Influence of Chitosan/Lycopene on Myoglobin and Meat Quality of Beef During Storage
Abstract
1. Introduction
2. Materials and Methods
2.1. Materials and Chemicals
2.2. Sample Preparation, Treatment, and Storage
2.3. Color Measurement
2.4. Relative Content of Different Mb Forms
2.5. Determination of Thiobarbituric Acid-Reactive Substances (TBARS)
2.6. Protein Oxidation Assays
2.6.1. Preparation of Myofibrillar Protein
2.6.2. Determination of Carbonyl Content
2.6.3. Sulfhydryl Content
2.7. Microbial Count
2.8. Cooking Loss Determination
2.9. Sensory Evaluation
2.10. Statistical Analysis
3. Results
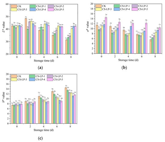
3.1. Color of Beef Samples During Storage
3.2. Changes in Relative Content of Different Mb Forms During Storage
3.3. Lipid Oxidation and Protein Oxidation of Beef Samples During Storage
3.4. Changes in Microbial Counts and Cooking Loss During Storage
3.5. Changes in Sensory Evaluation Scores During Storage
3.6. Correlation Analysis of Various Indicators
4. Discussion
5. Conclusions
Author Contributions
Funding
Institutional Review Board Statement
Informed Consent Statement
Data Availability Statement
Acknowledgments
Conflicts of Interest
References
- Li, C.; Bassey, A.; Zhou, G. Molecular changes of meat proteins during processing and their impact on quality and nutritional values. Annu. Rev. Food Sci. Technol. 2023, 14, 85–111. [Google Scholar] [CrossRef] [PubMed]
- Suman, S.P.; Joseph, P. Myoglobin chemistry and meat color. Annu. Rev. Food Sci. Technol. 2013, 4, 79–99. [Google Scholar] [CrossRef] [PubMed]
- Jiang, J.J.; Xia, M.Q.; Gong, H.H.; Ma, J.; Sun, W.Q. Effect of magnetic field modification on oxidative stability of myoglobin in sarcoplasm systems. Food Chem. 2024, 436, 137691. [Google Scholar] [CrossRef] [PubMed]
- Postnikova, G.B.; Shekhovtsova, E.A. Myoglobin: Oxygen depot or oxygen transporter to mitochondria? A novel mechanism of myoglobin deoxygenation in cells. Biochemistry 2018, 83, 168–183. [Google Scholar] [CrossRef]
- Pujol, A.; Ospina-E, J.C.; Alvarez, H.; Muoz, D.A. Myoglobin content and oxidative status to understand meat products’color: Phenomenological based model. J. Food Eng. 2023, 348, 111439. [Google Scholar] [CrossRef]
- Su, L.Y.; Zhao, Z.R.; Xia, J.L.; Xia, J.; Nian, Y.Q.; Shan, K.; Zhao, D.; He, H.; Li, C.B. Protecting meat color: The interplay of betanin red and myoglobin through antioxidation and coloration. Food Chem. 2024, 442, 138410. [Google Scholar] [CrossRef]
- Li, S.; Guo, X.; Shen, Y.; Pan, J.; Dong, X. Effects of oxygen concentrations in modified atmosphere packaging on pork quality and protein oxidation. Meat Sci. 2022, 189, 108826. [Google Scholar] [CrossRef]
- Strydom, P.E.; Hope-Jones, M. Evaluation of three vacuum packaging methods for retail beef loin cuts. Meat Sci. 2014, 98, 689–694. [Google Scholar] [CrossRef]
- Ahmed, I.; Lin, H.; Zou, L.; Brody, A.L.; Li, Z.; Qazi, I.M.; Pavase, T.R.; Lv, L. A comprehensive review on the application of active packaging technologies to muscle foods. Food Control 2017, 82, 163–178. [Google Scholar] [CrossRef]
- Bak, K.H.; Bolumar, T.; Karlsson, A.H.; Lindahl, G.; Orlien, V. Effect of high pressure treatment on the color of fresh and processed meats: A review. Crit. Rev. Food Sci. Nutr. 2019, 59, 228–252. [Google Scholar] [CrossRef]
- Zhang, X.; Zhang, M.; Xu, B.; Mujumdar, A.S.; Guo, Z. Improving the preservation of fresh foods during postharvest handling, storage, and ransportation. Compr. Rev. Food Sci. Food Saf. 2022, 21, 106–126. [Google Scholar] [CrossRef] [PubMed]
- Nasiru, M.M.; Frimpong, E.B.; Muhammad, U.; Qian, J.; Mustapha, A.T.; Yan, W.J.; Zhuang, H.; Zhang, J.H. Dielectric barrier discharge cold atmospheric plasma: Influence of processing parameters on microbial inactivation in meat and meat products. Compr. Rev. Food Sci. Food Saf. 2021, 20, 2626–2659. [Google Scholar] [CrossRef] [PubMed]
- Petit, G.; Jury, V.; Lamballerie, M.; Duranton, F.; Pottier, L.; Martin, J.L. Salt intake from processed meat products: Benefits, risks and evolving practices. Compr. Rev. Food Sci. Food Saf. 2019, 18, 453–1473. [Google Scholar] [CrossRef] [PubMed]
- Tang, T.; Zhang, M.; Law, C.L.; Mujumdar, A. Novel strategies for controlling nitrite content in prepared dishes: Current status, potential benefits, limitations and future challenges. Food Res. Int. 2023, 170, 112984. [Google Scholar] [CrossRef]
- Belskie, K.M.; Buiten, C.B.V.; Ramanathan, R.; Mancini, R.A. Reverse electron transport effects on NADH formation and metmyoglobin reduction. Meat Sci. 2015, 105, 89–92. [Google Scholar] [CrossRef]
- Granit, R.; Angel, S.; Akiri, B.; Holzer, Z.; Aharoni, Y.; Orlov, A.; Kanner, J. Effects of vitamin E supplementation on lipid peroxidation and color retention of salted calf muscle from a diet rich in polyunsaturated fatty acids. J. Agric. Food Chem. 2001, 49, 5951–5956. [Google Scholar] [CrossRef]
- Ramanathan, R.; Mancini, R.A.; Joseph, P.; Shuang, Y.; Tatiyaborworntham, N.; Petersson, K.H.; Sun, Q.; Konda, M.R. Effects of lactate on ground lamb colour stability and mitochondria-mediated metmyoglobin reduction. Food Chem. 2011, 126, 166–171. [Google Scholar] [CrossRef]
- Papuc, C.; Goran, G.V.; Predescu, C.N.; Nicorescu, V.; Stefan, G. Plant polyphenols as antioxidant and antibacterial agents for shelf-life extension of meat and meat products: Classification, structures, sources, and action mechanisms. Compr. Rev. Food Sci. Food Saf. 2017, 16, 1243–1268. [Google Scholar] [CrossRef]
- Li, Z.; Yu, F. Recent advances in lycopene for food preservation and shelf-life extension. Foods 2023, 12, 3121. [Google Scholar] [CrossRef]
- Bacanli, M.; Basaran, N.; Basaran, A.A. Lycopene: Is it beneficial to human health as an antioxidant? Turk. J. Pharm. Sci. 2017, 14, 311–318. [Google Scholar] [CrossRef]
- Przybylska, S. Lycopene-A bioactive carotenoid offering multiple health benefits: A review. Int. J. Food Sci. Technol. 2020, 55, 11–32. [Google Scholar] [CrossRef]
- Nour, V.; Ionica, M.E.; Trandafir, I. Bread enriched in lycopene and other bioactive compounds by addition of dry tomato waste. J. Food Sci. Technol. 2015, 52, 8260–8267. [Google Scholar] [CrossRef] [PubMed]
- Kim, I.S.; Jin, S.K.; Mandal, P.K.; Kang, S.N. Quality of low-fat pork sausages with tomato powder as colour and functional additive during refrigerated storage. J. Food Sci. Technol. 2011, 48, 591–597. [Google Scholar] [CrossRef] [PubMed]
- Nateghi, L.; Zarei, F.; Pahlevan Afshari, K. The effect of sodium nitrite replacement with lycopene pigment in german sausage and evaluation of its physicochemical, antimicrobial and sensory properties. J. Nutr. Food Secur. 2024, 9, 265–274. [Google Scholar] [CrossRef]
- Ehsani, A.; Jasour, M.S.; Agh, N.; Hashemi, M.; Khodadadi, M. Rancidity development of refrigerated rainbow trout (Oncorhynchus mykiss) fillets: Comparative effects of in vivo and in vitro lycopene. J. Sci. Food Agric. 2018, 98, 559–565. [Google Scholar] [CrossRef]
- Ehsani, A.; Paktarmani, M.; Yousefi, M. Efficiency of dietary sodium alginate coating incorporated with lycopene in preserving rainbow trout. Food Sci. Biotechnol. 2017, 26, 557–562. [Google Scholar] [CrossRef]
- Canché-López, K.C.; Toledo-López, V.M.; Vargasy Vargas, M.; Chan-Matú, D.I.; Madera-Santana, T.J. Characterization of chitosan edible coatings made with natural extracts of Solanum lycopersicum and Moringa oleifera for preserving fresh pork tenderloin. J. Food Meas. Charact. 2023, 17, 2233–2246. [Google Scholar] [CrossRef]
- Taurino, R.; Bolelli, G.; Messi, P.; Iseppi, R.; Borgioli, F.; Galvanetto, E.; Caporali, S. Investigation of chemical, physical and mechanical properties of hybrid chitosan-silica based coatings for aluminium substrate. Surf. Coat. Technol. 2024, 493, 131265. [Google Scholar] [CrossRef]
- Jiang, J.W.; Wang, H.L.; Guo, X.Q.; Wang, X.C. Effect of radio frequency tempering on the color of frozen tilapia fillets. LWT 2021, 142, 110897. [Google Scholar] [CrossRef]
- Chen, X.; Zhao, J.Y.; Zhu, L.X.; Luo, X.; Mao, Y.W.; Hopkins, D.L.; Zhang, Y.M.; Dong, P.C. Effect of modified atmosphere packaging on shelf life and bacterial community of roast duck meat. Food Res. Int. 2020, 137, 109645. [Google Scholar] [CrossRef]
- Huang, J.J.; Bakry, A.M.; Zeng, S.W.; Xiong, X.B.; Yin, T.; You, J.; Fan, M.C.; Huang, Q.L. Effect of phosphates on gelling characteristics and water mobility of myofibrillar protein from grass carp (Ctenopharyngodon idellus). Food Chem. 2019, 272, 84–92. [Google Scholar] [CrossRef] [PubMed]
- Wu, Y.; Deng, J.; Xu, F.; Li, X.; Kong, L.; Li, C.; Sheng, R.; Xu, B. The mechanism of Leuconostoc mesenteroides subsp. IMAU:80679 in improving meat color: Myoglobin oxidation inhibition and myoglobin derivatives formation based on multi enzyme-like activities. Food Chem. 2023, 428, 136751. [Google Scholar] [CrossRef] [PubMed]
- Gao, W.H.; Hou, R.; Zeng, X.A. Synergistic effects of ultrasound and soluble soybean polysaccharide on frozen surimi from grass carp. J. Food Eng. 2019, 240, 1–8. [Google Scholar] [CrossRef]
- Mittal, A.; Singh, A.; Aluko, R.E.; Benjakul, S. Pacific white shrimp (Litopenaeus vannamei) shell chitosan and the conjugate with epigallocatechin gallate: Antioxidative and antimicrobial activities. J. Food Biochem. 2021, 45, 13569. [Google Scholar] [CrossRef]
- Bellucci, E.R.B.; Munekata, P.E.S.; Pateiro, M.; Lorenzo, J.M.; Barretto, A.C. Red pitaya extract as natural antioxidant in pork patties with total replacement of animal fat. Meat Sci. 2021, 171, 108284. [Google Scholar] [CrossRef]
- Singh, A.; Benjakul, S.; Zhou, P.; Zhang, B.; Deng, S.G. Effect of squid pen chitooligosaccharide and epigallocatechin gallate on discoloration and shelf-life of yellowfin tuna slices during refrigerated storage. Food Chem. 2021, 351, 129296. [Google Scholar] [CrossRef]
- Wongwichian, C.; Klomklao, S.; Panpipat, W.; Benjakul, S.; Chaijan, M. Interrelationship between myoglobin and lipid oxidations in oxeye scad (Selar boops) muscle during iced storage. Food Chem. 2015, 174, 279–285. [Google Scholar] [CrossRef]
- Singh, A.; Mittal, A.; Benjakul, S. Full utilization of squid meat and its processing by-products: Revisit. Food Rev. Int. 2022, 38, 455–479. [Google Scholar] [CrossRef]
- Gagaoua, M.; Suman, S.P.; Purslow, P.P.; Lebret, B. The color of fresh pork: Consumers expectations, underlying farm-to-fork factors, myoglobin chemistry and contribution of proteomics to decipher the biochemical mechanisms. Meat Sci. 2023, 206, 109340. [Google Scholar] [CrossRef]
- Pinheiro, R.S.B.; Francisco, C.L.; Lino, D.M.; Borba, H. Meat quality of Santa Ines lamb chilled-then-frozen storage up to 12 months. Meat Sci. 2019, 148, 72–78. [Google Scholar] [CrossRef]
- Wang, X.T.; Wang, Z.B.; Zhuang, H.; Nasiru, M.M.; Yuan, Y.; Zhang, J.H.; Yan, W.J. Changes in color, myoglobin, and lipid oxidation in beef patties treated by dielectric barrier discharge cold plasma during storage. Meat Sci. 2021, 176, 108456. [Google Scholar] [CrossRef] [PubMed]
- Huang, H.; Wang, L.; Xiong, G.; Shi, L.; Li, X.; Ding, A.; Qiao, Y.; Yang, Y.; Wu, W. Influence of bleeding on myoglobin and meat quality changes of Channel catfish muscle during freeze-thaw cycles. J. Food Process. Pres. 2021, 45, 15877. [Google Scholar] [CrossRef]
- Shi, J.; Lei, Y.; Shen, H.; Hong, H.; Yu, X.; Zhu, B.; Luo, Y. Effect of glazing and rosemary (Rosmarinus officinalis) extract on preservation of mud shrimp (Solenocera melantho) during frozen storage. Food Chem. 2019, 272, 60–612. [Google Scholar] [CrossRef] [PubMed]
- Xia, M.; Chen, Y.; Guo, J.; Huang, H.; Wang, L.; Wu, W.; Xiong, G.; Sun, W. Water distribution and textual properties of heat-induced pork myofibrillar protein gel as affected by sarcoplasmic protein. LWT 2019, 103, 308–315. [Google Scholar] [CrossRef]
- Zhu, W.; Han, M.; Bu, Y.; Li, X.; Yi, S.; Xu, Y.; Li, J. Plant polyphenols regulating myoglobin oxidation and color stability in red meat and certain fish: A review. Crit. Rev. Food Sci. Nutr. 2024, 64, 276–2288. [Google Scholar] [CrossRef]
- Wang, Z.; He, Z.; Gan, X.; Li, H. Interrelationship among ferrous myoglobin, lipid and protein oxidations in rabbit meat during refrigerated and superchilled storage. Meat Sci. 2018, 146, 131–139. [Google Scholar] [CrossRef]
- Ji, M.; Li, F.; Li, J.; Li, J.; Wang, X.; Zhang, C.; Peng, S.; Man, J. Physical, antibacterial, blood coagulation, and healing promotion evaluations of chitosan derivative-based composite films. Int. J. Biol. Macromol. 2024, 278, 134714. [Google Scholar] [CrossRef]
- Divyadharsini, V.; Uma Maheswari, T. Assessment of antimicrobial activity of lycopene, vitamin E, and lycopene-vitamin E combination against staphylococcus aureus, streptococcus mutans, enterococcus faecalis, and candida albicans: An in vitro study. Cureus 2023, 15, 42419. [Google Scholar] [CrossRef]
- Traore, S.; Aubry, L.; Gatellier, P.; Przybylski, W.; Jaworska, D.; Kajak-Siemaszko, K.; Santé-Lhoutellier, V. Higher drip loss is associated with protein oxidation. Meat Sci. 2012, 90, 917–924. [Google Scholar] [CrossRef]
- Faustman, C.; Sun, Q.; Mancini, R.; Suman, S.P. Myoglobin and lipid oxidation interactions: Mechanistic bases and control. Meat Sci. 2010, 86, 86–94. [Google Scholar] [CrossRef]
- Xia, M.; Chen, Y.; Ma, J.; Yin, X.; Wang, L.; Wu, W.; Xiong, G.; Sun, W.; Zhou, Y. Effects of low frequency magnetic field on myoglobin oxidation stability. Food Chem. 2020, 309, 125651. [Google Scholar] [CrossRef] [PubMed]
- Wang, H.; Song, Y.; Liu, Z.; Li, M.; Zhang, L.I.; Yu, Q.; Guo, Z.; Wei, J. Effects of iron-catalyzed and metmyoglobin oxidizing systems on biochemical properties of yak muscle myofibrillar protein. Meat Sci. 2020, 166, 108041. [Google Scholar] [CrossRef] [PubMed]








Disclaimer/Publisher’s Note: The statements, opinions and data contained in all publications are solely those of the individual author(s) and contributor(s) and not of MDPI and/or the editor(s). MDPI and/or the editor(s) disclaim responsibility for any injury to people or property resulting from any ideas, methods, instructions or products referred to in the content. |
© 2024 by the authors. Licensee MDPI, Basel, Switzerland. This article is an open access article distributed under the terms and conditions of the Creative Commons Attribution (CC BY) license (https://creativecommons.org/licenses/by/4.0/).
Share and Cite
Hu, Y.; Xu, M.; Gao, X.; Zhang, Z. Influence of Chitosan/Lycopene on Myoglobin and Meat Quality of Beef During Storage. Coatings 2024, 14, 1445. https://doi.org/10.3390/coatings14111445
Hu Y, Xu M, Gao X, Zhang Z. Influence of Chitosan/Lycopene on Myoglobin and Meat Quality of Beef During Storage. Coatings. 2024; 14(11):1445. https://doi.org/10.3390/coatings14111445
Chicago/Turabian StyleHu, Yan, Meijuan Xu, Xueqin Gao, and Zhenhui Zhang. 2024. "Influence of Chitosan/Lycopene on Myoglobin and Meat Quality of Beef During Storage" Coatings 14, no. 11: 1445. https://doi.org/10.3390/coatings14111445
APA StyleHu, Y., Xu, M., Gao, X., & Zhang, Z. (2024). Influence of Chitosan/Lycopene on Myoglobin and Meat Quality of Beef During Storage. Coatings, 14(11), 1445. https://doi.org/10.3390/coatings14111445
