Mechanism and Structural Defects of Zinc Film Deposited on a Copper Substrate: A Study via Molecular Dynamics Simulations
Abstract
1. Introduction
2. Materials and Methods
3. Results
3.1. The Microscopic Mechanism of Zinc Film Growth on the Cu (111) Surface
3.2. The Effect of Deposition Temperature on the Growth of Zinc Films
3.3. The Effect of Incident Energy on the Growth of Zinc Films
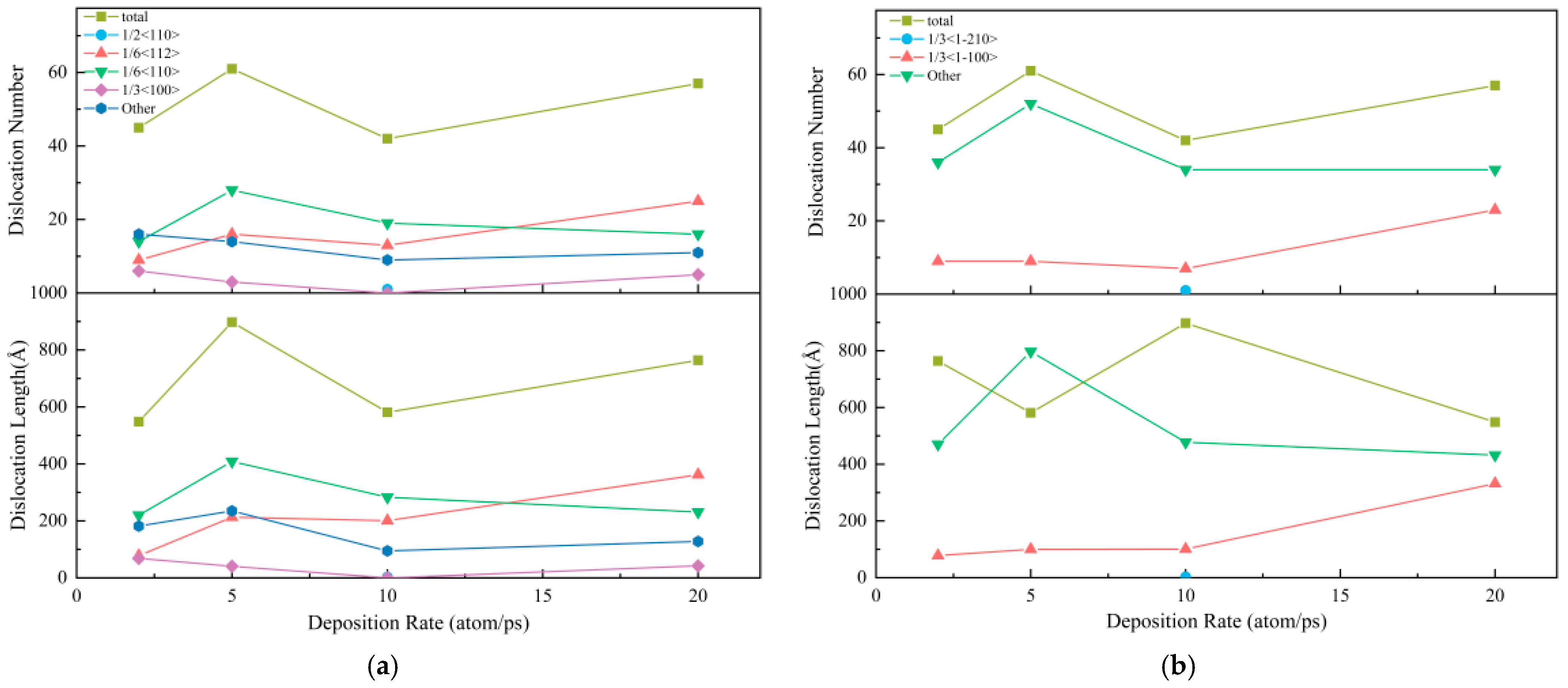
3.4. The Effect of Deposition Rate on the Growth of Zinc Films
4. Discussion
5. Conclusions
Author Contributions
Funding
Institutional Review Board Statement
Informed Consent Statement
Data Availability Statement
Conflicts of Interest
Abbreviations
| MD | Molecular dynamics |
| EAM | Embedded atom method potential |
| SW | Stillinger–Weber potential |
| LJ | Lennard–Jones potential |
| ZDR | Zinc deposition rate |
| CNA | Common neighbor analysis |
| DXA | Dislocation extraction algorithm |
| FCC | Face-centered cubic structure |
| HCP | Close-packed hexagonal structure |
| ML | Single-monolayer |
References
- Blanc, L.E.; Kundu, D.; Nazar, L.F. Scientific Challenges for the Implementation of Zn-Ion Batteries. Joule 2020, 4, 771–799. [Google Scholar] [CrossRef]
- Zheng, J.; Zhao, Q.; Tang, T.; Yin, J.; Quilty, C.D.; Renderos, G.D.; Liu, X.; Deng, Y.; Wang, L.; Bock, D.C.; et al. Reversible Epitaxial Electrodeposition of Metals in Battery Anodes. Science 2019, 366, 645–648. [Google Scholar] [CrossRef] [PubMed]
- Golks, F.; Stettner, J.; Gründer, Y.; Krug, K.; Zegenhagen, J.; Magnussen, O.M. Anomalous Potential Dependence in Homoepitaxial Cu(001) Electrodeposition: An In Situ Surface X-Ray Diffraction Study. Phys. Rev. Lett. 2012, 108, 256101. [Google Scholar] [CrossRef] [PubMed]
- Hull, C.M.; Switzer, J.A. Electrodeposited Epitaxial Cu(100) on Si(100) and Lift-Off of Single Crystal-like Cu(100) Foils. ACS Appl. Mater. Interfaces 2018, 10, 38596–38602. [Google Scholar] [CrossRef]
- Uosaki, K.; Ye, S.; Naohara, H.; Oda, Y.; Haba, T.; Kondo, T. Electrochemical Epitaxial Growth of a Pt(111) Phase on an Au(111) Electrode. J. Phys. Chem. B 1997, 101, 7566–7572. [Google Scholar] [CrossRef]
- Jurca, H.F.; Damian, A.; Gougaud, C.; Thiaudière, D.; Cortès, R.; Maroun, F.; Allongue, P. Epitaxial Electrodeposition of Fe on Au(111): Structure, Nucleation, and Growth Mechanisms. J. Phys. Chem. C 2016, 120, 16080–16089. [Google Scholar] [CrossRef]
- Leistner, K.; Yang, M.; Damm, C.; Oswald, S.; Petr, A.; Kataev, V.; Nielsch, K.; Kavanagh, K.L. Aligned Cuboid Iron Nanoparticles by Epitaxial Electrodeposition. Nanoscale 2017, 9, 5315–5322. [Google Scholar] [CrossRef] [PubMed]
- Chen, W.; Yen, P.; Kuo, Y.; Chen, S.; Yau, S. Epitaxial Electrodeposition of Nickel on Pt(111) Electrode. J. Phys. Chem. C 2012, 116, 21343–21349. [Google Scholar] [CrossRef]
- Yen, P.-Y.; Chen, S.; Tu, H.-L.; Wu, H.; Yau, S.-L.; Tsay, J.-S. Epitaxial Electrodeposition of Cobalt on a Pt(111) Electrode Covered with a Cu(111) Film. J. Phys. Chem. C 2011, 115, 23802–23808. [Google Scholar] [CrossRef]
- Lee, S.-G.; Chung, Y.-C. Atomic-Level Investigation of Al and Ni Thin Film Growth on Ni(111) Surface: Molecular Dynamics Simulation. Appl. Surf. Sci. 2007, 253, 8896–8900. [Google Scholar] [CrossRef]
- Zhang, L.H.; Cheng, M.J.; Shi, X.H.; Shuai, J.W.; Zhu, Z.Z. Bain and Nishiyama–Wassermann Transition Path Separation in the Martensitic Transitions of Fe. RSC Adv. 2021, 11, 3043–3048. [Google Scholar] [CrossRef] [PubMed]
- Zhou, M.; Guo, S.; Li, J.; Luo, X.; Liu, Z.; Zhang, T.; Cao, X.; Long, M.; Lu, B.; Pan, A.; et al. Surface-Preferred Crystal Plane for a Stable and Reversible Zinc Anode. Adv. Mater. 2021, 33, 2100187. [Google Scholar] [CrossRef]
- Xie, C.; Yang, Z.; Zhang, Q.; Ji, H.; Li, Y.; Wu, T.; Li, W.; Wu, P.; Wang, H. Designing Zinc Deposition Substrate with Fully Preferred Orientation to Elude the Interfacial Inhomogeneous Dendrite Growth. Research 2022, 2022, 9841343. [Google Scholar] [CrossRef] [PubMed]
- Wang, Y.; Xu, X.; Yin, J.; Huang, G.; Guo, T.; Tian, Z.; Alsaadi, R.; Zhu, Y.; Alshareef, H.N. MoS2 -Mediated Epitaxial Plating of Zn Metal Anodes. Adv. Mater. 2023, 35, 2208171. [Google Scholar] [CrossRef] [PubMed]
- Xin, X.; Ito, K.; Dutta, A.; Kubo, Y. Dendrite-Free Epitaxial Growth of Lithium Metal during Charging in Li–O2 Batteries. Angew. Chem. 2018, 130, 13390–13394. [Google Scholar] [CrossRef]
- Cheng, Z.; Wang, K.; Fu, J.; Mo, F.; Lu, P.; Gao, J.; Ho, D.; Li, B.; Hu, H. Texture Exposure of Unconventional (101)Zn Facet: Enabling Dendrite-Free Zn Deposition on Metallic Zinc Anodes. Adv. Energy Mater. 2024, 14, 2304003. [Google Scholar] [CrossRef]
- Wang, M.; Wang, W.; Meng, Y.; Xu, Y.; Sun, J.; Yuan, Y.; Chuai, M.; Chen, N.; Zheng, X.; Luo, R.; et al. Crystal Facet Correlated Zn Growth on Cu for Aqueous Zn Metal Batteries. Energy Storage Mater. 2023, 56, 424–431. [Google Scholar] [CrossRef]
- Hao, Z.; Zhang, Y.; Hao, Z.; Li, G.; Lu, Y.; Jin, S.; Yang, G.; Zhang, S.; Yan, Z.; Zhao, Q.; et al. Metal Anodes with Ultrahigh Reversibility Enabled by the Closest Packing Crystallography for Sustainable Batteries. Adv. Mater. 2023, 35, 2209985. [Google Scholar] [CrossRef]
- Zheng, J.; Archer, L.A. Crystallographically Textured Electrodes for Rechargeable Batteries: Symmetry, Fabrication, and Characterization. Chem. Rev. 2022, 122, 14440–14470. [Google Scholar] [CrossRef] [PubMed]
- Su, Y.; Chen, B.; Sun, Y.; Xue, Z.; Zou, Y.; Yang, D.; Sun, L.; Yang, X.; Li, C.; Yang, Y.; et al. Rationalized Electroepitaxy toward Scalable Single-Crystal Zn Anodes. Adv. Mater. 2023, 35, 2301410. [Google Scholar] [CrossRef]
- Yang, X.; Dong, Z.; Weng, G.; Su, Y.; Huang, J.; Chai, H.; Zhang, Y.; Wu, K.; Baek, J.; Sun, J.; et al. Crystallographic Manipulation Strategies toward Reversible Zn Anode with Orientational Deposition. Adv. Energy Mater. 2024, 14, 2401293. [Google Scholar] [CrossRef]
- Hao, Z.; Zhang, Y.; Lu, Y.; Hou, J.; Liu, X.; Yan, Z.; Chen, J. Facile Electrolytic (111)-Textured Copper Foil for Dendrite-Free Zinc Metal Batteries. Adv. Funct. Mater. 2024, 34, 2315726. [Google Scholar] [CrossRef]
- Yi, Z.; Liu, J.; Tan, S.; Sang, Z.; Mao, J.; Yin, L.; Liu, X.; Wang, L.; Hou, F.; Dou, S.X.; et al. An Ultrahigh Rate and Stable Zinc Anode by Facet-Matching-Induced Dendrite Regulation. Adv. Mater. 2022, 34, 2203835. [Google Scholar] [CrossRef]
- Xu, S.; Zhu, Y.; Xiong, D.; Wang, L.; Yang, P.; Chu, P.K. Zinc Electrodeposition on Polycrystalline Copper: Electrochemical Study of Early-Stage Growth Mechanism. J. Phys. Chem. C 2017, 121, 3938–3946. [Google Scholar] [CrossRef]
- Milchev, A. Nucleation Phenomena in Electrochemical Systems: Kinetic Models. ChemTexts 2016, 2, 4. [Google Scholar] [CrossRef]
- Gates, D.J. Surface Angle Transitions and Facets in a Solvable TSK Model of Steady Crystal Growth. J. Cryst. Growth 1997, 180, 136–156. [Google Scholar] [CrossRef]
- Sear, R.P. Nucleation: Theory and applications to protein solutions and colloidal suspensions. J. Phys. Condens. Matter 2007, 19, 033101. [Google Scholar] [CrossRef]
- Milchev, A. Electrochemical Phase Formation: Classical and Atomistic Theoretical Models. Nanoscale 2016, 8, 13867–13872. [Google Scholar] [CrossRef]
- Chaudhuri, S.; Maurer, R.J. Theory and Atomistic Simulation of Electrodeposition. arXiv 2024, arXiv:2409.16704. [Google Scholar]
- Hwang, S.-F.; Li, Y.-H.; Hong, Z.-H. Molecular Dynamic Simulation for Cu Cluster Deposition on Si Substrate. Comput. Mater. Sci. 2012, 56, 85–94. [Google Scholar] [CrossRef]
- Cheng, G.; Li, H.; Xu, G.; Gai, W.; Luo, L. In Situ Observation of Nanotwins Formation through Twin Terrace Growth in Pulse Electrodeposited Cu Films. Sci. Rep. 2017, 7, 12393. [Google Scholar] [CrossRef] [PubMed]
- Kumar, S. Effect of Applied Force and Atomic Organization of Copper on Its Adhesion to a Graphene Substrate. RSC Adv. 2017, 7, 25118–25131. [Google Scholar] [CrossRef]
- Neek-Amal, M.; Asgari, R.; Tabar, M.R.R. The Formation of Atomic Nanoclusters on Graphene Sheets. Nanotechnology 2009, 20, 135602. [Google Scholar] [CrossRef]
- Hong, Z.-H.; Hwang, S.-F.; Fang, T.-H. Atomic-Level Stress Calculation and Surface Roughness of Film Deposition Process Using Molecular Dynamics Simulation. Comput. Mater. Sci. 2010, 48, 520–528. [Google Scholar] [CrossRef]
- Zhou, X.W.; Wadley, H.N.G.; Johnson, R.A.; Larson, D.J.; Tabat, N.; Cerezo, A.; Petford-Long, A.K.; Smith, G.D.W.; Clifton, P.H.; Martens, R.L.; et al. Atomic Scale Structure of Sputtered Metal Multilayers. Acta Mater. 2001, 49, 4005–4015. [Google Scholar] [CrossRef]
- Klaver, P.; Thijsse, B.J. Molecular Dynamics Study of Cu Thin Film Deposition Onβ-Ta. MRS Proc. 2002, 721, J2.3. [Google Scholar] [CrossRef]
- Klaver, T.P.C.; Thijsse, B.J. Molecular Dynamics Simulations of Cu/Ta and Ta/Cu Thin Film Growth. J. Comput.-Aided Mater. Des. 2003, 10, 61–74. [Google Scholar] [CrossRef]
- Francis, M.F.; Neurock, M.N.; Zhou, X.W.; Quan, J.J.; Wadley, H.N.G.; Webb, E.B. Atomic Assembly of Cu/Ta Multilayers: Surface Roughness, Grain Structure, Misfit Dislocations, and Amorphization. J. Appl. Phys. 2008, 104, 034310. [Google Scholar] [CrossRef]
- Mendelev, M.I.; Kramer, M.J.; Becker, C.A.; Asta, M. Analysis of Semi-Empirical Interatomic Potentials Appropriate for Simulation of Crystalline and Liquid Al and Cu. Philos. Mag. 2008, 88, 1723–1750. [Google Scholar] [CrossRef]
- Zhou, X.W.; Ward, D.K.; Martin, J.E.; van Swol, F.B.; Cruz-Campa, J.L.; Zubia, D. Stillinger-Weber Potential for the II-VI Elements Zn-Cd-Hg-S-Se-Te. Phys. Rev. B 2013, 88, 085309. [Google Scholar] [CrossRef]
- Rappe, A.K.; Casewit, C.J.; Colwell, K.S.; Goddard, W.A.; Skiff, W.M. UFF, a Full Periodic Table Force Field for Molecular Mechanics and Molecular Dynamics Simulations. J. Am. Chem. Soc. 1992, 114, 10024–10035. [Google Scholar] [CrossRef]
- Bonald, T.; Charpentier, B.; Galland, A.; Hollocou, A. Hierarchical Graph Clustering Using Node Pair Sampling. arXiv 2018, arXiv:1806.01664. [Google Scholar]
- Stukowski, A.; Bulatov, V.V.; Arsenlis, A. Automated Identification and Indexing of Dislocations in Crystal Interfaces. Model. Simul. Mater. Sci. Eng. 2012, 20, 085007. [Google Scholar] [CrossRef]
- Schenter, G.K.; Kathmann, S.M.; Garrett, B.C. Dynamical Nucleation Theory: A New Molecular Approach to Vapor-Liquid Nucleation. Phys. Rev. Lett. 1999, 82, 3484–3487. [Google Scholar] [CrossRef]
- Kalikmanov, V.I. Mean-Field Kinetic Nucleation Theory. J. Chem. Phys. 2006, 124, 124505. [Google Scholar] [CrossRef] [PubMed]
- Wei, P.F.; Kelton, K.F.; Falster, R. Coupled-Flux Nucleation Modeling of Oxygen Precipitation in Silicon. J. Appl. Phys. 2000, 88, 5062–5070. [Google Scholar] [CrossRef]
- Russell, K.C. Linked Flux Analysis of Nucleation in Condensed Phases. Acta Metall. 1968, 16, 761–769. [Google Scholar] [CrossRef]
- Peters, B. On the Coupling between Slow Diffusion Transport and Barrier Crossing in Nucleation. J. Chem. Phys. 2011, 135, 044107. [Google Scholar] [CrossRef]
- Kelton, K.F. Time-Dependent Nucleation in Partitioning Transformations. Acta Mater. 2000, 48, 1967–1980. [Google Scholar] [CrossRef]
- Gránásy, L.; Herlach, D.M. Diffuse Interface Approach to Crystal Nucleation in Glasses. J. Non-Cryst. Solids 1995, 192–193, 470–473. [Google Scholar] [CrossRef]
- Gránásy, L. Diffuse Interface Theory of Nucleation. J. Non-Cryst. Solids 1993, 162, 301–303. [Google Scholar] [CrossRef]
- Song, W.; Jeon, C.; Kim, S.Y.; Kim, Y.; Kim, S.H.; Lee, S.-I.; Jung, D.S.; Jung, M.W.; An, K.-S.; Park, C.-Y. Two Selective Growth Modes for Graphene on a Cu Substrate Using Thermal Chemical Vapor Deposition. Carbon 2014, 68, 87–94. [Google Scholar] [CrossRef]
- Zhang, X.; Li, J.; Liu, Y.; Lu, B.; Liang, S.; Zhou, J. Single [0001]-Oriented Zinc Metal Anode Enables Sustainable Zinc Batteries. Nat. Commun. 2024, 15, 2735. [Google Scholar] [CrossRef] [PubMed]
- Li, R.; Zhang, X.; Dong, H.; Li, Q.; Shuai, Z.; Hu, W. Gibbs–Curie–Wulff Theorem in Organic Materials: A Case Study on the Relationship between Surface Energy and Crystal Growth. Adv. Mater. 2016, 28, 1697–1702. [Google Scholar] [CrossRef] [PubMed]
- Iokibe, K.; Azumi, K.; Tachikawa, H. Surface Diffusion of a Zn Adatom on a Zn(001) Surface: A DFT Study. J. Phys. Chem. C 2007, 111, 13510–13516. [Google Scholar] [CrossRef]

















Disclaimer/Publisher’s Note: The statements, opinions and data contained in all publications are solely those of the individual author(s) and contributor(s) and not of MDPI and/or the editor(s). MDPI and/or the editor(s) disclaim responsibility for any injury to people or property resulting from any ideas, methods, instructions or products referred to in the content. |
© 2025 by the authors. Licensee MDPI, Basel, Switzerland. This article is an open access article distributed under the terms and conditions of the Creative Commons Attribution (CC BY) license (https://creativecommons.org/licenses/by/4.0/).
Share and Cite
He, X.; Qin, X.; Zhan, L. Mechanism and Structural Defects of Zinc Film Deposited on a Copper Substrate: A Study via Molecular Dynamics Simulations. Coatings 2025, 15, 174. https://doi.org/10.3390/coatings15020174
He X, Qin X, Zhan L. Mechanism and Structural Defects of Zinc Film Deposited on a Copper Substrate: A Study via Molecular Dynamics Simulations. Coatings. 2025; 15(2):174. https://doi.org/10.3390/coatings15020174
Chicago/Turabian StyleHe, Xin, Xiangge Qin, and Lan Zhan. 2025. "Mechanism and Structural Defects of Zinc Film Deposited on a Copper Substrate: A Study via Molecular Dynamics Simulations" Coatings 15, no. 2: 174. https://doi.org/10.3390/coatings15020174
APA StyleHe, X., Qin, X., & Zhan, L. (2025). Mechanism and Structural Defects of Zinc Film Deposited on a Copper Substrate: A Study via Molecular Dynamics Simulations. Coatings, 15(2), 174. https://doi.org/10.3390/coatings15020174

