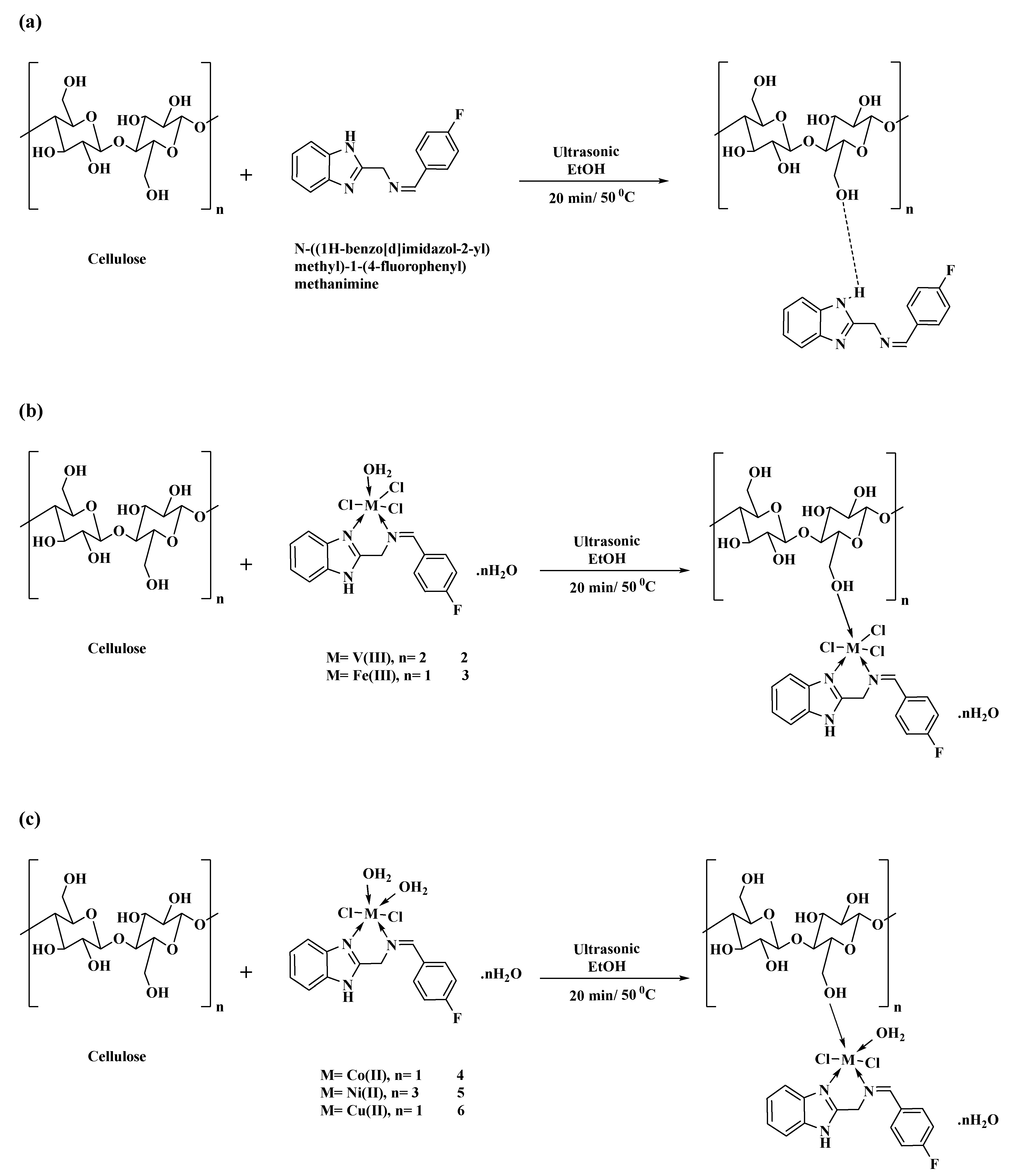
Scheme 2.
The supposed mechanism of the treated cotton fabric by (a) BZI ligand, (b) V(III) and Fe(III) complexes, (c) Co(II), Ni(II), and Cu(II) complexes.
The supposed mechanism of the treated CFs by BZI and its complexes is demonstrated in Scheme 2. The BZI ligand bonded to the cellulose molecule of the cotton fabric by the formation of hydrogen bonding between NH of the benzimidazole ring and the OH moiety of the cellulose. After the complexation process, the OH moieties of the cellulose chains bonded to metal ions via coordinated bond, forming a stable complex.
3.2.2. SEM/EDX Analysis
The SEM study was performed to investigate the surface morphology of cotton fabric both before and after it was treated with BZI or its metal complexes V(III), Fe(III), Co(II), Ni(II), or Cu(II). (Figure 4). As illustrated in this figure, the surface morphology of the blank cotton fabric is smooth. After the treatment process, it was observed that the surface morphology of all treated cotton fabrics was completely different from the untreated fabric. They have irregular and rough surfaces, as shown in Figure 4b–g, which indicates the success of the treatment process. The EDX analysis of the blank CF, BZI-CF, and M-BZI-CF (M is V(III), Fe(III), Co(II), Ni(II), or Cu(II)) was also applied, which provided important information that supported the SEM results (Figure 4). The EDX result of the blank CF (Figure 5a) demonstrates that there are only oxygen and carbon elements with atomic percentages of 49.18% and 50.82%, respectively. The appearance of new peaks belonging to fluorine and nitrogen elements in the EDX spectrum of BZI-CF (Figure 5b) indicates the success of the treatment process of cotton fabric with BZI. As illustrated in Figure 5c–g, the existence of new peaks corresponding to chlorine element and V(III), Fe(III), Co(II), Ni(II), or Cu(II) metal, respectively, confirm the successful processing of the cotton fabric by the BZI metal complexes.

Figure 4.
SEM images of (a) blank CF, (b) BZI-CF, (c) V(III)-BZI-CF, (d) Fe(III)-BZI-CF, (e) Co(II)-BZI-CF, (f) Ni(II)-BZI-CF, and (g) Cu(II)-BZI-CF.

Figure 5.
The EDX analysis spectrum of (a) blank CF, (b) BZI-CF, (c) V(III)-BZI-CF, (d) Fe(III)-BZI-CF, (e) Co(II)-BZI-CF, (f) Ni(II)-BZI-CF, and (g) Cu(II)-BZI-CF. The different colors in each picture indicates different elements. Also Table inside each figure indicates the mass % and the error %.
3.2.3. Ultraviolet Protection Properties
Table 2 displays the results of the determination of the UPF values for both the blank CF and the treated CF. A total of three categories were established by the Australian and New Zealand Standard AS/NZS 4399 (AS/NZS 4399: 1996) for the ultraviolet protection factor (UPF) of sun protective fabrics, apparel, and personal wear (such as headwear) that are worn near the skin. A good UPF value falls between 15 and 24; a very good UPF value falls between 25 and 39; and an excellent UPF value falls between 40 and 50 or higher [68]. Based on this standard, the blank CF provided insufficient protection, with UPF value equal to 3.7. The UPF value of BZI-CF was 18.9, which offered good protection. After the coordination process, it was observed that the UPF values increased depending on the metal ion used. The Ni(II)-BZI-CF, V(III)-BZI-CF, and Co(II)-BZI-CF had very good protection with UPF values of 28.7, 30.3, and 34.4, respectively. Both Cu(II)-BZI-CF and Fe(III)-BZI-CF showed the highest protection (UPF value of 50+), which is classified as an excellent protection level. Conjugated imine bonds with aromatic rings in BZI-CF and its metal complex increase UV absorbance by assisting electron transfer from π and n orbitals to π* orbitals or intramolecular proton transfer in the excited state [69]. The Fe(III) and Cu(II) showed the highest UPF value this may be due to the high absorbance of UV radiation due to the d-d transition and charge transfer, which facilitate the absorption of UV radiation and so the UPF increase.
Table 2.
The ultraviolet protection values of treated cotton fabrics.
Based on these results, it was observed that the treated CFs provided higher protection than the blank CF. These high UPF values may be related to the π-π* conjugated system and n-π* transitions of the BZI ligand and its metal complexes [30].
3.2.4. Antimicrobial Properties
The disc diffusion method was used to test the antibacterial activity of the treated and blank cotton fabrics against the pathogen’s G+ and G− bacteria, respectively. Also tested were the samples against Candida albicans and Aspergillus flavus, two kinds of fungus. Table 3 shows the documented inhibitory zones. The samples of BZI-CF, Co(II)-BZI-CF, Ni(II)-BZI-CF, and Cu(II)-BZI-CF exhibited antibacterial activity against S. aureus and E. coli, with inhibition zones ranging from 10 to 17 mm, according to the results of the antibacterial activity test. Additionally, it was observed that the tested samples exhibited higher antibacterial activity against S. aureus (G+) compared to E. coli (G−), potentially due to the differences in their cell membranes [10]. The antibacterial activity of these M-complexes was greater than that of their ligand, BZI-CF. The chelation theory proposed by Tweedy and Overtone may shed light on this finding. Overtone proposed the idea of cell permeability, which states that because cellular membranes are lipid-based, only molecules that are soluble in lipids are allowed to flow through them. Consequently, the antibacterial activity is controlled by liposolubility, an important component. The strong polarity of metallic cations makes it difficult for them to pass through cell membranes [70,71]. The overlap of the orbitals of the ligand and metallic ion significantly reduces the metal polarity after chelating the ligand with metallic ions. As a result, the donor groups can partially neutralize the positive charge on the metal. Furthermore, it heightens the lipophilicity of the M-complexes and the delocalization of π-electrons throughout the entire chelating ring. Because of this, the M-complex can cross lipid cell membranes and block microbial enzymes from attaching to metals [72,73]. The antifungal activity results of the samples demonstrated that all the samples were inactive against A. flavus and C. albicans except the Co-BZI-CF, which was active only against C. albicans.
Table 3.
The inhibition zone diameter of the blank CF and treated samples.
Finally, the suggested order of activity for the compounds indicates that Co(II)-BZI-CF exhibits the highest antimicrobial activity, particularly against S. aureus, E. coli, and C. albicans, while V(III)-BZI-CF and Fe(III)-BZI-CF show no activity at all.
4. Conclusions
This study effectively synthesized a novel Schiff base ligand, N-((1H-benzo[d]imidazol-2-yl)methyl)-1-(4-fluorophenyl)methanimine, as well as complexes with V(III), Fe(III), Co(II), Ni(II), and Cu(II). Various physical and spectral investigations were used to characterize these substances. The findings show that the M-complexes were non-electrolytic and produced at a molar ratio of 1:1. While Ni(II) exhibited a hexagonal crystal structure, the ligand and V(III) combination exhibited a tetragonal one, according to the XRD results. Complexes with iron(III) and copper(II) have monoclinic and triclinic crystal structures, respectively.
The SEM results demonstrated that all the treated samples had deposited on the CF surface. The UPF of the treated CF sample’s findings show that the samples have a UV protection efficiency range from good to excellent. Among them, the Cu(II) -BZI-CF and Fe(III) -BZI-CF have excellent UV protection with a UPF value of 50+. The antimicrobial activities of the treated CFs were investigated. The Co(II)-BZI-CF was effective against C. albicans with an inhibition zone of 15 mm, whereas the other treated samples were inactive on A. flavus and C. albicans. The BZI-CF, Co(II)-BZI-CF, Ni(II)-BZI-CF, and Cu(II)-BZI-CF had inhibition zones varied between 10 to 17 mm on S. aureus and E. coli. Here is the organized list of the results: Co(II)-BZI-CF > Ni(II)-BZI-CF > Cu(II)-BZI-CF > BZI-CF. These findings show that the complexation process enhanced the antibacterial efficiency of the treated CF. On the other hand, the V(III)-BZI-CF and Fe(III)-BZI-CF were non-active on S. aureus and E. coli.
Supplementary Materials
The following supporting information can be downloaded at: https://www.mdpi.com/article/10.3390/coatings15040380/s1, Table S1: The physical properties and elemental analysis of the ligand and its metal complexes. Table S2: The FT-IR spectra data of the ligand and its metal complexes. Table S3: The parameters of the unit cell and the crystal data of synthesized compounds. Table S4: The DTA and TGA analysis data of the metal complexes. Figure S1: The FT-IR spectra of the ligand and its M-complexes. Figure S2: The XRD patterns of the ligand and its M-complexes. Figure S3: The DTA and TGA curves of the metal complexes. References [74,75,76,77,78,79,80] are cited in the supplementary materials.
Author Contributions
Methodology, A.N.A.-H., T.M.A. and R.A.A.; Investigation, A.E.A.E.A. and M.M.A.E.-H.; Writing—original draft, R.A.A.; Writing—review & editing, S.E.-S.S.; Supervision, A.N.A.-H. All authors have read and agreed to the published version of the manuscript.
Funding
This research was funded by the Deanship of Graduate Studies and Scientific Research at Qassim University for financial support (QU-APC-2025).
Institutional Review Board Statement
Not applicable.
Informed Consent Statement
Not applicable.
Data Availability Statement
Data are contained within the article and Supplementary Materials.
Acknowledgments
The Researchers would like to thank the Deanship of Graduate Studies and Scientific Research at Qassim University for financial support (QU-APC-2025).
Conflicts of Interest
The authors declare no conflict of interest.
References
- Kale, R.D.; Bansal, P.S.; Gorade, V.G. Extraction of Microcrystalline Cellulose from Cotton Sliver and Its Comparison with Commercial Microcrystalline Cellulose. J. Polym. Environ. 2018, 26, 355–364. [Google Scholar] [CrossRef]
- Wei, D.W.; Wei, H.; Gauthier, A.C.; Song, J.; Jin, Y.; Xiao, H. Superhydrophobic modification of cellulose and cotton textiles: Methodologies and applications. J. Bioresour. Bioprod. 2020, 5, 1–15. [Google Scholar] [CrossRef]
- Ilić, V.; Šaponjić, Z.; Vodnik, V.; Potkonjak, B.; Jovančić, P.; Nedeljković, J.; Radetić, M. The influence of silver content on antimicrobial activity and color of cotton fabrics functionalized with Ag nanoparticles. Carbohydr. Polym. 2009, 78, 564–569. [Google Scholar] [CrossRef]
- Babu, K.M.; Ravindra, K.B. Bioactive antimicrobial agents for finishing of textiles for health care products. J. Text. Inst. 2015, 106, 706–717. [Google Scholar] [CrossRef]
- Abdel-Halim, E.S.; Abdel-Mohdy, F.A.; Fouda, M.M.G.; El-Sawy, S.M.; Hamdy, I.A.; Al-Deyab, S.S. Antimicrobial activity of monochlorotriazinyl-β-cyclodextrin/ chlorohexidin diacetate finished cotton fabrics. Carbohydr. Polym. 2011, 86, 1389–1394. [Google Scholar] [CrossRef]
- Liu, Y.; Ma, K.; Li, R.; Ren, X.; Huang, T.S. Antibacterial cotton treated with N-halamine and quaternary ammonium salt. Cellulose 2013, 20, 3123–3130. [Google Scholar] [CrossRef]
- Fu, X.; Shen, Y.; Jiang, X.; Huang, D.; Yan, Y. Chitosan derivatives with dual-antibacterial functional groups for antimicrobial finishing of cotton fabrics. Carbohydr. Polym. 2011, 85, 221–227. [Google Scholar] [CrossRef]
- Saeed, S.E.; Al-harbi, T.M.; Alhakimi, A.N.; El-hady, M.M.A. Aniline Derivative Schiff Base for Antimicrobial Applications and UV Protection of a Modified Cotton Fabric. Coatings 2022, 12, 1181. [Google Scholar] [CrossRef]
- Saeed, S.E.; Aldubayyan, M.; Al-hakimi, A.N.; El-hady, M.M.A. Synthesis and Characterization of Pyridine Acetohydrazide Derivative for Antimicrobial Cotton Fabric. Materials 2023, 16, 4885. [Google Scholar] [CrossRef]
- Saeed, S.E.; Alomari, B.A.; El-hady, M.M.A.; Al-hakimi, A.N. Novel Pyrimidinethione Hydrazide Divalent and Trivalent Metal Complexes for Improved High-Performance Antimicrobial and Durable UV Blocking Cellulosic Fabric. Inorganics 2023, 11, 231. [Google Scholar] [CrossRef]
- Zhao, J.; Deng, B.; Lv, M.; Li, J.; Zhang, Y.; Jiang, H.; Peng, C. Graphene Oxide-Based Antibacterial Cotton Fabrics. Adv. Healthc. Mater. 2013, 2, 1259–1266. [Google Scholar]
- El-Nahhal, I.M.; Zourab, S.M.; Kodeh, F.S.; Elmanama, A.A.; Selmane, M.; Genois, I.; Babonneau, F. Nanostructured zinc oxide-cotton fibers: Synthesis, characterization and applications. J. Mater. Sci. Mater. Electron. 2013, 24, 3970–3975. [Google Scholar]
- El-Nahhal, I.M.; Zourab, S.M.; Kodeh, F.S.; Selmane, M.; Genois, I.; Babonneau, F. Nanostructured copper oxide-cotton fibers: Synthesis, characterization, and applications. Int. Nano Lett. 2012, 2, 14. [Google Scholar]
- El-Naggar, M.; Shaheen, T.I.; Zaghloul, S.; El-Rafie, M.H.; Hebeish, A.A. Antibacterial activities and UV-protection of the in-situ synthesized titanium oxide nanoparticles on cotton fabrics. Ind. Eng. Chem. Res. 2016, 55, 2661–2668. [Google Scholar]
- Passeron, T.; Krutmann, J.; Andersen, M.L.; Katta, R.; Zouboulis, C.C. Clinical and biological impact of the exposome on the skin. J. Eur. Acad. Dermatol. Venereol. 2020, 34, 4–25. [Google Scholar] [CrossRef] [PubMed]
- Juzeniene, A.; Moan, J. Beneficial effects of UV radiation other than via vitamin D production. Dermatoendocrinology 2012, 4, 109–117. [Google Scholar]
- Watson, R.E.B.; Gibbs, N.K.; Griffiths, C.E.M.; Sherratt, M.J. Damage to skin extracellular matrix induced by UV exposure, Antioxid. Redox Signal. 2014, 21, 1063–1077. [Google Scholar]
- Ivanov, I.V.; Mappes, T.; Schaupp, P.; Lappe, C.; Wahl, S. Ultraviolet radiation oxidative stress affects eye health. J. Biophotonics 2018, 11, e201700377. [Google Scholar] [CrossRef]
- Rahman, M.S.; Alom, J.; Nitai, A.S.; Hasan, M.S.; Ahmed, M.B.; Nam, S.; Mondal, M.I.H. Ultraviolet-Blocking Protective Textiles; Woodhead Publishing: Cawston, UK, 2022. [Google Scholar]
- Yu, Y. UV Interactions with Fibres and Fibrous Structures; Deakin University: Geelong, Australia, 2015. [Google Scholar]
- Tarbuk, A.; Grancarić, A.M.; Šitum, M. Skin cancer and UV protection. AUTEX Res. J. 2016, 16, 19–28. [Google Scholar]
- Kocić, A.; Bizjak, M.; Popović, D.; Stanković, G.B.P.S.B.; More, S. UV protection afforded by textile fabrics made of natural and regenerated cellulose fibres. J. Clean. Prod. 2019, 228, 1229–1237. [Google Scholar]
- Kibria, G.; Repon, M.R.; Hossain, M.F.; Islam, T.; Jalil, M.A.; Aljabri, M.D.; Rahman, M.M. UV-blocking cotton fabric design for comfortable summer wears: Factors, durability and nanomaterials. Cellulose 2022, 29, 7555–7585. [Google Scholar] [CrossRef]
- Alebeid, O.K.; Zhao, T. Review on: Developing UV protection for cotton fabric. J. Text. Inst. 2017, 108, 2027–2039. [Google Scholar] [CrossRef]
- Becheri, A.; Dürr, M.; Nostro, P.L.; Baglioni, P. Synthesis and characterization of zinc oxide nanoparticles: Application to textiles as UV-absorbers. J. Nanopart. Res. 2008, 10, 679–689. [Google Scholar] [CrossRef]
- Abidi, N.; Hequet, E.; Tarimala, S.; Dai, L.L. Cotton Fabric Surface Modification for Improved UV Radiation Protection Using Sol–Gel Process. J. Appl. Polym. Sci. 2007, 104, 111–117. [Google Scholar] [CrossRef]
- Dhineshbabu, N.R.; Arunmetha, S.; Manivasakan, P.; Karunakaran, G.; Rajendran, V. Enhanced functional properties of cotton fabrics using TiO2/SiO2 nanocomposites. J. Ind. Text. 2016, 45, 674–692. [Google Scholar] [CrossRef]
- Hou, A.; Zhang, C.; Wang, Y. Preparation and UV-protective properties of functional cellulose fabrics based on reactive azobenzene Schiff base derivative. Carbohydr. Polym. 2012, 87, 284–288. [Google Scholar] [CrossRef]
- Akrman, J.; Přikryl, J. Application of Benzotriazole Reactive UV Absorbers to Cellulose and Determining Sun Protection of Treated Fabric Spectrophotometrically. J. Appl. Polym. Sci. 2008, 108, 334–341. [Google Scholar] [CrossRef]
- Saeed, S.E.S.; Aldubayyan, M.; Al-Hakimi, A.N.; El-Sayed, W.A.; Alnawmasi, J.S.; El-Hady, M.M.A.; Abdel-Mottaleb, M.S.A. UV protective textile: Experimental and DFT computational studies on the function of some metal complexes of hydrazide derivatives on cellulose fabrics. Appl. Organomet. Chem. 2023, 37, e7140. [Google Scholar] [CrossRef]
- Herna, R.; Mederos, A. Acyclic and Macrocyclic Schiff Base Ligands. Compr. Coord. Chem. II 2003, 1, 411–446. [Google Scholar]
- Adaji, M.U.; Iorungwa, M.S.; Salawu, O.W. Mohammed Umar Adaji, Characterization of Schiff Base Ligand and Its Metal Complexes; IntechOpen: London, UK, 2024. [Google Scholar]
- Alreja, P.; Kaur, N. Probing anion and cation with novel salicylidene Schiff base receptor appended with 1, 10-phenanthroline: Mimicking INHIBIT molecular logic gate. Inorganica Chim. Acta 2018, 480, 127–131. [Google Scholar] [CrossRef]
- Al-hakemi, A.N.; Alresheedi, T.M.; Albarrak, R.A.; Shakdofa, M.; Albadri, A.E.; El-hady, M.M.A. Ligational behaviour of tridentate NNO-donor Schiff base and antimicrobial investigation. Biosci. Res. 2024, 21, 35–54. [Google Scholar]
- Wagih, N.; Abdel-Rahman, I.M.; El-Koussi, N.A.; Abuo-Rahma, G.E.-D.A. Anticancer benzimidazole derivatives as inhibitors of epigenetic targets: A review article. RSC Adv. 2025, 15, 966–1010. [Google Scholar] [CrossRef]
- Miller, J.F.; Turner, E.M.; Gudmundsson, K.S.; Jenkinson, S.; Spaltenstein, A.; Thomson, M.; Wheelan, P. Novel N-substituted benzimidazole CXCR4 antagonists as potential anti-HIV agents. Bioorg. Med. Chem. Lett. 2010, 20, 2125–2128. [Google Scholar] [CrossRef]
- Rathore, A.; Sudhakar, R.; Ahsan, M.J.; Ali, A.; Subbarao, N.; Jadav, S.S.; Umar, S.; Yar, M.S. In vivo anti-inflammatory activity and docking study of newly synthesized benzimidazole derivatives bearing oxadiazole and morpholine rings. Bioorg. Chem. 2017, 70, 107–117. [Google Scholar] [CrossRef]
- Shingalapur, R.V.; Hosamani, K.M.; Keri, R.S.; Hugar, M.H. Derivatives of benzimidazole pharmacophore: Synthesis, anticonvulsant, antidiabetic and DNA cleavage studies. Eur. J. Med. Chem. 2010, 45, 1753–1759. [Google Scholar] [PubMed]
- Datar, P.; Limaye, S. Design and Synthesis of Mannich bases as Benzimidazole Derivatives as Analgesic Agents. Antiinflamm. Antiallergy. Agents Med. Chem. 2015, 14, 35–46. [Google Scholar] [PubMed]
- Dziwornu, G.A.; Coertzen, D.; Leshabane, M.; Korkor, C.M.; Cloete, C.K.; Njoroge, M.; Gibhard, L.; Lawrence, N.; Reader, J.; Der Watt, V.; et al. Antimalarial Benzimidazole Derivatives Incorporating Phenolic Mannich Base Side Chains Inhibit Microtubule and Hemozoin Formation: Structure − Activity Relationship and In Vivo Oral Efficacy Studies. J. Med. Chem. 2021, 64, 5198–5215. [Google Scholar]
- Tonelli, M.; Novelli, F.; Tasso, B.; Vazzana, I.; Sparatore, A.; Boido, V.; Sparatore, F.; La Colla, P.; Sanna, G.; Giliberti, G.; et al. Antiviral activity of benzimidazole derivatives. III. Novel anti-CVB-5, anti-RSV and anti-Sb-1 agents. Bioorg. Med. Chem. 2014, 22, 4893–4909. [Google Scholar]
- Aroua, L.M.; Almuhaylan, H.R.; Alminderej, F.M.; Messaoudi, S.; Chigurupati, S.; Al-mahmoud, S.; Mohammed, H.A. A facile approach synthesis of benzoylaryl benzimidazole as potential α -amylase and α -glucosidase inhibitor with antioxidant activity. Bioorg. Chem. 2021, 114, 105073. [Google Scholar] [CrossRef]
- Vitaku, E.; Smith, D.T.; Njardarson, J.T. Analysis of the Structural Diversity, Substitution Patterns, and Frequency of Nitrogen Heterocycles among U.S. FDA Approved Pharmaceuticals. J. Med. Chem. 2014, 57, 10257–10274. [Google Scholar]
- Sharma, P.; LaRosa, C.; Antwi, J.; Govindarajan, R.; Werbovetz, K.A. Imidazoles as Potential Anticancer Agents: An Update on Recent Studies. Molecules 2021, 26, 4213. [Google Scholar] [CrossRef]
- Elgemeie, G.H.; Azzam, R.A.; Zaghary, W.A.; Aly, A.A.; Metwally, N.H.; Sarhan, M.O.; Abdelhafez, E.M.; Elsayed, R.E. Patents and applications of N-sulfonated N-heterocycles. In N-Sulfonated-N-Heterocycles; Elsevier: Amsterdam, The Netherlands, 2022. [Google Scholar]
- Bansal, Y.; Silakari, O. The therapeutic journey of benzimidazoles: A review. Bioorg. Med. Chem. 2012, 20, 6208–6236. [Google Scholar] [CrossRef] [PubMed]
- Al-Wasidi, A.A.E.A.S.; Refat, M.S.; Naglah, A.M. Different Potential Biological Activities of Benzimidazole Derivatives. Egypt. J. Chem. 2021, 64, 2631–2646. [Google Scholar] [CrossRef]
- Abdel-rahman, L.H.; Abu-dief, A.M.; Moustafa, H. Ni (II) and Cu (II) complexes with ONNO asymmetric tetradentate Schiff base ligand: Synthesis, spectroscopic characterization, theoretical calculations, DNA interaction and antimicrobial studies. Appl. Organomet. Chem. 2017, 31, e3555. [Google Scholar]
- Chinnaraj, K.; Kalanithi, M.; Sankarganesh, M.; Jeyakumar, T.C. Novel azo-based benzimidazole Schiff base ligand and its Co (II), Ni (II) Cu (II) complexes: Computational and biological studies. J. Coord. Chem. 2025, 78, 521–537. [Google Scholar]
- Djuidje, E.N.; Durini, E.; Sciabica, S.; Serra, E.; Balzarini, J.; Liekens, S.; Manfredini, S.; Vertuani, S.; Baldisserotto, A. Skin damages—Structure activity relationship of benzimidazole derivatives bearing a 5-membered ring system. Molecules 2020, 25, 4324. [Google Scholar] [CrossRef] [PubMed]
- Sharma, V.; Ali, S.W. A greener approach to impart multiple functionalities on polyester fabric using Schiff base of vanillin and benzyl amine. Sustain. Chem. Pharm. 2022, 27, 100645. [Google Scholar]
- Song, J.; Long, F.; Shi, Y.; Cao, L. Lyocell fiber modified with Schiff base-Cu(II) Reaction and its excellent antimicrobial properties. Cellulose 2022, 29, 5325–5338. [Google Scholar] [CrossRef]
- Shukla, S.N.; Gaur, P.; Raidas, M.L.; Chaurasia, B.; Bagri, S.S. Novel NNO pincer type Schiff base ligand and its complexes of Fe(IIl), Co(II) and Ni(II): Synthesis, spectroscopic characterization, DFT, antibacterial and anticorrosion study. J. Mol. Struct. 2021, 1240, 130582. [Google Scholar] [CrossRef]
- El-Tabl, A.S.; Shakdofa, M.M.E.; Whaba, M.A. Synthesis, characterization and fungicidal activity of binary and ternary metal(II) complexes derived from 4,4′-((4-nitro-1,2-phenylene) bis(azanylylidene))bis(3-(hydroxyimino)pentan-2-one), Spectrochim. Acta—Part A Mol. Biomol. Spectrosc. 2015, 136, 1941–1949. [Google Scholar] [CrossRef]
- Chatterjee, M.; Ghosh, S.; Nandi, A.K. Synthesis, structure determination and reactivity of a highly stable vanadium(III) complex. Polyhedron 1997, 16, 2917–2923. [Google Scholar] [CrossRef]
- Alhakimi, A.N.; Shakdofa, M.M.E.; Saeed, S.E.S.; Shakdofa, A.M.E.; Al-Fakeh, M.S.; Abdu, A.M.; Alhagri, I.A. Transition metal complexes derived from 2-hydroxy-4-(p-tolyldiazenyl)benzylidene)-2-(p-tolylamino)acetohydrazide synthesis, structural characterization, and biological activities. J. Korean Chem. Soc. 2021, 65, 93–105. [Google Scholar] [CrossRef]
- Mahmoud, W.H.; Mohamed, G.G.; El-Dessouky, M.M.I. Synthesis, characterization and in vitro biological activity of mixed transition metal complexes of lornoxicam with 1,10-phenanthroline. Int. J. Electrochem. Sci. 2014, 9, 1415–1438. [Google Scholar] [CrossRef]
- Shakdofa, M.M.E.; Mousa, H.A.; Labib, A.A.; El-All, A.S.A.; Bassyouni, F.A. In vitro antimicrobial activity evaluation of newly synthesized furochromone schiff base complexes. Egypt. J. Chem. 2018, 61, 295–304. [Google Scholar] [CrossRef]
- Wassila, D.; Elkanzi, N.A.A.; Ali, A.M.; Abdou, A. Three Co (II), Ni (II) and Cu (II) Schiff base complexes incorporating 2-[(4-{[(4-methylphenyl) sulfonothioyl] oxy} phenyl) methylene] amino} benzoic acid: Synthesis, structural, dft, biological and molecular docking investigation. Bull. Chem. Soc. Ethiop. 2024, 38, 325–346. [Google Scholar]
- Li, H.C.; Zheng, Y.F.; Wang, M.Z.; Geng, C.C.; Hou, M.; Liu, C.Q.; Li, W.G. Synthesis, crystal structures and anticancer studies of Ni (Ⅱ) and Co (III) complexes based on 2-(2-aminophenyl)-1H-benzimidazole Schiff base derivatives. Inorganica Chim. Acta 2025, 577, 122506. [Google Scholar]
- Saeed, S.E.-S.; Alomari, B.A.; Al-Hakimi, A.N.; El-Hady, M.M.A.; Alnawmasi, J.S.; Elganzory, H.H.; El-Sayed, W.A. Pyrimidine hydrazide ligand and its metal complexes: Synthesis, characterization, and antimicrobial activities. Egypt. J. Chem. 2023, 66, 315–329. [Google Scholar]
- Gomaa, A.I.; Gomaa, E.A.; Zaky, R.R.; El-Hady, M.N.A. Design and synthesis of pyridine bis-hydrazone metal complexes of Co (II), Cu (II), and Hg (II): Spectral, Gaussian, electrochemical, biological, drug-likeness and molecular docking investigations. Inorg. Chem. Commun. 2024, 162, 112188. [Google Scholar]
- Saeed, S.E.-S.; Al-Harbi, T.M.; Abdel-Mottaleb, M.S.A.; Al-Hakimi, A.N.; Albadria, A.E.A.E.; El-Hady, M.M.A. Novel Schiff base transition metal complexes for imparting UV protecting and antibacterial cellulose fabric: Experimental and computational investigations. Appl. Organomet. Chem. 2022, 36, e6889. [Google Scholar]
- El-Hady, M.M.A.; Sharaf, S.; Farouk, A. Highly hydrophobic and UV protective properties of cotton fabric using layer by layer self-assembly technique. Cellulose 2020, 27, 1099–1110. [Google Scholar] [CrossRef]
- Vijayan, T.; Kim, J.; Azam, M.; Al-Resayes, S.I.; Stalin, A.; Kannan, B.S.; Jayamani, A.; Ayyakannu, A.; Nallathambi, S. Influence of co-ligand on the biological properties of Schiff base metal complexes: Synthesis, characterization, cytotoxicity, and antimicrobial studies. Appl. Organomet. Chem. 2022, 36, e6542. [Google Scholar] [CrossRef]
- Ali-Mayada, S.; El-Saied, F.A.; Shakdofa, M.M.E.; Karnik, S.; Jaragh-Alhadad, L.A. Synthesis and characterization of thiosemicarbazone metal complexes: Crystal structure, and antiproliferation activity against breast (MCF7) and lung (A549) cancers. J. Mol. Struct. 2023, 1274, 134485. [Google Scholar]
- Alorini, T.A.; Al-Hakimi, A.N.; Saeed, S.E.-S.; Alhamzi, E.H.L.; Albadri, A.E.A.E. Synthesis, characterization, and anticancer activity of some metal complexes with a new Schiff base ligand. Arab. J. Chem. 2022, 15, 103559. [Google Scholar] [CrossRef]
- Standards Association of Australia. Sun Protective Clothing: Evaluation and Classification; Standards Australia: Sydney, Australia, 1996. [Google Scholar]
- Heydari, N.; Karimi, A.R.; Momeni, H.R.; Azadikhah, F.; Etemadi, T. Chitosan Schiff-Base Hydrogel Sunscreen: A Multifunctional Hybrid Network with Antioxidant, Ultraviolet-Shielding, and Self-Healing Properties. ACS Omega 2025, 10, 8250–8261. [Google Scholar]
- Benos, D.J.; Deamer, D.W.; Kleinzeller, A.; Fambrough, D.M. Membrane Permeability: 100 Years Since Ernest Overton; Academic Press: Cambridge, MA, USA, 1999. [Google Scholar]
- Tweedy, B.G. Plant extracts with metal ions as potential antimicrobial agents. Phytopathology 1964, 55, 910–914. [Google Scholar]
- Sharma, R.; Nagar, M.; Agarwal, M.; Sharma, H. Synthesis, characterization and antimicrobial activities of some mixed ligand complexes of Co(II) with thiosemicarbazones and N-protected amino acids. J. Enzym. Inhib. Med. Chem. 2009, 24, 197–204. [Google Scholar]
- He, B.; Helmann, J.D. Metalation of extracytoplasmic proteins and bacterial cell envelope homeostasis. Annu. Rev. Microbiol. 2024, 78, 83–102. [Google Scholar]
- El-All, A.S.A.; Ragab, F.A.F.; El-Din, A.A.M.; Abdalla, M.M.; El-Hefnawi, M.M.; El-Rashedy, A.A. Design, synthesis and anticancer evaluation of some selected schiff bases derived from benzimidazole derivative. Glob. J. Pharmacol. 2013, 7, 143–152. [Google Scholar]
- Akande, A.A.; Salar, U.; Khan, K.M.; Syed, S.; Aboaba, S.A.; Chigurupati, S.; Wadood, A.; Riaz, M.; Taha, M.; Bhatia, S.; et al. Substituted Benzimidazole Analogues as Potential α-Amylase Inhibitors and Radical Scavengers. ACS Omega 2021, 6, 22726–22739. [Google Scholar]
- Noori, M.; Davoodi, A.; Iraji, A.; Dastyafteh, N.; Khalili, M.; Asadi, M.; Khanaposhtani, M.M.; Mojtabavi, S.; Dianatpour, M.; Faramarzi, M.A.; et al. Design, synthesis, and in silico studies of quinoline-based-benzo[d]imidazole bearing different acetamide derivatives as potent α-glucosidase inhibitors. Sci. Rep. 2022, 12, 14019. [Google Scholar]
- Yarkandi, N.H.; El-Ghamry, H.A.; Gaber, M. Synthesis, spectroscopic and DNA binding ability of CoII, NiII, CuII and ZnII complexes of Schiff base ligand (E)-1-(((1H-benzo[d]imidazol-2-yl)methylimino)methyl)naphthalen-2-ol. X-ray crystal structure determination of cobalt (II) complex. Mater. Sci. Eng. C 2017, 75, 1059–1067. [Google Scholar]
- Erdem, E.; Sari, E.Y.; Kilinçarslan, R.; Kabay, N. Synthesis and characterization of azo-linked Schiff bases and their nickel(II), copper(II), and zinc(II) complexes. Transit. Met. Chem. 2009, 34, 167–174. [Google Scholar]
- Şahin, N. Dege, Synthesis, characterization, X-ray, HOMO-LUMO, MEP, FT-IR, NLO, Hirshfeld surface, ADMET, boiled-egg model properties and molecular docking studies with human cyclophilin D (CypD) of a Schiff base compound: (E)-1-(5-nitro-2-(piperidin-1-yl)phenyl)-N-(3-ni. Polyhedron 2021, 205, 115320. [Google Scholar]
- El-Sonbati, A.Z.; Diab, M.A.; El-Bindary, A.A.; Mohamed, G.G.; Morgan, S.M.; Abou-Dobara, M.I.; Nozha, S.G. Geometrical structures, thermal stability and antimicrobial activity of Schiff base supramolecular and its metal complexes. J. Mol. Liq. 2016, 215, 423–442. [Google Scholar]
Disclaimer/Publisher’s Note: The statements, opinions and data contained in all publications are solely those of the individual author(s) and contributor(s) and not of MDPI and/or the editor(s). MDPI and/or the editor(s) disclaim responsibility for any injury to people or property resulting from any ideas, methods, instructions or products referred to in the content. |
© 2025 by the authors. Licensee MDPI, Basel, Switzerland. This article is an open access article distributed under the terms and conditions of the Creative Commons Attribution (CC BY) license (https://creativecommons.org/licenses/by/4.0/).








