Next Article in Journal
Experimental Study Regarding the Synthesis of Iron Oxide Nanoparticles by Laser Pyrolysis Using Ethanol as Sensitizer; Morpho-Structural Alterations Using Thermal Treatments on the Synthesized Nanoparticles
Next Article in Special Issue
New Insights into Biomaterials and Coatings
Previous Article in Journal
The Effect of Surface Pretreatments on the Reliability of Glass Bonded Joints
Previous Article in Special Issue
An Advanced Surface Treatment Technique for Coating Three-Dimensional-Printed Polyamide 12 by Hydroxyapatite
 
 
Font Type:
Arial Georgia Verdana
Font Size:
Aa Aa Aa
Line Spacing:
Column Width:
Background:
Article

Chrome Doped Hydroxyapatite Enriched with Amoxicillin Layers for Biomedical Applications

by
Carmen Steluta Ciobanu
1,
Daniela Predoi
1,*,
Simona Liliana Iconaru
1,
Krzysztof Rokosz
2,
Steinar Raaen
3,
Catalin Constantin Negrila
1,
Liliana Ghegoiu
1,4,
Coralia Bleotu
5,6,7 and
Mihai Valentin Predoi
4,*
1
National Institute of Materials Physics, Atomistilor Street, No. 405A, MG 07, 077125 Magurele, Romania
2
Faculty of Electronics and Computer Science, Koszalin University of Technology, Śniadeckich 2, PL 75-453 Koszalin, Poland
3
Department of Physics, Norwegian University of Science and Technology (NTNU), Realfagbygget E3-124 Høgskoleringen 5, NO 7491 Trondheim, Norway
4
Department of Mechanics, University Politehnica of Bucharest, BN 002, 313 Splaiul Independentei, Sector 6, 060042 Bucharest, Romania
5
Department of Cellular and Molecular Pathology, Stefan S. Nicolau Institute of Virology, Romanian Academy, 030304 Bucharest, Romania
6
Research Institute of the University of Bucharest (ICUB), University of Bucharest, 060023 Bucharest, Romania
7
The Academy of Romanian Scientist, 050711 Bucharest, Romania
*
Authors to whom correspondence should be addressed.
Coatings 2025, 15(2), 233; https://doi.org/10.3390/coatings15020233
Submission received: 30 December 2024 / Revised: 12 February 2025 / Accepted: 13 February 2025 / Published: 15 February 2025
(This article belongs to the Special Issue Advanced Biomaterials and Coatings)

Abstract

In the last decade, it has been observed that the field of biomaterials has gained the attention of the researchers. This study presents the physicochemical and biological properties of coatings based on chromium-doped hydroxyapatite (CrHAp) and chromium-doped hydroxyapatite enriched with amoxicillin (CrHApAx). The coatings were obtained for the first time using the dip coating technique, beginning from dense suspensions of CrHAp and CrHApAx. The obtained layers were then analyzed by various methods in order to have a comprehensive overview of their physicochemical properties. Stability studies performed using ultrasound measurements showed that the CrHAp suspension has very good stability (S = 6.86·10−6 s−1) compared to double-distilled water. The CrHApAx suspension (S = 0.00025 s−1) shows good but weaker stability compared to that of the CrHAp suspension. Following XRD studies, a single hydroxyapatite-specific phase was observed in the CrHAp sample, while in the case of the CrHApAx sample, an amoxicillin-specific peak was also observed. The AFM results showed that the CrHAp coatings had a surface topography of a homogenous and uniform layer, with no significant cracks and fissures, while the CrHApAx coatings exhibited a surface morphology of homogenous layers formed of particles conglomerates. The biocompatibility of CrHAp and CrHApAx coatings was assessed using the MG63 cell line. The cytotoxicity of the coatings was evaluated by measuring cell viability with the aid of an MTT assay after 24, 48, and 72 h of incubation with the CrHAp and CrHApAx coatings. The results demonstrated that both CrHAp and CrHApAx coatings exhibited good biocompatibility for all the tested time intervals. The in vitro antibacterial activity of the coatings was also assessed against Pseudomonas aeruginosa 27853 ATCC (P. aeruginosa) bacterial cells. The potential of P. aeruginosa bacterial cells to adhere and develop on the surfaces of CrHAp and CrHApAx coatings was also investigated using AFM analysis. The findings of the biological assays suggest that CrHAp and CrHApAx coatings could be considered as promising candidates for biomedical applications, including the development of novel antimicrobial materials.

1. Introduction

The field of biomaterials has garnered significant attention in recent years, emerging as a priority area with expanding applications in the medical and pharmaceutical sectors [1]. Within the realms of nanotechnology and biotechnology, biomaterials represent a critical class of materials. Nanotechnology has found successful applications in medicine, addressing malignant diseases, regenerating bone structures, and treating dental conditions like periodontal diseases [2].
Calcium apatite in its mineral form, hydroxyapatite (HAp), is notable for its excellent biocompatibility, stemming from its chemical composition, which closely resembles that of biological tissues, particularly connective tissues [3]. Research has highlighted HAp as an effective nanocarrier for delivering antibiotics to hard tissues [4]. Studies have further demonstrated the use of HAp nanoparticles combined with polyvinyl alcohol (PVA) and amoxicillin in treating periodontitis [5]. The structural and chemical composition of hydroxyapatite (HAp) closely resembles that of the mineral components found in mammalian bones and teeth [6,7,8,9]. The resemblance in structure and composition between HAp and the mineral components of bones and teeth is what makes HAp highly biocompatible, which means that it can integrate well with bone tissue without causing adverse reactions [6,8]. This property is why HAp is extensively used in medical and dental applications, such as bone grafts and coatings for implants, to promote bone growth and repair. In the last decade, HAp has been utilized as a coating for metallic implants to enhance their biocompatibility, addressing concerns regarding the compatibility and toxicity of bone substitute materials in orthopedic and dental surgeries [6,10]. Due to its unique structure, HAp allows the substitution of calcium ions from its structure with various ions such as zinc [11], copper [12], silver [13], etc. According to previously reported studies, conducted by Uysal, I. et al. [14], the addition of foreign metal ions into the HAp structure leads to the improvement of both antimicrobial and mechanical properties of HAp [14].
Synthetic HAp exhibits excellent properties, including a high ion exchange rate with metals, strong affinity for pathogenic microorganisms, and notable biocompatibility, with approximately 70%–80% of implants being made from biocompatible metals [15,16,17]. Antibiotics are a class of drugs that target the root causes of infections by either destroying bacterial cell walls or inhibiting their synthesis. Amoxicillin, a broad-spectrum, semi-synthetic beta-lactam antibiotic, is widely known for its efficacy. Incorporating amoxicillin into doped HAp not only provides antimicrobial properties without cellular toxicity [14] but also addresses the limitations of traditional antibiotic administration for bone structures, which can be affected by various factors [18].
Chromium (Cr) exists in different oxidation states, with trivalent Cr (III) and hexavalent Cr (VI) being the most common [6,7,8,19,20]. While Cr (VI) is known to be toxic and carcinogenic, studies have indicated that Cr (III) can promote biological responses and influence the crystallization behavior of HAp bioceramics [7,8,19,21]. On the other hand, Cr3+ is an important trace element found naturally in plants and animals, playing a fundamental role in sugar and fat metabolism [19]. It enhances insulin function and provides stability to collagen [7,8,19,22]. Furthermore, research shows that Cr (III) dopants can improve photocatalytic antibacterial activity under visible light [23]. Previous in vitro studies have demonstrated that Cr (VI) does not adversely affect red blood cells at concentrations up to 1 g/L [24]. Its relatively low toxicity stems from the poor solubility of Cr (III) complexes at physiological pH and their limited ability to penetrate cell membranes, which prevents them from causing toxic effects in cells [7,8,19,22,25,26].
In the previous study reported by [27], it was shown that magnesium-doped hydroxyapatite (MgHAp) and its amoxicillin-enriched variant (MgHApOx) were successfully synthesized for the first time using an adapted co-precipitation method, with confirmed incorporation of both Mg2+ ions and amoxicillin into the HAp lattice. Furthermore, both materials demonstrated excellent biocompatibility (>95% cell viability for MgHAp and >88% for MgHApOx) and effective antimicrobial properties against S. aureus, E. coli, and C. albicans, making them promising candidates for biomedical applications [27]. In addition, Predoi, D., and coworkers [28] recently reported that chromium-doped hydroxyapatite (xCr = 0.2) nanocomposite coatings possess strong antifungal properties, making them promising candidates for developing antifungal medical devices and implants [28].
This study presents for the first time the physicochemical and biological properties of coatings made by the dip coating method starting from CrHAp and CrHApAx suspensions. The suspensions used for the film formation were obtained using an adapted sol-gel method. In addition, the stability of the suspensions was analyzed using ultrasound measurements. XPS analysis revealed the presence of the constituent elements of Cr-doped hydroxyapatite. Furthermore, the presence of amoxicillin in the chromium-doped and amoxicillin-enriched hydroxyapatite sample was highlighted. Data regarding the layers’ surface morphology were collected by SEM and AFM. Furthermore, the vibrational properties of the CrHAp and CrhapAx layers were studied with the aid of FTIR measurements. Information about the biocompatibility of CrHAp and CrHApAx coatings was obtained with the aid of the MG63 cell line (MTT assay). The in vitro antibacterial activity of the coatings was also evaluated against Pseudomonas aeruginosa 27,853 ATCC (P. aeruginosa) bacterial cells.

2. Materials and Methods

2.1. Materials

Chrome-doped hydroxyapatite (CrHAp, xCr = 0.05; [Ca + Cr]/P = 1.67) and chrome-doped hydroxyapatite enriched with amoxicillin (CrHApAx, xCr = 0.05; [Ca + Cr]/P = 1.67; Cr/(Ca + Cr) = 0.0526; Ca/P = 1.58) were synthesized using an adapted sol-gel method. The following reagents were used: chrome nitrate (Cr3+, Cr(NO3)3·9H2O, Alfa Aesar, Karlsruhe, Germany; 99.99% purity), calcium nitrate (Ca(NO3)2∙4H2O, Sigma-Aldrich, St. Louis, MA, USA), ammonium hydrogen phosphate ((NH4)2HPO4, Alfa Aesar, Karlsruhe, Germany; 99.99% purity), amoxicillin (C16H19N3O5S, 95.0%–102.0%, Sigma Aldrich, St. Louis, MO, USA), and ethanol. The CrHAp and CrHApAx layers were deposited onto Si substrates using the dip coating technique.

2.2. Development of Chrome-Doped Hydroxyapatite Enriched with Amoxicillin Layers

Both layers were prepared following the detailed procedure outlined in our previous work [28]. Briefly, ammonium hydrogen phosphate was mixed with ethanol and stirred for 2 h at 40 °C (in order to obtain an 0.5 mol/L solution). Separately, calcium nitrate and chromium nitrate (Cr3+) were also dissolved in ethanol and stirred under the same conditions (in order to obtain a 1.67 mol/L solution). The first solution was then gradually added to the second solution under continuous stirring. The resulting mixture was stirred for 12 h at 80 °C while maintaining a pH of 10 throughout the process. Then, the resulting mixture underwent a washing process, being rinsed five times with deionized water and ethanol. Following this, the gel was dispersed in ethanol and subjected to continuous stirring for 12 h. For the development of CrHApAx gel, the same procedure as the one described above was followed. The only change consisted in adding the amoxicillin (0.2 g, 0.01 M) to the solution that contains calcium nitrate and chromium nitrate. The final gels were used to deposit CrHAp and CrHApAx thin films onto Si substrates via the dip coating technique.
The deposition technique was previously described in detail [29]. According to the procedure, three layers of CrHAp and CrHApAx were deposited on Si substrate. The Si disks were cleaned ultrasonically, and rinsed with acetone and distilled water, before being used for the deposition of CrHAp and CrHApAx coatings. Then, the Si substrate underwent a dip coating process in the CrHAp and CrHApAx gels, respectively. This procedure was repeated three times, with each immersion lasting several minutes. Each layer was treated at 70 °C for 4 h. At the end, the CrHAp and CrHApAx layers were treated at 70 °C for 72 h.

2.3. Physicochemical Characterisation

In this study, the stability of the CrHAp and CrHApAx suspensions was estimated using non-destructive ultrasound (US) measurements. As a reference, bidistilled water was used in this study. Both the protocol and instrument used in the US measurements have been described in our previous studies [30]. In order to have a good homogeneity, before starting the US measurements, the suspensions of CrHAp and CrHApAx were stirred continuously for 15 min at 800 rpm. The stirring of the 100 mL of suspension of CrHAp and CrHApAx was performed at room temperature. Next, for the US measurements, the suspension was poured into a transparent cubic container. The transparent cubic container was specially equipped with two coaxial ultrasonic transducers. The two coaxial ultrasonic transducers were spaced 16 mm apart. The axis of the transducers was at mid-height of the container box. After stirring the suspensions at room temperature for 15 min, the acquisition of the 1000 ultrasonic signals began. The signals were recorded every 5 s on the digital oscilloscope. Each recorded signal is an average of 32 signals on the oscilloscope, reducing the experimental noise.
Information about the structure of the CrHAp and CrHApAx samples was obtained using X-ray diffraction (XRD) studies. A Bruker D8 Advance diffractometer (Bruker, Karlsruhe, Germany) with CuKα (λ = 1.5418 Å) radiation was used to study the samples. The XRD diffractograms were collected in the 2θ range 10–60°, using a step size of 0.02. In this study, the Joint Committee on Powder Diffraction Standards (JCPDS) file for pure hexagonal hydroxyapatite (PDF No. 09-0432) was used as a reference. The diffraction peaks corresponding to planes (002) of CrHAp and CrHApAx samples were used in order to calculate the average crystallite size and d-spacing of the samples. The average crystallite size was calculated from the broadening in the XRD pattern using the Scherrer formula [31,32,33,34]:
Dhkl = (Kλ)/(βcosθ)
where K is the Scherrer constant, λ is the wavelength of the monochromatic X-ray beam (1.54 A), β is the full width at half maximum (FWHM), and θ is the diffraction angle of (002).
To calculate the d-spacing of the samples, the Bragg equation [35] was used:
d= λ/2sinθ
X-ray photoelectron spectroscopy (XPS) studies were performed using a SPECS spectrometer with a PHOIBOS 150 analyzer. A Specs XR-50M RX source operated on a non-monochromatic Mg anode (Ex = 1253.6 eV) at 300 W was used for these measurements. Charge compensation was performed with a Specs FG15/40 flood gun. Acquisition was performed with a pass energy of 20 eV for the individual spectrum and 50 eV for the extended spectrum. CasaXPS 2.3.14 software (using Shirley background type) was used for data analysis [36]. XPS tables were also mentioned [37,38]. All binding energy (BE) values presented in this research were corrected for the charge at C1s at 284.8 eV.
The surface topography of the CrHAp and CrHApAx layers was analyzed using atomic force microscopy (AFM). For this purpose, an NT-MDT NTEGRA Probe NanoLaboratory system (NT-MDT, Moscow, Russia) was used. The AFM measurements were conducted in non-contact mode. For this study, the AFM was equipped with a silicon NT-MDT NSG01 cantilever (35 nm gold-coated tetrahedral tip). The 2D AFM micrographs were recorded on a surface area of 10 × 10 μm2. The AFM images and their 3D representations were evaluated using Gwyddion 2.55 software [39]. More than that, information about the surface roughness was obtained by determining the root mean square roughness (RRMS).
Information about the surface morphology of the CrHAp and CrHApAx coatings deposited on Si substrate were obtained by performing scanning electron microscopy (SEM) studies with the aid of HITACHI S4500 equipment. Data about the chemical composition of CrHAp and CrHApAx coatings were also assessed from the energy dispersive X-ray spectroscopy (EDS) studies.
Information about the adhesion of CrHAp and CrHApAx coatings was obtained by performing a tape-pull test. For this purpose, a 3M Performance Flatback Tape 2525 was used. The peel adhesion was 7.5 N/cm.
Fourier-transform infrared (FTIR) spectroscopy was used to examine the structural bonding vibrations of functional groups in CrHAp and CrHApAx. The analysis was performed with a Perkin Elmer spectrometer equipped with a Universal Diamond/KRS-5 accessory (Waltham, MA, USA). FTIR spectra were collected between 450 and 4000 cm−1 with a resolution of 4 cm−1. The second derivative (450–700 cm−1 and 800–1200 cm−1) and deconvoluted spectra (800–1200 cm−1) of CrHAp and CrHApAx were also obtained following the procedure previously described [40].

2.4. In Vitro Biological Evaluation

Colorimetric test assay 3-(4,5-dimethylthiazol-2-yl)-2,5-diphenyltetrazolium bromide (MTT) assay
The cytotoxicity of the CrHAp and CrHApAx coatings was evaluated using osteosarcoma MG63 (ATCC CRL-1427) cells, following the methodology described in detail by Iconaru et al. [41]. For this purpose, the cells were cultured in DMEM supplemented with fetal bovine serum at 37 °C in a 5% CO2 atmosphere. The MG63 cells were seeded at a density of 1 × 105 cells/well and incubated with the coatings for 24, 48, and 72 h. The cell viability was assessed using the MTT reduction assay, by measuring the absorbance at 595 nm. The cell viability was calculated relative to a control set at 100%. After incubation, the coatings were rinsed with sterile saline, fixed with cold methanol, and prepared for visualization. The MG63 cells were observed using a 10× objective on an inverted trinocular metallographic microscope, model OX.2153-PLM (Euromex, Arnhem, Netherlands). ImageJ software (Image J 1.51j8) was used for images analysis [42].
In vitro antimicrobial assay
The antibacterial properties of CrHAp and CrHApAx coatings were evaluated against the Pseudomonas aeruginosa 27853 ATCC strain using in vitro assays following the protocol in [43]. The coatings were incubated with bacterial suspensions (5 × 106 CFU/mL) at 37 °C for 24, 48, and 72 h. The bacterial survival was quantified for each interval, and the CFU/mL values were graphically represented as log CFU/mL over time. A free bacterial suspension was used as a positive control (C+). The experiments were performed in triplicate, and the results expressed as mean ± SD. Furthermore, atomic force microscopy (AFM) was used for the qualitative analysis of bacterial adherence and proliferation on CrHAp and CrHApAx surfaces. After incubation, the coatings were washed with sterile saline, fixed with cold methanol, and prepared for visualization.
Statistical analysis
The data from the biological assays were represented graphically as mean ± SD, and the statistical analysis was performed using Microsoft Excel. The data were analyzed using ordinary one-way ANOVA, and the significance level was set at p < 0.05.

3. Results

In this study, we report for the first time the physicochemical and biological properties of CrHAp and CrHApAx coatings obtained by dip coating method starting from dense aqueous suspensions of CrHAp and CrHApAx. The study of the stability of these dense aqueous suspensions is very important. The stability of concentrated suspensions plays a major role in obtaining coatings that could be successfully used in different bone implants. Thus, in this research, the stability of dense aqueous suspensions of CrHap and CrHApAx was studied by ultrasound measurements.
Figure 1 shows the superposition of the 1000 signals that were recorded for the two analyzed samples of CrHAp and CrHApAx. All these signals, covering 5000 s of process evolution, are represented as water flow from right to left. Figure 1a shows that in the case of the CrHAp sample, the sedimentation process is uniform. The small variations in the total amplitude of the signal each last a few tens of seconds. In the case of the CrHApAx sample, it is observed that the sedimentation process is irregular. Large variations in the amplitude of the signals, which last minutes, are observed (Figure 1b).
In Figure 2a, a slow and continuous increase of the signal amplitude is observed for the CrHAp sample. A small amplitude decrease recorded at t = 1300 s was attributed to the formation of a particle cluster. In the case of the CrHApAx sample, a rapid variation during 1000 s is observed, followed by a period of slower but ample variation of amplitude with a general decreasing trend (Figure 2b). This evolution of the CrHApAx suspension is associated with the formation of nanoparticle clusters, followed by a rapid temporal variation of the suspension properties. After 2500 s, the evolution is a continuous progressive reduction in amplitude.
The evolution of the frequency spectra for each of the 1000 signals for the two analyzed samples (CrHAp and CrHApAx) is presented in Figure 3. For comparison, the spectrum of the reference liquid (double-distilled water, in dotted blue line) is also represented in Figure 3. It can be noted that in the case of the CrHAp sample, the spectra are very closely packed, indicating a constant composition of the suspension (Figure 3a). The peaks are located at 25.5 MHz. This value is slightly below the 26.2 MHz peak corresponding to the reference liquid. The lack of overlap is due to the attenuation of the ultrasonic signal. In the case of the CrHApAx sample (Figure 3b), it can be noted that the spectra are relatively evenly spread during the monitoring process. The amplitudes are considerably lower than in the reference liquid, indicating a stronger attenuation of the ultrasonic signals.
The temporal evolution of signals’ frequency spectra, which is related to the properties of the CrHAp and CrHApAx suspension in front of the transducers, bring more insight to the attenuation process. The time-averaged attenuation plot for both samples is shown in Figure 4. Compared against the standard attenuation in the reference liquid (red dotted line) the attenuation is larger for the CrHAp sample in the higher frequency ranges, reaching 74 nepper/m at 35 MHz (Figure 4a). Moreover, Figure 4a revealed that in the frequency range 15–25.5 MHz, the attenuation is lower than the attenuation in the reference liquid and is even negative for frequencies below 22.5 MHz. The attenuation is obtained by signal comparison with that of the reference liquid. Since the signal propagates with higher amplitude between the transducers compared to the signal in the reference liquid in the same experimental conditions, the determined attenuation is negative. This result indicates the presence of nanoparticles with higher elastic compressibility factor, like in metals for example. The time-averaged attenuation plot for the CrHApAx sample is shown on Figure 4b. Compared against the standard attenuation in the reference liquid (red dotted line), the attenuation is larger for the CrHApAx sample, and this is verified for all analyzed frequencies. There is a specific peak attenuation at 32 MHz, indicating a resonance of the nanoparticles in suspension.
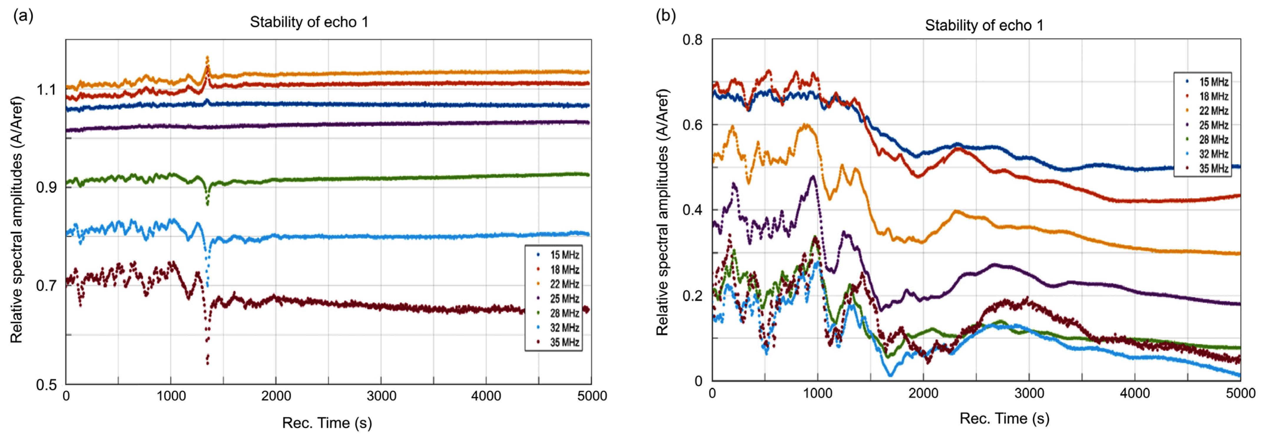
Another characteristic of the CrHAp and CrHApAx suspensions is their spectral stability, which represents the amplitude of the frequency component of each spectrum as a function of time (Figure 5). In the case of the CrHApAx sample (Figure 5b), it can be observed that during 1500 s, the irregular sedimentation produces a series of ripples for each selected frequency. A slower evolution is recorded up to t = 3500 s, being almost monotonic for lower frequencies (15–18 MHz), but with marked peaks for higher frequencies. The higher the frequency, the later the peak appears in the spectrum, indicating a progressive change in the suspension concentration. After 3500 s, the suspension exhibits a monotonic slowly decreasing amplitude, attributed to the higher attenuation of the smallest nanoparticles remaining in the suspension (Figure 5b).
The CrHAp sample is very stable, proved by the stability parameter: S = d A ¯ A d t = 6.86·10−6 s−1, in which A is the signal amplitude, with a bar above indicating time averaging. The CrHApAx sample becomes relatively stable after 3500 s, and its stability parameter is: S = d A ¯ A d t = 0.00025 s−1, in which A is the signal amplitude, with a bar above indicating time averaging.
The XRD analysis was used in order to calculate the average crystallite size of CrHAp and CrHApAx samples. The diffraction patterns of CrHAp and CrHApAx with xCr = 0.05 samples are presented in Figure 6. The diffraction pattern of CrHAp was similar to the reference hexagonal pattern (JCPDS 09-0432). In the CrHAp synthesized sample, the formation of a single HAp phase was observed. The absence of secondary phases may be due to the fact that the solubility limit of chromium in HAp has not yet been reached.
On the other hand, in accordance with Bragg’s law [44], the observed peaks were slightly shifted to smaller angles for the CrHAp sample. Furthermore, with amoxicillin-doped CrHAp, a slight broadening of the peaks and a decrease in their intensity was observed. The presence of the peak at 2θ = 19.589 specific to amoxicillin was observed in the CrHApAx sample. This broadening of the peaks observed in the CrHApAx sample could be caused by both crystallization imperfections and the incorporation of amoxicillin during the synthesis process.
The hydroxyapatite phase as the principal crystalline phase was also identified in the CrHApAx sample. The peaks corresponding to the crystal planes designated by the Miller indices (002), (211), (112), (300), (310), (222), (213), and (004), associated with hexagonal hydroxyapatite (space group of P 63/m), were identified in both samples. The calculated average crystallite size was 13.72 nm for the CrHAp sample and 12.66 nm for the CrHApAx sample. Since the average crystallite size values are <40 nm for both samples, we can speak of the formation of nanoparticles. The calculated d-spacing value was 3.4419 nm for the CrHAp sample and 3.4406 for the CrHApAx sample. These values are consistent with the d-spacing of 0.3441 nm, which corresponds to the reflection of the (002) crystal planes in the hexagonal HAp model [45]. The behavior revealed in the XRD study is in accordance with A. Person et al. [46].
The elemental composition and chemical modifications of chromium-doped and amoxicillin-enriched hydroxyapatite were determined using XPS analysis. As can be seen in Figure 7a,b, peaks associated with carbon (C), oxygen (O), calcium (Ca), phosphorus (P), and chromium (Cr) were observed in the two analyzed samples (CrHAp and CrHApAx). The presence of nitrogen (N) and sulfur (S) was identified only in the CrHApAx sample (Figure 7b), which certifies the presence of amoxicillin. Carbon accidental contamination was used as a charge reference for the XPS spectra. Consequently, the C-C component observed at a binding energy of 284.8 eV was utilized in this study to align the core-level binding energies (EBs).
The surface atomic composition of the studied thin films is shown in Table 1.
The high-resolution XPS spectra of C 1s, O 1s, Ca 2p, P 2p, Cr 2p, N 1s, and S 2p for the two analyzed samples (CrHAp and CrHApAx) are presented in Figure 7c–j. The high-resolution XPS spectra of C for the CrHAp and CrHApAx samples are shown in Figure 7 c–d. Binding energy (BE) was calibrated with C–C peaks at 284.8 eV. The high-resolution XPS spectra of C1s for CrHAp (Figure 7c) and CrHApAx (Figure 7d) samples were deconvoluted into four components. The component at BE of 284.80 eV was assigned to C-C single bonds associated with contaminating C. The second component observed at BE of 286.13 eV (CrHAp) and 286.13 eV (CrHApAx) represents C-O single bonds. The third component at BE of 287.28 eV (CrHAp) and 287.08 eV (CrHApAx) comprises C=O and O-C-O double bonds. The fourth component identified at BE of 288.59 eV (CrHAp) 288.73 eV (CrHApAx) is assigned to –COOR contaminants.
The high-resolution XPS spectra of O1s for CrHAp and CrHApAx samples are shown in Figure 7e,f. The high-resolution spectrum of O 1s for the CrHAp sample shows three components (Figure 7e), while the high-resolution spectrum of O 1s for the CrHApAx sample shows four components (Figure 7f). The peak observed at BE of 531.69 eV (CrHAp) and 531.66 eV (CrHApAx) indicates the presence of oxygen in hydroxyapatite but also includes oxygen in double bonds C=O. The second component observed at BE of 532.83 eV (CrHAp) and 532.55 eV (CrHApAx) could be attributed to the O–H bonds. The third component identified at 534.02 eV (CrHAp) and 533.84 eV (CrHApAx) indicates traces of water. The fourth component observed in the high-resolution XPS spectrum of O 1s for the CrHApAx sample identified at BE of 530.00 eV most likely indicates a metal oxide.
The high-resolution XPS spectra of Ca 2p for CrHAp and CrHApAx samples after deconvolution presented the specific doublet 2p3/2 and 2p1/2 spaced at approximately 3.5–3.6 eV and with an area ratio close to 2:1. The binding energy of the doublet observed at 347.51 eV and 351.07 for the CrHAp sample can be rigorously assigned to HAp (Figure 7g). In addition, the binding energy of the doublet observed at 347.53 eV and 351.10 eV for the CrHApAx sample can be rigorously assigned to HAp (Figure 7h). The two maxima observed at BE 348.6 eV (Ca2p3/2) and 352 eV (Ca2p1/2) are spaced 3.6 eV (with an area ratio close to 2:1), which can be attributed to hydroxyapatite.
The high-resolution XPS spectra of P 2p for the CrHAp (Figure 7i) and CrHApAx (Figure 7j) samples after deconvolution showed two components. The specific 2p3/2 and 2p1/2 doublet spaced at approximately 0.85 eV and with an area ratio close to 2:1 was identified for both samples. The two components observed for the CrHAp sample (Figure 7i) were located at BE of 133.27 eV (P2p3/2) and 134.12 eV (P2p1/2). For the CrHApAx sample (Figure 7j), the two components of the high-resolution XPS spectrum of P 2p were observed at BE of 132.78 (P2p3/2) and 133.63 eV (P2p1/2). The binding energy of the two components associated with the P2p peak of the two samples can be assigned to hydroxyapatite.
The high-resolution XPS spectrum of Cr2p for the CrHAp and CrHApAx samples was fitted with the specific doublet 2p3/2 and 2p1/2 spaced at approximately 9.6 eV and with an area ratio close to 2:1 (Figure 8).
The high-resolution spectra of N1s and S 2p for the CrHApAx sample are shown in Figure 9. As can be seen in Figure 9a, nitrogen is very weak. On the other hand, the high-resolution XPS spectrum of S 2p after deconvolution showed two components located at BE of 168.79 and 169.99 eV. S2p overlaps a loss of P2p. Its binding energy is specific to sulfates.
In Figure 10a,c, the SEM micrographs that were obtained for the CrHAp and CrHApAx samples are presented.
Both SEM micrographs reveal that the coating surfaces (CrHAp and CrHApAx) form a uniform and continuous layer, with no visible cracks or fissures. Furthermore, in the case of CrHAp coatings, it could be noticed that the surface is smoother compared with that of CrHApAx coatings. On the other hand, the SEM images obtained for the CrHApAx coatings underline the presence of a more uneven surface. These results are in agreement with the stability results obtained through ultrasound measurements. It can be seen that from very stable samples (CrHAp), a smooth surface is obtained. In the case of samples with relative stability, it is observed that more uneven layers are obtained. The unevenness of the layer may be due to agglomerations of particles (CrHApAx).
Figure 10b,d reveals the EDS spectra that belongs to the CrHAp and CrHApAx samples. The EDS spectra provide information about the coating’s chemical composition and purity. Thus, in the EDS spectra of CrHAp coatings, only the presence of the line of the main chemical elements that are found in their chemical composition is highlighted (Ca, O, P, and Cr).
The presence of the N and S in the EDS spectra characteristic for the CrHApAx underlines the presence of the Ax in the layer. In addition, in Figure 10d, the line that belongs to Ca, P, Cr, and O from the CrHAp composition can be seen. The Si line appears due to the substrate on which the layers are deposited. The purity of the CrHAp and CrHApAx layers is proven by the absence of the additional lines in both EDS spectra.
Based on the results of the EDS semiquantitative analysis, the value of (Ca + Cr)/P for the CrHAp sample was equal with 1.664. The value of (Ca + Cr)/P determined for the CrHApAx was 1.657.
The difference observed in the chemical composition determined by XPS and EDS is due to the different methods of analysis of the two techniques. EDS is an analytical technique used for elemental analysis or chemical characterization of a sample. EDS effectively provides the “bulk” concentration of the elements present in a sample. On the other hand, XPS provides the chemical composition of the near-surface area of the sample, i.e., the elements present in the first few nm (approximately 10 nm) of the sample surface. By comparison, EDS provides information for a depth of a few µm. In the case of EDS, we can talk about the analysis of the surface and a volume below this surface. On the other hand, there is a high probability that the difference between the analyzed areas will be different for the two techniques. Another element that could contribute to these differences is the perfect calibration of the measuring instruments, which leads to different sensitivities to the same elements. The results obtained by the two techniques provide information showing the uniform distribution of chromium ions in the hydroxyapatite structure.
The results of the adherence test conducted on CrHAp and CrHApAx coatings reveal their good adherence on the Si substrate, if we take into consideration the fact that the scotch tape peeled off nearly clean, with only a negligible amount of material remaining on it. Furthermore, the results of this study showed that the best adhesion to the Si substrate was obtained for CrHAp coating (these coatings were obtained from the stable solutions).
It is well known that hydroxyapatite is composed mainly of phosphate and hydroxyl groups that are IR active and can be observed in the HAp infrared spectrum. Thus, the FTIR general spectra obtained for CrHAp and CrHApAx are revealed in Figure 11. In the inset of Figure 11b, the FTIR general spectra obtained for Ax are presented. Thus, in the inset, the peaks that are characteristic for amoxicillin (Ax) structure can be observed [27]. The peak observed around 476 cm−1 is attributed to ν2 vibration of phosphate groups. Meanwhile, the doublet observed around 565 and 602 cm−1 is attributed to the ν4 bending mode of the phosphate group [40,47,48]. A weak band around 964 cm−1, corresponding to the ν1 symmetric stretching of PO43−, is observed in the FTIR general spectra of CrHAp, confirming the presence of the hydroxyapatite in the analyzed sample. The intense band centered at 1032 cm−1 together with the broad band observed at around 1105 cm−1 are associated with ν3 vibrations of the phosphate group in HAp [40,47,48]. Additionally, the shoulder observed at around 850 cm−1 may result from the carbonate group (ν2 vibrations) present in the CrHAp [40,47,48]. Usually, the broad band that appears between 3200 and 3600 cm−1 belongs to the hydroxyl groups vibration [40,47,48]. More than that, in the CrHApAx spectra, it could be observed that the presence of the Ax in the samples induces a slight shift of the vibrational band’s positions. Another effect of the addition of the Ax is represented by the broadening of the specific FTIR maxima accompanied by a slight decrease in the intensity of the CrHApAx maxima compared to the CrHAp maxima. Among the peaks associated with the phosphate and hydroxyl groups, the presence of the peaks characteristic of the vibration of Ax could be noticed (see the inset in Figure 11b), a fact that indicates the interaction of Ax with CrHAp (Figure 11a). Furthermore, the interaction between CrHAp and Ax is also proven by the peak shift, the appearance of the new peaks, and the peak broadening observed in the case of CrHApAx (Figure 11a) compared with CrHAp (Figure 11a) and Ax (inset Figure 11b) samples [27]. In the FTIR spectra of CrHApAx, the peaks that appears around 1772 cm−1 correspond to the νC=O (β-lactamic ring) from amoxicillin (Ax) structure [27]. According to our previous study, the presence of the Ax in the CrHApAx sample is also underlined by the presence of the weak maxima in the 1650–1800 cm−1 spectral domain. These maxima arise due to the vibration of carbonyl (-C=O) functional groups from Ax [27].
Valuable data regarding the subtle spectral changes resulting from the addition of Ax to the CrHAp were assessed by performing second derivative analysis of the FTIR spectra in the regions of 450–700 cm−1 (where the vibration specific to ν2 and ν4 of the phosphate groups appears) and 900–1200 cm−1 (this region is characteristic to ν1 and ν3 vibration of the phosphate groups). The results of second derivative analysis are presented in Figure 12a,b (for the CrHAp) and in Figure 12c,d (for the CrHApAx).
Firstly, both second derivative spectra underline the presence of the ν1 vibration of the phosphate groups at around 964 cm−1 [40,47,48]. The presence of this maxima indicates the presence in both analyzed samples. On the other hand, the peaks that appear between 460 cm−1 and 485 cm−1 are characteristic of the ν2 bending mode of the phosphate groups [40,47,48]. Between 500 cm−1 and 610 cm−1 are observed the maxima that are specific to the ν4 bending mode of the phosphate groups [47,48]. The intense bands observed in both second derivative spectra between 1000 and 1200 cm−1 could be atributed to the ν3 asymmetric stretching vibration of phosphate groups from HAp [48]. Moreover, in Figure 12, no additional vibrational bands are observed that would suggest the presence of impurities in the analyzed samples.
In order to better highlight the presence of vibration bands that are overlapped in the general FTIR spectra of the two samples, the spectra were deconvoluted and analyzed in a spectral domain in which both maxima associated with carbonate and phosphate groups are found. Thus, in Figure 13, the deconvoluted FTIR spectra obtained in the 800–1200 cm−1 spectral region are revealed, which are characteristic of the ν1 and ν3 vibration of the phosphate functional groups from the HAp structure and of the ν2 vibration of carbonate groups. Thus, to achieve a satisfactory fit for the CrHAp sample, ten components were used. Moreover, nine components were used to obtain a good fit for the CrHApAx sample. In the case of the CrHApAx, the deconvoluted FTIR spectra also underlined the decrease in the intensity of the band centred at 1032 cm−13 vibration of the phosphate) together with the presence of a weak band at 964 cm−1 that could be attributed to the ν1 vibration of the phosphate from HAp.
Therefore, FTIR studies highlight a synergy between Cr doping and antibiotic enrichment of HAp, also confirming the presence of HAp and antibiotic in the analyzed samples. Our results are in agreement with the studies previously reported by Manoj, M. et al. [47], Antonakos, A., et al. [48], and Cimpeanu C., et al. [27].
Atomic force microscopy (AFM) was used to obtain information about the surface topography of the CrHAp and CrHApAx coatings. The AFM findings, including both 2D and 3D representations, are depicted in Figure 14a–d.
The 2D AFM micrographs of CrHAp coatings illustrated in Figure 14a reveal the presence of a uniform and continuous deposited coating characterized by well-distributed nanoaggregates across the surface. The 2D surface topography, as well as its 3D representation (Figure 14a,b), also indicated the absence of significant cracks or fissures on the surface of the CrHAp coatings. Furthermore, the roughness parameter (RRMS) determined from the AFM micrographs for the CrHAp coatings was measured to be 33.98 nm. The 2D AFM micrograph of CrHApAx and its 3D representation are depicted in Figure 14c,d. The AFM analysis confirms that the coating exhibits a uniform and continuous surface morphology and highlights that there is no evidence of significant cracks or fissures on the surface of the CrHApAx coating. The results of the AFM analysis also suggested that the coating exhibits a homogeneous distribution of nanoaggregates across its surface. The roughness parameter (RRMS) for the CrHApAx surface was also determined from the AFM analysis. The value obtained for the roughness parameter RRMS was found to be 41.82 nm.
The cytotoxicity of CrHAp and CrHApAx coatings was evaluated using the MTT colorimetric assay and MG63 cell line. The osteosarcoma MG63 cells are widely chosen in studies regarding a material’s biocompatibility due to their close resemblance to human osteoblasts. Osteoblasts are the cells responsible for bone-forming and are also involved in the synthesis of bone matrix and mineralization regulating. Because they are derived from human osteosarcoma, MG63 cells retain the characteristic osteoblastic properties, such as collagen type I production, alkaline phosphatase (ALP), and osteocalcin, which are known to be important markers for bone formation. These properties make MG63 cells highly relevant in evaluating how biomaterials interact with bone tissue. Furthermore, the MG63 cells exhibit organized behavior and also predictable responses to external stimuli, which allows researchers to accurately evaluate cell adhesion, proliferation, and differentiation on biomaterial surfaces. Their high sensitivity to even slight surface modifications, chemical composition, and mechanical properties helps gather important information regarding cytotoxicity and biocompatibility, which is crucial for evaluating new biomaterials. Moreover, compared to primary osteoblasts, which have often proven difficult to isolate and maintain in vitro, the MG63 cells are easier to cultivate and can also proliferate rapidly, thus making them a cost-effective and efficient option for long-term studies. Additionally, because they are a human-derived cell line, MG63 cells provide results that are more relevant to human biology than animal models, improving the translational potential of in vitro findings for clinical applications. Their extensive use in biocompatibility research has contributed greatly to facilitating comparisons and validation of new biomaterials. These combined advantages make MG63 cells indispensable for developing innovative materials aimed at promoting bone regeneration and integration.
The cell viability of MG63 cells incubated with CrHAp and CrHApAx coatings was measured after 24, 48, and 72 h and expressed as mean ± standard deviation (SD) relative to a control (100% viability). The results are presented in Figure 15. The results of the MTT assay revealed that both CrHAp and CrHApAx coatings demonstrated good biocompatibility towards MG63 cells. The cell viability determined for CrHAp coatings exceeded 90% for all tested intervals. The results showed a notable increase in cell viability to 92% and 96% after 48 and 72 h, respectively, indicating that they could be considered a good surface for the proliferation of MG63 cells. The results of the MTT studies for the CrHApAx coatings also showed good biocompatibility, having a cell viability above 88% across all the tested intervals, meeting ISO 10993–1:2018 standards. As defined by the ISO 10993–1: 2018 standard [49,50,51], the biocompatibility of a material refers to its ability to have an appropriate host response for a specific application. A cell viability rate above 88% is regarded as biocompatible, indicating a strong compatibility with living cells, tissues, or organisms. In this context, the cell viability represents the percentage of cells that remain alive and functional after exposure to the tested material. A value above 88% suggests the material does not exhibit significant cytotoxic effects, such as damaging cells or inducing apoptosis. High viability rates above 88% also imply that the material does not provoke adverse biological responses, including inflammation, toxicity, or immune rejection. These factors are critical in determining whether a material can be safely integrated and perform effectively within a biological system. More than that, a slight increase in cell viability was observed over time, reaching 93% after 72 h of incubation, which indicates a sustained compatibility with MG63 cells. The results of the MTT assays highlighted that the presence of Ax (amoxicillin) in CrHAp did not significantly impact cell viability, suggesting its potential for combining antibacterial and osteo-regenerative properties in biomedical applications.
Additional information about the biological properties of CrHAp and CrHApAx coatings was obtained with the aid of metallographic microscopy. Metallographic microscopy (MM) was used to evaluate the MG63 cells’ adherence and development on the surface of CrHAp and CrHApAx coatings. The results of the metallographic microscopy observation are depicted in Figure 16. The MM images indicated that the surfaces of both CrHAp and CrHApAx coatings facilitated the MG63 cell adhesion and development. Moreover, no morphological abnormalities were observed in the MG63 cells that adhered to the coating surfaces. These results are in good agreement with reported literature data [6,28,52,53,54,55,56] and demonstrate that the viability of MG63 cells increases with the increase of incubation time (from 24 h to 72 h) on the CrHAp and CrHApAx coatings. This enhancement in cell viability over time highlights the biocompatibility and bioactivity of the coatings, along with their capacity to support cell adhesion, proliferation, and differentiation. These findings align with existing research on hydroxyapatite-based materials, which are known for their bioactive properties and compatibility with bone tissue [57,58,59]. The results also emphasize the potential of these coatings for use in bone regeneration and repair applications, as its non-toxic nature and ability to sustain high cell viability make it a suitable candidate for integration into biomedical devices or implants. Furthermore, the consistent biocompatibility of CrHAp across all tested intervals reinforces its role as a material that interacts positively with living cells, without inducing cytotoxic effects or inflammatory responses. This makes CrHAp a promising material for applications requiring long-term compatibility with biological systems, particularly in the field of osteo-regenerative medicine. Chromium-substituted hydroxyapatite (CrHAp) has garnered interest in the field of biomaterials due to its potential applications in bone tissue engineering and regenerative medicine. However, the biocompatibility and cytotoxicity of CrHAp, particularly on human osteosarcoma cell lines like MG63 cells, remain critical concerns that must be thoroughly evaluated. While information about the specific mechanisms influencing cell adhesion and proliferation is still scarce in the literature, the results of our study reflect an overall positive interaction between the cells and CrHAp and CrHApAx coatings. The toxicity of CrHAp on MG63 cells is a significant concern for its use in biomedical applications. While low concentrations of Cr3+ may have beneficial effects, high levels of chromium, especially in the hexavalent state, pose substantial risks. Further studies are needed to fine-tune the composition of CrHAp and develop strategies to mitigate its cytotoxicity while leveraging its potential benefits for bone tissue engineering [56,60].
To obtain a more comprehensive understanding of the biological properties of CrHAp and CrHApAx coatings, their antibacterial activity was studied against Pseudomonas aeruginosa, a gram-negative bacterial strain that is commonly associated with infections in the blood, lungs, and other body parts that are difficult to treat. The antibacterial activity of CrHAp, CrHApAx, and Ax coatings against Pseudomonas aeruginosa was evaluated in vitro at three different time intervals. The results of the antibacterial assay are presented graphically as mean ± SD in Figure 17.
The results revealed a significant decrease in colony-forming units (CFUs) of P. aeruginosa after 24, 48, and 72 h of exposure to the CrHAp and CrHApAx coatings. The quantitative data demonstrated that CrHApAx coatings were particularly effective, showing a more significant decrease in CFUs compared to both the control and CrHAp and Ax coatings alone. Recently, Pseudomonas aeruginosa has been extensively studied, as this opportunistic pathogen is a leading cause of healthcare-associated infections and exhibits remarkable resistance to antibiotics. The results of the quantitative antibacterial assays demonstrate that the enhanced antibacterial effects of CrHApAx are attributed to the presence of both chromium ions and amoxicillin. This could be attributed to the fact that the CrHApAx coatings exhibited the best inhibitory effects against P. aeruginosa compared to both CrHAp and Ax coatings. Amoxicillin is well known as a broad-spectrum β-lactam antibiotic that has the ability to target the synthesis of the bacterial cell wall, which is an important process for bacterial growth and survival. This way, it helps inhibit the formation of a stable cell wall structure, compromising its integrity and leading to cell lysis by creating an osmotic imbalance. While amoxicillin is highly effective against numerous gram-positive bacteria, its activity against Pseudomonas aeruginosa is limited due to the fact that this bacterium has a unique outer membrane structure, which has the ability to reduce antibiotic penetration. Moreover, P. aeruginosa produces efflux pumps and possesses an intrinsic resistance mechanism that further hinder the antibiotic’s access to its target sites [61,62,63]. One of the most significant challenges in using amoxicillin against P. aeruginosa is considered to be the production of β-lactamases enzymes that have the role of hydrolyzing the β-lactam ring of amoxicillin and rendering it inactive. These enzymes are abundant in P. aeruginosa, making this bacterium highly resistant to conventional antibiotics. However, when delivered through surface coatings or in combination with other β-lactamase inhibitors, its efficacy could be improved. The disruption of bacterial growth in such cases highlights the potential of amoxicillin in specialized applications against P. aeruginosa, despite the bacterium’s formidable defense mechanisms [61,62,63].
The results of the in vitro antibacterial activity revealed the ability of CrHAp, Ax, and CrHApAx coatings to reduce P. aeruginosa CFU counts, highlighting their significant potential as antibacterial agents for infection control in healthcare. In addition, CrHAp provide an intrinsic antibacterial activity attributed to the presence of chromium ions, while Ax exhibits direct antibacterial effects due to the antibiotic’s ability to interfere with the bacterial cell wall synthesis. The comparative antibacterial studies showed that CrHApAx coatings demonstrate the greatest CFU reduction, followed by Ax and CrHAp individually.
Therefore, the enhanced antibacterial effects of CrHApAx coatings resulted from a synergistic effect of both CrHAp and Ax, combining the sustained release of amoxicillin with the bioactive properties of CrHAp. Additionally, the results emphasized that CrHApAx can be successfully used for medical devices, implants, and hospital surfaces to inhibit bacterial colonization and biofilm formation more effectively than single-component coatings.
Furthermore, the adhesion and development of P. aeruginosa cells on the surfaces of CrHAp and CrHApAx coatings were studied using AFM. These studies aimed to highlight the role of chromium ions and amoxicillin in inhibiting the bacterial growth and adhesion of P. aeruginosa on the surfaces of CrHAp and CrHApAx coatings. The AFM topographies of the coatings were recorded after incubation with P. aeruginosa bacterial suspensions at different intervals (24, 48, and 72 h) under ambient conditions and room temperature. The 2D surface topographies were captured in non-contact mode over an area of 10 × 10 µm2. The 2D AFM topographies of the CrHAp and CrHApAx coatings, as well as 3D representations of the coatings after three different incubation periods with P. aeruginosa, are presented in Figure 18 and Figure 19.
The AFM topography data demonstrated that both CrHAp and CrHApAx coatings inhibited the adherence and growth of P. aeruginosa cells, even during the early development stages. More than that, the AFM data highlighted that the coatings prevented the formation of P. aeruginosa biofilms on their surfaces. The adhered bacterial cells retained their characteristic rod-shaped morphology, with lengths of 0.98–2.15 µm and widths of 0.55–0.72 µm. Furthermore, the 2D AFM images showed that the CrHApAx coatings exhibited enhanced antibacterial activity compared to CrHAp alone, suggesting a synergistic effect between chromium ions and amoxicillin. The AFM results emphasized that there was a significant reduction in P. aeruginosa adherence within the first 24 h of incubation, with further decrease in bacterial cell attachment over time. After 72 h, only some isolated bacterial cells were observed on the surfaces of the coatings, as emphasized by both 2D AFM micrographs and their 3D representations. These findings showed that the coatings successfully inhibited bacterial colonization and biofilm formation over extended periods. The antibacterial mechanisms of chromium ions and amoxicillin are hypothesized to involve several distinct but interconnected processes that lead to bacterial cell death [64,65,66,67,68,69,70].
One of the key mechanisms is their ability to disrupt the integrity of the bacterial cell membranes. This interference has the ability to compromise the membrane permeability, provoking an uncontrolled leakage of the vital cellular components like ions, proteins, and nucleotides. This loss weakens the cell’s structural integrity and homeostasis and leads to cell lysis. Moreover, besides targeting the bacterial membrane, both chromium ions and amoxicillin are believed to be able to interfere with the fundamental cellular processes such as protein synthesis and DNA replication. By disrupting these essential processes, the agents impair the bacterium’s ability to grow and divide, effectively stopping its proliferation. Chromium ions are also reported to exhibit their antibacterial effects through the generation of reactive oxygen species (ROS). These highly reactive molecules can produce damage to the cellular components (lipids, proteins, and DNA), causing oxidative stress and compromising the bacterium’s viability. However, the exact pathways and efficacy of Cr3+ ions as antibacterial agents require further investigation to be fully understood [56,60,68,69,70,71]. Additionally, amoxicillin, which is a beta-lactam antibiotic, exhibits its antimicrobial effects by disrupting bacterial cell wall synthesis. It achieves this by binding to and inhibiting penicillin-binding proteins (PBPs), which play a crucial role in cross-linking peptidoglycan chains—an essential component of bacterial cell walls. This inhibition compromises the integrity of the cell wall, rendering bacteria vulnerable to osmotic pressure and ultimately leading to cell lysis and death. Amoxicillin is renowned for its broad-spectrum activity, being particularly effective against a range of gram-positive and certain gram-negative bacteria, which makes it a widely prescribed antibiotic for treating various bacterial infections [64,65,66,67,68,69,70]. The combined synergistic impact of membrane disruption, inhibition of critical biosynthetic processes, and oxidative damage underscores the complex nature of the antibacterial action of chromium ions and amoxicillin. Together, these mechanisms contribute to their effectiveness in combating bacterial infections. These mechanisms align with previously reported studies and provide insightful information for the development of novel antibacterial agents.
This study highlighted the importance of stability in obtaining coatings with potential uses in the medical field. In the case of stable suspensions, the particles are uniformly distributed in the liquid medium. This uniformity is essential to create a consistent and defect-free coating. On the other hand, in stable suspensions, the particles remain suspended and do not settle at the bottom, resulting in uniform layer deposition. This ensures the uniformity of the layer by a uniform deposition of the suspension. Furthermore, stable suspensions prevent the particles from agglomerating, thus avoiding defects that could occur during the coating process, which can cause defects in the coating. In addition, well-dispersed particles can form stronger bonds with the surface, which leads to a more durable coating. The ultrasonic measurements allowed us to evaluate the stability of the two concentrated suspensions. The results of the physicochemical and biological studies align with the stability of the suspensions used to obtain the coatings. SEM and AFM studies showed that the surface of the CrHAp coatings is smoother compared to the CrHApAx coatings. The more uneven surface of the CrHApAx coatings could be attributed to particle agglomerations in the suspension, leading to uneven regions during deposition. It was also observed that coatings resulting from very stable suspensions (CrHAp) have better adhesion. Moreover, the biological studies emphasized the impact of the solution stability on the obtained coatings. Thus, a better cell viability was observed in the case of the CrHAp coatings. Consequently, it can be said that by ensuring the stability of the suspension, high-quality coatings can be obtained that adhere well to the substrate and provide the desired properties.
Therefore, future research should be focused on determining the optimum ratio of chromium ions to amoxicillin to maximize the coating’s antibacterial efficacy while maintaining its stability and bioavailability. Nonetheless, the preliminary results obtained in this study emphasized that CrHApAx coatings represent a promising strategy for reducing bacterial contamination and hospital-related infections, having a great potential to improve patient outcomes in clinical practice.

4. Conclusions

The coatings obtained by dip coating technique starting from CrHAp and CrHApAx suspensions showed good stoichiometry. XPS results showed the presence of C, O, Ca, P, and Cr in both samples. In addition, in the CrHApAx sample, the presence of N and S, which are specific to amoxicillin, was shown. On the other hand, the present study demonstrated that the stability of the suspensions plays a very important role in obtaining the coatings. Hydroxyapatite phase as the main crystalline phase was identified by XRD studies in both samples. The amoxicillin-specific peak was also observed in the XRD studies of the CrHApAx sample.
The presence of the functional groups of hydroxyapatite and amoxicillin in the CrHAp and CrHApAx layers was confirmed by the results of the FTIR studies. The results of the SEM analysis revealed the influence of the gels’ stability on the layers’ surface morphology. On the other hand, it was noticed that the dip coating deposition technique allows the development of continuous layers. The results of the biological assays demonstrated that CrHAp and CrHApAx have potential as biomaterials, combining biocompatibility and antibacterial properties. The MTT assay on MG63 cells highlighted their good biocompatibility, with a high percentage of viable cells, indicating that these materials could support cell proliferation and do not exhibit cytotoxic effects towards MG63 cells. These findings attest their suitability for use in applications for bone tissue engineering and implants, where compatibility with human osteoblast-like cells is critical. Additionally, the in vitro antibacterial activity against Pseudomonas aeruginosa has been verified. The results of the in vitro antibacterial assays highlighted an excellent antibacterial activity. More than that, the results showed that the CrHApAx exhibited a higher inhibitory effect against P. aeruginosa than CrHAp. Furthermore, the AFM studies revealed the strong antibacterial activity of these materials. This activity is particularly important for preventing infections in biomedical settings, including for implantable devices and wound-healing applications. Together, these results demonstrate that CrHAp and CrHApAx are promising candidates for biomedical use, effectively combining the ability to support healthy cell growth with the ability to combat bacterial pathogens. The present study demonstrated that coatings with physicochemical properties similar to pure hydroxyapatite with high biological properties can be obtained by dip coating technique starting from stable suspensions.

Author Contributions

C.S.C.: conceptualization, methodology, software, validation, formal analysis, investigation, data curation, writing—original draft preparation, writing—review and editing, visualization. D.P.: conceptualization, software, validation, methodology, data curation, formal analysis, investigation, resources, writing—original draft preparation, writing—review and editing, visualization; supervision, project administration, funding acquisition. S.L.I.: methodology, software, validation, formal analysis, investigation, data curation, writing—original draft preparation, writing—review and editing, visualization. K.R.: validation, formal analysis, investigation, writing—original draft preparation, writing—review and editing, visualization. S.R.: validation, formal analysis, investigation, writing—original draft preparation, writing—review and editing, visualization. C.C.N.: validation, formal analysis, investigation, writing—review and editing, visualization. L.G.: validation., formal analysis, investigation, writing—review and editing, visualization. C.B.: validation, formal analysis, investigation, writing—review and editing, visualization. M.V.P.: conceptualization, software, validation, data curation, methodology, formal analysis, investigation, resources, writing—original draft preparation, writing—review and editing, visualization, supervision, project administration, funding acquisition. All authors have read and agreed to the published version of the manuscript.

Funding

This work is funded by the Core Program of the National Institute of Materials Physics, granted by the Romanian Ministry of Research, Innovation and Digitalization through the Project PC1-PN23080101.

Institutional Review Board Statement

Not applicable.

Informed Consent Statement

Not applicable.

Data Availability Statement

The original contributions presented in the study are included in the article. Further inquiries can be directed to the corresponding author/s.

Conflicts of Interest

The authors declare no conflicts of interest. The funders had no role in the design of the study; in the collection, analyses, or interpretation of data; in the writing of the manuscript; or in the decision to publish the results.

References

  1. Mohd Pu’ad, N.A.S.; Koshy, P.; Abdullah, H.; Idris, M.I.; Lee, T. Syntheses of hydroxyapatite from natural sources. Heliyon 2019, 5, e01588. [Google Scholar] [CrossRef] [PubMed]
  2. Gronwald, B.; Kozłowska, L.; Kijak, K.; Lietz-Kijak, D.; Skomro, P.; Gronwald, K.; Gronwald, H. Nanoparticles in Dentistry—Current Literature Review. Coatings 2023, 13, 102. [Google Scholar] [CrossRef]
  3. Anjaneyulu, U.; Pattanayak, D.K.; Vijayalakshmi, U. Snail Shell Derived Natural Hydroxyapatite: Effects on NIH-3T3 Cells for Orthopedic Applications. Mater. Manuf. Process. 2016, 31, 206–221. [Google Scholar] [CrossRef]
  4. Alotaibi, N.H.; Munir, M.U.; Alruwaili, N.K.; Alharbi, K.S.; Ihsan, A.; Almurshedi, A.S.; Khan, I.U.; Bukhari, S.N.; Rehman, M.; Ahmad, N. Synthesis and characterization of antibiotic–loaded biodegradable citrate functionalized mesoporous hydroxyapatite nanocarriers as an alternative treatment for bone infections. Pharmaceutics 2022, 14, 975. [Google Scholar] [CrossRef]
  5. Alhasan, H.S.; Yasin, S.A.; Alahmadi, N.; Alkhawaldeh, A.K. The Application of Hydroxyapatite NPs for Adsorption Antibiotic from Aqueous Solutions: Kinetic, Thermodynamic, and Isotherm Studies. Processes 2023, 11, 749. [Google Scholar] [CrossRef]
  6. Bandgar, S.S.; Yadav, H.M.; Shirguppikar, S.S.; Shinde, M.A.; Shejawal, R.V.; Kolekar, T.V.; Bamane, S.R. Enhanced Hemolytic Biocompatibility of Hydroxyapatite by Chromium (Cr³+) Doping in Hydroxyapatite Nanoparticles Synthesized by Solution Combustion Method. J. Korean Ceram. Soc. 2017, 54, 158–166. [Google Scholar] [CrossRef]
  7. Lima, T.A.R.M.; Brito, N.S.; Peixoto, J.A.; Valerio, M.E.G. The Incorporation of Chromium (III) into Hydroxyapatite Crystals. Mater. Lett. 2015, 140, 187–191. [Google Scholar] [CrossRef]
  8. Tautkus, S.; Ishikawa, K.; Ramanauskas, R.; Kareiva, A. Zinc and Chromium Co-Doped Calcium Hydroxyapatite: Sol-Gel Synthesis, Characterization, Behaviour in Simulated Body Fluid and Phase Transformations. J. Solid State Chem. 2020, 284, 121202. [Google Scholar] [CrossRef]
  9. Dorozhkin, S.V. A Detailed History of Calcium Orthophosphates from 1770s till 1950. Mater. Sci. Eng. C 2013, 33, 3085–3110. [Google Scholar] [CrossRef]
  10. Tanaskovic, D.; Jokic, B.; Socol, G.; Popescu, A.; Mihailescu, I.N.; Petrovic, R.; Janackovic, D. Synthesis of Functionally Graded Bioactive Glass-Apatite Multistructures on Ti Substrates by Pulsed Laser Deposition. Appl. Surf. Sci. 2007, 254, 1279–1282. [Google Scholar] [CrossRef]
  11. López, E.O.; Rossi, A.L.; Bernardo, P.L.; Freitas, R.O.; Mello, A.; Rossi, A.M. Multiscale connections between morphology and chemistry in crystalline, zinc-substituted hydroxyapatite nanofilms designed for biomedical applications. Ceram. Intern. 2019, 45, 793–804. [Google Scholar] [CrossRef]
  12. Hidalgo-Robatto, B.M.; López-Álvarez, M.; Azevedo, A.S.; Dorado, J.; Serra, J.; Azevedo, N.F.; González, P. Pulsed laser deposition of copper and zinc doped hydroxyapatite coatings for biomedical applications. Surf. Coat. Technol. 2018, 333, 168–177. [Google Scholar] [CrossRef]
  13. Gergeroglu, H.; Ebeoglugil, M.F.; Bayrak, S.; Aksu, D.; Azar, Y.T. Systematic investigation and controlled synthesis of Ag/Ti co-doped hydroxyapatite for bone tissue engineering. Mater. Today Chem. 2024, 39, 102175. [Google Scholar] [CrossRef]
  14. Uysal, I.; Yilmaz, B.; Evis, Z. Zn-doped hydroxyapatite in biomedical applications. J. Aust. Ceram. Soc. 2021, 57, 869–897. [Google Scholar] [CrossRef]
  15. Smiciklas, I.; Onjia, A.; Markovic, J.; Raicevic, S. Comparison of Hydroxyapatite Sorption Properties towards Cadmium, Lead, Zinc and Strontium Ions. Mater. Sci. Forum 2005, 494, 405–410. [Google Scholar] [CrossRef]
  16. LeGeros, R.Z. Calcium Phosphate-Based Osteoinductive Materials. Chem. Rev. 2008, 108, 4742–4753. [Google Scholar] [CrossRef]
  17. Niinomi, M.; Nakai, M.; Hieda, J. Development of New Metallic Alloys for Biomedical Applications. Acta Biomater. 2012, 8, 3888–3903. [Google Scholar] [CrossRef] [PubMed]
  18. Prasanna, A.P.S.; Venkatasubbu, G.D. Sustained Release of Amoxicillin from Hydroxyapatite Nanocomposite for Bone Infections. Prog. Biomater. 2018, 7, 289–296. [Google Scholar] [CrossRef] [PubMed]
  19. Rentsch, B.; Bernhardt, A.; Henß, A.; Ray, S.; Rentsch, C.; Schamel, M.; Gbureck, U.; Gelinsky, M.; Rammelt, S.; Lode, A. Trivalent Chromium Incorporated in a Crystalline Calcium Phosphate Matrix Accelerates Materials Degradation and Bone Formation in Vivo. Acta Biomater. 2018, 69, 332–341. [Google Scholar] [CrossRef]
  20. Collery, P.; Maymard, Y.; Theophanides, T.; Khassanova, L.; Collery, T. Metal Ions in Biology; J. John Libbey: New Barnet, UK, 2008; Volume 10, pp. 739–742. [Google Scholar]
  21. Mabilleau, G.; Filmon, R.; Petrov, P.K.; Baslé, M.F.; Sabokbar, A.; Chappard, D. Cobalt, Chromium and Nickel Affect Hydroxyapatite Crystal Growth in vitro. Acta Biomater. 2010, 6, 1555–1560. [Google Scholar] [CrossRef]
  22. de Araujo, T.S.; Macedo, Z.S.; de Oliveira, P.A.; Valerio, M.E. Production and Characterization of Pure and Cr3+-Doped Hydroxyapatite for Biomedical Applications as Fluorescent Probes. J. Mater. Sci. 2007, 42, 2236–2243. [Google Scholar] [CrossRef]
  23. Yadav, H.M.; Kolekar, T.V.; Barge, A.S.; Thorat, N.D.; Delekar, S.D.; Kim, B.M.; Kim, B.J.; Kim, J.S. Enhanced Visible Light Photocatalytic Activity of Cr3+-Doped Anatase TiO2 Nanoparticles Synthesized by Sol–Gel Method. J. Mater. Sci. Mater. Electron. 2016, 27, 526–534. [Google Scholar] [CrossRef]
  24. Devoya, J.; Gehin, A.; Muller, S.; Melczer, M.; Remy, A.; Antoine, G.; Sponne, I. Evaluation of Chromium in Red Blood Cells as an Indicator of Exposure to Hexavalent Chromium: An in vitro Study. Toxicol. Lett. 2016, 255, 63–70. [Google Scholar] [CrossRef]
  25. Balamurugan, K.; Vasant, C.; Rajaram, R.; Ramasami, T. Hydroxopentaamminechromium(III) promoted phosphorylation of bovine serum albumin: Its potential implications in understanding biotoxicity of chromium. Biochim Biophys Acta 1999, 1427, 357. [Google Scholar] [CrossRef]
  26. ATSDR. Agency for Toxic Substances and Disease Registry (2000) Toxicological Profile for Chromium. Syracuse. US Department of Health & Human Services. Available online: https://wwwn.cdc.gov/TSP/ToxProfiles/ToxProfiles.aspx?id=62&tid=17 (accessed on 30 October 2024).
  27. Cimpeanu, C.; Predoi, D.; Ciobanu, C.S.; Iconaru, S.L.; Rokosz, K.; Predoi, M.V.; Raaen, S.; Badea, M.L. Development of Novel Biocomposites with Antimicrobial-Activity-Based Magnesium-Doped Hydroxyapatite with Amoxicillin. Antibiotics 2024, 13, 963. [Google Scholar] [CrossRef] [PubMed]
  28. Predoi, D.; Iconaru, S.L.; Ciobanu, S.C.; Ţălu, Ş.; Predoi, S.A.; Buton, N.; Ramos, G.Q.; da Fonseca Filho, H.D.; Matos, R.S. Synthesis, Characterization, and Antifungal Properties of Chrome-Doped Hydroxyapatite Thin Films. Mater. Chem. Phys. 2024, 324, 129690. [Google Scholar] [CrossRef]
  29. Predoi, D.; Iconaru, S.L.; Predoi, M.V.; Motelica-Heino, M.; Buton, N.; Megier, C. Obtaining and Characterizing Thin Layers of Magnesium Doped Hydroxyapatite by Dip Coating Procedure. Coatings 2020, 10, 510. [Google Scholar] [CrossRef]
  30. Predoi, D.; Iconaru, S.L.; Predoi, M.V.; Motelica-Heino, M.; Guegan, R.; Buton, N. Evaluation of Antibacterial Activity of Zinc-Doped Hydroxyapatite Colloids and Dispersion Stability Using Ultrasounds. Nanomaterials 2019, 9, 515. [Google Scholar] [CrossRef] [PubMed]
  31. Debye, P.; Scherrer, P. Interference of irregularly oriented particles in X-rays. Phys. Zeit. 1916, 17, 277–283. [Google Scholar]
  32. Debye, P.; Scherrer, P. Interference on inordinate orientated particles in X-ray light. III. Phys. Zeit. 1917, 18, 291–301. [Google Scholar]
  33. Danilchenko, S.N.; Kukharenko, O.G.; Moseke, C.; Protsenko, I.Y.; Sukhodub, L.F.; Sulkio-Cleff, B. Determination of the bone mineral crystallite size and lattice strain from diffraction line broadening. Cryst. Res. Technol. 2002, 37, 1234–1240. [Google Scholar] [CrossRef]
  34. Richardson, J.W.; Faber, J., Jr. Advances in X-ray Analysis, 2nd ed.; Barrett, C.S., Cohen, J.B., Faber, J., Jr., Jenkins, R., Leyden, D.E., Russ, J.C., Predecki, P.K., Eds.; Plenum Publishing: New York, NY, USA, 1986; Volume 29. [Google Scholar]
  35. Bragg, W.H.; Bragg, W.L. The Reflexion of X-rays by Crystals. Proc. R. Soc. Lond. A. 1913, 88, 428–438. [Google Scholar] [CrossRef]
  36. Casa Software Ltd. CasaXPS: Processing Software for XPS, AES, SIMS and More. 2009. Available online: www.casaxps.com (accessed on 30 September 2022).
  37. Biesinger, M.C.; Lau, L.W.; Gerson, A.R.; Smart, R.S.C. Resolving surface chemical states in XPS analysis of first row transition metals, oxides and hydroxides: Sc, Ti, V, Cu and Zn. Appl. Surf. Sci. 2010, 257, 887–898. [Google Scholar] [CrossRef]
  38. Wagner, C.D.; Naumkin, A.V.; Kraut-Vass, A.; Allison, J.W.; Powell, C.J.; Rumble, J.R., Jr. NIST Standard Reference Database 20, Version 3.4. 2003. Available online: https://srdata.nist.gov/xps (accessed on 20 November 2024).
  39. Gwyddion. Available online: http://gwyddion.net/ (accessed on 1 October 2024).
  40. Iconaru, S.L.; Motelica-Heino, M.; Predoi, D. Study on Europium-Doped Hydroxyapatite Nanoparticles by Fourier Transform Infrared Spectroscopy and Their Antimicrobial Properties. J. Spectrosc. 2013, 2013, 284285. [Google Scholar] [CrossRef]
  41. Iconaru, S.L.; Predoi, D.; Ciobanu, C.S.; Motelica-Heino, M.; Guegan, R.; Bleotu, C. Development of Silver Doped Hydroxyapatite Coatings for Biomedical Applications. Coatings 2022, 12, 341. [Google Scholar] [CrossRef]
  42. ImageJ. Available online: http://imagej.nih.gov/ij (accessed on 20 November 2024).
  43. Ciobanu, C.S.; Iconaru, S.L.; Predoi, D.; Trușcă, R.-D.; Prodan, A.M.; Groza, A.; Chifiriuc, M.C.; Beuran, M. Fabrication of Novel Chitosan–Hydroxyapatite Nanostructured Coatings for Biomedical Applications. Coatings 2021, 11, 1561. [Google Scholar] [CrossRef]
  44. Kittel, C. Introduction to Solid State Physics. In Introduction to Solid State Physics, 7th ed.; Wiley: Brisbane, Australia, 1996. [Google Scholar]
  45. Andrade, A.V.C.; da Silva, J.C.Z.; Paiva, S.C.O.; Weber, C.; Tebchernai, S.M. Synthesis and Crystal Phase Evaluation of Hydroxylapatite Using the Rietveld-Maximum Entropy Method. In Proceedings of the 28th International Conference on Advanced Ceramics and Composites B: Ceramic Engineering and Science Proceedings, Cocoa Beach, FL, USA, 24–29 January 2004; John Wiley & Sons: Hoboken, NJ, USA, 2004; Volume 24, pp. 639–645. [Google Scholar] [CrossRef]
  46. Person, A.; Bocherens, H.; Saliège, J.F.; Paris, F.; Zeitoun, V.; Gérard, M. Early diage netic evolution of bone phosphate: An X-ray diffractometry analysis. J. Archaeol. Sci. 1995, 22, 211–221. [Google Scholar] [CrossRef]
  47. Manoj, M.; Subbiah, R.; Mangalaraj, D.; Ponpandian, N.; Viswanathan, C.; Park, K. Influence of Growth Parameters on the Formation of Hydroxyapatite (HAp) Nanostructures and Their Cell Viability Studies. Nanobiomedicine 2015, 2. [Google Scholar] [CrossRef] [PubMed]
  48. Antonakos, A.; Liarokapis, E.; Leventouri, T. Micro-Raman and FTIR Studies of Synthetic and Natural Apatites. Biomaterials 2007, 28, 3043–3054. [Google Scholar] [CrossRef] [PubMed]
  49. ISO 10993-1:2018; Biological Evaluation of Medical Devices–Part 1: Evaluation and Testing within a Risk Management Process. ISO: Geneva, Switzerland, 2018. Available online: https://www.iso.org/standard/68936.html (accessed on 21 December 2024).
  50. Wątroba, M.; Bednarczyk, W.; Szewczyk, P.K.; Kawałko, J.; Mech, K.; Grünewald, A.; Unalan, I.; Taccardi, N.; Boelter, G.; Banzhaf, M.; et al. In vitro cytocompatibility and antibacterial studies on biodegradable Zn alloys supplemented by a critical assessment of direct contact cytotoxicity assay. J. Biomed. Mater. Res. B Appl. Biomater. 2023, 111, 241–260. [Google Scholar] [CrossRef] [PubMed]
  51. Sukumaran, A.; Sweety, V.K.; Vikas, B.; Joseph, B. Cytotoxicity and Cell Viability Assessment of Biomaterials. In Cytotoxicity-Understanding Cellular Damage and Response; Sukumaran, A., Mahmoud, A.M., Eds.; Intech Open: London, UK, 2023. [Google Scholar]
  52. Khan, F.; Bai, Z.; Kelly, S.; Skidmore, B.; Dickson, C.; Nunn, A.; Rutledge-Taylor, K.; Wells, G. Effectiveness and Safety of Antibiotic Prophylaxis for Persons Exposed to Cases of Invasive Group a Streptococcal Disease: A Systematic Review. Open Forum Infect. Dis. 2022, 9, ofac244. [Google Scholar] [CrossRef] [PubMed]
  53. Kaur, S.; Rao, R.; Nanda, S. Amoxicillin: A Broad-Spectrum Antibiotic. Int. J. Pharm. Sci. 2011, 3, 3. [Google Scholar]
  54. Awasthi, S.; Pandey, S.K.; Arunan, E.; Srivastava, C. A Review on Hydroxyapatite Coatings for Biomedical Applications: Experimental and Theoretical Perspectives. J. Mater. Chem. B 2021, 9, 228–249. [Google Scholar] [CrossRef] [PubMed]
  55. Cacciotti, I. Multisubstituted Hydroxyapatite Powders and Coatings: The Influence of the Codoping on the Hydroxyapatite Performances. Int. J. Appl. Ceram. Technol. 2019, 16, 1864–1884. [Google Scholar] [CrossRef]
  56. Fu, J.; Liang, X.; Chen, Y.; Tang, L.; Zhang, Q.H.; Dong, Q. Oxidative Stress as a Component of Chromium-Induced Cytotoxicity in Rat Calvarial Osteoblasts. Cell Biol. Toxicol. 2008, 24, 201–212. [Google Scholar] [CrossRef] [PubMed]
  57. Predoi, D.; Iconaru, S.L.; Predoi, M.V. Dextran-Coated Zinc-Doped Hydroxyapatite for Biomedical Applications. Polymers 2019, 11, 886. [Google Scholar] [CrossRef] [PubMed]
  58. Predoi, D.; Iconaru, S.L.; Ciobanu, S.C.; Predoi, S.-A.; Buton, N.; Megier, C.; Beuran, M. Development of Iron-Doped Hydroxyapatite Coatings. Coatings 2021, 11, 186. [Google Scholar] [CrossRef]
  59. Predoi, S.A.; Ciobanu, S.C.; Chifiriuc, M.C.; Motelica-Heino, M.; Predoi, D.; Iconaru, S.L. Hydroxyapatite Nanopowders for Effective Removal of Strontium Ions from Aqueous Solutions. Materials 2023, 16, 229. [Google Scholar] [CrossRef] [PubMed]
  60. Nickens, K.P.; Patierno, S.R.; Ceryak, S. Chromium Genotoxicity: A Double-Edged Sword. Chem. Biol. Interact. 2010, 188, 276–288. [Google Scholar] [CrossRef] [PubMed]
  61. Hancock, R.E.W.; Speert, D.P. Antibiotic resistance in Pseudomonas aeruginosa: Mechanisms and impact on treatment. Drug Resist. Updat. 2000, 3, 247–255. [Google Scholar] [CrossRef]
  62. Poole, K. Resistance to β-lactam antibiotics in Pseudomonas aeruginosa. Clin. Microbiol. Infect. 2004, 10, 16–22. [Google Scholar] [CrossRef]
  63. Livermore, D.M. Multiple Mechanisms of Antimicrobial Resistance in Pseudomonas aeruginosa: Our Worst Nightmare? Clin. Infect. Dis. 2002, 34, 5–634. [Google Scholar] [CrossRef] [PubMed]
  64. Demurtas, M.; Perry, C.C. Facile one-pot synthesis of amoxicillin-coated gold nanoparticles and their antimicrobial activity. Gold Bull. 2014, 47, 103–107. [Google Scholar] [CrossRef]
  65. Todd, P.A.; Benfield, P. Amoxicillin/Clavulanic Acid. Drugs 1990, 39, 264–307. [Google Scholar] [CrossRef]
  66. Bankole, O.M.; Ojubola, K.I.; Adanlawo, O.S.; Adesina, A.O.; Lawal, I.O.; Ogunlaja, A.S.; Achadu, O.J. Amoxicillin Encapsulation on Alginate/Magnetite Composite and Its Antimicrobial Properties Against Gram-Negative and Positive Microbes. BioNanoScience 2022, 12, 1136–1149. [Google Scholar] [CrossRef]
  67. Weber, D.J.; Tolkoff-Rubin, N.E.; Rubin, R.H. Amoxicillin and Potassium Clavulanate: An Antibiotic Combination Mechanism of Action, Pharmacokinetics, Antimicrobial Spectrum, Clinical Efficacy and Adverse Effects. Pharmacotherapy 1984, 4, 122–136. [Google Scholar] [CrossRef] [PubMed]
  68. Güncüm, E.; Işıklan, N.; Anlaş, C.; Ünal, N.; Bulut, E.; Bakırel, T. Development and characterization of polymeric-based nanoparticles for sustained release of amoxicillin—An antimicrobial drug. Artif. Cells Nanomed. Biotechnol. 2018, 46, 964–973. [Google Scholar] [CrossRef]
  69. Elabbasy, M.T.; Algahtani, F.D.; Alshammari, H.F.; Kolsi, L.; Dkhil, M.A.; Abd El-Rahman, G.I.; El-Morsy, M.A.; Menazea, A.A. Improvement of mechanical and antibacterial features of hydroxyapatite/chromium oxide/graphene oxide nanocomposite for biomedical utilizations. Surf. Coat. Technol. 2022, 440, 128476. [Google Scholar] [CrossRef]
  70. Li, Y.; Ho, J.; Ooi, C.P. Antibacterial efficacy and cytotoxicity studies of copper (II) and titanium (IV) substituted hydroxyapatite nanoparticles. Mater. Sci. Eng. C 2010, 30, 1137–1144. [Google Scholar] [CrossRef]
  71. Cohen, M.D.; Sisco, M.; Prophete, C.; Yoshida, K.; Chen, L.C.; Zelikoff, J.T.; Ghio, A.J. Effects of metal compounds with distinct physicochemical properties on iron homeostasis and antibacterial activity in the lungs: Chromium and vanadium. Inhal. Toxicol. 2010, 22, 169–178. [Google Scholar] [CrossRef] [PubMed]
Figure 1. Time evolution of the recorded signals, from left to right over 5000 s, of CrHAp (a) and CrHApAx (b) samples.
Figure 1. Time evolution of the recorded signals, from left to right over 5000 s, of CrHAp (a) and CrHApAx (b) samples.
Coatings 15 00233 g001
Figure 2. Recorded signals’ amplitudes during the experiment for CrHAp (a) and CrHApAx (b).
Figure 2. Recorded signals’ amplitudes during the experiment for CrHAp (a) and CrHApAx (b).
Coatings 15 00233 g002
Figure 3. Spectral amplitudes of all recorded signals for CrHAp (a) and CrHApAx (b) samples.
Figure 3. Spectral amplitudes of all recorded signals for CrHAp (a) and CrHApAx (b) samples.
Coatings 15 00233 g003
Figure 4. Time-averaged attenuation for the investigated frequency range for CrHAp (a) and CrHApAx (b) samples.
Figure 4. Time-averaged attenuation for the investigated frequency range for CrHAp (a) and CrHApAx (b) samples.
Coatings 15 00233 g004
Figure 5. Relative spectral amplitudes vs. time for CrHAp (a) and CrHApAx (b) samples.
Figure 5. Relative spectral amplitudes vs. time for CrHAp (a) and CrHApAx (b) samples.
Coatings 15 00233 g005
Figure 6. XRD patterns of CrHAp (b) and CrHApAx (c) samples. XRD patterns of pure hexagonal hydroxyapatite JCPDS 09-0432 (a).
Figure 6. XRD patterns of CrHAp (b) and CrHApAx (c) samples. XRD patterns of pure hexagonal hydroxyapatite JCPDS 09-0432 (a).
Coatings 15 00233 g006
Figure 7. Full XPS spectra of CrHAp (a) and CrHApAx (b) samples. High-resolution XPS spectra of C 1s for CrHAp (c) and CrHApAx (d) samples. High-resolution XPS spectra of O 1s for CrHAp (e) and CrHApAx (f) samples. High-resolution XPS spectra of Ca 2p for CrHAp (g) and CrHApAx (h) samples. High-resolution XPS spectra of P 2p for CrHAp (i) and CrHApAx (j) samples.
Figure 7. Full XPS spectra of CrHAp (a) and CrHApAx (b) samples. High-resolution XPS spectra of C 1s for CrHAp (c) and CrHApAx (d) samples. High-resolution XPS spectra of O 1s for CrHAp (e) and CrHApAx (f) samples. High-resolution XPS spectra of Ca 2p for CrHAp (g) and CrHApAx (h) samples. High-resolution XPS spectra of P 2p for CrHAp (i) and CrHApAx (j) samples.
Coatings 15 00233 g007
Figure 8. High-resolution XPS spectra of Cr 2p for CrHAp (a) and CrHApAx (b) samples.
Figure 8. High-resolution XPS spectra of Cr 2p for CrHAp (a) and CrHApAx (b) samples.
Coatings 15 00233 g008
Figure 9. High-resolution XPS spectra of N1s (a) and S 2p (b) CrHApAx samples.
Figure 9. High-resolution XPS spectra of N1s (a) and S 2p (b) CrHApAx samples.
Coatings 15 00233 g009
Figure 10. SEM micrograph of CrHAp (a) and CrHApAx (c). EDS spectra of CrHAp (b) and CrHApAx (d).
Figure 10. SEM micrograph of CrHAp (a) and CrHApAx (c). EDS spectra of CrHAp (b) and CrHApAx (d).
Coatings 15 00233 g010
Figure 11. FTIR general spectra obtained for CrHAp (a) and CrHApAx (b). In the inset, the FTIR general spectra of Ax are presented.
Figure 11. FTIR general spectra obtained for CrHAp (a) and CrHApAx (b). In the inset, the FTIR general spectra of Ax are presented.
Coatings 15 00233 g011
Figure 12. CrHAp-FTIR second derivative curve obtained for 450–700 cm−1 (a) and 800–1200 cm−1 (b) spectral domains. CrHApAx-FTIR second derivative curve obtained for 450–700 cm−1 (c) and 800–1200 cm−1 (d) spectral domains.
Figure 12. CrHAp-FTIR second derivative curve obtained for 450–700 cm−1 (a) and 800–1200 cm−1 (b) spectral domains. CrHApAx-FTIR second derivative curve obtained for 450–700 cm−1 (c) and 800–1200 cm−1 (d) spectral domains.
Coatings 15 00233 g012
Figure 13. Deconvoluted FTIR spectra of the CrHAp and CrHApAx obtained in the 800–1200 cm−1 spectral region.
Figure 13. Deconvoluted FTIR spectra of the CrHAp and CrHApAx obtained in the 800–1200 cm−1 spectral region.
Coatings 15 00233 g013
Figure 14. 2D topography of the CrHAp (a) and CrHApAx (c) coatings’ surface recorded on an area of 10 × 10 µm2 and their 3D representations (b,d).
Figure 14. 2D topography of the CrHAp (a) and CrHApAx (c) coatings’ surface recorded on an area of 10 × 10 µm2 and their 3D representations (b,d).
Coatings 15 00233 g014
Figure 15. Graphical representation of the cell viability MG63 cells exposed to CrHAp and CrHApAx coatings for 24, 48, and 72 h. The results are depicted as the mean ± standard deviation (SD) and quantified as percentages of the control (100% viability). Statistical analysis was performed by one-way ANOVA. The p-values indicated are the following: * p ≤ 0.05, ** p ≤ 0.005, *** p ≤ 0.001.
Figure 15. Graphical representation of the cell viability MG63 cells exposed to CrHAp and CrHApAx coatings for 24, 48, and 72 h. The results are depicted as the mean ± standard deviation (SD) and quantified as percentages of the control (100% viability). Statistical analysis was performed by one-way ANOVA. The p-values indicated are the following: * p ≤ 0.05, ** p ≤ 0.005, *** p ≤ 0.001.
Coatings 15 00233 g015
Figure 16. The morphology of MG63 cells grown on the CrHAp coatings (a) and CrHApAx coatings (b) visualized by metallographic microscopy at different time intervals.
Figure 16. The morphology of MG63 cells grown on the CrHAp coatings (a) and CrHApAx coatings (b) visualized by metallographic microscopy at different time intervals.
Coatings 15 00233 g016
Figure 17. Graphical representation of the log colony forming units (CFUs)/mL of the CrHAp, CrHApAx, and Ax coatings incubated with Pseudomonas aeruginosa 27853 ATCC for 24, 48, and 72 h. The statistical analysis was performed using ordinary one-way ANOVA. The p-values indicated are * p ≤ 0.001, ** p ≤ 0.005, and *** p ≤ 0.0001.
Figure 17. Graphical representation of the log colony forming units (CFUs)/mL of the CrHAp, CrHApAx, and Ax coatings incubated with Pseudomonas aeruginosa 27853 ATCC for 24, 48, and 72 h. The statistical analysis was performed using ordinary one-way ANOVA. The p-values indicated are * p ≤ 0.001, ** p ≤ 0.005, and *** p ≤ 0.0001.
Coatings 15 00233 g017
Figure 18. Two-dimensional AFM topography of Pseudomonas aeruginosa 27853 ATCC cells attached to the surface of the CrHAp coatings after a 24 (a), 48 (b), and 72 h (c) incubation period and their 3D representation (d–f).
Figure 18. Two-dimensional AFM topography of Pseudomonas aeruginosa 27853 ATCC cells attached to the surface of the CrHAp coatings after a 24 (a), 48 (b), and 72 h (c) incubation period and their 3D representation (d–f).
Coatings 15 00233 g018
Figure 19. Two-dimensional AFM topography of Pseudomonas aeruginosa 27853 ATCC cells attached to the surface of the CrHApAx coatings after a 24 (a), 48 (b), and 72 h (c) incubation period and their 3D representation (d–f).
Figure 19. Two-dimensional AFM topography of Pseudomonas aeruginosa 27853 ATCC cells attached to the surface of the CrHApAx coatings after a 24 (a), 48 (b), and 72 h (c) incubation period and their 3D representation (d–f).
Coatings 15 00233 g019
Table 1. Surface atomic composition (atomic %).
Table 1. Surface atomic composition (atomic %).
Sample COCaPCrNS
Element
CrHAp24.741.0216.6412.844.8--
CrHApAx27.9846.411.159.374.40.20.5
Disclaimer/Publisher’s Note: The statements, opinions and data contained in all publications are solely those of the individual author(s) and contributor(s) and not of MDPI and/or the editor(s). MDPI and/or the editor(s) disclaim responsibility for any injury to people or property resulting from any ideas, methods, instructions or products referred to in the content.

Share and Cite

MDPI and ACS Style

Ciobanu, C.S.; Predoi, D.; Iconaru, S.L.; Rokosz, K.; Raaen, S.; Negrila, C.C.; Ghegoiu, L.; Bleotu, C.; Predoi, M.V. Chrome Doped Hydroxyapatite Enriched with Amoxicillin Layers for Biomedical Applications. Coatings 2025, 15, 233. https://doi.org/10.3390/coatings15020233

AMA Style

Ciobanu CS, Predoi D, Iconaru SL, Rokosz K, Raaen S, Negrila CC, Ghegoiu L, Bleotu C, Predoi MV. Chrome Doped Hydroxyapatite Enriched with Amoxicillin Layers for Biomedical Applications. Coatings. 2025; 15(2):233. https://doi.org/10.3390/coatings15020233

Chicago/Turabian Style

Ciobanu, Carmen Steluta, Daniela Predoi, Simona Liliana Iconaru, Krzysztof Rokosz, Steinar Raaen, Catalin Constantin Negrila, Liliana Ghegoiu, Coralia Bleotu, and Mihai Valentin Predoi. 2025. "Chrome Doped Hydroxyapatite Enriched with Amoxicillin Layers for Biomedical Applications" Coatings 15, no. 2: 233. https://doi.org/10.3390/coatings15020233

APA Style

Ciobanu, C. S., Predoi, D., Iconaru, S. L., Rokosz, K., Raaen, S., Negrila, C. C., Ghegoiu, L., Bleotu, C., & Predoi, M. V. (2025). Chrome Doped Hydroxyapatite Enriched with Amoxicillin Layers for Biomedical Applications. Coatings, 15(2), 233. https://doi.org/10.3390/coatings15020233

Note that from the first issue of 2016, this journal uses article numbers instead of page numbers. See further details here.

Article Metrics

Back to TopTop