Skip Content
You are currently on the new version of our website. Access the old version .
CoatingsCoatings
  • Editor’s Choice
  • Article
  • Open Access

9 February 2024

The Influence of TiO2 Nanoparticles on the Physico–Mechanical and Structural Characteristics of Cementitious Materials

,
,
,
,
,
,
and
1
Faculty of Materials and Environmental Engineering, Technical University of Cluj-Napoca, 103–105 Muncii Boulevard, 400641 Cluj-Napoca, Romania
2
NIRD URBAN-INCERC Cluj-Napoca Branch, 117 Calea Florești, 400524 Cluj-Napoca, Romania
3
Faculty of Civil Engineering, Technical University of Cluj-Napoca, 103–105 Muncii Boulevard, 400641 Cluj-Napoca, Romania
*
Authors to whom correspondence should be addressed.
This article belongs to the Special Issue Development and Characterization of New Construction Materials and Coatings

Abstract

The urgent need for sustainable construction that corresponds to the three pillars of sustainable development is obvious and continuously requires innovative solutions. Cementitious composites with TiO2 nanoparticles (NT) addition show potential due to their improved durability, physico–mechanical characteristics, and self-cleaning capacity. This study aimed to evaluate the influence of NT on cementitious composites by comparing those with 2%–5% nanoparticles with a similar control sample without nanoparticles, as well as an analysis of cost growth. The experimental results showed an increase in bulk density of the material (4.7%–7.4%), reduction in large pore sizes by min. 12.5%, together with an increase in cumulative volume and cumulative specific surface area of small pore sizes, indicating densification of the material, also supported by SEM, EDS, and XRD analyses indicating acceleration of cement hydration processes with formation of specific products. The changes at microstructural level support the experimental results obtained at macrostructural level, i.e., modest but existent increases in flexural strength (0.6%–7.9%) and compressive strength (0.2%–2.6%) or more significant improvements in abrasion resistance (8.2%–58%) and reduction in water absorption coefficient (37.5%–81.3%). Following the cost–benefit analysis, it was concluded that, for the example case considered of a pedestrian pavement with a surface area of 100 m2, using 100 mm thick slabs, if these slabs were to be made with two layers, the lower layer made of cementitious composite as a reference and the upper layer with a thickness of 10 mm made of cementitious composite with 3% NT or 4% NT, the increase in cost would be acceptable, representing less than 15% compared to the cost for the exclusive use of cementitious composite without NT.

1. Introduction

There is a compelling global demand to build environmentally sustainable structures, underlining the importance of continued research to find innovative solutions to improve the performance of construction materials. A key area of focus in this context is cementitious composites. These materials are designed not only to enable the recycling and reuse of waste and industrial by-products [1,2,3,4,5] but also to offer superior performance characteristics. Although research into the incorporation of recycled aggregates into cementitious composites has progressed, the introduction of micro- and macro-structural changes using nanomaterials remains challenging and is characterised by several controversies and uncertainties. Various factors such as microbial contaminants, chemicals, allergens, or any mass or energy stressor have the potential to affect indoor air quality in any building and cause health problems [6,7,8]. Due to the demonstrated potential of photocatalytic oxidation as a highly promising technology for pollution control, interest in semiconductor photocatalysts has increased dramatically over the past decade [9,10,11]. Titanium dioxide, as a basic material, has demonstrated its effectiveness as a photocatalyst for environmental purification, with countries such as Japan testing its potential in paving materials to utilise the photocatalytic reaction to convert harmful air pollutants, such as NOx and VOCs in the presence of UV light, into less toxic forms (e.g., CO2 to NO) [8,9,12,13].
The prevailing research debate points to the deposition of external substances, both organic or inorganic pollutants, on surfaces as a widespread and influential factor leading to structural degradation [1,2,3,4,5]. Enhancing the performance of cementitious composites in such scenarios involves the introduction of TiO2 nanoparticles (NT) into the cementitious matrix [14,15,16,17]. When exposed to UV radiation, these nanoparticles induce superhydrophilicity, resulting in self-cleaning and self-sanitising properties on the surface [14,18]. Research suggests several approaches to exploit the benefits of NT in building materials, including surface application by spray drying/impregnation or incorporation into the mix during the preparation phase as a cement additive [14,19]. Nevertheless, more sustainable benefits are achieved by incorporating NT into the cementitious matrix during the preparation phase, leading to improved durability [20,21]. In this context, investigations show that the incorporation of NT into the cementitious matrix induces several changes at both macrostructural and microstructural levels. Despite its chemical inertness in contact with cement, studies suggest that the incorporation of NT into the cementitious composite matrix can, among other things, accelerate cement hydration and, potentially, increase the compressive strength of TiO2-modified mortar cubes [14,22,23,24]. These effects can be further explained by the role of NT as a nucleating agent, particularly in the early stages of the cement hydration process [14,25]. This promotes the formation of crystalline compounds, particularly calcium silicate hydrate (C-S-H), as demonstrated by analyses such as scanning electron microscopy (SEM) and energy dispersive spectroscopy (EDS) [26].
Figure 1 schematically shows the main specific characteristics and their interrelationship pursued in the construction field for cementitious composites and the benefits induced by the introduction of NT into these matrices. In this context it is necessary to make the observation that the amount of NT present on the surface, being photoactivated by UV radiation, will develop some specific characteristics of the surface (superhydrophilicity [1,13,14], self-cleaning [1,13,14,27,28,29] and antimicrobial [13,28] properties, and even the possibility of neutralizing some pollutants [1,13,27]) in the time that, NT trapped in the cement mass in the lower layers, to which UV radiation is not accessible, have initially, during the preparation of the composite and during its curing (the period of completion of the cement hydration reactions) [19,22,23,30], an impact at the rheological properties [31], microstructural compositional level [15,20,26] with consequences on the mechanical strength [19,32,33,34,35] and durability characteristics [21,24,36] and also remain as a ‘reservoir’ of NT available for photoactivation if the upper surface layer is removed due to the stresses of the material exposed under use. At first assessment, given that UV rays do not penetrate the cementitious material and, thus, function in terms of inducing superhydrophilicity [19,37], antimicrobial [37,38,39] and self-cleaning [16,35] characteristics would only belong to the NTs on the surface of the composites; research has shown that NTs included in the composite matrix, those not activated by UV incidence, also play their role in inducing improvements in physico–mechanical and durability properties. Furthermore, we should consider that these cementitious composites, by their intended use, are in some cases subject to erosion stresses. Whether it is, for example, erosion as a result of the action of environmental agents or erosion as a result of pedestrian traffic, etc., there is a loss of material from the surface of the construction product made of cementitious composite and dust containing both cementitious material and photoactivated NT. Therefore, if NT are included in the mass of the composites, even in the case of surface erosion, they will not lose their superhydrophilicity and self-healing and self-cleaning characteristics because the newly exposed surface, also containing NT, will have the capacity to develop these properties by photoactivation of this newly available NT deposition.
Figure 1. Schematic representation of the main specific characteristics, pursued in the field of construction, of cementitious composites and the benefits that the introduction of NT into these matrices could induce.
Incorporation of NT, even in moderate amounts (3%–10% by mass), from the initial composite stage, particularly in the anatase phase of TiO2, improves the cement hydration processes. This improvement involves a reduction in pore size, a reduction in the dimensions of unhydrated cement islands, a refinement of porosity uniformity, and a more uniform distribution of crystalline phases in the cementitious binder paste. At the same time, the formation of the C-S-H phase and ettringite crystalline phases is increased [15,36]. Studies have shown that the incorporation of as little as 3% NT (by mass) into the cementitious matrix results in remarkable differences compared to situations without NT. Facilitation takes place at the interface where the cement particles meet the water and where needle-shaped ettringite crystals (together with C-S-H crystals) are formed—a critical process for the bonding of the cement paste to the aggregates. This causes their morphology to change from thin and elongated needles to shorter and thicker rods [14,18,25,34,36,40]. Furthermore, the presence of NT creates additional regions conducive to the initiation and growth of crystalline phases in the C-S-H phase [30,31,32,33,34], while reducing the formation of calcium hydroxide hydrates (CH), leading to a significant reduction in their size. This occurrence contributes to the consolidation and reduction in the porous structure of the cementitious matrix, promoting an increase in the strength and resilience of cementitious composites. Research also suggests that the presence of NT leads to the formation of a compact C-S-H phase, characterised by the presence of small gel pores (nanometre size) and a reduced number of mesopores [14,20,40]. In addition, it is emphasised that this compaction of the cementitious composite matrix leads to improved durability through reduced water absorption, reduced permeability to CO2, etc. [14,18]. As a result, several examples of research indicate that the presence of NT improves the mechanical strength of cementitious composites. However, the reported results still show considerable variability, ranging from cases reporting marginal increases in compressive and flexural strength to significant increases of 75% in compressive strength and 40% in flexural strength under certain conditions [14,39]. Simultaneously with these accounts, ensuring a uniform dispersion of NT in the composite matrix and determining the optimum amount for each type of raw material are recognised as critical factors in improving composite performance [39]. However, underlining the complexity of integrating nanomaterials into cementitious composites, challenges remain in achieving a uniform dispersion of nanoparticles and determining the optimum amount for different raw materials [14].
Although similar research results have been reported in the literature to date, there is still some controversy. It is known that the performance of a cementitious composite is strongly influenced by the main raw material—cement (the characteristics of which vary mainly in terms of its properties) but also by the water–cement ratio, the nature and specific characteristics of the aggregates used, or the additives used. This research, thus, makes its contribution by providing new information that complements what already exists, thus making it possible to extend the possibilities of analysis and comparison with a view to developing future research.
The aim of this study was, therefore, to evaluate how the incorporation of TiO2 nanoparticles affects the physico–mechanical properties of cementitious composites produced using natural aggregates and conventional raw materials of Romanian local sources. The investigation aimed to understand the physico–mechanical and microstructural changes resulting from this incorporation and emphasised the importance of understanding how different percentages of added mass relative to the amount of cement affects the structural and physico–mechanical aspects of cementitious materials. Last, but not least, due to the fact that NT are still considered an expensive material, the study also addressed the issue of a cost analysis for an illustrative situation.

2. Materials and Methods

2.1. Raw Materials

The following raw materials were selected for the production of the cementitious composites: Portland cement CEM I 52.5 R (HOLCIM Romania, Aleșd, Bihor County, Romania), natural aggregates (NA) with granular class 0/4 mm and 4/8 mm, superplasticizer additive MasterEase 5009 (BASF, Ludwigshafen, Germany), and water. The characteristics of the raw materials were as follows:
-
CEM I 52.5 R Portland cement characterized by a content of min. 95% Portland clinker and a compressive strength at 28 days of minimum 52.5 N/mm2 and maximum 62.5 N/mm2;
-
MasterEase 5009 superplasticizer (BASF, Ludwigshafen, Germany)/strong water-reducing additive;
-
natural aggregates: characterized by tests regarding particle size distribution curve according to EN 933-1 [41], bulk density and intergranular porosity according to EN 1097-3 [42], and real mass and water absorption coefficient according to EN 1097-6 [43], as shown in Figure 2 and Table 1;
Figure 2. Graphical representation of the natural aggregate granulometric distribution.
Table 1. Characterisation of the natural aggregates that were used.
-
AEROXIDE® TiO2 P25 Degussa nanoparticles (Evonik Industries AG, Hanau, Germany), which, according to the manufacturer’s data sheet, are characterized by an average particle size of 21 nm, with a specific surface area of 35–65 m2/g and a purity of 99.5%, containing more than 70% anatase.

2.2. Fabrication of Cementitious Composites

The control sample (R1) was designed and prepared as a Portland cement-based mortar with a water/cement ratio = 0.6. Subsequently, formulations containing 2%, 3%, 4%, or 5% NT as an additive (mass percentages relative to the amount of cement) were designed and coded according to the amount of NT contained (R1-2NT, R1-3NT, R1-4NT, and R1-5NT, respectively), as shown in Table 2. Therefore, the parameter that changes is the NT content, resulting in a slight increase in the water content (from a water/cement ratio of 0.6 to a maximum water/cement ratio of 0.626) to maintain a constant workability. Throughout all the formulations, the cement quantity remained consistent and the superplasticizer dosage was set at 0.5%, expressed as mass percentages relative to the cement amount, in accordance with the relevant literature [6,7,8,9,10,11,12,44,45].
Table 2. Characterisation of cementitious composites with and without NT, in terms of raw materials used in preparation.
Relevant studies in the literature [19,46,47] show that NT present a higher water consumption aspect. To avoid compromising cement hydration–hydrolysis reactions due to water insufficiency resulting from NT absorption, adjustments were made to the water quantity. This was performed in such a way that the consistency parameter of the composite (EN 1015-3 [48]) remained constant and similar to that of the control sample. Specifically, the spreading diameter on the spreading table was within the range of 175 ± 10 mm (EN 1015-2 [49]). Under these conditions, for each percentage of NT added to the mix, an additional 1 g of water per 100 g of cement was required. This resulted in a change in the water/cement ratio from 0.6 in the control mix to 0.625 in the mix with the maximum NT content (R1-5NT). This has been performed to ensure that the workability remains constant, even when incorporating NT. In addition to the challenge of adjusting the optimal amount of water for preparation, another difficulty at this stage of the research was to ensure the homogeneous dispersion of the NTs in the cementitious matrix [14,18], given their known tendency to cluster and form deposits/islands. In addition to reducing the efficiency of the benefits induced by photoactivation, this clustering can potentially have a negative effect on the physico–mechanical characteristics of the composite, representing points of failure [7,8,9,17]. In this case, based on literature references [6,7,8,9,10,11,18,20,23,30,31], the chosen solution for incorporating NT was to pre-blend the raw materials in the dry phase, followed by mixing with water and the superplasticizer additive. Raw material dosing was carried out using a KERN FKB 36K 0.1 scale, with 0.1 g accuracy (KERN & SOHN GmbH, Ziegelei, 1, 72336 Balingen, Germany). Preparation of the cementitious composites involved mixing the dry raw materials with water and the superplasticizer additive MasterEase 5009 using an ELE paddle mixer (ELE International Ltd., Kiln Farm, Milton Keynes, MK11 3ER, UK).
For each mixture, a batch of samples was obtained by pouring the fresh composite into metal moulds measuring 40 × 40 × 160 mm and 70 × 70 × 70 mm, each consisting of three identical series of samples. After casting, the specimens were kept in the moulds for 24 h in a humid air chamber at a constant temperature of (20 ± 1) °C and a minimum relative humidity of 90%. They were then removed from the moulds and immersed in water at a temperature of (20 ± 2) °C until they reached maturity, 28 days after casting. The dimensions of the cured specimens were determined by direct measurement using an electronic calliper gauge with an accuracy of 0.01 mm and their mass was measured by weighing, using the same KERN FKB 36K 0.1 balance with an accuracy of 0.1 g.

2.3. Analysis of the Physico–Mechanical Properties of Cementitious Composites

The specimens were tested at the age of 28 days. For each type of cementitious composite, the following properties were determined and analysed: density in the hardened state, according to the standardized method of EN 1015-10 [50]; compressive and flexural strength, according to the standardized method described in EN 1015-11 [51], using an ADR Auto 250/25 compression and flexure testing machine with an accuracy of 0.01 kN (ELE International Ltd., Kiln Farm, Milton Keynes, MK11 3ER, UK); abrasion resistance (Bohme method), according to the standardized method described in EN 1338 [52]; and capillary water absorption, according to the standardized method described in EN 1015-18 [53].
The tests were carried out under laboratory conditions at 23 °C and 60% relative humidity, with the results for each indicator monitored and each composite expressed as the arithmetic mean of the individual values. For each test, samples were prepared according to the standards of the respective test method.

2.4. Analysis of the Microstructural and Chemical Characteristics of Cementitious Composites

In view of the specifications given in the relevant literature [20,22,36,40], where it is indicated that even small amounts of NT (3%–10% by mass) affect various features such as crystalline phase distribution and the formation of C-S-H and ettringite crystals (hydrous calcium aluminium sulfate mineral with formula Ca6Al2(SO4)3(OH)12·26H2O, which crystallizes in the trigonal system, forming prismatic, striated, acicular-growing crystals), the analysis in this research was carried out by means of SEM microscopy and EDS and XRD diffractions for the lowest possible value, that is, within the reported range, 3%. This is in line with the range documented in the literature, with a particular focus on confirming these effects at a crystalline phase level. It should be noted that the research methodology adopted in this case was to select the 3%NT sample for analysis because most often in the literature [35,54] this amount of NT is indicated as a variant that gives both good results in terms of the influences it has on the material characteristics and in terms of maintaining a reasonable cost.
The macrostructural analysis of the cementitious composites was first carried out without optical magnification equipment, visually examining the uniformity of the aggregate distribution in the cementitious binder matrix. Microscopic analysis was then carried out using a LEICA SAPO optical microscope (Leica Microsystems, GmbH, Wetzlar, Germany) to examine the distribution at the macroporosity level. Open porosity was analysed using a PASCAL 140 mercury porosimeter (Thermo Fisher Scientific S.pA. Milan, Italy).
A JEOL/JSM 5600—LV scanning electron microscope (JEOL Ltd., Tokyo, Japan) was used in secondary electron imaging (SEI) mode at 15 kV acceleration voltage to take SEM and EDS images. To improve the electrical conductivity for electron microscopy analysis, the samples were coated with gold by plasma sputtering as part of the preparation procedure.
The identification of phases in the samples was accomplished using X-ray diffraction (XRD) in the angular range of 2θ = 30–110°. An INEL Equinox 3000 diffractometer (Thermo Fisher Scientific S.pA. Milan, Italy) using Co Kα radiation (λ = 1.7903 Å) was used.

2.5. Theoretical Calculation of the Impact of Nanoparticles on Production Costs

For the theoretical analysis of the cost increase induced by the addition of NT in the composite matrix, the price of covering a pedestrian area with paving slabs was calculated, considering the following hypotheses:
-
Surface area covered by the slabs: 1 m2;
-
Dimensions of the slabs: 250 × 250 × 100 mm;
-
The prices of the raw materials used were considered as average prices in Romania, as of January 2024;
-
Labour costs and indirect costs were assumed to be constant for all production variations;
-
Material losses were assumed to be constant and negligible for all production variations;
-
The price per paving slab was derived from the cost of producing 1 m3 of composite;
-
5 variants of paving slabs were evaluated;
-
Variant I—manufactured entirely from the same cementitious composite mixture (Figure 3a), respectively, either totally made from the composition without NT (R1) or totally realized from the cementitious compositions with NT (R1-2NT-R1-5NT);
Figure 3. Graphical representation of the five slab composition options considered in the theoretical calculation of the addition of NT to the total production cost.
-
Variant II—manufactured from ¼ (25 mm) control mixture (R1) and ¾ (75 mm) from the composite with NT (R2-R5) (Figure 3b);
-
Variant III—manufactured from ½ (50 mm) control mixture (R1) and ½ (50 mm) from the composite with NT (R2-R5) (Figure 3c);
-
Variant IV—manufactured from ¾ (75 mm) control mixture (R1) and ¼ (25 mm) from the composite with NT (R2-R5) (Figure 3d);
-
Variant V—manufactured from 90 mm control mixture (R1) and 10 mm abrasion layer from the composite with NT (R2-R5) (Figure 3e).
Based on these working hypotheses, the percentage increase in the cost of paving 1 m2 of pedestrian area caused by the introduction of NT into the cementitious composition to improve the physico–mechanical and durability performance has been calculated as described by Equation (1):
Δ = P N T V P C P C × 100   ( % )
where P C represents the cost of covering 1 m2 of pedestrian surface with slabs made of R1 (control sample) and P N T V represents the cost of covering 1 m2 of pedestrian surface with slabs with bilayer structure; the bottom layer made of R1 reference composition and the top layer of NT composites (R1-2NT … 5NT) in the considered variants (I–V).

3. Results and Discussions

3.1. Structural Analysis of Cementitious Composites

Without the use of optical magnification, the visual inspection revealed a consistent dispersion of aggregates within the binder mass, as shown in Figure 4a. The microscopic examination, illustrated in Figure 4b, showcased the existence of pores in the control sample within the range of 0.40 to 0.90, with occasional pores larger than 0.90 mm in diameter. The binder consistently encapsulated the aggregate granules as shown in Figure 4b. Following the addition of NT nanoparticles, there was an observable reduction in pore size, averaging between 0.30 and 0.55 mm for the 2% NT samples, between 0.25 and 0.30 mm for the 3% NT samples, and between 0.35 and 0.60 mm for the 4% NT and 5% NT samples, as shown in Figure 5a–d.
Figure 4. Control sample analysis: (a) Macroscopical view; (b) Optical microscopy image (2× magnification).
Figure 5. Optical microscopy images of the cement composites with (a) 2% NT, (b) 3% NT, (c) 4% NT, and (d) 5% NT.

3.2. Analysis of the Physico–Mechanical Characteristics of Cementitious Composites

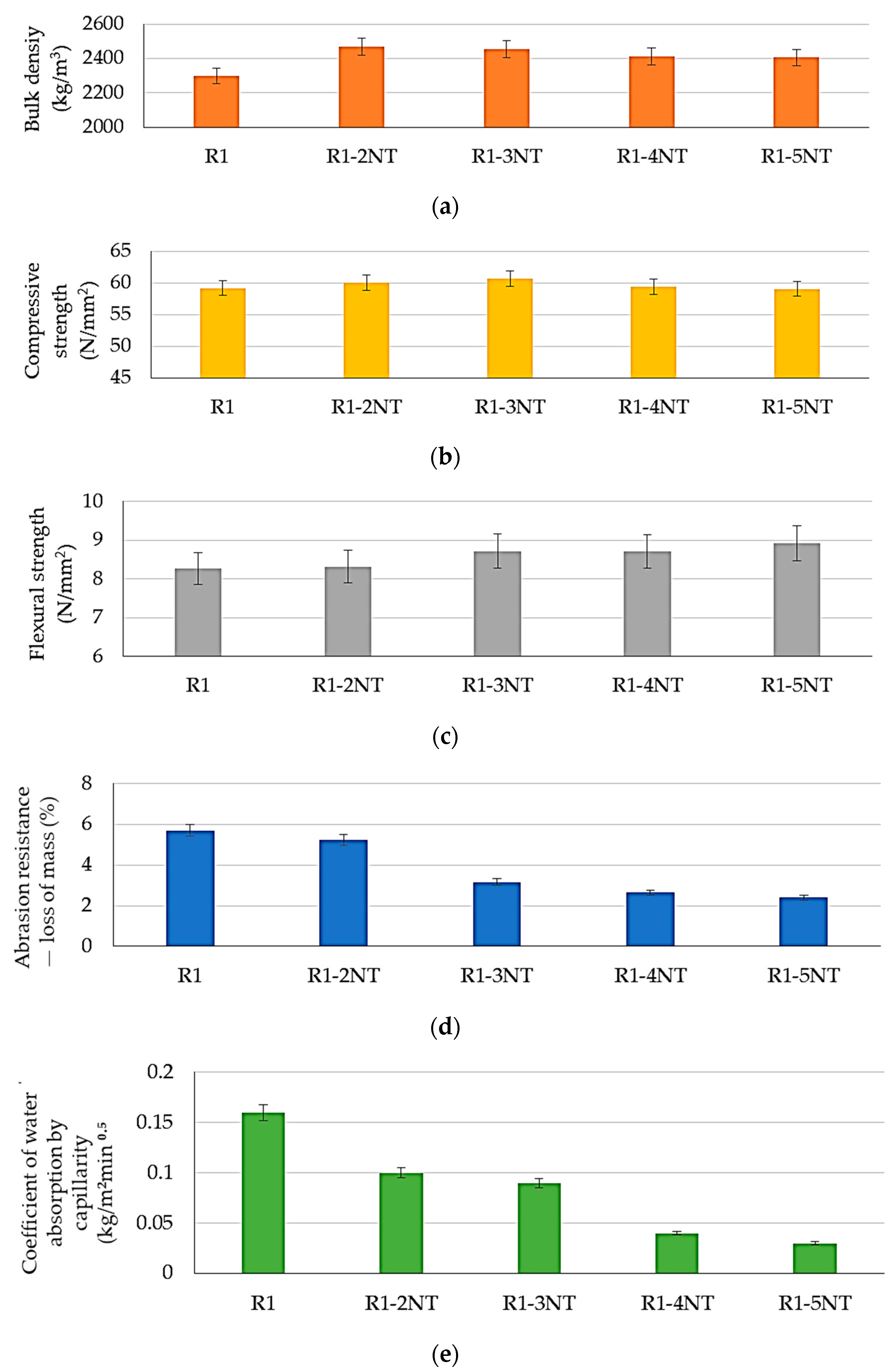
Regarding the apparent density of the composites in the cured state at 28 days after casting, as shown in Figure 6a, it can be observed that it increases with the addition of NT, indicating a densification of the mass, in agreement with similar reports in the scientific literature [35,36,55]. The increase in this parameter is significant, reaching 7.4% for 2% NT and 6.7% for 3% NT compared to the NT-free sample. For higher NT concentrations (4% and 5%), although there is an increase in density compared to the control sample, this increase is more moderate and remains below 5% compared to the control sample’s density. A possible explanation could be the challenge of distributing NT within the binder matrix, a problem that has been reported in the literature [13,14,31] to become more significant with increasing amounts of NT.
Figure 6. Graphic representation of changes in various parameters reflecting the physico–mechanical characteristics of cementitious composites: (a) bulk density, (b) compressive strength, (c) flexural strength, (d) abrasion resistance, and (e) water absorption by capillarity coefficient.
The compressive strength of the composites, shown in Figure 6b, exhibits a slight increase with the incorporation of NT, with the most notable improvement seen in the composite with 3% NT (2.6% compared to the control). Although recognized as an increasing trend in the literature [39,54,55,56,57,58], this behaviour is below that reported in other comparable studies. Similarly, flexural strength, shown in Figure 6c, is positively affected and the magnitude of the improvement increases with increasing amount of NT in the composite. For similar 3% NT (wt.%) content, other studies have reported flexural strength values of 2.7 N/mm2 [36], 3.62 N/mm2 [55], 2.8 N/mm2 [57], and 5.76 N/mm2 [58] for samples aged 28 days.
On the other hand, there is a marked improvement in abrasion resistance, as shown in Figure 6d. The reduction in mass loss due to abrasion is considerable and exceeds 40% compared to the control sample for the compositions containing 3%, 4%, and 5% NT. Similarly, in terms of water absorption by capillarity, as illustrated in Figure 6e, the cementitious composite shows improved properties with the introduction of NT. The quantification indicator, i.e., the capillary water absorption coefficient, shows a significant decrease ranging from 37% to 81% compared to the capillary water absorption coefficient of the control sample. This observed trend is consistent with other literature references [32,35,36,40,55] and suggests a correlation with the evolution of the apparent density, indicating a densification of the material.
In terms of open porosity, the outcomes suggest an impact on this parameter following the inclusion of NT. In general, the diameter of the open pores, both for the control sample (Figure 7b) and for the samples with NT, falls within the range of 4.12 μm to 65 μm. With the addition of 3% NT, a significant increase in the cumulative volume is observed, as shown in Figure 7a, specifically for pores of small dimensions (with a maximum diameter of 49 μm), with a simultaneous decrease in the cumulative volume of porosity for larger pores (with diameters ranging from 49 μm to 65 μm). Analysis of the cumulative pore specific surface area supports the finding that the addition of 3% NT results in an increase in the number of small pores. The graph shows a peak for the pore size range below 20 µm. It can also be seen that with the introduction of 3% NT (mass percentage relative to the amount of cement), the average pore diameter is reduced to about one third compared to the control sample (without NT) (from 31.19 μm to 10.70 μm). Meanwhile, the total volume of open porosity almost doubles and the specific surface area proportionally doubles.
Figure 7. Typical pore size distribution of the analysed samples: (a) cementitious composite with 3% NT (R1-3NT) and (b) control sample (R1).

3.3. Microstructural and Chemical Analysis of Cementitious Composites

Microscopic images of the control sample and the sample with 3% TiO2 NT addition after 28 days of maturation are shown in Figure 8. Both samples show characteristic hydration products such as plate-like structures (portlandite) and sheet-like structures (C-S-H). Figure 8b shows a structure that is more continuous and densely packed, indicating the presence of highly hydrated products that include CH crystals and C-S-H gels. The acceleration of the hydration process and the modification of the pozzolanic properties due to the incorporation of 3% TiO2 nanoparticles resulted in the presence of more hydration products in the microstructure of this sample (Figure 8c,d). As a result, these images show a microstructure that is more 337 compact and tightly bonded (the addition of TiO2 NT refines the microstructure, with the 338 nanoparticles acting as a filler within the matrix) and the ettringites irregularly distributed over the analysed area. Both samples underwent image analysis using MountainsSEM® Expert software (version: 10.1) and ImageJ Free software (Open-source software, version 1.8.0_172). The area analysed was 12,214.5 mm2, corresponding to the dimensions of the SEM images. In the case of the control sample (Figure 8e), the results show that 27% of the analysed area is covered by the sheet-like structure of C-S-H, 66% is represented by Portlandite, and the remaining 7% is composed of CH crystals. In contrast, for the 3% TiO2 NT sample (Figure 8f), the image analysis revealed a 46% coverage of C-S-H, 49% portlandite, 1% of the surface corresponding to ettringites, and only 4% CH crystals. Consequently, based on the image analysis, a significant decrease of 3% in CH crystals is observed for the 3% TiO2 NT samples.
Figure 8. SEM images of the control sample at magnifications of ×1000 (a) and ×2000 (b) and the sample containing 3% TiO2 NT at magnifications of ×1000 (c) and ×2000 (d) and image analysis using MountainsSEM® Expert software (version: 10.1) and ImageJ Free software (Open-source software, version 1.8.0_172) of the control sample (e) and the sample containing 3% TiO2 NT (f).
The comprehensive EDS elemental distribution maps (Figure 9b,d) show extensive and uniform dispersion of Al, Si, and Ca over the analysed area. In addition, the EDS mapping of the sample containing 3% TiO2 NT indicates areas of high dispersion of Ti throughout the analysed region, confirming the existence of regions of well-distributed TiO2 NT.
Figure 9. (a) SEM image of the control sample; (b) the elemental distribution maps of Al, Ca, Si, and Fe in the control sample; (c) SEM image of the sample containing 3% TiO2 NT; and (d) the elemental distribution maps of Al, Ca, Si, Fe, O, and Ti in the sample with a 3% addition of TiO2 NT.
Figure 10 presents the XRD patterns of the control sample (Figure 10a), the sample containing 3% TiO2 NT (Figure 10b), and TiO2 (Figure 10c). The results of both samples showed the presence of the primary peaks characteristic of ordinary Portland cement: Portlandite Ca(OH)2 (at 2θ = 21.05 and 40.11°), calcite (CaCO3) (at 2θ = 24.4°, 33.2°, and 34.1°), and aluminoferrite (Ca6Al4Fe2O15) (at 2θ = 28.7°, 37.8°, and 55.8°). Similarly, Figure 10c presents the anatase and rutile peaks of TiO2. For the anatase form, peaks were identified at 2θ = 29.7°, 43.3°, 45.6°, 56.8°, 63.7°, and 75°, while for the rutile, the identified peaks had values of 2θ = 32.2°, 42.8°, 49°, 64.5°, and 76.6°. It is worth noting that although the intensity of these peaks is relatively low, they are visible in the XRD patterns of the 3% TiO2 NT sample. This emphasises that there is no chemical interaction between the particles and the cement matrix, although the nanoparticles play a role in accelerating cement hydration.
Figure 10. XRD patterns of the (a) control sample, (b) the sample containing 3% TiO2 NT, and (c) TiO2.

3.4. Theoretical Calculation of the Impact of Nanoparticles on Production Costs

Figure 11 shows the effect that the use of nanoparticles would have on the cost of paving a 1 m2 area with 250 × 250 × 100 mm slabs in five variants, as described in Section 2.5. As seen in this figure, the apparent production of nanoparticle paving slabs for a 1 m2 area would be discouraged in terms of cost if these slabs were made 100% from the nanoparticle composite (Variant I). By changing the structure of the paving slab, namely, by making it from two intimately superimposed layers, the lower layer of cement composite without nanoparticles and the upper layer of composite with nanoparticles, this cost decreases. The cost reduction is significant as the cost of the nanoparticles used, even in small quantities, is 100 times higher than that of the cement [59,60,61,62,63,64]. However, this conclusion is the result of an analysis that could be considered insufficient. If the cost analysis also considers the improvement in the performance of the product, both in terms of mechanical strength and durability characteristics, the rationale for using nanoparticles is supported by the following:
Figure 11. Price increase compared to a slab made of 100% R1.
-
The increase in mechanical strength, namely, the compressive strength and the flexural strength of the material, was not spectacular but there was an improvement. For example, the compressive strength was improved by a maximum of 2.6% and the flexural strength by a maximum of 7.9% compared to the reference sample R1 (cementitious composite without NT);
-
In terms of abrasion resistance, a top layer produced using composites with NT would give an increase of between 8.2% and 58% compared to the reference sample R1 (cementitious composite without NT);
-
The water absorption coefficient would also improve from 37.5% to 81.3% compared to the reference sample R1 (cementitious composite without NT).
As seen from Figure 11, for the cases of paving slabs designed according to Figure 3, the increase in production cost, compared to the cost when using material without NT (R1), for the required cover of 1 m2 pedestrian pavement would be very high if the entire paving slab were made of material with NT, respectively, 68.3% (2% NT) and 175.9% (5% NT), Figure 3a. Therefore, this pavement product model is considered unfeasible in terms of cost–benefit balance. However, when evaluating the paving slab variants proposed in Figure 3b–e, in which the lower layer is made of cementitious composite without NT and only an upper layer is made of 2%–5% NT-composites, as expected, it can be seen that, as the thickness of the lower layer increases and that of the upper layer decreases, the cost decreases and, therefore, the cost increase compared to the case of using material without NT (R1) is also significantly reduced. These cost variations are strongly influenced by the amount of NT used. The main reason for this change is the cost price of NT, the most expensive of all raw materials used (100 times more expensive than cement). With all these cost increases, looking at the cost–benefit balance, one can arrive at a paving slab model designed so that ¾ of the height (Figure 3d) or with a 10 mm thick surface course (Figure 3e) is feasible from the point of view of price increase if it is related to the increase in durability obtained as a result of increased physico–mechanical strengths, in particular, wear resistance, increased resistance to the action of environmental factors as a result of densification, compaction of the material, and reduced water absorption. Taking all this information into account, considering that the product is improving and becoming more expensive, it can be said that paving slabs made with a 90 mm thick bottom layer of composite without NT and a 10 mm thick top layer of composite with 3% NT or 4% NT would be the best options. This selection is based on the following: the increase in cost would be less than 15% (10.3% and 13.9%) compared to the cost of using the material without NT; the increase in wear resistance, expressed as mass loss, would be more than 40% (44.7% and 53.8%); durability through increased resistance to environmental agents, in particular water, expressed as water absorption coefficient would be over 40% (43.8% and 75%), the material would become denser by 6.7% and 4.9%, respectively, and a top layer thickness of 10 mm would be sufficient to provide the required top layer with enhanced properties throughout the lifetime of the product. At this stage of the analysis, it should be noted that this cost analysis is only an example of a cost–benefit assessment. Depending on the intended field of use, the degree of exploitation (e.g., paving slabs for use in heavy-, medium-, or low-traffic areas, exposed to climate conditions with frequent rain, strong winds, repeated and intense freeze–thaw cycles, etc.), the thickness of this top layer made of cementitious composite with NT can be reduced or increased so as to ensure its existence and functionality throughout the lifetime of the product. The cost, therefore, increases or decreases but the performance-enhancing benefits are retained. Therefore, on a case-by-case basis, in practice, the thickness of the top layer should be assessed to achieve the best cost–benefit ratio.
Therefore, the benefits obtained by improving these material properties should significantly extend the life of the product. Considering also the environmental benefits mentioned in the literature [19,64,65,66,67,68], it can be concluded that the cost increases are motivated and supported.

4. Conclusions

The aim of this study was to investigate how the incorporation of TiO2 nanoparticles affects the physico–mechanical properties of a cement composite made from natural aggregates and conventional raw materials and to examine the resulting microstructural changes. The results of the experimental research showed:
-
Visual inspection and microscopic analysis revealed a consistent aggregate dispersion and reduction in pore size with the addition of NT nanoparticles, indicating improved microstructural properties;
-
SEM analysis reveals distinct hydration products, showing a denser microstructure in the TiO2 NT sample. XRD patterns confirm the presence of ordinary Portland cement peaks in both samples, affirming the role of TiO2 NT in accelerating hydration without chemical interaction with the cement matrix. Elemental distribution maps of Ti in the sample with an addition of 3% TiO2 NT indicate good dispersion of NT in the composite matrix, with no nanoparticle agglomeration zone inducing low strength points of the material;
-
Increase in bulk density of the hardened material by (4.7%–7.4%) but this increase is not in a direct relationship with the NT content, the maximum being recorded for the 2% NT sample;
-
Slight increases in compressive strength (maximum of 2.6% compared to the control for the 3% NT sample) and flexural strength (maximum of 7.9% compared to the control for the 5% NT sample), without, however, identifying a direct mathematical relationship between improved properties and NT content;
-
Significant increases in abrasion resistance, indicated by reduction in mass loss even by more than 40% compared to the control, for the 3%, 4%, and 5% NT samples;
-
Significant reductions in capillary water absorbtion, even by more than 40% compared to the control, for the 3%, 4%, and 5% NT samples.
From a cost point of view, the illustrative calculation for covering a surface with 100 mm thick slabs showed that the durability benefits of using cementitious composites with NT can be maintained with a cost increase of less than 15%, if the slabs are manufactured in two layers: the lower layer of cementitious composite without NT and the upper layer of cementitious composite with 3% or 4% NT (mass percentage, relative to cement). The thickness of 10 mm designed for the upper layer is considered to be sufficient for the example analysed, for the whole lifetime of the product, but it is noted that, depending on the area and intensity of the exploitation.
On the other hand, it is considered that this research can open a new research direction in terms of assessing the research possibilities in relation to the increased need for implementing the concept of circular economy. Thus, although NT incorporated in the cementitious matrix cannot be recovered and recycled at the end of the product’s life, it is identified as an interesting research direction to evaluate the characteristics of an aggregate resulting from the crushing of initial products made of cementitious composites with NT, the influences that the use of this aggregate would induce on the characteristics of newly prepared cementitious composites, and the preservation, partial preservation, or total loss of self-cleaning and self-cleaning capacity of these new cementitious composites which will contain, to a certain extent, NT from recycled aggregate.

Author Contributions

Conceptualization, C.T.F., H.V., T.G., C.C. and A.H.; methodology, C.T.F., H.V., G.T., B.V.N., T.G., C.C., A.H. and A.C.; validation, H.V. and C.C.; formal analysis, H.V., G.T., B.V.N., T.G., C.C., A.H. and A.C.; investigation, C.T.F., G.T., B.V.N., A.H. and A.C.; resources, H.V. and T.G.; data curation, C.T.F., H.V., G.T., B.V.N., T.G., C.C., A.H. and A.C.; writing—original draft preparation, C.T.F., A.H. and A.C.; writing—H.V., G.T., B.V.N., T.G. and C.C.; visualization, H.V. and C.C.; supervision, H.V. All authors have read and agreed to the published version of the manuscript.

Funding

This research received no external funding.

Institutional Review Board Statement

Not applicable.

Data Availability Statement

Data are contained within the article.

Conflicts of Interest

The authors declare no conflicts of interest.

References

  1. Graziani, L.; Quagliarini, E.; Bondioli, F.; D’Orazio, M. Durability of self-cleaning TiO2 coatings on fired clay brick façades: Effects of UV exposure and wet & dry cycles. Build. Environ. 2014, 71, 193–203. [Google Scholar] [CrossRef]
  2. Cucek, L.; Klemes, J.J.; Kravanja, Z. A review of footprint analysis tools for monitoring impacts on sustainability. J. Clean. Prod. 2012, 34, 9–20. [Google Scholar] [CrossRef]
  3. Chiarini, A. Designing an environmental sustainable supply chain through ISO 14001 standard. Manag. Environ. Qual. Int. J. 2012, 24, 16–33. [Google Scholar] [CrossRef]
  4. Chiarini, A. Strategies for developing an environmentally sustainable supply chain: Differences between manufacturing and service sectors. Bus. Strat. Environ. 2014, 23, 493–504. [Google Scholar] [CrossRef]
  5. Lazarescu, A.; Mircea, C.; Szilagyi, H.; Baera, C. Mechanical properties of alkali activated geopolymer paste using different Romanian fly ash sources–experimental results. MATEC Web Conf. 2019, 289, 11001. [Google Scholar] [CrossRef]
  6. Spengler, J.D.; Samet, J.M.; McCarthy, J.F. Indoor Air Quality Handbook; McGraw-Hill Education: New York, NY, USA, 2000. [Google Scholar]
  7. Li, W.M.; Lee, S.C.; Chan, L.Y. Indoor air quality at nine shopping malls in Hong Kong. Sci. Total Environ. 2001, 273, 27–40. [Google Scholar] [CrossRef]
  8. Awadalla, A.; Zain, M.M.; Kadhum, A.A.H.; Abdalla, Z. Titanium dioxide as photocatalyses to create self-cleaning concrete and improve indoor air quality. Int. J. Phys. Sci. 2011, 6, 6767–6774. [Google Scholar] [CrossRef]
  9. Poon, C.S.; Cheung, E. NO removal efficiency of photocatalytic paving blocks prepared with recycled materials. Constr. Build. Mater. 2007, 21, 1746–1753. [Google Scholar] [CrossRef]
  10. Jimmy, C.Y.; Yu, J.; Zhao, J. Enhanced photocatalytic activity of mesoporous and ordinary TiO2 thin films by sulfuric acid treatment. Appl. Catal. B Environ. 2002, 36, 31–43. [Google Scholar] [CrossRef]
  11. Magalhaes, P.; Andrade, L.; Nunes, O.C.; Mendes, A. Titanium dioxide photocatalysis: Fundamentals and application on photoinactivation. Rev. Adv. Mater. Sci. 2017, 51, 91–129. [Google Scholar]
  12. Beeldens, A. An environmental friendly solution for air purification and self-cleaning effect: The application of TiO2 as photocatalyst in concrete. In Proceedings of the Transport Research Arena Europe—TRA, Gothenburg, Sweden, 12–15 June 2006; pp. 1–9. [Google Scholar]
  13. Hamidi, F.; Aslani, F. TiO2-based photocatalytic cementitious composites: Materials, properties, influential parameters, and assessment techniques. Nanomaterials 2019, 9, 1444. [Google Scholar] [CrossRef]
  14. Janczarek, M.; Klapiszewski, Ł.; Jędrzejczak, P.; Klapiszewska, I.; Ślosarczyk, A.; Jesionowski, T. Progress of functionalized TiO2-based nanomaterials in the construction industry: A comprehensive review. Chem. Eng. J. 2022, 430, 132062. [Google Scholar] [CrossRef]
  15. Jayapalan, A.R.; Lee, B.Y.; Kurtis, K.E. Can nanotechnology be ‘green’? Comparing efficacy of nano and microparticles in cementitious materials. Cem. Concr. Compos. 2013, 36, 16–24. [Google Scholar] [CrossRef]
  16. Zailan, S.N.; Mahmed, N.; Al Bakri Abdullah, M.M.; Sandu, A.V. Self-cleaning geopolymer concrete—A review. IOP Conf. Ser. Mater. Sci. Eng. 2016, 133, 012026. [Google Scholar] [CrossRef]
  17. Sandu, A.V. Obtaining and Characterization of New Materials. Materials 2021, 14, 6606. [Google Scholar] [CrossRef] [PubMed]
  18. Guo, M.Z.; Maury-Ramirez, A.; Poon, C.S. Photocatalytic activities of titanium dioxide incorporated architectural mortars: Effects of weathering and activation light. Build. Environ. 2015, 94, 395–402. [Google Scholar] [CrossRef]
  19. Li, Z.; Ding, S.; Yu, X.; Han, B.; Ou, J. Multifunctional cementitious composites modified with nano titanium dioxide: A review. Compos. Part A Appl. Sci. Manuf. 2018, 111, 115–137. [Google Scholar] [CrossRef]
  20. Cerro-Prada, E.; García-Salgado, S.; Quijano, M.Á.; Varela, F. Controlled synthesis and microstructural properties of sol-gel TiO2 nanoparticles for photocatalytic cement composites. Nanomaterials 2019, 9, 26. [Google Scholar] [CrossRef]
  21. Li, G.; Ding, Y.; Gao, T.; Qin, Y.; Lv, Y.; Wang, K. Chloride resistance of concrete containing nanoparticle-modified polymer cementitious coatings. Constr. Build. Mater. 2021, 299, 123736. [Google Scholar] [CrossRef]
  22. Jayapalan, A.R.; Lee, B.Y.; Fredrich, S.M.; Kurtis, K.E. Influence of additions of anatase TiO2 nanoparticles on early-age properties of cement-based materials. Transp. Res. Rec. 2010, 2141, 41–46. [Google Scholar] [CrossRef]
  23. Lackhoff, M.; Prieto, X.; Nestle, N.; Dehn, F.; Niessner, R. Photocatalytic activity of semiconductor-modified cement—Influence of semiconductor type and cement ageing. Appl. Catal. B Environ. 2003, 43, 205–216. [Google Scholar] [CrossRef]
  24. Nazari, A.; Riahi, S. The effect of TiO2 nanoparticles on water permeability and thermal and mechanical properties of high strength self-compacting concrete. Mater. Sci. Eng. A 2010, 528, 756–763. [Google Scholar] [CrossRef]
  25. Calvo, J.G.; Carballosa, P.; Castillo, A.; Revuelta, D.; Gutiérrez, J.P.; Castellote, M. Expansive concretes with photocatalytic activity for pavements: Enhanced performance and modifications of the expansive hydrates composition. Constr. Build. Mater. 2019, 218, 394–403. [Google Scholar] [CrossRef]
  26. Cerro-Prada, E.; Manso, M.; Torres, V.; Soriano, J. Microstructural and photocatalytic characterization of cement-paste sol-gel synthesized titanium dioxide. Front. Struct. Civ. Eng. 2016, 10, 189–197. [Google Scholar] [CrossRef]
  27. Cassar, L. Photocatalysis of cementitious materials: Clean buildings and clean air. MRS Bull. 2004, 29, 328–331. [Google Scholar] [CrossRef]
  28. Irie, H.; Sunada, K.; Hashimoto, K. Recent developments in TiO2 photocatalysis: Novel applications to interior ecology materials and energy saving systems. Electrochemistry 2004, 72, 807–812. [Google Scholar] [CrossRef]
  29. Iurcovschi, T.C.; Vasilache, V.; Sandu, I.; Zaharia, M.; Pintilie, O.; Sandu, A.V. New Ecological Solutions Involved in the Cleaning of a 19th Century Icon. Appl. Sci. 2020, 10, 1175. [Google Scholar] [CrossRef]
  30. Chen, J.; Kou, S.-C.; Poon, C.-S. Hydration and properties of nano-TiO2 blended cement composites. Cem. Concr. Compos. 2012, 34, 642–649. [Google Scholar] [CrossRef]
  31. Senff, L.; Hotza, D.; Lucas, S.; Ferreira, V.M.; Labrincha, J.A. Effect of nano-SiO2 and nano-TiO2 addition on the rheological behavior and the hardened properties of cement mortars. Mater. Sci. Eng. A 2012, 532, 354–361. [Google Scholar] [CrossRef]
  32. Essawy, A.A.; Aleem, S.A.E. Physico-mechanical properties, potent adsorptive and photocatalytic efficacies of sulfate resisting cement blends containing micro silica and nano-TiO2. Constr. Build. Mater. 2014, 52, 1–8. [Google Scholar] [CrossRef]
  33. Ren, J.; Lai, Y.; Gao, J. Exploring the influence of SiO2 and TiO2 nanoparticles on the mechanical properties of concrete. Constr. Build. Mater. 2018, 175, 277–285. [Google Scholar] [CrossRef]
  34. Liu, M.; Xiao, H.; Liu, J. Dispersion characteristics of various contents of nano-TiO2 and its effect on the properties of cement-based composite. Struct. Concr. 2018, 19, 1301–1308. [Google Scholar] [CrossRef]
  35. Döndüren, M.S.; Al-Hagri, M.G. A review of the effect and optimization of use of nano-TiO2 in cementitious composites. Res. Eng. Struct. Mater. 2022, 8, 283–305. [Google Scholar] [CrossRef]
  36. Ma, B.; Li, H.; Mei, J.; Li, X.; Chen, F. Effects of nano-TiO2 on the toughness and durability of cement-based material. Adv. Mater. Sci. Eng. 2015, 2015, 583106. [Google Scholar] [CrossRef]
  37. Hegyi, A.; Szilagyi, H.; Grebenișan, E.; Sandu, A.V.; Lăzărescu, A.-V.; Romila, C. Influence of TiO2 Nanoparticles Addition on the Hydrophilicity of Cementitious Composites Surfaces. Appl. Sci. 2020, 10, 4501. [Google Scholar] [CrossRef]
  38. Lee, B.Y.; Jayapalan, A.R.; Kurtis, K.E. Effects of nano-TiO2 on properties of cement-based materials. Mag. Concr. Res. 2013, 65, 1293–1302. [Google Scholar] [CrossRef]
  39. Hohol, M.; Sanytsky, M.; Kropyvnytska, T.; Barylyak, A.; Bobitski, Y. The effect of sulfur- and carbon-codoped TiO2 nanocomposite on the photocatalytic and mechanical properties of cement mortars. Eastern-European. J. Enterp. Technol. 2020, 4, 6–14. [Google Scholar] [CrossRef]
  40. Li, H.; Xiao, H.G.; Yuan, J.; Ou, J. Microstructure of cement mortar with nano-particles. Compos. Part B Eng. 2004, 35, 185–189. [Google Scholar] [CrossRef]
  41. SR EN 933-1:2012; Tests for Geometrical Properties of Aggregates—Part 1: Determination of Particle Size Distribution—Sieving Method. ASRO: Bucharest, Romania, 2012. (In Romanian)
  42. SR EN 1097-3:2002; Tests for Mechanical and Physical Properties of Aggregates Determination of Loose Bulk Density and Voids. ASRO: Bucharest, Romania, 2003. (In Romanian)
  43. SR EN 1097-6:2022; Tests for Mechanical and Physical Properties of Aggregates—Part 6: Determination of Particle Density and Water Absorption. ASRO: Bucharest, Romania, 2022. (In Romanian)
  44. Banerjee, S.; Dionysiou, D.D.; Pillai, S.C. Self-cleaning applications of TiO2 by photo-induced hydrophilicity and photocatalysis. Appl. Catal. B Environ. 2015, 176, 396–428. [Google Scholar] [CrossRef]
  45. Yu, X.; Kang, S.; Long, X. Compressive strength of concrete reinforced by TiO2 nanoparticles. AIP Conf. Proc. 2018, 2036, 030006. [Google Scholar] [CrossRef]
  46. Sun, J.; Tian, L.; Yu, Z.; Zhang, Y.; Li, C.; Hou, G.; Shen, X. Studies on the size effects of nano-TiO2 on Portland cement hydration with different water to solid ratios. Constr. Build. Mater. 2020, 259, 120390. [Google Scholar] [CrossRef]
  47. Naganna, S.R.; Jayakesh, K.; Anand, V.R. Nano-TiO2 particles: A photocatalytic admixture to amp up the performance efficiency of cementitious composites. Sādhanā 2020, 45, 280. [Google Scholar] [CrossRef]
  48. SR EN 1015-3:2001; Methods of Test for Mortar for Masonry—Part 3: Determination of Consistence of Fresh Mortar (by Flow Table). ASRO: Bucharest, Romania, 2001. (In Romanian)
  49. SR EN 1015-2:2001; Methods of Test for Mortar for Masonry—Part 2: Bulk Sampling of Mortars and Preparation of Test Mortars. ASRO: Bucharest, Romania, 2001. (In Romanian)
  50. SR EN 1015-10:2002; Methods of Test for Mortar for Masonry—Part 10: Determination of Dry Bulk Density of Hardened Mortar. ASRO: Bucharest, Romania, 2001. (In Romanian)
  51. SR EN 1015-11:2020; Methods of Test for Mortar for Masonry—Part 11: Determination of Flexural and Compressive Strength of Hardened Mortar. ASRO: Bucharest, Romania, 2020. (In Romanian)
  52. SR EN 1338:2004; Concrete Paving Blocks—Requirements and Test Methods. ASRO: Bucharest, Romania, 2004. (In Romanian)
  53. SR EN 1015-18:2003; Methods of Test for Mortar for Masonry—Part 18: Determination of Water Absorption Coefficient due to Capillary Action of Hardened Mortar. ASRO: Bucharest, Romania, 2003. (In Romanian)
  54. Ng, D.S.; Paul, S.C.; Anggraini, V.; Kong, S.Y.; Qureshi, T.S.; Rodriguez, C.R.; Liu, Q.-F.; Šavija, B. Influence of SiO2, TiO2 and Fe2O3 nanoparticles on the properties of fly ash blended cement mortars. Constr. Build. Mater. 2020, 258, 119627. [Google Scholar] [CrossRef]
  55. Li, Z.; Han, B.; Yu, X.; Dong, S.; Zhang, L.; Dong, X.; Ou, J. Effect of nano-titanium dioxide on mechanical and electrical properties and microstructure of reactive powder concrete. Mater. Res. Express 2017, 4, 095008. [Google Scholar] [CrossRef]
  56. Zailan, S.N.; Mahmed, N.; Abdullah MM, A.B.; Sandu, A.V.; Shahedan, N.F. Review on characterization and mechanical performance of self-cleaning concrete. MATEC Web Conf. 2017, 97, 01022. [Google Scholar] [CrossRef]
  57. Rahim, A.; Nair, S.R. Influence of nano-materials in high strength concrete. J. Chem. Pharm. Sci 2016, 974, 15–21. [Google Scholar] [CrossRef]
  58. Han, B.; Li, Z.; Zhang, L.; Zeng, S.; Yu, X.; Han, B.; Ou, J. Reactive powder concrete reinforced with nano SiO2-coated TiO2. Constr. Build. Mater. 2017, 148, 104–112. [Google Scholar] [CrossRef]
  59. Reches, Y. Nanoparticles as concrete additives: Review and perspectives. Constr. Build. Mater. 2018, 175, 483–495. [Google Scholar] [CrossRef]
  60. Safiuddin, M.; Gonzalez, M.; Cao, J.; Tighe, S.L. State-of-the-art report on use of nano-materials in concrete. Int. J. Pavement Eng. 2014, 15, 940–949. [Google Scholar] [CrossRef]
  61. Batrancea, L.M.; Rathnaswamy, M.M.; Rus, M.I.; Tulai, H. Determinants of economic growth for the last half of century: A panel data analysis on 50 countries. J. Knowl. Econ. 2023, 14, 2578–2602. [Google Scholar] [CrossRef]
  62. Li, H.; Zhang, M.H.; Ou, J.P. Abrasion resistance of concrete containing nano-particles for pavement. Wear 2006, 260, 1262–1266. [Google Scholar] [CrossRef]
  63. Saad, S.R.; Mahmed, N.; Abdullah, M.M.A.B.; Sandu, A.V. Self-cleaning technology in fabric: A review. IOP Conf. Ser. Mater. Sci. Eng. 2016, 133, 012028. [Google Scholar] [CrossRef]
  64. Guerrini, G.L.; Peccati, E. Photocatalytic cementitious roads for de-pollution. In Proceedings of the Symposium on Photocatalysis Environment and Construction Materials, Florence, Italy, 8–9 October 2007; RILEM International: Paris, France, 2007; pp. 179–186. [Google Scholar]
  65. Li, H.; Zhang, M.H.; Ou, J.P. Flexural fatigue performance of concrete containing nano-particles for pavement. Int. J. Fatigue 2007, 29, 1292–1301. [Google Scholar] [CrossRef]
  66. Boonen, E.; Beeldens, A. Recent photocatalytic applications for air purification in Belgium. Coatings 2014, 4, 553–573. [Google Scholar] [CrossRef]
  67. Lee, J.; Mahendra, S.; Alvarez, P.J. Nanomaterials in the construction industry: A review of their applications and environmental health and safety considerations. ACS Nano 2010, 4, 3580–3590. [Google Scholar] [CrossRef]
  68. Guo, M.Z.; Maury-Ramirez, A.; Poon, C.S. Self-cleaning ability of titanium dioxide clear paint coated architectural mortar and its potential in field application. J. Clean. Prod. 2016, 112, 3583–3588. [Google Scholar] [CrossRef]
Disclaimer/Publisher’s Note: The statements, opinions and data contained in all publications are solely those of the individual author(s) and contributor(s) and not of MDPI and/or the editor(s). MDPI and/or the editor(s) disclaim responsibility for any injury to people or property resulting from any ideas, methods, instructions or products referred to in the content.

Article Metrics

Citations

Article Access Statistics

Multiple requests from the same IP address are counted as one view.