Abstract
The aim of this work is to develop new organic bio-sourced inhibitors that are ecofriendly and biodegradable. These natural inhibitors are organic, non-toxic molecules derived from plant extracts, containing numerous secondary metabolites, and are capable of being highly effective in protecting metals against corrosion. This study concerns the extraction, characterization and electrochemical study of natural organic compounds extracted from a species of Sargassum abundant on the coasts of Martinique, Sargassum fluitans III. The objective is to inhibit the corrosion of carbon steel. Electrochemical impedance spectroscopy (EIS) and linear polarization (LP) techniques have led to new experimental results showing inhibitor efficacy. The results obtained show that this plant extract could serve as an effective inhibitor for the C38 steel in acidic media. Studies on the phytochemicals of the crude extract were also carried out. Electrochemical studies, on each chemical families present, were also established to find the main constituents responsible for corrosion inhibition properties of the algae extract. The adsorption of Sargassum fluitans III extract on the C38 steel surface, obeys the Langmuir adsorption isotherm.
1. Introduction
Resulting from the chemical or electrochemical action of an environment on a metal (or alloy), corrosion impacts on the behavior of materials, their degradation, their reliability under conditions of use and, at the same time, significant economic losses [1]. This phenomenon, which is found at all scales of production, has many negative consequences (production stoppage, replacement of corroded parts, accidents, pollution, etc.). In addition, acid solutions used in industry accentuate this corrosion phenomenon by their very aggressive chemical properties [2]. Every year 1/4 to 1/3 of the world’s steel production is destroyed and corrosion-related expenses represent about 3 to 4% of the gross national product (GNP) in industrialized countries [3,4]. In France, for example, maintenance and losses due to corrosion of metals cost more than EUR 1.5 billion per year. To cope with these significant expenses, the use of corrosion inhibitors makes it possible to provide permanent or temporary protection to the material [1]. The latter use often toxic chemicals that are not in accordance with European directives, hence the need to replace these toxic molecules with products derived from plants. The usage of compounds found in plants for the protection of metals has existed for many years and is the only intervention technique from the medium [5,6,7,8,9,10,11,12,13,14,15,16]. These new inhibitors are mainly phenolic compounds, alkaloids or even terpenes. Indeed, plants have many interesting properties, especially in terms of their chemical composition with the presence of several organic families called “ecological” which are available in large quantities and are renewable. The use of natural substances as corrosion inhibitors dates back to the 1930s when plant extracts, including leaves, stems, and seeds such as Chelidonium majus, were employed in H2SO4 pickling baths [17].
Prior investigations, employing similar extraction from many plants like as Palicourea guianensis, Annona squamosa, Bagassa guianensis, have demonstrated the effectiveness of these plant extracts [12,13,14]. The findings from this research indicate that the achieved high corrosion inhibition rate is primarily attributed to the presence of various active compounds that facilitate the formation of a protective film on the metal surface.
Throughout history, algae have been integral to the Earth’s ecological cycle, and in recent years, their significance has grown in the global economy. This is largely attributed to their composition, rich in molecules of interest, particularly secondary metabolites that demonstrate considerable innovative potential across pharmacological, agricultural, medicinal, aesthetic, and industrial domains. However, despite these attributes, the utilization of marine algae in corrosion prevention remains significantly limited, emphasizing the necessity for further research in this domain.
In Martinique, a small Caribbean Island that is part of the arc of the Lesser Antilles, we found a tropical climate alternating wet and dry season [18]. It is an environment that therefore promotes the corrosion phenomena that are already presents [19]. In addition, the significant strandings of Sargassum invade the seascape of this island and impact the daily lives of its population. Accessible and available in large quantities depending on the season, these brown algae can prove to be an important and promising source of organic molecules with inhibitory properties [20]. Two species of algae of the genus Sargassum are identified on the Martinique coast, namely the Sargassum fluitans III and the Sargassum natans itself composed of two subspecies S. natans I and S. natans VIII [21]. Consequently, the use of corrosion inhibitors from Sargassum algae would make it possible to find a new way of valuing this last stage while responding to a theme of research in development. To comply with environmental standards, the extraction of organic compounds from Sargassum fluitans III [22] was carried out via a so-called “green” process. The crude extracts obtained underwent chemical and phytochemical analyses before being tested in electrochemistry. This study aims to gain some insight into the corrosion of steel in acidic media with the presence of ethanol extract from Sargassum fluitans III as a corrosion inhibitor. The tests were carried out on standardised C38 carbon steel, selected for its low resistance to wear and corrosion and also for its availability and affordability. The inhibitor effect of this naturally occurring biological molecule was investigated by potentiodynamic polarization and electrochemical impedance. Additionally, phytochemical and electrochemical studies of constituents of the total extract were established.
2. Materials and Methods
2.1. Algae Material and Extraction
The Sargassum fluitans III brown algae used were harvested at Le François and Le Diamant in the south of Martinique (Figure S1). They were immediately washed, then cleared of their excess water before being sorted, dried, and crushed. The grinding product (20 g) is then extracted by reflux during 3 h with a green solvent composed of water and ethanol. To find the best extraction solvent, three different ratios of this solvent were tested: 70:30%; 50:50% and 30:70%. The extracted solution is then filtered under vacuum pump and evaporated using a rotary evaporator. Then, the extract is used to study its effect as a corrosion inhibitor for C38 steel. The families of extracted secondary metabolites were obtained by modified extraction protocols initially established by Botosa and Bruneton [22,23].
2.2. Chemical Analysis
The phytochemical tests permit to identify the class of organic compounds present in the crude extract were established. For that purpose, specific reactions with the properties of each family are realized, according to a previously described experimental procedure [24,25]. Ferric chloride has been used to determine the presence of tannins. The presence of terpenes and steroids was established by a test using acetic anhydride and hydrogen sulphate, respectively. A test based on hydrochloric acid coupled with magnesium shavings detected the presence of flavonoids, and Fehling’s liquor that of reducing compounds. The alkaloids were detected using Mayer, Wagner and Dragendroff tests [25,26,27]. Five drops of each reagent are added separately into respective tubes. The presence of alkaloids in the extract was revealed by the formation of a precipitate or flocculation.
2.3. Electrochemical Measurements
The corrosive medium tested is an acidic medium based on 1 M HCl. All corrosive media comprising crude extracts of Sargassum fluitans III are prepared by adding a volume of extract in a concentration range from 50 mg/L to 300 mg/L. The electrochemical study was carried out at room temperature using the potentiostat VMP3 of the Bio-Logic brand. A three-electrode cell was used for electrochemical measurements. A resin cube containing a pure sample of C38 steel was used as a working electrode (1 cm2). A saturated calomel Hg/Hg2Cl2/KCl electrode as a reference electrode, and a platinum electrode as a counter electrode. For each test, the open circuit potential (EVT) was measured as a function of time. Once the stability of the medium has been achieved, the recorded value corresponds to the corrosion potential (Ecorr) of the working electrode used. Electrochemical impedance spectroscopy (EIS) measurements are performed using amplitude signals of 10 mV for a scanning frequency between 100 kHz and 10 mHz. The polarization curves are recorded for a scanning speed of 10 mV/min. Detailed information about the electrochemical parameters can be found in our previous works [12,13,14]. For each of the concentrations tested, the experiments mentioned above were carried out in duplicate and all the data collected were analyzed using the EC-Lab V11.43 software.
3. Results and Discussion
3.1. Extraction Results and Characterization of Crude Extracts of Sargassum fluitans III
Reflux extractions on the ground and unground Sargassum fluitans III, using water/ethanol as cheap and green solvent, were used to obtain the extract algae. The reflux extraction on the ground algae gave the high yield using (70:30) water/ethanol as shown in Table 1. However, the constituents of organic compounds in the extract were the same for different ratios for the ground and unground algae; Figure 1. Comparison of the IR spectra yielded IR resemblance rates greater than 95%, with a maximum of 99.97% for ratios (50:50) and (70:30). These results therefore show that extracts of Sargassum fluitans III have.
Table 1.
Extraction yield of organic compounds of the species Sargassum fluitans III.
Figure 1.
IR spectra of Sargassum fluitans III extract.
Most of the IR bands observed are characteristic of the presence of the different families present in the total extract, namely: 3347–3320 cm−1, intermolecular O-H elongation; 2981–2881 cm−1, symmetrical C-H elongation in an aromatic ring; 1646–1644 cm−1, phenyl-type C=C elongation; 1407–1379 cm−1, phenolic ring stretching from in-plane OH deformation; 1087–1043 cm−1, cyclic ether C-O elongation; 879–638 cm−1, out-of-plane aromatic ring C-H deformation. Additionally, a band around 1650 cm−1, characteristic of quinone derivatives. The IR spectra also displays the characteristic absorption bands of an alcoholic hydroxyl function (3450 cm−1), methyl radicals (2960 and 1400 cm−1). The chemical composition remains consistent but with slight variations, likely attributed to the ratio of the extraction solvent. It is important to highlight that, for the remainder of the study, the Sargassum fluitans III extracted with a 70:30 ratio will be used.
3.2. Linear Polarization
The polarization curves with and without the extract, at various concentrations, in HCl medium are exposed in Figure 2. In view of the results obtained, we can notice that the adding of the extract results in a variation in the densities of cathode and anode current. Observably, increasing in concentrations of the extract led to the inhibition of both cathodic and anodic reactions of the corrosion of the C38 steel electrode. At all concentrations, the extract exhibited a more pronounced suppression of the anodic reaction compared to the cathodic one. This result imply that the presence of the extract reduces anodic dissolution and also retards the hydrogen evolution reaction. The addition of extract modifies slightly the Tafel lines slopes, indicating that the hydrogen evolution reaction was activation-controlled. Therefore, the extract can be classified as inhibitors of relatively mixed effect (anodic/cathodic inhibition) in 1 M HCl. This observation implies that the inhibitor molecules governed both reactions by adsorbing onto the metal surface, obstructing active sites and thereby impeding the corrosion reaction.
Figure 2.
Polarization curves of the different concentrations of Sargassum fluitans III extract (70:30) in 1 M HCl.
The electrochemical parameters obtained from the polarization curves are organized in Table 2. The inhibitory efficiencies (EI (%)) are obtained with Equation (1) [2]. The values provided are derived from the linear I-E plots within the potential range of ±25 mV from the corrosion potential.
where Rp and Rpinh correspond, respectively, to the polarization resistance without and with inhibitor.
Table 2.
Polarization parameters of the different crude extract concentrations of Sargassum fluitans III in HCl 1 M.
As indicated in Table 1, the corrosion current density consistently decreases with increasing concentration, notably surpassing the values observed in uninhibited acidic solutions. The inhibitor efficiency exhibited an upward trend with increasing inhibitor concentration, reaching its maximum at 200–300 mg L−1. Although the corrosion potential shifted in a positive direction, there was no discernible correlation between Ecorr and extract concentration.
We also studied the efficacy of the extract at low concentrations, 5 and 10 mg/L. The Rp were studied, and its values are inferior to in the uninhibited acidic solutions (50 and 63 Ω·cm2 correspond, respectively, to the Rp with 5 and 10 mg/L of inhibitor). These findings reveal that, at low concentrations, the extract functions as a corrosion stimulator. The accelerating effect of Sargassum extract is accompanied by a black deposit that settles at the bottom of the cells used for electrochemical measurements. We assume that this deposit results from the departure of the film formed on the surface of the steel. To verify this hypothesis, we analyzed this deposit using infrared spectroscopy and then compared it with the spectrum obtained for the prepared complex [FeII, Sargassum extract]. The complex is obtained by mixing a solution of iron chloride [FeCl2] dissolved in water and an amount of sargassum extract dissolved in ethanol. The crystals formed after 48 h are separated from the solution and then dried in the oven. The infrared spectra obtained as shown in Figure 3 are superposable, with a slight displacement. This demonstrates the formation of a non-adhering complex on the metal surface that has subsequently desorbed.
Figure 3.
Infrared spectrum of: (a) deposit formed in the cell HCl 1 M in the presence of Sargassum extract and (b) the prepared complex [FeCl2 Sargassum extract].
There may be adsorption of species on the surface that appear only at high concentrations. The same behavior is observed with iron in the presence of certain ions of type HS−, SCN− [28]. These results suggest that, at low concentrations, the extract exhibits a catalytic effect on both the hydrogen reduction rate and the rate of steel dissolution.
3.3. Electrochemical Impedance Spectroscopy
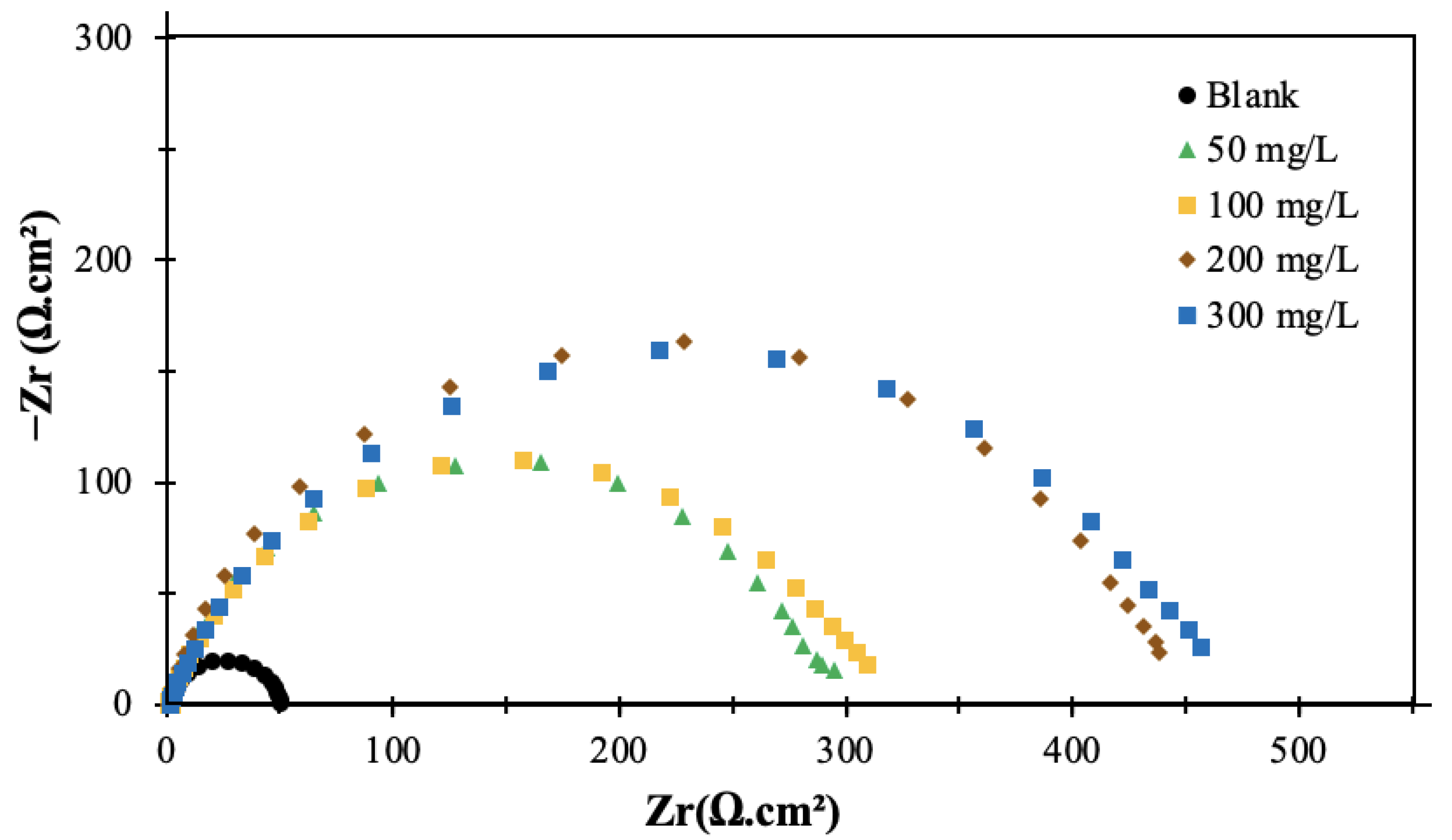
The corrosion behaviour of C38 steel in 1 M HCl in the absence and the presence of Sargassum fluitans III extract was also investigated by electrochemical impedance spectroscopy (EIS). Figure 4, Figure 5 and Figure 6 depict the Nyquist and Bode diagrams of C38 steel in both uninhibited and inhibited acidic solutions, with varying concentrations of Sargassum fluitans III extract. The diagrams feature one capacitive loop, signifying that the corrosion reaction is governed by a charge transfer process on a solid electrode. Specifically, the Bode diagram reveals the detection of only one time constant, affirming the existence of a charge transfer process. Moreover, the impedance response of C38 steel in 1 M HCl solution increased significantly after the adding of extract. Conversely, it is evident that the capacitive loop expands with increasing inhibitor concentration. This suggests a proportional relationship between inhibition efficiency and the concentration of the inhibitor. This result therefore highlights the influence of organic inhibitors on the process at the C38/acid medium interface.
Figure 4.
Nyquist diagrams of C38 steel in HCl 1 M in presence and absence of Sargassum fluitans III extracts.
Figure 5.
Bode diagrams, phase angle vs. freq for C38 steel in HCl medium 1 M with and without Sargassum fluitans III extracts.
Figure 6.
Bode, LogZ vs. freq diagrams for C38 steel in 1 M HCl medium with and without Sargassum fluitans III extracts.
To model the various phenomena occurring at the interface/electrolyte, an equivalent electrical circuit is employed. Each component within the circuit corresponds to a specific physical phenomenon. These circuits are then utilized to fit the experimental diagrams, facilitating the extraction of electrochemical parameters for the studied system. The impedance diagrams, as shown in Figure 7, were represented using an equivalent electrical circuit comprising elements R1 (electrolyte resistance), R2 (charge transfer resistance) and a constant phase element (CPE) employed in place of Cdl (double-layer capacitance). The constant-phase element CPE (α, Q) accounts for surface inhomogeneity through the coefficient α, which ranges between 0 and 1. The impedance using the CPE is given by Equation (2) [29,30,31]:
Figure 7.
Nyquist plots displaying both experimental (line) and fitted (marker) data and the corresponding equivalent circuit employed for fitting the impedance data, are presented for a C38 electrode in 1 M HCl with 300 mg/L of Sargassum fluitans III.
Figure 7 also illustrates a satisfactory adjustment of the experimental data obtained in this case. Indeed, an excellent parametric adjustment of the different experimental impedance spectra was obtained using this model. In addition, the experimental and simulated spectra are well correlated with the χ2 coefficient of the order of 10−3 thus allowing the validation of this model.
Thus, the data of the EIS parameters and the IE (%) of the different concentrations of Sargassum fluitans III extracts obtained by electrochemical impedance spectroscopy using the preceding equivalent circuit are reported in Table 3.
Table 3.
Parameters deduced from EIS data for C38 steel in 1 M HCl at different concentrations of Sargassum fluitans III crude extract.
Upon analysis, it is observed that the resistance of charge transfer values increases with the addition of inhibitors, indicating an enhancement in the efficiency of the studied extract. The parameter α shows an increase with inhibitor concentration, signifying a reduction in the heterogeneity of the electrode surface due to extract adsorption. Conversely, the values of Q decrease with rising extract concentration but remain within the same order of magnitude. The inhibitory efficiency calculated by impedance shows that the extract of Sargassum fluitans III appears to be effective on the corrosion of C38 steel at high concentrations in HCl 1 M medium. These findings align with the results obtained from the polarization curves study.
3.4. Constituents Responsibles for Inhibition
As found from electrochemical studies, corrosion of C38 steel in 1 M HCl is delayed with the presence of various concentrations of the Sargassum fluitans III crude extract. The results evidently indicated that the inhibition mechanism embroiled blocking of the steel surface by the adsorption of the inhibitor. Hence, this section compares the corrosion inhibition properties of both Sargassum fluitans III extract and its constituents, aiming to identify the family of compounds accountable for the inhibition. In this optic, the different families of Sargassum fluitans III are isolated and tested as inhibitors.
Phytochemical tests are investigated on the Sargassum fluitans III extract to determine the various families present in the crude extract, according to Grenand [32]. The results obtained indicate the presence of diverse compound families, including coumarins, anthocyanins, quinones, flavonoids, saponins, tannins, and triterpenes. A typical extraction of different families present in the crude extract was carried out to determine the ratio of each family [25,32,33,34,35]. The different families were extracted, collected and weighted. Table 4 regroups the percentage of the families present in the total extract. The total relative percentage is 93%, not equal to 100%; this is due either to a loss during extraction or to the presence of other unidentified families.
Table 4.
Results of phytochemical screening tests and extraction of Sargassum fluitans III.
Each chemical family was electrochemically tested in the same proportions present in the crude extract. The electrochemical test was realized with a 50 mg/L concentration of crude extract and was compared with each family present in the extract. The concentration of each family was calculated from their percentage in the extract. Figure 8 shows the Nyquist plots of C38 steel in HCl solution in absence and presence of crude extract and each family present in the extract at 25 °C. All the impedance spectra have a single capacitive loop, which indicates control of the corrosion reaction by a charge transfer process to the solid electrode. It can be seen that the size of the diameter of the capacitive half-loops is greater than that of the total extract, except the capacitive loop of the quinones. These findings distinctly indicate that each compound family inhibits corrosion except for quinones. The obtained experimental spectra were fitted using the equivalent circuit (EC) presented in Figure 7.
Figure 8.
Nyquist diagrams of C38 steel in HCl 1 M with and without the presence of family present in the Sargassum fluitans III extract.
The calculated inhibition efficiency (Figure 9) confirms that the saponins and flavonoids families have the most important efficacies. This behaviour is due to the important percentage in the crude extract. The other chemical families having efficiencies higher than that of the total extract (except quinones), we can assume that the latter follow a phenomenon of competition. As noted in a prior study [13], the inhibitory behavior of the crude extract is attributed to a synergistic effect among the compound families.
Figure 9.
Comparison of inhibitory efficacies of total extract of Sargassum fluitans III at 50 mg/L and isolated chemical families.
3.5. Adsorption Mechanism
On the surface of the metal, adsorption can be performed either by physical adsorption or by chemisorption. Physical adsorption is mainly due to the electrostatic forces present between the ionic charge or dipoles of the inhibitor and the electrically charged surface of the metal. On the contrary, chemisorption induces a much greater effectiveness of the inhibitor. Indeed, the electronic transfer between the orbitals of the metal and the inhibitory molecule leads to the formation of more stable chemical bonds. This rapid, irreversible, and metal-specific phenomenon is characterized by a high activation energy. The electron transfer is favored by the presence of free electrons such as those present in anions, neutral molecules or in p electron systems associated with double or triple bonds or aromatic rings.
The effectiveness of the entire extract is highly significant. In this context, the inhibition of corrosion by organic molecules can be achieved through two distinct mechanisms.
The phytochemical tests show the existence of various families as anthocyans, coumarins, flavonoids, quinons, saponins, tannins and triterpens. In the study carried out in an acidic medium 1 M, these families can exist in cationic forms which will favor an interaction with the surface of the negatively charged metal (via electrostatic bonds). The possible cationic forms can be positively charged protonated nitrogen atom, phenolic compounds protonated, protonated quinone, protonated flavonoids, etc. These compound families may also adsorb through ‘donor-acceptor’ bonds, involving interactions between the p electrons (from heteroatoms and double bonds) and the vacant orbitals of the iron atoms.
The adsorption mechanism was determined from the degree of surface coverage of the inhibitor , itself derived from the efficacy (EIS) of the extract according to Equation (3) [36]:
where and correspond, respectively, to the resistance of the charge transfer in the presence and absence of the extract. θ being related to inhibitor concentration, the Langmuir adsorption (4) isotherm is found to be the most representative trace of adsorption behavior [36] for the inhibitor studied.
As shown in Figure 10, the graph of Cinh/θ as a function of Cinh is a straight line. The linear regression coefficient R2 is 0.9998 for the crude extract of Sargassum fluitans III. This result clearly shows that the adsorption of the crude extract on the surface of C38 steel is consistent with the Langmuir adsorption isotherm.
Figure 10.
Langmuir adsorption isotherm for Sargassum fluitans III extract.
4. Conclusions
The following results can be drawn from this study:
- (1)
- The Sargassum fluitans III extract has been shown to be a good corrosion inhibitor for C38 steel in a 1 M HCl solution.
- (2)
- The study of homology rates has shown that the ground state only induces a higher yield of the chemical families present within the species. Nevertheless, the yield being a determining factor concerning the electrochemical efficiency of the extract, the ground state of the algae would therefore have one of the characteristics sought.
- (3)
- The study of polarization has shown that it is a mixed-type inhibitor extract. The study of impedance showed a single constant corresponding to the charge transfer at the electrolyte/metal interface.
- (4)
- The adsorption behavior of the algae extract studied is based on the theory of the Langmuir adsorption isotherm.
- (5)
- Phytochemical tests have revealed the presence of several chemical families such as saponins, steroids, flavonoids and alkaloids that are very effective in corrosion. These same chemical families showed an efficacy exceeding 88% of the total extract of Sargassum fluitans III. These results therefore confirm the presence and efficacy of molecules of interest in the algae of the genus Sargassum.
Supplementary Materials
The following supporting information can be downloaded at: https://www.mdpi.com/article/10.3390/coatings13122076/s1, Figure S1: IR spectra of crushed (a) and unground (b) extracts of Sargassum fluitans III.
Author Contributions
Conceptualization, M.L.; methodology, P.L. and M.L.; software, P.L.; validation, M.L.; formal analysis, P.L., M.S.-A. and M.L.; investigation, P.L., M.S.-A. and M.L.; resources, M.L.; data curation, P.L., M.S.-A. and M.L.; writing—original draft preparation, P.L., M.S.-A. and M.L.; writing—review and editing, P.L., M.S.-A., M.L. and C.J.; visualization, P.L., M.S.-A., C.J. and M.L.; supervision, M.S.-A., C.J. and M.L.; project administration, M.L. All authors have read and agreed to the published version of the manuscript.
Funding
This research was funded by the Territorial Authority of Martinique (CTM) and the French National Research Agency (ANR); the project N° ANR-19-SARG-0006-2019 (Impact des composes chimiques issus de la décomposition des sargasses et role des microorganismes sur la corrosion des matériaux métalliques. Considérations phénomélogique et juridique–CORSAiR).
Data Availability Statement
Data are openly available in a public repository.
Conflicts of Interest
The authors declare no conflict of interest.
References
- Bowman, E.; Koch, G.; Varney, J.; Thompson, N.; Moghissi, O.; Gould, M.; Payer, J. International Measures of Prevention, Application, and Economics of Corrosion Technologies Study; NACE International: Houston, TX, USA, 2016. [Google Scholar]
- León, L.D.L.; Rodríguez, M.A.V.; Cruz, V.E.R.; Calderón, F.A.; García, S.A.P. Corrosion of carbon steel in presence of hydrocarbon. Int. J. Electrochem. Sci. 2011, 6, 3497–3507. [Google Scholar] [CrossRef]
- Bentur, A.; Diamond, S.; Berke, N.S. Steel Corrosion in Concrete; E & FN Spoon: London, UK, 1997. [Google Scholar]
- Page, C.L.; Bamforth, P.B.; Figg, J.W. Corrosion of Reinforcement in Concrete; Royal Society of Chemist Construction: Cambridge, UK, 1996. [Google Scholar]
- Shang, Z.; Zhu, J. Overview on plant extracts as green corrosion inhibitors in the oil and gas fields. J. Mater. Res. Technol. 2021, 15, 5078–5094. [Google Scholar] [CrossRef]
- Diab, A.; Abd El-Haleem, S.M. Corrosion inhibition of copper in acidic solution by using a natural product as henna extract (Lawsonia inermis L.). Egypt. J. Chem. 2022, 65, 103–111. [Google Scholar]
- Zheng, Z.; Hu, J.; Eliaz, N.; Zhou, L.; Yuan, X.; Zhong, X. Mercaptopropionic acid-modified oleic imidazoline as a highly efficient corrosion inhibitor for carbon steel in CO2-saturated formation water. Corros. Sci. 2022, 194, 109930. [Google Scholar] [CrossRef]
- Al Shibli, F.; Bose, S.; Ponnusamy, S.; Natarajan, R.; Manivasagan, R.; Vo, D.-V. Green technology for sustainable surface protection of steel from corrosion: A review. Environ. Chem. Lett. 2022, 20, 929–947. [Google Scholar] [CrossRef]
- Azzaoui, K.; Mejdoubi, E.; Jodeh, S.; Lamhamdi, A.; Rodriguez-Castellón, E.; Algarra, M.; Lgaz, H. Eco friendly green inhibitor Gum Arabic (GA) for the corrosion control of mild steel in HCl medium. Corros. Sci. 2017, 129, 70–81. [Google Scholar] [CrossRef]
- Banerjee, S.; Srivastava, V.; Singh, M.M. Chemically modified natural polysaccharide as green corrosion inhibitor for mild steel in acidic medium. Corros. Sci. 2012, 59, 35–41. [Google Scholar] [CrossRef]
- Asipita, S.A.; Ismail, M.; Abd Majid, M.Z.; Majid, Z.A.; Abdullah, C.; Mirza, J. Green Bambusa Arundinacea leaves extract as a sustainable corrosion inhibitor in steel reinforced concrete. J. Clean. Prod. 2014, 67, 139–146. [Google Scholar] [CrossRef]
- Faustin, M.; Lebrini, M.; Robert, F.; Roos, C. Corrosion studies of C38 steel by alkaloids extract of a tropical plant type. Int. J. Electrochem. Sci. 2011, 9, 4095–4113. [Google Scholar] [CrossRef]
- Lebrini, M.; Suedile, F.; Roos, C. Corrosion inhibitory action of ethanol extract from Bagassa guianensis on the corrosion of zinc in ASTM medium. J. Mater. Environ. Sci. 2018, 9, 414–423. [Google Scholar]
- Lebrini, M.; Robert, F.; Roos, C. Inhibition Effect of Alkaloids Extract from Annona Squamosa Plant on the Corrosion of C38 Steel in Normal Hydrochloric Acid Medium. Int. J. Electrochem. Sci. 2010, 5, 1698–1712. [Google Scholar] [CrossRef]
- Pustaj, G.; Kapor, F.; Veinović, Ž. Olive Leaf Extract as a Corrosion Inhibitor of Carbon Steel in CO2-Saturated Chloride–Carbonate Solution. Int. J. Electrochem. Sci. 2016, 11, 7811–7829. [Google Scholar] [CrossRef]
- Cáceres, L.; Frez, Y.; Galleguillos, F.; Soliz, A.; Gómez-Silva, B.; Borquez, J. Aqueous Dried Extract of Skytanthus acutus Meyen as Corrosion Inhibitor of Carbon Steel in Neutral Chloride Solutions. Metals 2021, 11, 1992. [Google Scholar] [CrossRef]
- Buchweishaija, J. Phytochemicals as green corrosion inhibitors in various corrosive media: A review. Tanz. J. Sci. 2009, 35, 77–92. [Google Scholar]
- Le Lann, K.; Jégou, C.; Stiger-Pouvreau, V. Effect of different conditioning treatments on total phenolic content and antioxidant activities in two Sargassacean species: Comparison of the frondose Sargassum muticum (Yendo) Fensholt and the cylindrical Bifurcaria bifurcata R. Ross. Phycol. Res. 2008, 56, 238–245. [Google Scholar] [CrossRef]
- Said Ahmed, M.; Lebrini, M.; Lescop, B.; Pellé, J.; Rioual, S.; Amintas, O.; Roos, C. Corrosion of Copper in a Tropical Marine Atmosphere Rich in H2S Resulting from the Decomposition of Sargassum Algae. Metals 2023, 13, 982. [Google Scholar] [CrossRef]
- Hervé, V.; Lambourdière, J.; René-Trouillefou, M.; Alain Devault, D.; Jean Lopez, P. Sargassum Differentially Shapes the Microbiota Composition and Diversity at Coastal Tide Sites and Inland Storage Sites on Caribbean Islands. Front. Microbiol. 2021, 12, 701155. [Google Scholar] [CrossRef]
- Florenne, T.; Guerber, F.; Colas-Belcour, F. Le Phénomène D’échouage des Sargasses Dans les Antilles et en Guyane; Institut de Recherche Pour le Développement: Paris, France, 2016. [Google Scholar]
- Vazquez-Delfin, E.F.; Velazquez, V.A.; Ramirez, D.R. SargaZoom; Cinvestav Mérida: Mérida, Mexico, 2020. [Google Scholar]
- Botosoa, J.A. Purification et Caractérisation chimique et Biologique des Principes Actifs des Extraits de Feuilles de Pechia madagascariensis (Apocynaceae), in Biochimie Fondamentale et Appliquée; Université d’Antananarivo: Antananarivo, Madagascar, 2010. [Google Scholar]
- Bruneton, J. Pharmacognosie, Phytochimie, Plantes Médicinales; TECHNIQUE & DOC: Paris, France, 1999. [Google Scholar]
- Wagner, H.; Bladt, S.; Rickl, V. Plant Drug Analysis; Springer: Berlin/Heidelberg, Germany, 2009. [Google Scholar]
- Heredia, F.; Francia-Aricha, E.; Rivas-Gonzalo, J.; Vicario, I.; Santos-Buelga, C. Chromatic characterization of anthocyanins from red grapes—I. pH effect. Food Chem. 1998, 63, 491–498. [Google Scholar] [CrossRef]
- Zheng, X.; Zhang, X.; Sheng, X.; Yuan, Z.; Qiao Wang, Q.; Zhang, L. Simultaneous characterization and quantitation of 11 coumarins in Radix Angelicae Dahuricae by high performance liquid chromatography with electrospray tandem mass spectrometry. J. Pharm. Biomed. 2010, 51, 599–605. [Google Scholar] [CrossRef]
- Matsumoto, Y.; Sugiyama, K.; Sato, E.I. Photocathodic Hydrogen Evolution Reactions at p-Type CaFe2O4 Electrodes with Fermi Level Pinning. J. Electrochem. Soc. 1998, 135, 98. [Google Scholar] [CrossRef]
- Martinez, S.; Metikos-Hukovic, M. A nonlinear kinetic model introduced for the corrosion inhibitive properties of some organic inhibitors. J. Appl. Electrochem. 2003, 33, 1137. [Google Scholar] [CrossRef]
- Wu, X.; Ma, H.; Chen, S.; Xu, Z.; Sui, A. General Equivalent Circuits for Faradaic Electrode Processes under Electrochemical Reaction Control. J. Electrochem. Soc. 1999, 146, 1847. [Google Scholar] [CrossRef]
- Ma, H.; Cheng, X.; Li, G.; Chen, S.; Quan, Z.; Zhao, S.; Niu, L. The influence of hydrogen sulfide on corrosion of iron under different conditions. Corros. Sci. 2000, 42, 1669–1683. [Google Scholar] [CrossRef]
- Grenand, P.; Moretti, C.; Jacquemin, H. Pharmacopées Traditionnelles en Guyanne; IRD Éditions in Référence; IRD: Paris, France, 2004; p. 816. [Google Scholar]
- Xu, Q.; Shen, Y.; Wang, H.; Zhang, N.; Xu, S.; Zhang, L. Application of response surface methodology to optimise extraction of flavonoids from fructus sophorae. Food Chem. 2012, 138, 2122–2129. [Google Scholar] [CrossRef]
- Regasini, L.; Magela Vieira-Jasnior, G.; Fernandes, D.; Da Silva Bolzani, V.; Cavalheiro, A.; Siqueira Silva, D. Identification of triterpenes and sterols from Pterogyne Nitens (Fabaceae-Caesalpinioideae) using high-resolution gas chromatography. J. Chil. Chem. Soc. 2009, 54, 218–221. [Google Scholar] [CrossRef]
- Alonso-Diaz, M.; Torres-Acosta, J.; Sandoval-Castro, C.; Hoste, H. Comparing the sensitivity of two in vitro assays to evaluate the anthelmintic activity of tropical tannin rich plant extracts against Haemonchus contortus. Vet. Parasitol. 2011, 181, 360–364. [Google Scholar] [CrossRef]
- Hackerman, N.; Justice, D.D.; McCafferty, E. Homopiperazine as a corrosion inhibitor. Corrosion 1975, 31, 240–242. [Google Scholar] [CrossRef]
Disclaimer/Publisher’s Note: The statements, opinions and data contained in all publications are solely those of the individual author(s) and contributor(s) and not of MDPI and/or the editor(s). MDPI and/or the editor(s) disclaim responsibility for any injury to people or property resulting from any ideas, methods, instructions or products referred to in the content. |
© 2023 by the authors. Licensee MDPI, Basel, Switzerland. This article is an open access article distributed under the terms and conditions of the Creative Commons Attribution (CC BY) license (https://creativecommons.org/licenses/by/4.0/).









