A Study on Improving the Sensitivity of Indirect X-ray Detectors by Adding Hybrid Perovskite Quantum Dots
Abstract
:1. Introduction
2. Experimental Detail
2.1. Detector Fabrication Flow
2.2. Experimental Set-Up
3. Results and Discussion
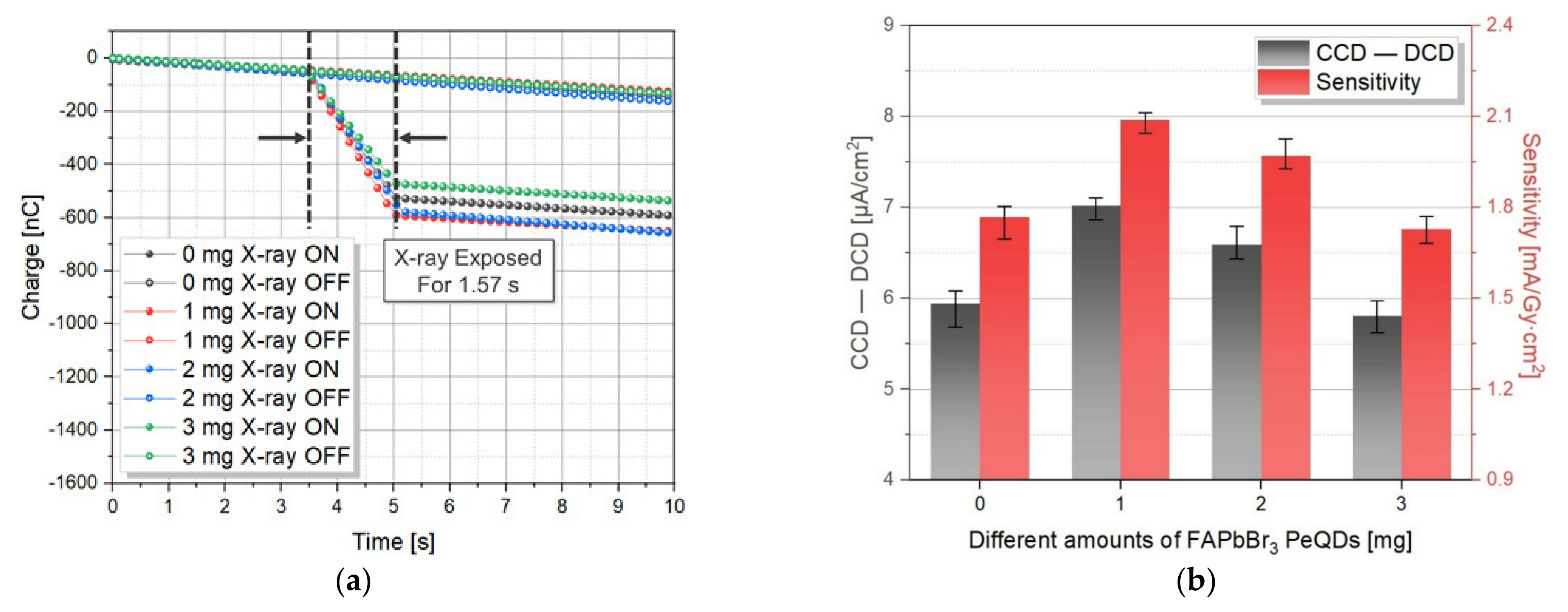
3.1. Experiment on P3HT:PC71BM Active Layer with Different Amounts of FAPbBr3 PeQDs
3.2. Experiments on FAPbBr3 PeQDs Ligand Exchange
4. Conclusions
Author Contributions
Funding
Institutional Review Board Statement
Informed Consent Statement
Data Availability Statement
Conflicts of Interest
References
- Chen, L.C.; Tien, C.H.; Tseng, P.W.; Tseng, Z.L.; Huang, W.L.; Xu, Y.X.; Kuo, H.C. Effect of Washing Solvents on the Properties of Air-Synthesized Perovskite CsPbBr3 Quantum Dots for Quantum Dot-Based Light-Emitting Devices. IEEE Access 2020, 8, 159415–159423. [Google Scholar] [CrossRef]
- Shekhirev, M.; Goza, J.; Teeter, J.; Lipatov, A.; Sinitskii, A. Synthesis of Cesium Lead Halide Perovskite Quantum Dots. J. Chem. Educ. 2017, 94, 1150–1156. [Google Scholar] [CrossRef]
- Ithurria, S.; Bousquet, G.; Dubertret, B. Continuous Transition from 3D to 1D Confinement Observed during the Formation of CdSe Nanoplatelets. J. Am. Chem. Soc. 2011, 133, 3070–3077. [Google Scholar] [CrossRef] [PubMed]
- Lupan, O.; Emelchenko, G.A.; Ursaki, V.V.; Chai, G.; Redkin, A.N.; Gruzintsev, A.N.; Tiginyanu, I.M.; Chow, L.; Ono, L.K.; Roldan Cuenya, B.; et al. Synthesis and characterization of ZnO nanowires for nanosensor applications. Mater. Res. Bull. 2010, 45, 1026–1032. [Google Scholar] [CrossRef]
- Neeleshwar, S.; Chen, C.L.; Tsai, C.B.; Chen, Y.Y.; Chen, C.C.; Shyu, S.G.; Seehra, M.S. Size-dependent properties of CdSe quantum dots. Phys. Rev. B 2005, 71, 201307. [Google Scholar] [CrossRef] [Green Version]
- Kim, B.; Lee, J.; Kang, J. Improving the sensitivity of indirect-type organic X-ray detector by blending with CdSe quantum dots. J. Instrum. 2017, 12, C01009. [Google Scholar] [CrossRef]
- Yi, G.; Wang, C.; Park, W. ZnO nanorods: Synthesis, characterization and applications. Semicond. Sci. Technol. 2005, 20, S22–S34. [Google Scholar] [CrossRef]
- Yang, P.; Yan, H.; Mao, S.; Russo, R.; Johnson, J.; Saykally, R.; Morris, N.; Pham, J.; He, R.; Choi, H.-J. Controlled Growth of ZnO Nanowires and Their Optical Properties. Adv. Funct. Mater. 2002, 12, 323–331. [Google Scholar] [CrossRef]
- Ghosh, G.; Dutta, A.; Ghosh, A.; Ghosh, S.; Patra, A. Ultrafast Carrier Dynamics in 2D CdSe Nanoplatelets–CsPbX3 Composites: Influence of the Halide Composition. J. Phys. Chem. C 2020, 124, 10252–10260. [Google Scholar] [CrossRef]
- Pedetti, S.; Ithurria, S.; Heuclin, H.; Patriarche, G.; Dubertret, B. Type-II CdSe/CdTe Core/Crown Semiconductor Nanoplatelets. J. Am. Chem. Soc. 2014, 136, 16430–16438. [Google Scholar] [CrossRef]
- Gao, Y.; Cao, D.; Liu, J.; Shen, J.; Wu, Y.; Zhang, L. Molecular dynamics simulation of the conductivity mechanism of nanorod filled polymer nanocomposites. Phys. Chem. Chem. Phys. 2015, 17, 22959–22968. [Google Scholar] [CrossRef] [PubMed]
- Yu, J.; Chen, R. Optical properties and applications of two-dimensional CdSe nanoplatelets. InfoMat 2020, 2, 905–927. [Google Scholar] [CrossRef] [Green Version]
- Choi, J.W.; Woo, H.C.; Huang, X.; Jung, W.G.; Kim, B.J.; Jeon, S.W.; Yim, S.Y.; Lee, J.S.; Lee, C.L. Organic–inorganic hybrid perovskite quantum dots with high PLQY and enhanced carrier mobility through crystallinity control by solvent engineering and solid-state ligand exchange. Nanoscale 2018, 10, 13356–13367. [Google Scholar] [CrossRef] [PubMed]
- Ye, S.; Zhao, M.; Song, J.; Qu, J. Controllable emission bands and morphologies of high-quality CsPbX3 perovskite nanocrystals prepared in octane. Nano Res. 2018, 11, 4654–4663. [Google Scholar] [CrossRef]
- Yan, A.; Guo, Y.; Liu, C.; Deng, Z.; Guo, Y.; Zhao, X. Tuning the Optical Properties of CsPbBr3 Nanocrystals by Anion Exchange Reactions with CsX Aqueous Solution. Nanoscale Res. Lett. 2018, 13, 1–7. [Google Scholar] [CrossRef] [Green Version]
- Liu, S.; He, M.; Di, X.; Li, P.; Xiang, W.; Liang, X. Precipitation and tunable emission of cesium lead halide perovskites (CsPbX3, X = Br, I) QDs in borosilicate glass. Ceram. Int. 2018, 44, 4496–4499. [Google Scholar] [CrossRef]
- Li, G.; Wang, H.; Zhang, T.; Mi, L.; Zhang, Y.; Zhang, Z.; Zhang, W.; Jiang, Y. Solvent-Polarity-Engineered Controllable Synthesis of Highly Fluorescent Cesium Lead Halide Perovskite Quantum Dots and Their Use in White Light-Emitting Diodes. Adv. Funct. Mater. 2016, 26, 8478–8486. [Google Scholar] [CrossRef]
- Minh, D.N.; Kim, J.; Hyon, J.; Sim, J.H.; Sowlih, H.H.; Seo, C.; Nam, J.; Eom, S.; Suk, S.; Lee, S.; et al. Room-Temperature Synthesis of Widely Tunable Formamidinium Lead Halide Perovskite Nanocrystals. Chem. Mater. 2017, 29, 5713–5719. [Google Scholar] [CrossRef]
- Liang, J.; Chen, D.; Yao, X.; Zhang, K.; Qu, F.; Qin, L.; Huang, Y.; Li, J. Recent Progress and Development in Inorganic Halide Perovskite Quantum Dots for Photoelectrochemical Applications. Small 2020, 16, 1903398. [Google Scholar] [CrossRef]
- Protesescu, L.; Yakunin, S.; Bodnarchuk, M.I.; Krieg, F.; Caputo, R.; Hendon, C.H.; Yang, R.X.; Walsh, A.; Kovalenko, M.V. Nanocrystals of Cesium Lead Halide Perovskites (CsPbX3, X = Cl, Br, and I): Novel Optoelectronic Materials Showing Bright Emission with Wide Color Gamut. Nano Lett. 2015, 15, 3692–3696. [Google Scholar] [CrossRef] [Green Version]
- Dai, S.W.; Hsu, B.W.; Chen, C.Y.; Lee, C.A.; Liu, H.Y.; Wang, H.F.; Huang, Y.C.; Wu, T.L.; Manikandan, A.; Ho, R.M.; et al. Perovskite Quantum Dots with Near Unity Solution and Neat-Film Photoluminescent Quantum Yield by Novel Spray Synthesis. Adv. Mater. 2018, 30, 1705532. [Google Scholar] [CrossRef] [PubMed]
- Liu, J.; Shabbir, B.; Wang, C.; Wan, T.; Ou, Q.; Yu, P.; Tadich, A.; Jiao, X.; Chu, D.; Qi, D.; et al. Flexible, Printable Soft-X-Ray Detectors Based on All-Inorganic Perovskite Quantum Dots. Adv. Mater. 2019, 31, 1901644. [Google Scholar] [CrossRef] [PubMed]
- Zhao, F.; Chen, D.; Chang, S.; Huang, H.; Tong, K.; Xiao, C.; Chou, S.; Zhong, H.; Pei, Q. Highly flexible organometal halide perovskite quantum dot based light-emitting diodes on a silver nanowire–polymer composite electrode. J. Mater. Chem. C 2017, 5, 531–538. [Google Scholar] [CrossRef]
- Li, Y.; Lv, Y.; Guo, Z.; Dong, L.; Zheng, J.; Chai, C.; Chen, N.; Lu, Y.; Chen, C. One-Step Preparation of Long-Term Stable and Flexible CsPbBr3 Perovskite Quantum Dots/Ethylene Vinyl Acetate Copolymer Composite Films for White Light-Emitting Diodes. ACS Appl. Mater. Interfaces 2018, 10, 15888–15894. [Google Scholar] [CrossRef] [PubMed]
- Wei, Y.; Cheng, Z.; Lin, J. An overview on enhancing the stability of lead halide perovskite quantum dots and their applications in phosphor-converted LEDs. Chem. Soc. Rev. 2019, 48, 310–350. [Google Scholar] [CrossRef] [PubMed]
- Mali, S.S.; Shim, C.S.; Hong, C.K. Highly stable and efficient solid-state solar cells based on methylammonium lead bromide (CH3NH3PbBr3) perovskite quantum dots. NPG Asia Mater. 2015, 7, e208. [Google Scholar] [CrossRef] [Green Version]
- Lin, J.; Lu, Y.; Li, X.; Huang, F.; Yang, C.; Liu, M.; Jiang, N.; Chen, D. Perovskite quantum dots glasses based backlit displays. ACS Energy Lett. 2021, 6, 519–528. [Google Scholar] [CrossRef]
- Huang, S.; Guo, M.; Tan, J.; Geng, Y.; Wu, J.; Tang, Y.; Su, C.; Lin, C.C.; Liang, Y. Novel fluorescence sensor based on all-inorganic perovskite quantum dots coated with molecularly imprinted polymers for highly selective and sensitive detection of omethoate. ACS Appl. Mater. Interfaces 2018, 10, 39056–39063. [Google Scholar] [CrossRef]
- Li, Q.; Li, T.; Zhang, Y.; Yu, Y.; Chen, Z.; Jin, L.; Li, Y.; Yang, Y.; Zhao, H.; Li, J.; et al. Nonvolatile photoelectric memory with CsPbBr3 quantum dots embedded in poly (methyl methacrylate) as charge trapping layer. Org. Electron. 2020, 77, 105461. [Google Scholar] [CrossRef]
- Lin, Y.; Li, T.; Liu, Y.; Bahrami, B.; Guo, D.; Fang, Y.; Shao, Y.; Chowdhury, A.H.; Wang, Q.; Deng, Y.; et al. Perovskite solar cells with embedded homojunction via nonuniform metal ion doping. Cell Rep. 2021, 2, 100415. [Google Scholar]
- Zhang, G.; Zheng, Y.; Shi, Y.; Ma, X.; Sun, M.; Li, T.; Yang, B.; Shao, Y. Improving the Performance of Perovskite Solar Cells with Insulating Additive-Modified Hole Transport Layers. ACS Appl. Mater. Interfaces 2022, 14, 11500–11508. [Google Scholar] [CrossRef] [PubMed]
- Feng, Y.; Pan, L.; Wei, H.; Liu, Y.; Ni, Z.; Zhao, J.; Rudd, P.N.; Cao, L.R.; Huang, J. Low defects density CsPbBr 3 single crystals grown by an additive assisted method for gamma-ray detection. J. Mater. Chem. C 2020, 8, 11360–11368. [Google Scholar] [CrossRef]
- Pan, L.; Feng, Y.; Kandlakunta, P.; Huang, J.; Cao, L.R. Performance of perovskite CsPbBr3 single crystal detector for gamma-ray detection. IEEE Trans. Nucl. Sci. 2020, 67, 443–449. [Google Scholar] [CrossRef]
- Shao, Y.; Liu, Y.; Chen, X.; Chen, C.; Sarpkaya, I.; Chen, Z.; Fang, Y.; Kong, J.; Watanabe, K.; Taniguchi, T.; et al. Stable graphene-two-dimensional multiphase perovskite heterostructure phototransistors with high gain. Nano Lett. 2017, 17, 7330–7338. [Google Scholar] [CrossRef]
- Hanke, R.; Fuchs, T.; Uhlmann, N. X-ray based methods for non-destructive testing and material characterization. Nucl. Instrum. Methods Phys. Res. A 2008, 591, 14–18. [Google Scholar] [CrossRef]
- Nagarkar, V.V.; Gordon, J.S.; Vasile, S.; Gothoskar, P.; Hopkins, F. High resolution X-ray sensor for non-destructive evaluation. IEEE Trans. Nucl. Sci. 1996, 43, 1559–1563. [Google Scholar] [CrossRef]
- Chen, P.; Sun, Z. A review of non-destructive methods for quality evaluation and sorting of agricultural products. J. Agric. Eng. Res. 1991, 49, 85–98. [Google Scholar] [CrossRef]
- Kim, S.; Lee, J.; Kang, J. Sensitivity Improvement of Quantum Dot-Blended Hybrid Detector for X-ray Imaging. Coatings 2020, 10, 222. [Google Scholar] [CrossRef] [Green Version]
- Lee, J.; Liu, H.; Kang, J. A Study on an Organic Semiconductor-Based Indirect X-ray Detector with Cd-Free QDs for Sensitivity Improvement. Sensors 2020, 20, 6562. [Google Scholar] [CrossRef]
- Kingsley, J.W.; Pearson, A.J.; Harris, L.; Weston, S.J.; Lidzey, D.G. Detecting 6 MV X-rays using an organic photovoltaic device. Org. Electron. 2009, 10, 1170–1173. [Google Scholar] [CrossRef] [Green Version]
- Murgatroyd, P.N. Theory of space-charge-limited current enhanced by Frenkel effect. J. Phys. D 1970, 3, 151. [Google Scholar] [CrossRef]
- Shi, J.; Jin, X.; Wu, Y.; Shao, M. Mixed bulky cations for efficient and stable Ruddlesden—Popper perovskite solar cells. APL Mater. 2020, 8, 101102. [Google Scholar] [CrossRef]
- Bi, C.; Kershaw, S.V.; Rogach, A.L.; Tian, J. Improved Stability and Photodetector Performance of CsPbI3 Perovskite Quantum Dots by Ligand Exchange with Aminoethanethiol. Adv. Funct. Mater. 2019, 29, 1902446. [Google Scholar] [CrossRef]
- Lokteva, I.; Radychev, N.; Witt, F.; Borchert, H.; Parisi, J.; Kolny-Olesiak, J. Surface Treatment of CdSe Nanoparticles for Application in Hybrid Solar Cells: The Effect of Multiple Ligand Exchange with Pyridine. J. Phys. Chem. C 2010, 114, 12784–12791. [Google Scholar] [CrossRef]
- Kuno, M.; Lee, J.K.; Dabbousi, B.O.; Mikulec, F.V.; Bawendi, M.G. The band edge luminescence of surface modified CdSe nanocrystallites: Probing the luminescing state. J. Chem. Phys. 1997, 106, 9869–9882. [Google Scholar] [CrossRef]









| PeQDs Amounts [mg] | JSC [mA/cm2] | RS [Ω] |
|---|---|---|
| 0 | 9.59 | 324.59 |
| 1 | 11.05 | 262.79 |
| 2 | 10.46 | 305.57 |
| 3 | 9.41 | 349.55 |
| PeQDs Amounts [mg] | Ra [nm] | Rmax [nm] |
|---|---|---|
| 0 | 0.48 | 6.6 |
| 1 | 0.62 | 11.3 |
| 2 | 0.72 | 14.6 |
| 3 | 0.93 | 30.2 |
Publisher’s Note: MDPI stays neutral with regard to jurisdictional claims in published maps and institutional affiliations. |
© 2022 by the authors. Licensee MDPI, Basel, Switzerland. This article is an open access article distributed under the terms and conditions of the Creative Commons Attribution (CC BY) license (https://creativecommons.org/licenses/by/4.0/).
Share and Cite
Lee, K.; Lee, J.; Han, D.; Liu, H.; Kang, J. A Study on Improving the Sensitivity of Indirect X-ray Detectors by Adding Hybrid Perovskite Quantum Dots. Coatings 2022, 12, 492. https://doi.org/10.3390/coatings12040492
Lee K, Lee J, Han D, Liu H, Kang J. A Study on Improving the Sensitivity of Indirect X-ray Detectors by Adding Hybrid Perovskite Quantum Dots. Coatings. 2022; 12(4):492. https://doi.org/10.3390/coatings12040492
Chicago/Turabian StyleLee, Kwanyong, Jehoon Lee, Daeho Han, Hailiang Liu, and Jungwon Kang. 2022. "A Study on Improving the Sensitivity of Indirect X-ray Detectors by Adding Hybrid Perovskite Quantum Dots" Coatings 12, no. 4: 492. https://doi.org/10.3390/coatings12040492
APA StyleLee, K., Lee, J., Han, D., Liu, H., & Kang, J. (2022). A Study on Improving the Sensitivity of Indirect X-ray Detectors by Adding Hybrid Perovskite Quantum Dots. Coatings, 12(4), 492. https://doi.org/10.3390/coatings12040492

