Next Article in Journal
Studying the Effects of Annealing and Surface Roughness on Both the Magnetic Property and Surface Energy of Co60Fe20Sm20 Thin Films on Si(100) Substrate
Next Article in Special Issue
Structural Transformations on the Surface of Al-Ti Cathodes Subjected to Vacuum Arc Heating
Previous Article in Journal
Analysis of Wear Using the Taguchi Method in TiSiNOS-Coated and Uncoated H13 Tool Steel
Previous Article in Special Issue
Study on Cavitation Corrosion Properties of Titanium Alloy Radiation Rod with Different Roughnesses for Ultrasonic Casting
 
 
Font Type:
Arial Georgia Verdana
Font Size:
Aa Aa Aa
Line Spacing:
Column Width:
Background:
Article

Effect of the Presence of a Silane Coupling Agent on Reaction Kinetics of Cationic Thermopolymerization of Epoxy Resin Adhesive

1
School of Materials Science and Engineering, Central South University, Changsha 410083, China
2
GYGAIR Intelligent Technology Co., Ltd., Guangzhou 510000, China
3
Ji’an MuLinSen Industrial Co., Ltd., Ji’an 360800, China
*
Author to whom correspondence should be addressed.
Coatings 2023, 13(10), 1782; https://doi.org/10.3390/coatings13101782
Submission received: 13 September 2023 / Revised: 10 October 2023 / Accepted: 12 October 2023 / Published: 17 October 2023
(This article belongs to the Special Issue Enhanced Mechanical Properties of Metals by Surface Treatments)

Abstract

The effect of the presence of a silane coupling agent containing different functional groups on the reaction kinetics and physical properties of epoxy resin generated via cationic thermopolymerization was investigated. The kinetics of cationic polymerization of epoxy resin was studied using a nonisothermal DSC method. The polymerization is propagated by activated chain end (ACE) and activated monomer (AM) processes. With an increase in silane content, the ACE apparent activation energy first decreased and then increased, while the AM apparent activation energy increased. Moreover, the shear strength, coefficient of linear thermal expansion, gelation time, environmental testing of damp heat, and steady state with varied contents of silane coupling agents were evaluated. The results indicated that the presence of a silane coupling agent has more adhesion and lower water absorption than pure EP. The coefficient of linear thermal expansion and gelation time increased with the increase in silane content, while the water absorption decreased with the increase in silane content. Comparing the overall performance of three silane coupling agents used in the research, the curing system obtained by blending with vinyltrimethoxysliane (VTS) is a much better option for practical application as an adhesive.

1. Introduction

Epoxy resin (EP) refers to a class of substances generated from precursors containing two or more epoxy groups [1]. It is one of the most widely used matrix resins in polymer matrix composites, such as in aerospace and electronic materials, because of its excellent mechanical properties, low cost, and excellent weather resistance [2,3,4,5]. However, the uncured epoxy monomer has no application value and must be cured using an appropriate curing agent, such as amines, imidazoles, or anhydrides, to form a three-dimensional network structure [6]. After a suitable curing process, EP displays excellent chemical and mechanical properties. In practice, several hours are required for curing EP, which may be accompanied by significant energy consumption [7].
In recent decades, the fast curing of EP initiated by cationic initiators has attracted great concern; it is characterized by the formation of no byproducts, fast reaction rate, and absence of oxygen inhibition [8,9]. Detailed studies on the cationic polymerization of EP have been reported [10,11,12,13]. The cationic polymerization of EP consists of a series of reactions. Taking cationic initiator 4-hydroxyphenyl-2-methylbenzyl-methyl sulfonium hexafluorophosphate as an example, the cationic curing agent protonates and produces the strong Brønsted acid HPF6 during the pyrolysis process. This Brønsted acid triggers the ring-opening polymerization of EP in the subsequent process. After a rapid chemical equilibrium with inactive initiators, the active initiators react with epoxy groups, producing active propagating dimer species containing tertiary oxonium ions. Relevant reports suggest that the chain propagation process for EP cationic polymerization consists of activated chain end (ACE) and activated monomer (AM) processes [14,15]. In the early stage of the chain propagation process, polymer chains grow primarily by ACE processes with a fast curing rate. In this process, the chain end active species are propagated by the nucleophilic attack of the heteroatom on the epoxy groups, and the tertiary oxonium ions react with epoxy groups to form new tertiary oxonium ions. The AM process is dominant in late-stage curing and occurs at a low rate, while the hydroxyls react with the secondary oxonium ions to form new hydroxyls and protons, involving the nucleophilic attack of chain ends on the monomers activated by the cationic initiators. The processes for EP cationic polymerization are illustrated in Scheme 1.
The highly crosslinked structure of EP leads to high brittleness and poor impact resistance that greatly limits its further application in some high-tech fields. Thus, it is of great importance to modify EP to improve its mechanical properties. Silane coupling agents are widely applied as additives in EP adhesives to improve this problem [16,17,18]. In some research, via the application of a coupling agent, the durability of the interfacial bond was significantly enhanced because the hydrogen bonding plays a large role in the degradation of the interfacial bond between epoxy and substrate [19,20]. Silanol groups can be produced both by siloxane hydrolysis and interacting with the Brønsted acid released by the cationic curing agent. The low-molecular-weight byproducts produced by silane hydrolysis function as plasticizers to reduce the high brittleness of EP. Furthermore, silanol groups can react with related groups on the surface of the bonded materials to form strong covalent bonds or form hydrogen bonds with polar groups to increase the bond strength of an EP adhesive [21,22,23].
Therefore, the effect of the presence of silane coupling agents containing different functional groups on the cationic thermopolymerization of EP was evaluated utilizing reaction kinetics. The physical properties of these systems were determined.

2. Materials and Method

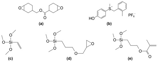
Alicyclic EP (ERL-4221) was supplied by Daicel Co., Ltd. (Tokyo, Japan). 4-hydroxyphenyl-2-methylbenzyl-methyl sulfonium hexafluorophosphate, which was used as a cationic curing agent, was provided by Jiangsu Lingnuoxuan Co., Ltd. (Tongzhou, China). Propylene carbonate was purchased from Sigma-Aldrich (St. Louis, MO, USA). The silane coupling agents, including vinyltrimethoxysliane (VTS), 3-glycidoxypropyltrimethoxysilane (GPTS), and 3-methacryloxypropyltrimethoxysilane (MPTS), were purchased from Sigma-Aldrich. The chemical structures of all of these materials are illustrated in Scheme 2. The aluminum oxide chips (3.3 × 5.1 mil) and silver-plated brackets were provided by Ji’an MuLinSen Industrial Co., Ltd. (Ji’an, China).
The cationic initiator solution was prepared by dissolving the cationic curing agent in propylene carbonate (with a mass ratio of 1:1). The ingredients EP, cationic initiator solution (1 wt%), and one of the selected silane coupling agents with a certain proportion (0%, 10%, 20%, or 30%) were blended in given amounts depending on the experiment. Then, the mixtures were stirred for 10 min at a revolution of 1500 rpm and a rotation of 900 rpm using a double planetary centrifugal debubbling stirring machine. The curing process of this mixed resin system was 80 °C/0.5 h + 100 °C/0.5 h + 130 °C/0.5 h.
Fourier-transform infrared spectroscopy (Nicolet-iS20) was performed to identify the reaction between ingredients used in the experiment. The DSC studies of the curing behavior of EP were performed using a TA Instruments DSC 25 differential scanning calorimeter from 50 to 200 °C under a nitrogen atmosphere. All of the samples (7~10 mg) were contained within sealed aluminum DSC pans. The heating rate were 5, 10, 15, and 20 K min−1, respectively. Shear strength tests were conducted using a bong tester (DAGE 4000, Nordson DAGE, Aylesbury, UK) with a shear height of 35μm and a shear speed of 200 μm s−1. The samples were prepared by using an adhesive to paste the die on the silver-plated bracket. The samples were tested under each condition, and the average values were reported.
The samples for the coefficient of linear thermal expansion were cut into a dimension of 5 × 5 × 16 mm3. Then, the samples were transferred in TMA 402 F3 Hyperion for testing at a heating rate of 5 K min−1 from 30 to 300 °C. The coefficient of linear thermal expansion from 40 to 110 °C was recorded. The generation time was measured using an indentation method. A glass slide was heated to a desired temperature (90, 110, 130, 150, 170, and 190 °C) for 5 min, and the mixed resin system was added to the glass slide. The surface of the resin mixture was pierced at a certain time, and the time was recorded when the pin did not pierce the surface.
The cured samples were cut into a dimension of 10 × 10 × 16 mm3 and then transferred in a Jeasi S constant temperature and humidity testing chamber (set as 85 °C and 85% humidity) for a damp heat, steady-state experiment. The weight of each sample was recorded every 48 h.

3. Results and Discussion

3.1. Curing Process of the EP System

Infrared spectroscopy analysis is an important method to analyze the change of functional groups in EP during polymerization. The infrared spectrum of pure EP and EP blending with silane coupling agents containing different functional groups is shown in Figure 1 (The added content of each silane is 10%). The discussion below focuses on certain absorption peaks that suggest the processes of EP cationic polymerization.
Based on the previous research [24,25], in the infrared spectra of uncured EP adhesive, the absorption peaks at 1435 cm−1 and 789 cm−1 are related to the bending vibration of –CH2 and –CH, respectively. At the same time, the characteristic bands at 2938 cm−1 correspond to the stretching vibration of alkyl. In addition, the absorption peaks at 1729 cm−1 and 1174 cm−1 are attributed to the stretching vibration of C=O in the ester groups and C–O–C in the epoxy groups on the EP of ERL-4221, respectively. The absorption peaks at 1081 cm−1 indicate the presence of –SiOCH3 on the silane coupling agent. After the designed curing process, the peak area of absorption peak at 1081 cm−1 increases obviously due to the superposition of –SiOCH3 and C–O–C in the ether bonds. It suggests the formation of ether bonds via the ring-opening reaction of epoxy groups, which corresponds to the ACE chain propagation processes. On the other hand, a broad shoulder at 3425 cm−1 due to the stretching of –OH indicates that the monomer was bonded to the chain end to form hydroxyl groups after the epoxy groups ring opening, and it is consistent with the AM chain propagation processes. It is worth noting that in the EP-GPTS system, the peak area at 3425 cm−1 is obviously larger than the other three systems, showing that the epoxy groups in GPTS are also involved in the polymerization.

3.2. Kinetics of Epoxy Cationic Polymerization

A statistical modeling procedure is established for predicting the cure behavior of the cationic polymerization. Based on the general equation of dynamics (Equation (1)) [26,27], the reaction rate d α d t is determined by the rate constant k T and the reaction model function f α . Additionally, the rate constant k T can be further defined by Equation (2) according to the Arrhenius equation.
As mentioned above, cationic polymerization of EP is propagated by two processes with different rates in different stages. Thus, the reaction kinetics of this system should be divided into ( d α d t ) ACE and ( d α d t ) AM for further discussion. Kissinger’s method [28] was used to evaluate the apparent activation energy of theoretically simulated complex processes that can be obtained by the slope of the linear fit between l n β / T i 2 and 1 / T i (Equation (3)).
d α d t = k T f α
k T = A e E α R T
d l n β T i 2 d 1 T i = E α R
where α is the conversion degree, T is the absolute temperature, E α is the apparent activation energy, R is the universal gas constant, A is the frequency factor, β is the heating rate, and T i is the exothermic peak temperature.
The pure EP system cured at temperatures ranging from 50 °C to 200 °C with a heating rate of 5 K min−1 is demonstrated in Figure 2a. It reveals that there are two exothermic peaks corresponding to the ACE and AM chain propagation processes mentioned above, respectively. To study the reaction kinetics of the EP system and monitor the change of apparent activation energy during the polymerization process, the DSC curves of each EP system at different heating rates were tested, and the corresponding peak temperatures were recorded. Each DSC curve has similar exothermic peak shapes and different peak temperatures. Thus, Kissinger’s model is adopted for linear fitting to calculate apparent activation energy, as shown in Figure 2b,c. It is noticed that the R2 > 0.999 in each fitting line indicates that the EP cationic polymerization system conforms to the Kissinger theory. The apparent activation energy E α calculated by the slope of the fitting line E α R is summarized in Table 1. In the systems of EP blending with 30 wt% VTS and blending with 30 wt% MPTS, the apparent activation energy corresponding to ACE propagation processes cannot be calculated due to the overlap of two exothermic peaks.
At the beginning of the curing process, a number of active centers at a relatively low temperature are formed, and the polymer chain propagates primarily via ACE processes. The effect of the silane coupling agent on the activation energy of EP cationic polymerization is mainly reflected in two aspects: the small molecular products that are produced by the decomposition of siloxane groups have a plasticizing effect to improve molecular activity and reduce reaction activation energy. On the other hand, the introduction of inorganic chains blocks the movement of molecules and increases the reaction activation energy. Under the joint influence of these two processes, the activation energy of ACE processes first decreases and then increases with the increasing of silane coupling agent content. However, the activation energy of ACE processes decreases from 84.81 kJ mol−1 to 60.05 kJ mol−1 with the increasing of silane coupling agent content because the ACE processes in the system of EP-GPTS is propagated by the reaction between tertiary oxonium ion and epoxy groups, at the late stage of the curing process, the reaction is dominated by AM processes. The reaction rate changes from chemical concentration control to diffusion control. The activation energy is increased from 90.38 to 102.5 kJ mol−1, 110.15 kJ mol−1, and 99.01 kJ mol−1, respectively, due to the concentration of reactive substance is decreased with the increasing of silane coupling agent content. The added value of activation energy of the system of EP-GPTS is obviously greater than that of the other two systems because the higher content of epoxy groups in this system makes a better crosslinking density and a more difficult molecular movement.

3.3. Adhesion Properties of the EP System

Figure 3 shows the shear strength of EP adhesive blending with different types of silane coupling agents evaluated. The slow curing group adopts the curing process of 60 °C/3 h + 90 °C/3 h + 130 °C/6 h for the pure EP system. At the same time, the fast-curing group and the groups containing silane coupling agents used the curing process of 80 °C/0.5 h + 100 °C/0.5 h + 130 °C/0.5 h. When the silane content is 10 wt%, the order of shear strength was found to be slow curing > VTS ≈ MPTS > GPTS > fast curing, and the values of shear strength are 117.4 g, 92.1 g, 91.7 g, 64.1 g, and 20.2 g, respectively. This is consistent with the results of relevant reports [21,28]. For each system, the shear strength decreased with the increase in silane content due to the reduction in EP concentration. There are two factors that affect the shear strength of EP adhesive: chemical properties of organic functional groups and shrinkage or deformation of adhesives during the curing process. The sequence of polarity of functional groups is –COO– > –C–O–C > –C=C–. In addition, the vinyl and methacrylic groups contained in silane can promote free radical polymerization, which also contributes to the shear strength [29,30]. The shrinkage and deformation of adhesives is regarded as the main factor affecting the shear strength. In the pure EP fast-curing group, the internal stress cannot be released in time due to the rapid reaction rate that results in cracking and greatly affects its shear strength. However, for pure EP slow curing group, although with high shear strength, it costs more time and energy. For EP blending with the silane system, it will be further discussed.
Expansion and shrinkage are two important factors that lead to the deformation of adhesives and affect the shear strength. The coefficient of linear thermal expansion (CTE) of cured EP adhesive is evaluated using the TMA method, and the average values between 40 and 110 °C were recorded in Figure 4. When the silane content is 30 wt%, the order of CTE was found to be MPTS > GPTS > VTS ≈ pure EP and the values are 180.3, 155.1, 95.3, and 90.0 (×10−6 K−1), respectively. For each system, the CTE increased with the increase in silane content.
Another factor that causes the deformation of adhesives is the cracks that are generated during the curing process due to the fast curing rate. Therefore, it is necessary to control the curing rate. Gelation refers to the phenomenon of loss of fluidity in a linear polymer system due to the infinite increase in viscosity during the crosslinking reaction process. It is associated with the curing rate of EP. The gelation time–temperature relation curves are shown in Figure 5. Compared to pure EP, the introduction of silane agents reduces the activity of polymerization. For each system, the gelation time decreased with the curing temperature increasing or the silane content decreasing. The order of gelation time is found to be EP-MPTS > EP-VTS > EP-GPTS > pure EP. It is worth noting that, compared to the other two silanes, the EP-GPTS system has a shorter gelation time due to its higher content of epoxy groups and lower activation energy that was described in the nonisothermal DSC test.
The EP-VTS system has a low linear expansion coefficient, and the EP-MPTS system has a longer gelation time that is conducive to the release of internal stress. Thus, the two systems both have excellent adhesion ability.
Ensuring excellent adhesion ability and great environmental stability are important aspects for the reliability of the EP curing system as an adhesive. The weight change of each system at the condition of 85 °C and 85% humidity was tested, and the weight change curves are shown in Figure 6. When the content of the silane coupling agent is 10 wt%, the EP-VTS, EP-GPTS, and EP-MPTS systems begin to lose weight on day 12, day 8, and day 4, respectively. For a certain silane coupling agent, the weight is lost earlier with the increase in silane content. That is because the content of the inorganic chain segment in the system increases, resulting in an increase in the degree of phase separation and instability.

4. Conclusions

The effect of the presence of a silane coupling agent on the reaction kinetics and physical properties of epoxy resin made via cationic thermopolymerization was studied. For the ACE processes, with the increasing of silane content, the activation energy of the EP-VTS system decreases from 84.81 kJ mol−1 to 71.27 kJ mol−1, and then increases to 91.35 kJ mol−1. The activation energy of the EP-MPTS system decreases from 84.81 kJ mol−1 to 60.43 kJ mol−1 and then increases to 98.57 kJ mol−1. At the same time, the activation energy of the EP-GPTS system decreased from 84.81 kJ mol−1 to 60.05 kJ mol−1 due to the increasing epoxy group content. For the AM chain growth processes, the apparent activation energy of the EP-VTS system, EP-GPTS system, and EP-MPTS system increased from 90.38 kJ mol−1 to 102.50 kJ mol−1, 110.15 kJ mol−1, and 99.01 kJ mol−1 with the increase in silane content, respectively. For each system, the shear strength is 30.2 g, 92.1 g, 64.1 g, and 91.7 g, respectively, when the content of silane is 10 wt%. Taking the results of the thermal expansion coefficient and thermal stability into consideration, the EP-VTS system is suitable for practical application as an adhesive.

Author Contributions

Conceptualization, J.C. and H.L.; methodology, B.L. and S.Z.; software, J.C.; validation, J.C., B.L. and H.L.; formal analysis, J.C.; investigation, B.L.; resources, H.L.; data curation, J.C. and S.Z.; writing—original draft preparation, J.C.; writing—review and editing, B.L.; visualization, J.C.; supervision, H.L.; project administration, H.L.; funding acquisition, H.L. All authors have read and agreed to the published version of the manuscript.

Funding

This research received no external funding.

Institutional Review Board Statement

Not applicable.

Informed Consent Statement

Not applicable.

Data Availability Statement

The data that support the findings of this study are available from the corresponding author upon reasonable request.

Conflicts of Interest

The authors declare no conflict of interest.

References

  1. Jin, F.L.; Li, X.; Park, S.J. Synthesis and application of epoxy resins: A review. J. Ind. Eng. Chem. 2015, 29, 1–11. [Google Scholar] [CrossRef]
  2. Ham, Y.R.; Kim, S.H.; Shin, Y.J.; Lee, D.H.; Yang, M.; Min, J.H.; Shin, J.S. A comparison of some imidazoles in the curing of epoxy resin. J. Ind. Eng. Chem. 2010, 16, 556–559. [Google Scholar] [CrossRef]
  3. Xu, Y.J.; Wang, J.; Tan, Y.; Qi, M.; Chen, L.; Wang, Y.Z. A novel and feasible approach for one-pack flame-retardant epoxy resin with long pot life and fast curing. Chem. Eng. J. 2018, 337, 30–39. [Google Scholar] [CrossRef]
  4. Zhang, B.L.; Tang, G.L.; Shi, K.Y.; You, Y.C.; Du, Z.J.; Yang, J.F.; Huang, J.F. A study on properties of epoxy resin toughened by functionalized polymer containing rigid, rod-like moiety. Eur. Polym. J. 2020, 36, 205–213. [Google Scholar] [CrossRef]
  5. Han, X.; Han, Y.; Jin, Y.; Tian, H.; Wang, Z.; Huang, J.; Men, S.; Kumar, R. Tailoring compatibility and toughness of microbial poly(3-hydroxybutyrate-co-3-hydroxyvalerate)/bio-based polyester elastomer blends by epoxy-terminated hyperbranched polyester. Int. J. Biol. Macromol. 2022, 220, 1163–1176. [Google Scholar] [CrossRef] [PubMed]
  6. Ham, Y.R.; Lee, D.H.; Kim, S.H.; Shin, Y.J.; Yang, M.; Shin, J.S. Microencapsulation of imidazole curing agent for epoxy resin. J. Ind. Eng. Chem. 2010, 16, 728–733. [Google Scholar] [CrossRef]
  7. Wang, Y.R.; Liu, W.S.; Qiu, Y.P.; Wei, Y. A One-Component, Fast-Cure, and Economical Epoxy Resin System Suitable for Liquid Molding of Automotive Composite Parts. Materials 2018, 11, 685. [Google Scholar] [CrossRef]
  8. Unnikrishnan, K.P.; Thachil, E.T. Toughening of epoxy resins. Des. Monomers Polym. 2006, 9, 129–152. [Google Scholar] [CrossRef]
  9. Sangermano, M.; Malucelli, G.; Amerio, E.; Priola, A.; Billi, E.; Rizza, G. Photopolymerization of epoxy coatings containing silica nanoparticles. Prog. Org. Coat. 2005, 54, 134–138. [Google Scholar] [CrossRef]
  10. Sangermano, M.; Roppolo, I.; Chiappone, A. New Horizons in Cationic Photopolymerization. Polymers 2018, 10, 136. [Google Scholar] [CrossRef]
  11. Penczek, S. Cationic ring-opening polymerization (CROP) major mechanistic phenomena. J. Polym. Sci. Pol. Chem. 2000, 38, 1919–1933. [Google Scholar] [CrossRef]
  12. Penczek, S.; Kubisa, P.; Szymański, R. Activated monomer propagation in cationic polymerizations. Macromol. Symp. 2011, 3, 203–220. [Google Scholar] [CrossRef]
  13. Gonzalez, L.; Ramis, X.; Salla, J.M.; Mantecon, A.; Serra, A. Kinetic analysis by DSC of the cationic curing of mixtures of DGEBA and 6,6-dimethyl (4,8-dioxaspiro[2.5]octane-5,7-dione). Thermochim. Acta 2007, 464, 35–41. [Google Scholar] [CrossRef]
  14. Damien, D.; Blanca, M.V.; Didier, B.; Christophe, N. Ring-Opening Polymerization of Trimethylene Carbonate Catalyzed by Methanesulfonic Acid: Activated Monomer versus Active Chain End Mechanisms. Macromolecules 2010, 43, 8828–8835. [Google Scholar]
  15. Anderson, B.J. Cationic cure kinetics of a polyoxometalate loaded epoxy nanocomposite. J. Polym. Sci. Pol. Chem. 2012, 300, 4507–4515. [Google Scholar] [CrossRef]
  16. Nazir, T.; Afzal, A.; Siddiqi, H.M.; Ahmad, Z.; Dumon, M. Thermally and mechanically superior hybrid epoxy-silica polymer films via sol-gel method. Prog. Org. Coat. 2010, 69, 100–106. [Google Scholar] [CrossRef]
  17. Mascia, L.; Prezzi, L.; Wilcox, G.D.; Lavorgna, M. Molybdate doping of networks in epoxy-silica hybrids: Domain structuring and corrosion inhibition. Prog. Org. Coat. 2006, 56, 13–22. [Google Scholar] [CrossRef]
  18. Li, B.X.; Xia, W.X.; Shen, L.M.; Tan, W.M.; Luo, X.L. Preparation of cellulose nanoparticles/epoxy resin composites using the in-situ reaction method for strengthening and toughening epoxy resin film simultaneously. Mater. Lett. 2023, 349, 134790. [Google Scholar] [CrossRef]
  19. Fiore, V.; Orlando, V.; Sanfilippo, C.; Badagliacco, D.; Valenza, A. Effect of Silane Coupling Treatment on the Adhesion between Polyamide and Epoxy Based Composites Reinforced with Carbon Fibers. Fibers 2020, 8, 48. [Google Scholar] [CrossRef]
  20. Choi, S.; Maul, S.; Stewart, A.; Hamilton, H.R.; Douglas, E. Effect of silane coupling agent on the durability of epoxy adhesion for structural strengthening applications. Polym. Eng. Sci. 2013, 53, 283–294. [Google Scholar] [CrossRef]
  21. Chiang, T.H.; Hsieh, T.E. The effect of organo-functional silanes on the adhesion of epoxide resins to ITO glass. J. Adhes. Sci. Technol. 2005, 19, 1–18. [Google Scholar] [CrossRef][Green Version]
  22. Kim, J.G.; Choi, I.; Lee, D.G.; Seo, I.S. Flame and silane treatments for improving the adhesive bonding characteristics of aramid/epoxy composites. Compos. Struct. 2011, 93, 2696–2705. [Google Scholar] [CrossRef]
  23. Lee, C.Y.; Bae, J.H.; Kim, T.Y.; Chang, S.H.; Kim, S.Y. Using silane-functionalized graphene oxides for enhancing the interfacial bonding strength of carbon/epoxy composites. Compos. Part. A-Appl. S 2015, 75, 11–17. [Google Scholar] [CrossRef]
  24. Canavate, J.; Colom, X.; Pages, P.; Carrasco, F. Study of the curing process of an epoxy resin by FTIR spectroscopy. Polym-Plast. Technol. 2000, 39, 937–943. [Google Scholar] [CrossRef]
  25. Barkoula, N.M.; Karabela, M.; Zafeiropoulos, N.E.; Tsotra, P. Fast curing versus conventional resins—Degradation due to hygrothermal and UV exposure. Express Polym. Lett. 2020, 14, 401–415. [Google Scholar] [CrossRef]
  26. Olmos, D.; Aznar, A.J.; Gonzalez-Benito, J. Kinetic study of the epoxy curing at the silica particles/epoxy interface using the fluorescence of pyrene label. Polym. Test. 2005, 24, 275–283. [Google Scholar] [CrossRef]
  27. Sani, K.; Manisha, C.; Ashis, B. Solid-State Reaction of Ferrocene Controlled by Co-Precursor and Reaction Atmosphere Leading to Hematite and Cohenite Nanomaterials: A Reaction Kinetic Study. J. Phys. Chem. C 2023, 127, 18397–18408. [Google Scholar]
  28. Peinado, C.; Alonso, A.; Catalina, F.; Schnabel, W. Using linear and branched polysilanes for the photoinitiated polymerization of a commercial silicone-acrylate resin. A real time FTIR study. J. Photoch. Photobio. A Chem. 2001, 141, 85–91. [Google Scholar] [CrossRef]
  29. Choi, D.H.; Oh, S.J.; Cha, H.B.; Lee, J.Y. Photochemically bifunctional epoxy compound containing a chalcone moiety. Eur. Polym. J. 2001, 37, 1951–1959. [Google Scholar] [CrossRef]
  30. Crivello, J.V. Redox Initiated Cationic Polymerization: Reduction of Triarylsulfonium Salts by Silanes. Silicon 2009, 1, 111–124. [Google Scholar] [CrossRef]
Scheme 1. The cationic polymerization of EP.
Scheme 1. The cationic polymerization of EP.
Coatings 13 01782 sch001
Scheme 2. The chemical structure of (a) ERL-4221; (b) cationic curing agent; (c) VTS; (d) GPTS; (e) MPTS.
Scheme 2. The chemical structure of (a) ERL-4221; (b) cationic curing agent; (c) VTS; (d) GPTS; (e) MPTS.
Coatings 13 01782 sch002
Figure 1. The infrared spectra of pure EP and EP blending with silane system. (a) Uncured; (b) after curing process.
Figure 1. The infrared spectra of pure EP and EP blending with silane system. (a) Uncured; (b) after curing process.
Coatings 13 01782 g001
Figure 2. (a) Nonisothermal DSC curve of pure EP system with 5 K min−1; (b) linear fit for calculation of reaction activation energy of ACE processes; and (c) linear fit for calculation of reaction activation energy of AM processes.
Figure 2. (a) Nonisothermal DSC curve of pure EP system with 5 K min−1; (b) linear fit for calculation of reaction activation energy of ACE processes; and (c) linear fit for calculation of reaction activation energy of AM processes.
Coatings 13 01782 g002
Figure 3. Shear strength of EP blending with different types of silane coupling agents.
Figure 3. Shear strength of EP blending with different types of silane coupling agents.
Coatings 13 01782 g003
Figure 4. Linear expansion coefficient of EP blending with different types of silane coupling agents.
Figure 4. Linear expansion coefficient of EP blending with different types of silane coupling agents.
Coatings 13 01782 g004
Figure 5. The gelation time–temperature diagram of EP blending with (a) VTS; (b) GPTS; and (c) MPTS.
Figure 5. The gelation time–temperature diagram of EP blending with (a) VTS; (b) GPTS; and (c) MPTS.
Coatings 13 01782 g005
Figure 6. The rate of weight change of EP blending with (a) VTS; (b) GPTS; and (c) MPTS.
Figure 6. The rate of weight change of EP blending with (a) VTS; (b) GPTS; and (c) MPTS.
Coatings 13 01782 g006
Table 1. Apparent activation energy of EP system blending with different silane coupling agents.
Table 1. Apparent activation energy of EP system blending with different silane coupling agents.
Content of Silane Coupling Agent/wt% Activation   Energy   E α /(kJ mol−1)
VTSGPTSMPTS
E α (ACE) E α (AM) E α (ACE) E α (AM) E α (ACE) E α (AM)
084.8190.3884.8190.3884.8190.38
1071.2793.771.6193.1460.4398.51
2091.3594.8760.0595.375.0798.57
30/102.5/110.1598.5799.01
Disclaimer/Publisher’s Note: The statements, opinions and data contained in all publications are solely those of the individual author(s) and contributor(s) and not of MDPI and/or the editor(s). MDPI and/or the editor(s) disclaim responsibility for any injury to people or property resulting from any ideas, methods, instructions or products referred to in the content.

Share and Cite

MDPI and ACS Style

Chen, J.; Li, B.; Zhang, S.; Li, H. Effect of the Presence of a Silane Coupling Agent on Reaction Kinetics of Cationic Thermopolymerization of Epoxy Resin Adhesive. Coatings 2023, 13, 1782. https://doi.org/10.3390/coatings13101782

AMA Style

Chen J, Li B, Zhang S, Li H. Effect of the Presence of a Silane Coupling Agent on Reaction Kinetics of Cationic Thermopolymerization of Epoxy Resin Adhesive. Coatings. 2023; 13(10):1782. https://doi.org/10.3390/coatings13101782

Chicago/Turabian Style

Chen, Jiangcong, Bingxuan Li, Shujuan Zhang, and Hengfeng Li. 2023. "Effect of the Presence of a Silane Coupling Agent on Reaction Kinetics of Cationic Thermopolymerization of Epoxy Resin Adhesive" Coatings 13, no. 10: 1782. https://doi.org/10.3390/coatings13101782

APA Style

Chen, J., Li, B., Zhang, S., & Li, H. (2023). Effect of the Presence of a Silane Coupling Agent on Reaction Kinetics of Cationic Thermopolymerization of Epoxy Resin Adhesive. Coatings, 13(10), 1782. https://doi.org/10.3390/coatings13101782

Note that from the first issue of 2016, this journal uses article numbers instead of page numbers. See further details here.

Article Metrics

Back to TopTop