Nanoantioxidants: The Fourth Generation of Antioxidants—Recent Research Roadmap and Future Perspectives
Abstract
1. Introduction
2. Antioxidants
3. Nanoantioxidants
4. Classification of Antioxidant Action
4.1. Preventive Antioxidants
4.2. Chain-Breaking Antioxidants
5. Nanomaterials with Inherent Antioxidant Capabilities
6. Antioxidant Functionalized Nanoparticles
7. Inert Scaffold with Antioxidant Functionalities
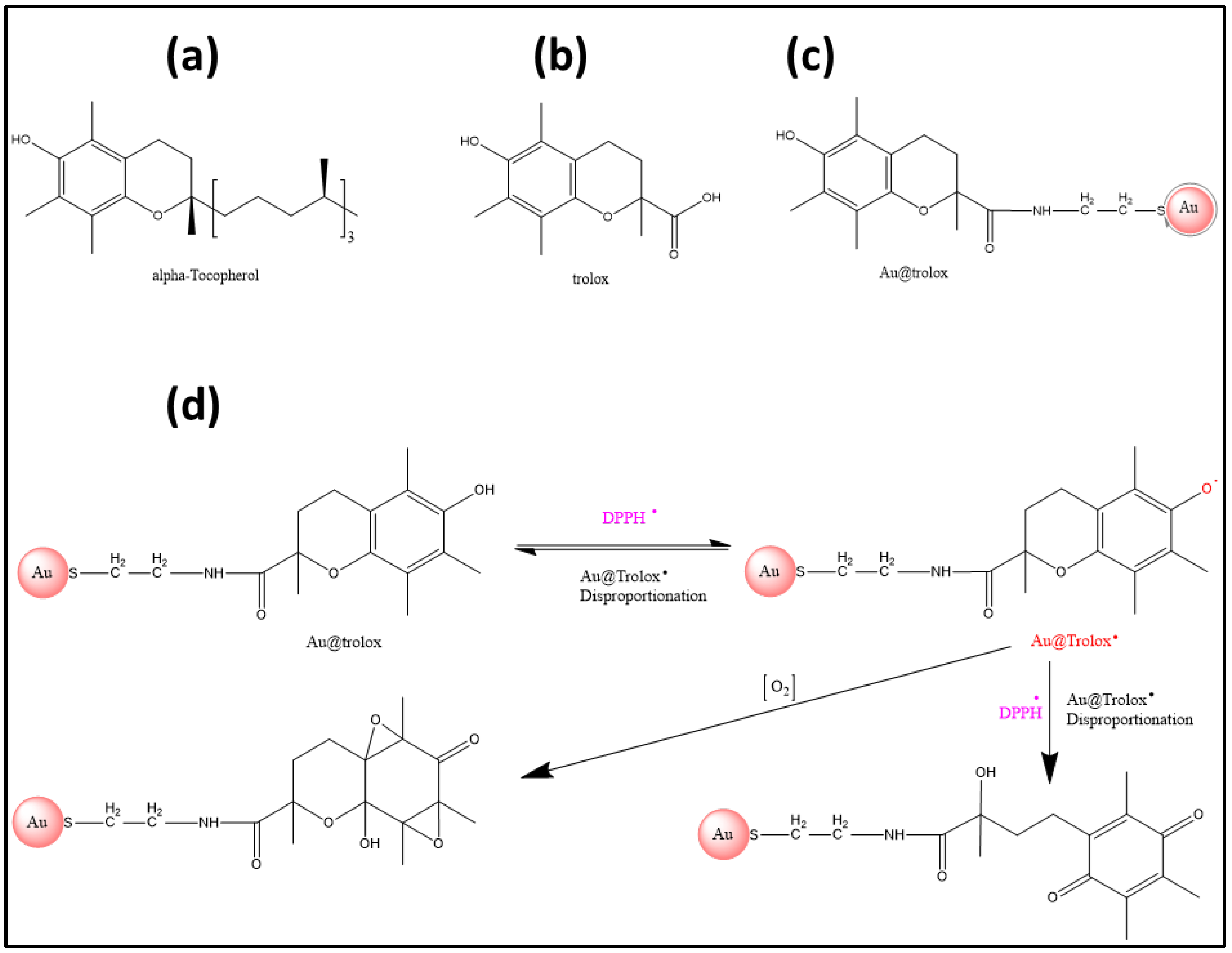
7.1. Gold Nanoparticles (AuNPs)
7.2. SiO2 Nanoparticles
7.3. Silver Nanoparticles (AgNPs)
7.4. Copper Oxide Nanoparticles
7.5. Iron Nanoparticles (INPs)
7.6. Selenium Nanoparticles
7.7. Bimetallic Nanoantioxidants
8. Conclusions
9. Recommendation for Future Research
10. Limitation of This Study
Author Contributions
Funding
Institutional Review Board Statement
Informed Consent Statement
Data Availability Statement
Acknowledgments
Conflicts of Interest
References
- Seals, D.R.; Justice, J.N.; LaRocca, T.J. Physiological geroscience: Targeting function to increase healthspan and achieve optimal longevity. J. Physiol. 2016, 594, 2001–2024. [Google Scholar] [CrossRef] [PubMed]
- Yabluchanskiy, A.; Ungvari, Z.; Csiszar, A.; Tarantini, S. Advances and challenges in geroscience research: An update. Physiol. Int. 2018, 105, 298–308. [Google Scholar] [CrossRef] [PubMed]
- Dabhade, P.; Kotwal, S. Tackling the aging process with bio-molecules: A possible role for caloric restriction, food-derived nutrients, vitamins, amino acids, peptides, and minerals. J. Nutr. Gerontol. Geriatr. 2013, 32, 24–40. [Google Scholar] [CrossRef] [PubMed]
- Chang, C.H.; Lee, K.-Y.; Shim, Y.H. Normal aging: Definition and physiologic changes. Jkma 2017, 60, 358–363. [Google Scholar] [CrossRef]
- Harman, D. Aging: A theory based on free radical and radiation chemistry. J. Gerontol. 1956, 11, 298–300. [Google Scholar] [CrossRef]
- Islam, M.T. Oxidative stress and mitochondrial dysfunction-linked neurodegenerative disorders. Neurol. Res. 2017, 39, 73–82. [Google Scholar] [CrossRef]
- Valentao, P.; Fernandes, E.; Carvalho, F.; Andrade, P.B.; Seabra, R.M.; de Lourdes Bastos, M. Antioxidant activity of hypericum androsaemum infusion: Scavenging activity against superoxide radical, hydroxyl radical and hypochlorous acid. Biol. Pharm. Bull. 2002, 25, 1320–1323. [Google Scholar] [CrossRef]
- Chang, K.-H.; Chen, C.-M. The role of oxidative stress in parkinson’s disease. Antioxidants 2020, 9, 597. [Google Scholar] [CrossRef]
- López-Otín, C.; Blasco, M.A.; Partridge, L.; Serrano, M.; Kroemer, G. The hallmarks of aging. Cell 2013, 153, 1194–1217. [Google Scholar] [CrossRef]
- Ingold, K.U.; Pratt, D.A. Advances in radical-trapping antioxidant chemistry in the 21st century: A kinetics and mechanisms perspective. Chem. Rev. 2014, 114, 9022–9046. [Google Scholar] [CrossRef]
- Cadet, J.; Wagner, J.R. Oxidatively generated base damage to cellular DNA by hydroxyl radical and one-electron oxidants: Similarities and differences. Arch. Biochem. Biophys. 2014, 557, 47–54. [Google Scholar] [CrossRef]
- Zhang, H.; Forman, H.J. 4-hydroxynonenal-mediated signaling and aging. Free Radic. Biol. Med. 2017, 111, 219–225. [Google Scholar] [CrossRef]
- Morry, J.; Ngamcherdtrakul, W.; Yantasee, W. Oxidative stress in cancer and fibrosis: Opportunity for therapeutic intervention with antioxidant compounds, enzymes, and nanoparticles. Redox Biol. 2017, 11, 240–253. [Google Scholar] [CrossRef]
- Ricordi, C.; Garcia-Contreras, M.; Farnetti, S. Diet and inflammation: Possible effects on immunity, chronic diseases, and life span. J. Am. Coll. Nutr. 2015, 34, 10–13. [Google Scholar] [CrossRef]
- Young, I.S.; Woodside, J.V. Antioxidants in health and disease. J. Clin. Pathol. 2001, 54, 176. [Google Scholar] [CrossRef]
- Mattill, H.A. Antioxidants. Annu. Rev. Biochem. 1947, 16, 177–192. [Google Scholar] [CrossRef]
- German, J.B. Food processing and lipid oxidation. Adv. Exp. Med. Biol. 1999, 459, 23–50. [Google Scholar]
- Jacob, R. Three eras of vitamin c discovery. Sub-Cell. Biochem. 1996, 25, 1–16. [Google Scholar]
- Knight, J.A. Free radicals: Their history and current status in aging and disease. Ann. Clin. Lab. Sci. 1998, 28, 331–346. [Google Scholar]
- Halliwell, B. How to Characterize an Antioxidant: An Update. Biochem. Soc. Symp. 1995, 61, 73–101. [Google Scholar]
- Shi, H.; Noguchi, N.; Niki, E. Comparative study on dynamics of antioxidative action of α-tocopheryl hydroquinone, ubiquinol, and α-tocopherol against lipid peroxidation. Free Radic. Biol. Med. 1999, 27, 334–346. [Google Scholar] [CrossRef]
- Levine, M.; Rumsey, S.C.; Daruwala, R.; Park, J.B.; Wang, Y. Criteria and recommendations for vitamin c intake. JAMA 1999, 281, 1415–1423. [Google Scholar] [CrossRef]
- Khan, M.I.; Giridhar, P. Dietary antioxidants: The insurer of health. Everyman’s Sci. 2011, 46, 214–218. [Google Scholar]
- Medhe, S.; Bansal, P.; Srivastava, M.M. Enhanced antioxidant activity of gold nanoparticle embedded 3, 6-dihydroxyflavone: A combinational study. Appl. Nanosci. 2014, 4, 153–161. [Google Scholar] [CrossRef]
- Fleuriet, A.; Macheix, J.-J. Phenolic acids in fruits and vegetables. Flavonoids Health Dis. 2003, 1. [Google Scholar]
- Lim, Y.; Lim, T.; Tee, J. Antioxidant properties of several tropical fruits: A comparative study. Food Chem. 2007, 103, 1003–1008. [Google Scholar] [CrossRef]
- Anagnostopoulou, M.A.; Kefalas, P.; Papageorgiou, V.P.; Assimopoulou, A.N.; Boskou, D. Radical scavenging activity of various extracts and fractions of sweet orange peel (citrus sinensis). Food Chem. 2006, 94, 19–25. [Google Scholar] [CrossRef]
- Li, L.; Ng, T.; Gao, W.; Li, W.; Fu, M.; Niu, S.; Zhao, L.; Chen, R.; Liu, F. Antioxidant activity of gallic acid from rose flowers in senescence accelerated mice. Life Sci. 2005, 77, 230–240. [Google Scholar] [CrossRef]
- Tułodziecka, A.; Szydłowska-Czerniak, A. Determination of total antioxidant capacity of rapeseed and its by-products by a novel cerium oxide nanoparticle-based spectrophotometric method. Food Anal. Methods 2016, 9, 3053–3062. [Google Scholar] [CrossRef]
- Verma, A.K. Anti-oxidant activities of biopolymeric nanoparticles: Boon or bane! J. Pharm. Res. 2014, 8, 871–876. [Google Scholar]
- Eftekhari, A.; Ahmadian, E.; Panahi-Azar, V.; Hosseini, H.; Tabibiazar, M.; Maleki Dizaj, S. Hepatoprotective and free radical scavenging actions of quercetin nanoparticles on aflatoxin b1-induced liver damage: In vitro/in vivo studies. Artif. Cells Nanomed. Biotechnol. 2018, 46, 411–420. [Google Scholar] [CrossRef] [PubMed]
- Yosri, N.; Khalifa, S.A.; Guo, Z.; Xu, B.; Zou, X.; El-Seedi, H.R. Marine organisms: Pioneer natural sources of polysaccharides/proteins for green synthesis of nanoparticles and their potential applications. Int. J. Biol. Macromol. 2021, 193, 1767–1798. [Google Scholar] [CrossRef] [PubMed]
- Hasanzadeh, M.; Mokhtari, F.; Shadjou, N.; Eftekhari, A.; Mokhtarzadeh, A.; Jouyban-Gharamaleki, V.; Mahboob, S. Poly arginine-graphene quantum dots as a biocompatible and non-toxic nanocomposite: Layer-by-layer electrochemical preparation, characterization and non-invasive malondialdehyde sensory application in exhaled breath condensate. Mater. Sci. Eng. C 2017, 75, 247–258. [Google Scholar] [CrossRef] [PubMed]
- Hasanzadeh, M.; Tagi, S.; Solhi, E.; Mokhtarzadeh, A.; Shadjou, N.; Eftekhari, A.; Mahboob, S. An innovative immunosensor for ultrasensitive detection of breast cancer specific carbohydrate (ca 15-3) in unprocessed human plasma and mcf-7 breast cancer cell lysates using gold nanospear electrochemically assembled onto thiolated graphene quantum dots. Int. J. Biol. Macromol. 2018, 114, 1008–1017. [Google Scholar] [CrossRef]
- Hu, B.; Liu, X.; Zhang, C.; Zeng, X. Food macromolecule based nanodelivery systems for enhancing the bioavailability of polyphenols. J. Food Drug Anal. 2017, 25, 3–15. [Google Scholar] [CrossRef]
- Eftekhari, A.; Dizaj, S.M.; Chodari, L.; Sunar, S.; Hasanzadeh, A.; Ahmadian, E.; Hasanzadeh, M. The promising future of nano-antioxidant therapy against environmental pollutants induced-toxicities. Biomed. Pharmacother. 2018, 103, 1018–1027. [Google Scholar] [CrossRef]
- Eftekhari, A.; Ahmadian, E.; Azami, A.; Johari-Ahar, M.; Eghbal, M.A. Protective effects of coenzyme q10 nanoparticles on dichlorvos-induced hepatotoxicity and mitochondrial/lysosomal injury. Environ. Toxicol. 2018, 33, 167–177. [Google Scholar] [CrossRef]
- Pohlmann, A.R.; Schaffazick, S.R.; Creczynski-Pasa, T.B.; Guterres, S.S. Preparation of drug-loaded polymeric nanoparticles and evaluation of the antioxidant activity against lipid peroxidation. In Free Radicals and Antioxidant Protocols; Springer: Berlin/Heidelberg, Germany, 2010; pp. 109–121. [Google Scholar]
- Mohammed, E.; Safwat, G. Assessment of the ameliorative role of selenium nanoparticles on the oxidative stress of acetaminophen in some tissues of male albino rats. Beni-Suef Univ. J. Basic Appl. Sci. 2013, 2, 80–85. [Google Scholar] [CrossRef]
- Kumar, G.S.; Kulkarni, A.; Khurana, A.; Kaur, J.; Tikoo, K. Selenium nanoparticles involve hsp-70 and sirt1 in preventing the progression of type 1 diabetic nephropathy. Chem.-Biol. Interact. 2014, 223, 125–133. [Google Scholar] [CrossRef]
- Zahran, W.E.; Elsonbaty, S.M.; Moawed, F.S. Selenium nanoparticles with low-level ionizing radiation exposure ameliorate nicotine-induced inflammatory impairment in rat kidney. Environ. Sci. Pollut. Res. 2017, 24, 19980–19989. [Google Scholar] [CrossRef]
- Baranwal, A.; Mahato, K.; Srivastava, A.; Maurya, P.K.; Chandra, P. Phytofabricated metallic nanoparticles and their clinical applications. RSC Adv. 2016, 6, 105996–106010. [Google Scholar] [CrossRef]
- Abdel-Aziz, M.S.; Shaheen, M.S.; El-Nekeety, A.A.; Abdel-Wahhab, M.A. Antioxidant and antibacterial activity of silver nanoparticles biosynthesized using chenopodium murale leaf extract. J. Saudi Chem. Soc. 2014, 18, 356–363. [Google Scholar] [CrossRef]
- Watts, P.; Fearon, P.; Hsu, W.; Billingham, N.; Kroto, H.; Walton, D. Carbon nanotubes as polymer antioxidants. J. Mater. Chem. 2003, 13, 491–495. [Google Scholar] [CrossRef]
- Lucente-Schultz, R.M.; Moore, V.C.; Leonard, A.D.; Price, B.K.; Kosynkin, D.V.; Lu, M.; Partha, R.; Conyers, J.L.; Tour, J.M. Antioxidant single-walled carbon nanotubes. J. Am. Chem. Soc. 2009, 131, 3934–3941. [Google Scholar] [CrossRef]
- Nelson, B.C.; Johnson, M.E.; Walker, M.L.; Riley, K.R.; Sims, C.M. Antioxidant cerium oxide nanoparticles in biology and medicine. Antioxidants 2016, 5, 15. [Google Scholar] [CrossRef]
- Eriksson, P.; Tal, A.A.; Skallberg, A.; Brommesson, C.; Hu, Z.; Boyd, R.D.; Olovsson, W.; Fairley, N.; Abrikosov, I.A.; Zhang, X.; et al. Cerium oxide nanoparticles with antioxidant capabilities and gadolinium integration for mri contrast enhancement. Sci. Rep. 2018, 8, 6999. [Google Scholar] [CrossRef]
- Das, S.; Dowding, J.M.; Klump, K.E.; McGinnis, J.F.; Self, W.; Seal, S. Cerium oxide nanoparticles: Applications and prospects in nanomedicine. Nanomedicine 2013, 8, 1483–1508. [Google Scholar] [CrossRef]
- Hirst, S.M.; Karakoti, A.; Singh, S.; Self, W.; Tyler, R.; Seal, S.; Reilly, C.M. Bio-distribution and in vivo antioxidant effects of cerium oxide nanoparticles in mice. Environ. Toxicol. 2013, 28, 107–118. [Google Scholar] [CrossRef]
- Caputo, F.; De Nicola, M.; Sienkiewicz, A.; Giovanetti, A.; Bejarano, I.; Licoccia, S.; Traversa, E.; Ghibelli, L. Cerium oxide nanoparticles, combining antioxidant and uv shielding properties, prevent uv-induced cell damage and mutagenesis. Nanoscale 2015, 7, 15643–15656. [Google Scholar] [CrossRef]
- Du, L.; Li, J.; Chen, C.; Liu, Y. Nanocarrier: A potential tool for future antioxidant therapy. Free Radic. Res. 2014, 48, 1061–1069. [Google Scholar] [CrossRef]
- Hans, M.L.; Lowman, A.M. Biodegradable nanoparticles for drug delivery and targeting. Curr. Opin. Solid State Mater. Sci. 2002, 6, 319–327. [Google Scholar] [CrossRef]
- Vila, A.; Sánchez, A.; Tobío, M.; Calvo, P.; Alonso, M.J. Design of biodegradable particles for protein delivery. J. Control. Release 2002, 78, 15–24. [Google Scholar] [CrossRef]
- Shah, B.R.; Zhang, C.; Li, Y.; Li, B. Bioaccessibility and antioxidant activity of curcumin after encapsulated by nano and pickering emulsion based on chitosan-tripolyphosphate nanoparticles. Food Res. Int. 2016, 89, 399–407. [Google Scholar] [CrossRef]
- Pu, H.-L.; Chiang, W.-L.; Maiti, B.; Liao, Z.-X.; Ho, Y.-C.; Shim, M.S.; Chuang, E.-Y.; Xia, Y.; Sung, H.-W. Nanoparticles with dual responses to oxidative stress and reduced ph for drug release and anti-inflammatory applications. ACS Nano 2014, 8, 1213–1221. [Google Scholar] [CrossRef]
- Amorati, R.; Valgimigli, L. Advantages and limitations of common testing methods for antioxidants. Free Radic. Res. 2015, 49, 633–649. [Google Scholar] [CrossRef]
- Barajas-Carmona, J.G.; Francisco-Aldana, L.; Morales-Narváez, E. Wearable nanoplasmonic patch detecting sun/uv exposure. Anal. Chem. 2017, 89, 13589–13595. [Google Scholar] [CrossRef] [PubMed]
- Perron, N.R.; Brumaghim, J.L. A review of the antioxidant mechanisms of polyphenol compounds related to iron binding. Cell Biochem. Biophys. 2009, 53, 75–100. [Google Scholar] [CrossRef] [PubMed]
- Lu, J.; Holmgren, A. The thioredoxin antioxidant system. Free Radic. Biol. Med. 2014, 66, 75–87. [Google Scholar] [CrossRef] [PubMed]
- Brand, M.D.; Affourtit, C.; Esteves, T.C.; Green, K.; Lambert, A.J.; Miwa, S.; Pakay, J.L.; Parker, N. Mitochondrial superoxide: Production, biological effects, and activation of uncoupling proteins. Free Radic. Biol. Med. 2004, 37, 755–767. [Google Scholar] [CrossRef] [PubMed]
- Mu, J.; Zhang, L.; Zhao, M.; Wang, Y. Co3o4 nanoparticles as an efficient catalase mimic: Properties, mechanism and its electrocatalytic sensing application for hydrogen peroxide. J. Mol. Catal. A Chem. 2013, 378, 30–37. [Google Scholar] [CrossRef]
- Pirmohamed, T.; Dowding, J.M.; Singh, S.; Wasserman, B.; Heckert, E.; Karakoti, A.S.; King, J.E.; Seal, S.; Self, W.T. Nanoceria exhibit redox state-dependent catalase mimetic activity. Chem. Commun. 2010, 46, 2736–2738. [Google Scholar] [CrossRef]
- Singh, N.; Savanur, M.A.; Srivastava, S.; D’Silva, P.; Mugesh, G. A redox modulatory mn3o4 nanozyme with multi-enzyme activity provides efficient cytoprotection to human cells in a parkinson’s disease model. Angew. Chem. 2017, 129, 14455–14459. [Google Scholar] [CrossRef]
- Chen, Z.; Yin, J.-J.; Zhou, Y.-T.; Zhang, Y.; Song, L.; Song, M.; Hu, S.; Gu, N. Dual enzyme-like activities of iron oxide nanoparticles and their implication for diminishing cytotoxicity. ACS Nano 2012, 6, 4001–4012. [Google Scholar] [CrossRef]
- Silvestri, B.; Vitiello, G.; Luciani, G.; Calcagno, V.; Costantini, A.; Gallo, M.; Parisi, S.; Paladino, S.; Iacomino, M.; D’Errico, G. Probing the eumelanin–silica interface in chemically engineered bulk hybrid nanoparticles for targeted subcellular antioxidant protection. ACS Appl. Mater. Interfaces 2017, 9, 37615–37622. [Google Scholar] [CrossRef]
- Dong, J.; Song, L.; Yin, J.-J.; He, W.; Wu, Y.; Gu, N.; Zhang, Y. Co3o4 nanoparticles with multi-enzyme activities and their application in immunohistochemical assay. ACS Appl. Mater. Interfaces 2014, 6, 1959–1970. [Google Scholar] [CrossRef]
- Nosaka, Y.; Nosaka, A.Y. Generation and detection of reactive oxygen species in photocatalysis. Chem. Rev. 2017, 117, 11302–11336. [Google Scholar] [CrossRef]
- Wei, H.; Wang, E. Nanomaterials with enzyme-like characteristics (nanozymes): Next-generation artificial enzymes. Chem. Soc. Rev. 2013, 42, 6060–6093. [Google Scholar] [CrossRef]
- Wason, M.S.; Colon, J.; Das, S.; Seal, S.; Turkson, J.; Zhao, J.; Baker, C.H. Sensitization of pancreatic cancer cells to radiation by cerium oxide nanoparticle-induced ros production. Nanomed. Nanotechnol. Biol. Med. 2013, 9, 558–569. [Google Scholar] [CrossRef]
- Cafun, J.; Kvashnina, K.; Casals, E.; Puntes, V.; Glatzel, P. Absence of ce 3+ sites in chemically active colloidal ceria nanoparticles. ACS Nano 2013, 7, 10726–10732. [Google Scholar] [CrossRef]
- Celardo, I.; Pedersen, J.Z.; Traversa, E.; Ghibelli, L. Pharmacological potential of cerium oxide nanoparticles. Nanoscale 2011, 3, 1411–1420. [Google Scholar] [CrossRef]
- Mu, J.; Zhang, L.; Zhao, M.; Wang, Y. Catalase mimic property of co3o4 nanomaterials with different morphology and its application as a calcium sensor. ACS Appl. Mater. Interfaces 2014, 6, 7090–7098. [Google Scholar] [CrossRef]
- Li, J.; Liu, W.; Wu, X.; Gao, X. Mechanism of ph-switchable peroxidase and catalase-like activities of gold, silver, platinum and palladium. Biomaterials 2015, 48, 37–44. [Google Scholar] [CrossRef]
- Vernekar, A.A.; Sinha, D.; Srivastava, S.; Paramasivam, P.U.; D’Silva, P.; Mugesh, G. An antioxidant nanozyme that uncovers the cytoprotective potential of vanadia nanowires. Nat. Commun. 2014, 5, 5301. [Google Scholar] [CrossRef]
- He, W.; Zhou, Y.-T.; Wamer, W.G.; Hu, X.; Wu, X.; Zheng, Z.; Boudreau, M.D.; Yin, J.-J. Intrinsic catalytic activity of au nanoparticles with respect to hydrogen peroxide decomposition and superoxide scavenging. Biomaterials 2013, 34, 765–773. [Google Scholar] [CrossRef]
- Fan, J.; Yin, J.-J.; Ning, B.; Wu, X.; Hu, Y.; Ferrari, M.; Anderson, G.J.; Wei, J.; Zhao, Y.; Nie, G. Direct evidence for catalase and peroxidase activities of ferritin–platinum nanoparticles. Biomaterials 2011, 32, 1611–1618. [Google Scholar] [CrossRef]
- Liu, Y.; Wu, H.; Li, M.; Yin, J.-J.; Nie, Z. Ph dependent catalytic activities of platinum nanoparticles with respect to the decomposition of hydrogen peroxide and scavenging of superoxide and singlet oxygen. Nanoscale 2014, 6, 11904–11910. [Google Scholar] [CrossRef]
- Huang, Y.; Liu, C.; Pu, F.; Liu, Z.; Ren, J.; Qu, X. A go–se nanocomposite as an antioxidant nanozyme for cytoprotection. Chem. Commun. 2017, 53, 3082–3085. [Google Scholar] [CrossRef] [PubMed]
- Watanabe, A.; Kajita, M.; Kim, J.; Kanayama, A.; Takahashi, K.; Mashino, T.; Miyamoto, Y. In vitro free radical scavenging activity of platinum nanoparticles. Nanotechnology 2009, 20, 455105. [Google Scholar] [CrossRef] [PubMed]
- Lee, S.S.; Song, W.; Cho, M.; Puppala, H.L.; Nguyen, P.; Zhu, H.; Segatori, L.; Colvin, V.L. Antioxidant properties of cerium oxide nanocrystals as a function of nanocrystal diameter and surface coating. ACS Nano 2013, 7, 9693–9703. [Google Scholar] [CrossRef] [PubMed]
- Balaji, S.; Mandal, B.K.; Ranjan, S.; Dasgupta, N.; Chidambaram, R. Nano-zirconia–evaluation of its antioxidant and anticancer activity. J. Photochem. Photobiol. B Biol. 2017, 170, 125–133. [Google Scholar] [CrossRef]
- Ju, K.-Y.; Lee, Y.; Lee, S.; Park, S.B.; Lee, J.-K. Bioinspired polymerization of dopamine to generate melanin-like nanoparticles having an excellent free-radical-scavenging property. Biomacromolecules 2011, 12, 625–632. [Google Scholar] [CrossRef]
- Liu, Y.; Ai, K.; Ji, X.; Askhatova, D.; Du, R.; Lu, L.; Shi, J. Comprehensive insights into the multi-antioxidative mechanisms of melanin nanoparticles and their application to protect brain from injury in ischemic stroke. J. Am. Chem. Soc. 2017, 139, 856–862. [Google Scholar] [CrossRef]
- Korschelt, K.; Ragg, R.; Metzger, C.S.; Kluenker, M.; Oster, M.; Barton, B.; Panthöfer, M.; Strand, D.; Kolb, U.; Mondeshki, M. Glycine-functionalized copper (ii) hydroxide nanoparticles with high intrinsic superoxide dismutase activity. Nanoscale 2017, 9, 3952–3960. [Google Scholar] [CrossRef]
- Ragg, R.; Tahir, M.N.; Tremel, W. Solids go bio: Inorganic nanoparticles as enzyme mimics. Eur. J. Inorg. Chem. 2016, 2016, 1906–1915. [Google Scholar] [CrossRef]
- Samuel, E.L.; Marcano, D.C.; Berka, V.; Bitner, B.R.; Wu, G.; Potter, A.; Fabian, R.H.; Pautler, R.G.; Kent, T.A.; Tsai, A.-L. Highly efficient conversion of superoxide to oxygen using hydrophilic carbon clusters. Proc. Natl. Acad. Sci. USA 2015, 112, 2343–2348. [Google Scholar] [CrossRef]
- Ge, C.; Fang, G.; Shen, X.; Chong, Y.; Wamer, W.G.; Gao, X.; Chai, Z.; Chen, C.; Yin, J.-J. Facet energy versus enzyme-like activities: The unexpected protection of palladium nanocrystals against oxidative damage. ACS Nano 2016, 10, 10436–10445. [Google Scholar] [CrossRef]
- Liu, G.F.; Filipović, M.; Ivanović-Burmazović, I.; Beuerle, F.; Witte, P.; Hirsch, A. High catalytic activity of dendritic c60 monoadducts in metal-free superoxide dismutation. Angew. Chem. 2008, 120, 4055–4058. [Google Scholar] [CrossRef]
- Cedrowski, J.; Litwinienko, G.; Baschieri, A.; Amorati, R. Hydroperoxyl radicals (hoo.): Vitamin e regeneration and h-bond effects on the hydrogen atom transfer. Chem.–Eur. J. 2016, 22, 16441–16445. [Google Scholar] [CrossRef]
- Ju, E.; Dong, K.; Chen, Z.; Liu, Z.; Liu, C.; Huang, Y.; Wang, Z.; Pu, F.; Ren, J.; Qu, X. Copper (ii)–graphitic carbon nitride triggered synergy: Improved ros generation and reduced glutathione levels for enhanced photodynamic therapy. Angew. Chem. Int. Ed. 2016, 55, 11467–11471. [Google Scholar] [CrossRef]
- Barana, D.; Orlandi, M.; Zoia, L.; Castellani, L.; Hanel, T.; Bolck, C.; Gosselink, R. Lignin Based Functional Additives for Natural Rubber. ACS Sustain. Chem. Eng. 2018, 6, 11843–11852. [Google Scholar] [CrossRef]
- Harshiny, M.; Iswarya, C.N.; Matheswaran, M. Biogenic synthesis of iron nanoparticles using amaranthus dubius leaf extract as a reducing agent. Powder Technol. 2015, 286, 744–749. [Google Scholar] [CrossRef]
- Muthukumar, H.; Matheswaran, M. Amaranthus spinosus leaf extract mediated feo nanoparticles: Physicochemical traits, photocatalytic and antioxidant activity. ACS Sustain. Chem. Eng. 2015, 3, 3149–3156. [Google Scholar] [CrossRef]
- Tuzun, B.S.; Fafal, T.; Tastan, P.; Kivcak, B.; Yelken, B.O.; Kayabasi, C.; Susluer, S.Y.; Gunduz, C. Structural characterization, antioxidant and cytotoxic effects of iron nanoparticles synthesized using asphodelus aestivus brot. Aqueous extract. Green Process. Synth. 2020, 9, 153–163. [Google Scholar] [CrossRef]
- Periakaruppan, R.; Chen, X.; Thangaraj, K.; Jeyaraj, A.; Nguyen, H.H.; Yu, Y.; Hu, S.; Lu, L.; Li, X. Utilization of tea resources with the production of superparamagnetic biogenic iron oxide nanoparticles and an assessment of their antioxidant activities. J. Clean. Prod. 2021, 278, 123962. [Google Scholar] [CrossRef]
- Abdullah, J.A.A.; Salah Eddine, L.; Abderrhmane, B.; Alonso-González, M.; Guerrero, A.; Romero, A. Green synthesis and characterization of iron oxide nanoparticles by pheonix dactylifera leaf extract and evaluation of their antioxidant activity. Sustain. Chem. Pharm. 2020, 17, 100280. [Google Scholar] [CrossRef]
- Mohamed, N.; Hessen, O.E.A.; Mohammed, H.S. Thermal stability, paramagnetic properties, morphology and antioxidant activity of iron oxide nanoparticles synthesized by chemical and green methods. Inorg. Chem. Commun. 2021, 128, 108572. [Google Scholar] [CrossRef]
- Singh, K.; Chopra, D.S.; Singh, D.; Singh, N. Optimization and ecofriendly synthesis of iron oxide nanoparticles as potential antioxidant. Arab. J. Chem. 2020, 13, 9034–9046. [Google Scholar] [CrossRef]
- Chavan, R.R.; Bhinge, S.D.; Bhutkar, M.A.; Randive, D.S.; Wadkar, G.H.; Todkar, S.S.; Urade, M.N. Characterization, antioxidant, antimicrobial and cytotoxic activities of green synthesized silver and iron nanoparticles using alcoholic blumea eriantha dc plant extract. Mater. Today Commun. 2020, 24, 101320. [Google Scholar] [CrossRef]
- Srihasam, S.; Thyagarajan, K.; Korivi, M.; Lebaka, V.R.; Mallem, S.P.R. Phytogenic generation of nio nanoparticles using stevia leaf extract and evaluation of their in-vitro antioxidant and antimicrobial properties. Biomolecules 2020, 10, 89. [Google Scholar] [CrossRef]
- Markus, J.; Mathiyalagan, R.; Kim, Y.-J.; Abbai, R.; Singh, P.; Ahn, S.; Perez, Z.E.J.; Hurh, J.; Yang, D.C. Intracellular synthesis of gold nanoparticles with antioxidant activity by probiotic lactobacillus kimchicus dcy51t isolated from korean kimchi. Enzym. Microb. Technol. 2016, 95, 85–93. [Google Scholar] [CrossRef]
- Baygar, T.; Ugur, A. Biosynthesis of silver nanoparticles by streptomyces griseorubens isolated from soil and their antioxidant activity. IET Nanobiotechnology 2017, 11, 286–291. [Google Scholar] [CrossRef] [PubMed]
- Oladipo, I.C.; Lateef, A.; Elegbede, J.A.; Azeez, M.A.; Asafa, T.B.; Yekeen, T.A.; Akinboro, A.; Gueguim-Kana, E.B.; Beukes, L.S.; Oluyide, T.O.; et al. Enterococcus species for the one-pot biofabrication of gold nanoparticles: Characterization and nanobiotechnological applications. J. Photochem. Photobiol. B Biol. 2017, 173, 250–257. [Google Scholar] [CrossRef] [PubMed]
- Rizzi, V.; Gubitosa, J.; Fini, P.; Nuzzo, S.; Agostiano, A.; Cosma, P. Snail slime-based gold nanoparticles: An interesting potential ingredient in cosmetics as an antioxidant, sunscreen, and tyrosinase inhibitor. J. Photochem. Photobiol. B Biol. 2021, 224, 112309. [Google Scholar] [CrossRef] [PubMed]
- Mobaraki, F.; Momeni, M.; Taghavizadeh Yazdi, M.E.; Meshkat, Z.; Silanian Toosi, M.; Hosseini, S.M. Plant-derived synthesis and characterization of gold nanoparticles: Investigation of its antioxidant and anticancer activity against human testicular embryonic carcinoma stem cells. Process Biochem. 2021, 111, 167–177. [Google Scholar] [CrossRef]
- Abdoli, M.; Arkan, E.; Shekarbeygi, Z.; Khaledian, S. Green synthesis of gold nanoparticles using centaurea behen leaf aqueous extract and investigating their antioxidant and cytotoxic effects on acute leukemia cancer cell line (thp-1). Inorg. Chem. Commun. 2021, 129, 108649. [Google Scholar] [CrossRef]
- Chang, Y.; Zheng, C.; Chinnathambi, A.; Alahmadi, T.A.; Alharbi, S.A. Cytotoxicity, anti-acute leukemia, and antioxidant properties of gold nanoparticles green-synthesized using cannabis sativa l leaf aqueous extract. Arab. J. Chem. 2021, 14, 103060. [Google Scholar] [CrossRef]
- Chen, J.; Li, Y.; Fang, G.; Cao, Z.; Shang, Y.; Alfarraj, S.; Ali Alharbi, S.; Li, J.; Yang, S.; Duan, X. Green synthesis, characterization, cytotoxicity, antioxidant, and anti-human ovarian cancer activities of curcumae kwangsiensis leaf aqueous extract green-synthesized gold nanoparticles. Arab. J. Chem. 2021, 14, 103000. [Google Scholar] [CrossRef]
- Varghese, B.A.; Nair, R.V.R.; Jude, S.; Varma, K.; Amalraj, A.; Kuttappan, S. Green synthesis of gold nanoparticles using kaempferia parviflora rhizome extract and their characterization and application as an antimicrobial, antioxidant and catalytic degradation agent. J. Taiwan Inst. Chem. Eng. 2021, 126, 166–172. [Google Scholar] [CrossRef]
- Hosny, M.; Fawzy, M.; Abdelfatah, A.M.; Fawzy, E.E.; Eltaweil, A.S. Comparative study on the potentialities of two halophytic species in the green synthesis of gold nanoparticles and their anticancer, antioxidant and catalytic efficiencies. Adv. Powder Technol. 2021, 32, 3220–3233. [Google Scholar] [CrossRef]
- Aghamirzaei, M.; Khiabani, M.S.; Hamishehkar, H.; Mokarram, R.R.; Amjadi, M. Antioxidant, antimicrobial and cytotoxic activities of biosynthesized gold nanoparticles (aunps) from chinese lettuce (cl) leave extract (brassica rapa var. Pekinensis). Mater. Today Commun. 2021, 29, 102831. [Google Scholar] [CrossRef]
- Khuda, F.; Ul Haq, Z.; Ilahi, I.; Ullah, R.; Khan, A.; Fouad, H.; Ali Khan Khalil, A.; Ullah, Z.; Umar Khayam Sahibzada, M.; Shah, Y.; et al. Synthesis of gold nanoparticles using sambucus wightiana extract and investigation of its antimicrobial, anti-inflammatory, antioxidant and analgesic activities. Arab. J. Chem. 2021, 14, 103343. [Google Scholar] [CrossRef]
- Muniyappan, N.; Pandeeswaran, M.; Amalraj, A. Green synthesis of gold nanoparticles using curcuma pseudomontana isolated curcumin: Its characterization, antimicrobial, antioxidant and anti- inflammatory activities. Environ. Chem. Ecotoxicol. 2021, 3, 117–124. [Google Scholar] [CrossRef]
- Milanezi, F.G.; Meireles, L.M.; de Christo Scherer, M.M.; de Oliveira, J.P.; da Silva, A.R.; de Araujo, M.L.; Endringer, D.C.; Fronza, M.; Guimarães, M.C.C.; Scherer, R. Antioxidant, antimicrobial and cytotoxic activities of gold nanoparticles capped with quercetin. Saudi Pharm. J. 2019, 27, 968–974. [Google Scholar] [CrossRef]
- Veeraapandian, S.; Sawant, S.N.; Doble, M. Antibacterial and antioxidant activity of protein capped silver and gold nanoparticles synthesized with escherichia coli. J. Biomed. Nanotechnol. 2012, 8, 140–148. [Google Scholar] [CrossRef]
- Adewale, O.B.; Egbeyemi, K.A.; Onwuelu, J.O.; Potts-Johnson, S.S.; Anadozie, S.O.; Fadaka, A.O.; Osukoya, O.A.; Aluko, B.T.; Johnson, J.; Obafemi, T.O.; et al. Biological synthesis of gold and silver nanoparticles using leaf extracts of crassocephalum rubens and their comparative in vitro antioxidant activities. Heliyon 2020, 6, e05501. [Google Scholar] [CrossRef]
- Shanmugasundaram, T.; Radhakrishnan, M.; Gopikrishnan, V.; Pazhanimurugan, R.; Balagurunathan, R. A study of the bactericidal, anti-biofouling, cytotoxic and antioxidant properties of actinobacterially synthesised silver nanoparticles. Colloids Surf. B Biointerfaces 2013, 111, 680–687. [Google Scholar] [CrossRef]
- Prakash Patil, M.; Seong, Y.-A.; Kim, J.-O.; Bae Seo, Y.; Kim, G.-D. Synthesis of silver nanoparticles using aqueous extract of cuscuta japonica seeds and their antibacterial and antioxidant activities. Inorg. Chem. Commun. 2021, 134, 109035. [Google Scholar] [CrossRef]
- Raja, K.; Balamurugan, V.; Selvakumar, S.; Vasanth, K. Striga angustifolia mediated synthesis of silver nanoparticles: Anti-microbial, antioxidant and anti-proliferative activity in apoptotic p53 signalling pathway. J. Drug Deliv. Sci. Technol. 2021, 67, 102945. [Google Scholar] [CrossRef]
- Ragunathan, V.K.C. Sequential microwave-ultrasound-assisted silver nanoparticles synthesis: A swift approach, their antioxidant, antimicrobial, and in-silico studies. J. Mol. Liq. 2021, 347, 117954. [Google Scholar] [CrossRef]
- Chakraborty, B.; Kumar, R.S.; Almansour, A.I.; Kotresha, D.; Rudrappa, M.; Pallavi, S.S.; Hiremath, H.; Perumal, K.; Nayaka, S. Evaluation of antioxidant, antimicrobial and antiproliferative activity of silver nanoparticles derived from galphimia glauca leaf extract. J. King Saud Univ.—Sci. 2021, 33, 101660. [Google Scholar] [CrossRef]
- Kong, Y.; Paray, B.A.; Al-Sadoon, M.K.; Fahad Albeshr, M. Novel green synthesis, chemical characterization, toxicity, colorectal carcinoma, antioxidant, anti-diabetic, and anticholinergic properties of silver nanoparticles: A chemopharmacological study. Arab. J. Chem. 2021, 14, 103193. [Google Scholar] [CrossRef]
- Sun, X.; Zhang, H.; Wang, J.; Dong, M.; Jia, P.; Bu, T.; Wang, Q.; Wang, L. Sodium alginate-based nanocomposite films with strong antioxidant and antibacterial properties enhanced by polyphenol-rich kiwi peel extracts bio-reduced silver nanoparticles. Food Packag. Shelf Life 2021, 29, 100741. [Google Scholar] [CrossRef]
- Saygi, K.O.; Cacan, E. Antioxidant and cytotoxic activities of silver nanoparticles synthesized using tilia cordata flowers extract. Mater. Today Commun. 2021, 27, 102316. [Google Scholar] [CrossRef]
- Gauthami, R.; Vinitha, U.G.; Philip Anthony, S.; Sundaram Muthuraman, M. Cissampelous pairera mediated synthesis of silver nanoparticles and it’s invitro antioxidant, antibacterial and antidiabetic activities. Mater. Today Proc. 2021, 47, 853–857. [Google Scholar] [CrossRef]
- Khan, W.; Khan, N.; Jamila, N.; Masood, R.; Minhaz, A.; Amin, F.; Atlas, A.; Nishan, U. Antioxidant, antibacterial, and catalytic performance of biosynthesized silver nanoparticles of rhus javanica, rumex hastatus, and callistemon viminalis. Saudi J. Biol. Sci. 2021, 29, 894–904. [Google Scholar] [CrossRef]
- Badmus, J.A.; Oyemomi, S.A.; Adedosu, O.T.; Yekeen, T.A.; Azeez, M.A.; Adebayo, E.A.; Lateef, A.; Badeggi, U.M.; Botha, S.; Hussein, A.A.; et al. Photo-assisted bio-fabrication of silver nanoparticles using annona muricata leaf extract: Exploring the antioxidant, anti-diabetic, antimicrobial, and cytotoxic activities. Heliyon 2020, 6, e05413. [Google Scholar] [CrossRef]
- Ramya, S.; Shanmugasundaram, T.; Balagurunathan, R. Biomedical potential of actinobacterially synthesized selenium nanoparticles with special reference to anti-biofilm, anti-oxidant, wound healing, cytotoxic and anti-viral activities. J. Trace Elem. Med. Biol. 2015, 32, 30–39. [Google Scholar] [CrossRef]
- Torres, S.K.; Campos, V.L.; León, C.G.; Rodríguez-Llamazares, S.M.; Rojas, S.M.; González, M.; Smith, C.; Mondaca, M.A. Biosynthesis of selenium nanoparticles by pantoea agglomerans and their antioxidant activity. J. Nanoparticle Res. 2012, 14, 1236. [Google Scholar] [CrossRef]
- Abdel-Moneim, A.-M.E.; El-Saadony, M.T.; Shehata, A.M.; Saad, A.M.; Aldhumri, S.A.; Ouda, S.M.; Mesalam, N.M. Antioxidant and antimicrobial activities of spirulina platensis extracts and biogenic selenium nanoparticles against selected pathogenic bacteria and fungi. Saudi J. Biol. Sci. 2022, 29, 1197–1209. [Google Scholar] [CrossRef]
- Nagalingam, M.; Rajeshkumar, S.; Balu, S.K.; Tharani, M.; Arunachalam, K. Anticancer and antioxidant activity of morinda citrifolia leaf mediated selenium nanoparticles. J. Nanomater. 2022, 2022, 2155772. [Google Scholar] [CrossRef]
- Chen, W.; Cheng, H.; Xia, W. Construction of polygonatum sibiricum polysaccharide functionalized selenium nanoparticles for the enhancement of stability and antioxidant activity. Antioxidants 2022, 11, 240. [Google Scholar] [CrossRef] [PubMed]
- Sowani, H.; Mohite, P.; Munot, H.; Shouche, Y.; Bapat, T.; Kumar, A.R.; Kulkarni, M.; Zinjarde, S. Green synthesis of gold and silver nanoparticles by an actinomycete gordonia amicalis hs-11: Mechanistic aspects and biological application. Process Biochem. 2016, 51, 374–383. [Google Scholar] [CrossRef]
- Sivasankar, P.; Seedevi, P.; Poongodi, S.; Sivakumar, M.; Murugan, T.; Sivakumar, L.; Sivakumar, K.; Balasubramanian, T. Characterization, antimicrobial and antioxidant property of exopolysaccharide mediated silver nanoparticles synthesized by streptomyces violaceus mm72. Carbohydr. Polym. 2018, 181, 752–759. [Google Scholar] [CrossRef] [PubMed]
- Shreema, K.; Mathammal, R.; Kalaiselvi, V.; Vijayakumar, S.; Selvakumar, K.; Senthil, K. Green synthesis of silver doped zinc oxide nanoparticles using fresh leaf extract morinda citrifoliaand its antioxidant potential. Mater. Today Proc. 2021, 47, 2126–2131. [Google Scholar] [CrossRef]
- Moghaddam, A.B.; Moniri, M.; Azizi, S.; Rahim, R.A.; Ariff, A.B.; Saad, W.Z.; Namvar, F.; Navaderi, M.; Mohamad, R. Biosynthesis of zno nanoparticles by a new pichia kudriavzevii yeast strain and evaluation of their antimicrobial and antioxidant activities. Molecules 2017, 22, 872. [Google Scholar] [CrossRef]
- Netala, V.R.; Bethu, M.S.; Pushpalatha, B.; Baki, V.B.; Aishwarya, S.; Rao, J.V.; Tartte, V. Biogenesis of silver nanoparticles using endophytic fungus pestalotiopsis microspora and evaluation of their antioxidant and anticancer activities. Int. J. Nanomed. 2016, 11, 5683. [Google Scholar] [CrossRef]
- Joshi, C.G.; Danagoudar, A.; Poyya, J.; Kudva, A.K.; Dhananjaya, B.L. Biogenic synthesis of gold nanoparticles by marine endophytic fungus-cladosporium cladosporioides isolated from seaweed and evaluation of their antioxidant and antimicrobial properties. Process Biochem. 2017, 63, 137–144. [Google Scholar]
- Manjunath Hulikere, M.; Joshi, C.G. Characterization, antioxidant and antimicrobial activity of silver nanoparticles synthesized using marine endophytic fungus- cladosporium cladosporioides. Process Biochem. 2019, 82, 199–204. [Google Scholar] [CrossRef]
- Rajeshkumar, S.; Nandhini, N.T.; Manjunath, K.; Sivaperumal, P.; Krishna Prasad, G.; Alotaibi, S.S.; Roopan, S.M. Environment friendly synthesis copper oxide nanoparticles and its antioxidant, antibacterial activities using seaweed (sargassum longifolium) extract. J. Mol. Struct. 2021, 1242, 130724. [Google Scholar] [CrossRef]
- Ginting, B.; Maulana, I.; Karnila, I. Biosynthesis copper nanoparticles using blumea balsamifera leaf extracts: Characterization of its antioxidant and cytotoxicity activities. Surf. Interfaces 2020, 21, 100799. [Google Scholar] [CrossRef]
- Venugopalan, R.; Pitchai, S.; Devarayan, K.; Swaminathan, V.C. Biogenic synthesis of copper nanoparticles using borreria hispida (linn.) extract and its antioxidant activity. Mater. Today Proc. 2020, 33, 4023–4025. [Google Scholar] [CrossRef]
- Hemmati, S.; Ahmeda, A.; Salehabadi, Y.; Zangeneh, A.; Zangeneh, M.M. Synthesis, characterization, and evaluation of cytotoxicity, antioxidant, antifungal, antibacterial, and cutaneous wound healing effects of copper nanoparticles using the aqueous extract of strawberry fruit and l-ascorbic acid. Polyhedron 2020, 180, 114425. [Google Scholar] [CrossRef]
- Rajeshkumar, S.; Rinitha, G. Nanostructural characterization of antimicrobial and antioxidant copper nanoparticles synthesized using novel persea americana seeds. OpenNano 2018, 3, 18–27. [Google Scholar] [CrossRef]
- Zangeneh, M.M.; Ghaneialvar, H.; Akbaribazm, M.; Ghanimatdan, M.; Abbasi, N.; Goorani, S.; Pirabbasi, E.; Zangeneh, A. Novel synthesis of falcaria vulgaris leaf extract conjugated copper nanoparticles with potent cytotoxicity, antioxidant, antifungal, antibacterial, and cutaneous wound healing activities under in vitro and in vivo condition. J. Photochem. Photobiol. B Biol. 2019, 197, 111556. [Google Scholar] [CrossRef]
- Netala, V.R.; Kotakadi, V.S.; Bobbu, P.; Gaddam, S.A.; Tartte, V. Endophytic fungal isolate mediated biosynthesis of silver nanoparticles and their free radical scavenging activity and anti microbial studies. 3 Biotech 2016, 6, 132. [Google Scholar] [CrossRef]
- Du, L.; Suo, S.; Wang, G.; Jia, H.; Liu, K.J.; Zhao, B.; Liu, Y. Mechanism and cellular kinetic studies of the enhancement of antioxidant activity by using surface-functionalized gold nanoparticles. Chem.–Eur. J. 2013, 19, 1281–1287. [Google Scholar] [CrossRef]
- Nie, Z.; Liu, K.J.; Zhong, C.-J.; Wang, L.-F.; Yang, Y.; Tian, Q.; Liu, Y. Enhanced radical scavenging activity by antioxidant-functionalized gold nanoparticles: A novel inspiration for development of new artificial antioxidants. Free Radic. Biol. Med. 2007, 43, 1243–1254. [Google Scholar] [CrossRef]
- Ebabe Elle, R.; Rahmani, S.; Lauret, C.; Morena, M.; Bidel, L.P.R.; Boulahtouf, A.; Balaguer, P.; Cristol, J.-P.; Durand, J.-O.; Charnay, C. Functionalized mesoporous silica nanoparticle with antioxidants as a new carrier that generates lower oxidative stress impact on cells. Mol. Pharm. 2016, 13, 2647–2660. [Google Scholar] [CrossRef]
- Sotiriou, G.A.; Blattmann, C.O.; Deligiannakis, Y. Nanoantioxidant-driven plasmon enhanced proton-coupled electron transfer. Nanoscale 2016, 8, 796–803. [Google Scholar] [CrossRef]
- Deligiannakis, Y.; Sotiriou, G.A.; Pratsinis, S.E. Antioxidant and antiradical sio2 nanoparticles covalently functionalized with gallic acid. ACS Appl. Mater. Interfaces 2012, 4, 6609–6617. [Google Scholar] [CrossRef]
- Viglianisi, C.; Di Pilla, V.; Menichetti, S.; Rotello, V.M.; Candiani, G.; Malloggi, C.; Amorati, R. Linking an α-tocopherol derivative to cobalt (0) nanomagnets: Magnetically responsive antioxidants with superior radical trapping activity and reduced cytotoxicity. Chem.–Eur. J. 2014, 20, 6857–6860. [Google Scholar] [CrossRef]
- Massaro, M.; Amorati, R.; Cavallaro, G.; Guernelli, S.; Lazzara, G.; Milioto, S.; Noto, R.; Poma, P.; Riela, S. Direct chemical grafted curcumin on halloysite nanotubes as dual-responsive prodrug for pharmacological applications. Colloids Surf. B Biointerfaces 2016, 140, 505–513. [Google Scholar] [CrossRef]
- Massaro, M.; Riela, S.; Guernelli, S.; Parisi, F.; Lazzara, G.; Baschieri, A.; Valgimigli, L.; Amorati, R. A synergic nanoantioxidant based on covalently modified halloysite–trolox nanotubes with intra-lumen loaded quercetin. J. Mater. Chem. B 2016, 4, 2229–2241. [Google Scholar] [CrossRef]
- Kalashnikova, I.; Mazar, J.; Neal, C.J.; Rosado, A.L.; Das, S.; Westmoreland, T.J.; Seal, S. Nanoparticle delivery of curcumin induces cellular hypoxia and ros-mediated apoptosis via modulation of bcl-2/bax in human neuroblastoma. Nanoscale 2017, 9, 10375–10387. [Google Scholar] [CrossRef]
- Enes, R.F.; Tomé, A.C.; Cavaleiro, J.A.; Amorati, R.; Fumo, M.G.; Pedulli, G.F.; Valgimigli, L. Synthesis and antioxidant activity of [60]fullerene–bht conjugates. Chem.–Eur. J. 2006, 12, 4646–4653. [Google Scholar] [CrossRef]
- Czochara, R.; Kusio, J.; Litwinienko, G. Fullerene c 60 conjugated with phenols as new hybrid antioxidants to improve the oxidative stability of polymers at elevated temperatures. RSC Adv. 2017, 7, 44021–44025. [Google Scholar] [CrossRef]
- Gil, D.; Rodriguez, J.; Ward, B.; Vertegel, A.; Ivanov, V.; Reukov, V. Antioxidant activity of sod and catalase conjugated with nanocrystalline ceria. Bioengineering 2017, 4, 18. [Google Scholar] [CrossRef]
- Arriagada, F.; Correa, O.; Günther, G.; Nonell, S.; Mura, F.; Olea-Azar, C.; Morales, J. Morin flavonoid adsorbed on mesoporous silica, a novel antioxidant nanomaterial. PLoS ONE 2016, 11, e0164507. [Google Scholar] [CrossRef]
- Sahiner, N.; Sagbas, S.; Aktas, N. Preparation and characterization of monodisperse, mesoporous natural poly(tannic acid)–silica nanoparticle composites with antioxidant properties. Microporous Mesoporous Mater. 2016, 226, 316–324. [Google Scholar] [CrossRef]
- Liu, P.; Tang, H.; Lu, M.; Gao, C.; Wang, F.; Ding, Y.; Zhang, S.; Yang, M. Preparation of nanosilica-immobilized antioxidant and the antioxidative behavior in low density polyethylene. Polym. Degrad. Stab. 2017, 135, 1–7. [Google Scholar] [CrossRef]
- Kotcherlakota, R.; Barui, A.K.; Prashar, S.; Fajardo, M.; Briones, D.; Rodríguez-Diéguez, A.; Patra, C.R.; Gómez-Ruiz, S. Curcumin loaded mesoporous silica: An effective drug delivery system for cancer treatment. Biomater. Sci. 2016, 4, 448–459. [Google Scholar] [CrossRef] [PubMed]
- Marulasiddeshwara, M.; Dakshayani, S.; Kumar, M.S.; Chethana, R.; Kumar, P.R.; Devaraja, S. Facile-one pot-green synthesis, antibacterial, antifungal, antioxidant and antiplatelet activities of lignin capped silver nanoparticles: A promising therapeutic agent. Mater. Sci. Eng. C 2017, 81, 182–190. [Google Scholar] [CrossRef] [PubMed]
- Shah, S.T.; Yehye, W.A.; Saad, O.; Simarani, K.; Chowdhury, Z.Z.; Alhadi, A.A.; Al-Ani, L.A. Surface functionalization of iron oxide nanoparticles with gallic acid as potential antioxidant and antimicrobial agents. Nanomaterials 2017, 7, 306. [Google Scholar] [CrossRef] [PubMed]
- Santiago-Rodríguez, L.; Lafontaine, M.M.; Castro, C.; Méndez-Vega, J.; Latorre-Esteves, M.; Juan, E.J.; Mora, E.; Torres-Lugo, M.; Rinaldi, C. Synthesis, stability, cellular uptake, and blood circulation time of carboxymethyl-inulin coated magnetic nanoparticles. J. Mater. Chem. B 2013, 1, 2807–2817. [Google Scholar] [CrossRef]
- Bhattacharya, K.; Gogoi, B.; Buragohain, A.K.; Deb, P. Fe2o3/c nanocomposites having distinctive antioxidant activity and hemolysis prevention efficiency. Mater. Sci. Eng. C 2014, 42, 595–600. [Google Scholar] [CrossRef]
- Szekeres, M.; Illés, E.; Janko, C.; Farkas, K.; Tóth, I.Y.; Nesztor, D.; Zupkó, I.; Földesi, I.; Alexiou, C.; Tombácz, E. Hemocompatibility and biomedical potential of poly(gallic acid) coated iron oxide nanoparticles for theranostic use. J. Nanomed. Nanotechnol. 2015, 6. [Google Scholar]
- Song, W.; Muthana, M.; Mukherjee, J.; Falconer, R.J.; Biggs, C.A.; Zhao, X. Magnetic-silk core–shell nanoparticles as potential carriers for targeted delivery of curcumin into human breast cancer cells. ACS Biomater. Sci. Eng. 2017, 3, 1027–1038. [Google Scholar] [CrossRef]
- Liu, K.; Xiao, X.; Wang, J.; Chen, C.Y.O.; Hu, H. Polyphenolic composition and antioxidant, antiproliferative, and antimicrobial activities of mushroom inonotus sanghuang. LWT—Food Sci. Technol. 2017, 82, 154–161. [Google Scholar] [CrossRef]
- Joseph, A.; Wood, T.; Chen, C.-C.; Corry, K.; Snyder, J.M.; Juul, S.E.; Parikh, P.; Nance, E. Curcumin-loaded polymeric nanoparticles for neuroprotection in neonatal rats with hypoxic-ischemic encephalopathy. Nano Res. 2018, 11, 5670–5688. [Google Scholar] [CrossRef]
- Mittal, A.K.; Kumar, S.; Banerjee, U.C. Quercetin and gallic acid mediated synthesis of bimetallic (silver and selenium) nanoparticles and their antitumor and antimicrobial potential. J. Colloid Interface Sci. 2014, 431, 194–199. [Google Scholar] [CrossRef]
- Kumar, H.; Bhardwaj, K.; Kuča, K.; Kalia, A.; Nepovimova, E.; Verma, R.; Kumar, D. Flower-based green synthesis of metallic nanoparticles: Applications beyond fragrance. Nanomaterials 2020, 10, 766. [Google Scholar] [CrossRef]
- Lee, K.D.; Nagajyothi, P.C.; Sreekanth, T.V.M.; Park, S. Eco-friendly synthesis of gold nanoparticles (aunps) using inonotus obliquus and their antibacterial, antioxidant and cytotoxic activities. J. Ind. Eng. Chem. 2015, 26, 67–72. [Google Scholar] [CrossRef]
- Naveena, B.E.; Prakash, S. Biological synthesis of gold nanoparticles using marine algae gracilaria corticata and its application as a potent antimicrobial and antioxidant agent. Asian J. Pharm. Clin. Res. 2013, 6, 179–182. [Google Scholar]
- Sharma, B.; Purkayastha, D.D.; Hazra, S.; Thajamanbi, M.; Bhattacharjee, C.R.; Ghosh, N.N.; Rout, J. Biosynthesis of fluorescent gold nanoparticles using an edible freshwater red alga, lemanea fluviatilis (l.) c.Ag. And antioxidant activity of biomatrix loaded nanoparticles. Bioprocess Biosyst. Eng. 2014, 37, 2559–2565. [Google Scholar] [CrossRef]
- Bumbudsanpharoke, N.; Choi, J.; Park, I.; Ko, S. Facile biosynthesis and antioxidant property of nanogold-cellulose fiber composite. J. Nanomater. 2015, 16, 195. [Google Scholar] [CrossRef]
- Liberman, A.; Mendez, N.; Trogler, W.C.; Kummel, A.C. Synthesis and surface functionalization of silica nanoparticles for nanomedicine. Surf. Sci. Rep. 2014, 69, 132–158. [Google Scholar] [CrossRef]
- Sriramulu, M.; Sumathi, S. Photocatalytic, antioxidant, antibacterial and anti-inflammatory activity of silver nanoparticles synthesised using forest and edible mushroom. Adv. Nat. Sci. Nanosci. Nanotechnol. 2017, 8, 045012. [Google Scholar] [CrossRef]
- Aygün, A.; Özdemir, S.; Gülcan, M.; Cellat, K.; Şen, F. Synthesis and characterization of reishi mushroom-mediated green synthesis of silver nanoparticles for the biochemical applications. J. Pharm. Biomed. Anal. 2020, 178, 112970. [Google Scholar] [CrossRef]
- Poudel, M.; Pokharel, R.; Sudip, K.C.; Awal, S.C.; Pradhananga, R. Biosynthesis of silver nanoparticles using ganoderma lucidum and assessment of antioxidant and antibacterial activity. Int. J. Appl. Sci. Biotechnol. 2017, 5, 523–531. [Google Scholar] [CrossRef]
- Venkatesan, J.; Kim, S.-K.; Shim, M.S. Antimicrobial, antioxidant, and anticancer activities of biosynthesized silver nanoparticles using marine algae ecklonia cava. Nanomaterials 2016, 6, 235. [Google Scholar] [CrossRef]
- Dasari, S.; Suresh, K.A.; Rajesh, M.; Siva Reddy, C.S.; Hemalatha, C.S.; Wudayagiri, R.; Valluru, L. Biosynthesis, characterization, antibacterial and antioxidant activity of silver nanoparticles produced by lichens. J. Bionanosci. 2013, 7, 237–244. [Google Scholar] [CrossRef]
- Sriranjani, R.; Srinithya, B.; Vellingiri, V.; Brindha, P.; Anthony, S.P.; Sivasubramanian, A.; Muthuraman, M.S. Silver nanoparticle synthesis using clerodendrum phlomidis leaf extract and preliminary investigation of its antioxidant and anticancer activities. J. Mol. Liq. 2016, 220, 926–930. [Google Scholar] [CrossRef]
- Das, D.; Ghosh, R.; Mandal, P. Biogenic synthesis of silver nanoparticles using s1 genotype of morus alba leaf extract: Characterization, antimicrobial and antioxidant potential assessment. SN Appl. Sci. 2019, 1, 498. [Google Scholar] [CrossRef]
- Vilas, V.; Philip, D.; Mathew, J. Essential oil mediated synthesis of silver nanocrystals for environmental, anti-microbial and antioxidant applications. Mater. Sci. Eng. C 2016, 61, 429–436. [Google Scholar] [CrossRef]
- Srinithya, B.; Kumar, V.V.; Vadivel, V.; Pemaiah, B.; Anthony, S.P.; Muthuraman, M.S. Synthesis of biofunctionalized agnps using medicinally important sida cordifolia leaf extract for enhanced antioxidant and anticancer activities. Mater. Lett. 2016, 170, 101–104. [Google Scholar] [CrossRef]
- Kalaiyarasan, T.; Bharti, V.K.; Chaurasia, O. One pot green preparation of seabuckthorn silver nanoparticles (sbt@ agnps) featuring high stability and longevity, antibacterial, antioxidant potential: A nano disinfectant future perspective. RSC Adv. 2017, 7, 51130–51141. [Google Scholar] [CrossRef]
- Teerasong, S.; Jinnarak, A.; Chaneam, S.; Wilairat, P.; Nacapricha, D. Poly (vinyl alcohol) capped silver nanoparticles for antioxidant assay based on seed-mediated nanoparticle growth. Talanta 2017, 170, 193–198. [Google Scholar] [CrossRef]
- Guajardo-Pacheco, M.J.; Morales-Sánchez, J.E.; González-Hernández, J.; Ruiz, F. Synthesis of copper nanoparticles using soybeans as a chelant agent. Mater. Lett. 2010, 64, 1361–1364. [Google Scholar] [CrossRef]
- Xi, Y.; Hu, C.; Gao, P.; Yang, R.; He, X.; Wang, X.; Wan, B. Morphology and phase selective synthesis of cuxo (x=1, 2) nanostructures and their catalytic degradation activity. Mater. Sci. Eng. B 2010, 166, 113–117. [Google Scholar] [CrossRef]
- He, Y. A novel solid-stabilized emulsion approach to cuo nanostructured microspheres. Mater. Res. Bull. 2007, 42, 190–195. [Google Scholar] [CrossRef]
- Motoyoshi, R.; Oku, T.; Suzuki, A.; Kikuchi, K.; Kikuchi, S.; Jeyadevan, B.; Cuya, J. Fabrication and characterization of cuprous oxide: Fullerene solar cells. Synth. Met. 2010, 160, 1219–1222. [Google Scholar] [CrossRef]
- Rajeshkumar, S.; Menon, S.; Venkat Kumar, S.; Tambuwala, M.M.; Bakshi, H.A.; Mehta, M.; Satija, S.; Gupta, G.; Chellappan, D.K.; Thangavelu, L.; et al. Antibacterial and antioxidant potential of biosynthesized copper nanoparticles mediated through cissus arnotiana plant extract. J. Photochem. Photobiol. B Biol. 2019, 197, 111531. [Google Scholar] [CrossRef] [PubMed]
- Herlekar, M.; Barve, S.; Kumar, R. Plant-mediated green synthesis of iron nanoparticles. J. Nanoparticles 2014, 2014, 140614. [Google Scholar] [CrossRef]
- Huber, D.L. Synthesis, properties, and applications of iron nanoparticles. Small 2005, 1, 482–501. [Google Scholar] [CrossRef]
- Guo, J.; Wang, R.; Tjiu, W.W.; Pan, J.; Liu, T. Synthesis of fe nanoparticles@graphene composites for environmental applications. J. Hazard. Mater. 2012, 225–226, 63–73. [Google Scholar] [CrossRef]
- Babay, S.; Mhiri, T.; Toumi, M. Synthesis, structural and spectroscopic characterizations of maghemite γ-fe2o3 prepared by one-step coprecipitation route. J. Mol. Struct. 2015, 1085, 286–293. [Google Scholar] [CrossRef]
- Saleh, N.; Kim, H.-J.; Phenrat, T.; Matyjaszewski, K.; Tilton, R.D.; Lowry, G.V. Ionic strength and composition affect the mobility of surface-modified fe0 nanoparticles in water-saturated sand columns. Environ. Sci. Technol. 2008, 42, 3349–3355. [Google Scholar] [CrossRef]
- Kim, H.J.; Kim, D.-G.; Yoon, H.; Choi, Y.-S.; Yoon, J.; Lee, J.-C. Polyphenol/feiii complex coated membranes having multifunctional properties prepared by a one-step fast assembly. Adv. Mater. Interfaces 2015, 2, 1500298. [Google Scholar] [CrossRef]
- Yang, L.; Cao, Z.; Sajja, H.K.; Mao, H.; Wang, L.; Geng, H.; Xu, H.; Jiang, T.; Wood, W.C.; Nie, S.; et al. Development of receptor targeted magnetic iron oxide nanoparticles for efficient drug delivery and tumor imaging. J. Biomed. Nanotechnol. 2008, 4, 439–449. [Google Scholar] [CrossRef]
- Ebrahiminezhad, A.; Zare-Hoseinabadi, A.; Sarmah, A.K.; Taghizadeh, S.; Ghasemi, Y.; Berenjian, A. Plant-mediated synthesis and applications of iron nanoparticles. Mol. Biotechnol. 2018, 60, 154–168. [Google Scholar] [CrossRef]
- Alves, A.d.C.S.; Mainardes, R.M.; Khalil, N.M. Nanoencapsulation of gallic acid and evaluation of its cytotoxicity and antioxidant activity. Mater. Sci. Eng. C 2016, 60, 126–134. [Google Scholar] [CrossRef]
- Dorniani, D.; Hussein, M.Z.B.; Kura, A.U.; Fakurazi, S.; Shaari, A.H.; Ahmad, Z. Preparation of fe3o4 magnetic nanoparticles coated with gallic acid for drug delivery. Int. J. Nanomed. 2012, 7, 5745. [Google Scholar] [CrossRef]
- Shah, S.T.; Chowdhury, Z.Z.; Johan, M.R.B.; Badruddin, I.A.; Khaleed, H.M.T.; Kamangar, S.; Alrobei, H. Surface functionalization of magnetite nanoparticles with multipotent antioxidant as potential magnetic nanoantioxidants and antimicrobial agents. Molecules 2022, 27, 789. [Google Scholar] [CrossRef]
- Shah, S.T.; Chowdhury, Z.Z.; Johan, M.R.; Badruddin, I.A.; Alrobei, H.; Kamangar, S. Design and synthesis of multipotent antioxidants for functionalization of iron oxide nanoparticles. Coatings 2022, 12, 517. [Google Scholar] [CrossRef]
- Li, Y.; Li, X.; Zheng, W.; Fan, C.; Zhang, Y.; Chen, T. Functionalized selenium nanoparticles with nephroprotective activity, the important roles of ros-mediated signaling pathways. J. Mater. Chem. B 2013, 1, 6365–6372. [Google Scholar] [CrossRef]
- Abdullah; Hussain, T.; Faisal, S.; Rizwan, M.; Saira; Zaman, N.; Iqbal, M.; Iqbal, A.; Ali, Z. Green synthesis and characterization of copper and nickel hybrid nanomaterials: Investigation of their biological and photocatalytic potential for the removal of organic crystal violet dye. J. Saudi Chem. Soc. 2022, 26, 101486. [Google Scholar] [CrossRef]












| Nanoantioxidant | Assay | Ref. |
|---|---|---|
| Catalase mimic (pH > 7) | ||
| PVDF coated Au NPs | Spectrophotometric H2O2 decrease Oxygen evolution | [75] |
| - | (EPR) | - |
| Cerium Oxide Nanoparticles | Spectrophotometric H2O2 disappearance Oxygen evolution | [62] |
| Cobalt Oxide nanoparticles | Clark electrod Oxygen evolution from H2O2 | [61] |
| Gold Plantium Nanorods; Core shell | H2O2 decrease (spectrophotometric), O2 evolution | [73] |
| Gold Nanorods; Core shell | (Clark electrode) | - |
| Gold Palladium Nanorods | - | - |
| Apoferritin-coated Pt NPs | H2O2 consumption, evolution of O2 bubbles | [76] |
| Platinium Nanopowder | O2 detection by EPR line broadening | [77] |
| Trimanganese tetraoxide nanoflowers | Spectrophotometric H2O2 decrease | [63] |
| Dimercaptosuccinic acid coated Fe3O4 NPs | O2 formation (Clark electrode) | [64] |
| Eumelanin-silica NPs | Ferrous Xylenol orange assay decrease in H2O2 concentration. | [65] |
| GPX mimic | ||
| Vanadium Nanowires | Change in coenzyme NADPH absorbance at 340 nm in a glutathione reductase coupled assay (spectrophotometric) | [74] |
| GO supported Selenium nanoparticles | Spectrophotometric Glutathione reductase coupled assay | [78] |
| Trimanganese tetraoxide nanoflowers | Spectrophotometric Glutathione reductase coupled assay | [63] |
| Chain-breaking | ||
| Polyacrylic acid (PAA)- protected Pt NPs | DPPH (spectrophotometric), linoleic acid peroxidation, and AAPH-derived radical scavenging are inhibited (EPR detection) | [79] |
| Oleic acid coated cerium oxide NPs | Radical scavenging from AAPH (ORAC assay) | [80] |
| ZrO2 NPs | DPPH (spectrophotometric) | [81] |
| PEG coated melanin NPs | DPPH (spectrophotometric and EPR) | [82] |
| SOD mimic | ||
| PEG-coated melanin NPs | 5-Diethoxyphosphoryl-5-Methyl-1-Pyrroline N Oxide Reaction with O2•− and EPR Study of O2 Evolution (Clark electrode) | [83] |
| PVDF coated Gold nanoparticles | spin-trap with EPR detection and xanthine/xanthine oxidase | [75] |
| Glycine-coated Cu(OH)2 NPs | Iodonitrotetrazolium chloride and Xanthine/Xanthine Oxidase (spectrophotometric) | [84] |
| PEG coated MnO NPs | cytochrome C and xanthine/xanthine oxidase (spectrophotometric) | [85] |
| PEG-coated carbon nanoclusters | EPR analysis of the O2 reaction | [86] |
| Pd nanocrystals | spin-trap with EPR detection and xanthine/xanthine oxidase | [87] |
| Platinium Nanopwder | Xanthine/Xanthine Oxidase with an EPR-detection spin-trap | [77] |
| Trimanganese tetraoxide nanoflowers | Iodonitrotetrazolium chloride and Xanthine/Xanthine Oxidase (spectrophotometric) | [63] |
| Dimercapto succinic acid coated Co3O4 NPs | spin-trap with EPR detection and xanthine/xanthine oxidase | [66] |
| MWCNTs | cytochrome C and xanthine/xanthine oxidase (spectrophotometric) | [88] |
| Functionalized fullerene | Reaction with 1O2 (spectrophotometric) | [88] |
| Types of Nanoparticles | Biological Extract | Morphology | Size | Antioxidant Activity | Ref. |
|---|---|---|---|---|---|
| Iron | Amaranthus dubiusleaf extract | Spherical | 43–220 nm | DPPH | [92] |
| Iron | Amaranthus spinosus leaf extract | Spherical | - | DPPH | [93] |
| Iron | Asphodelus aestivus Brot. Extract | Spherical | 20–25 nm | DPPH, ABTS | [94] |
| Iron oxide | tea-pruning waste | Spherical | 20–35 nm | DPPH | [95] |
| Iron oxide | Phoenix dactylifera L. | Spherical | 2–30 nm | DPPH | [96] |
| Iron oxide | curcumin | Spherical | - | DPPH | [97] |
| Iron oxide | Coriandrum sativum L. (cilantro) | Spherical | - | DPPH | [98] |
| Iron oxide | Blumea eriantha DC | spherical and irregular shapes | 10–60 | DPPH, ABTS, Hydrogen peroxide scavenging activity and Reducing power assay activity | [99] |
| Nickel Oxide | Stevia rebaudiana Bertoni leaf extract | Spherical | 20–50 nm | DPPH | [100] |
| Gold | Lactobacillus kimchicus DCY51T biomass | Spherical | 13 nm | DPPH | [101] |
| Silver | Streptomyces griseorubens AU2 cell free supernatant | Spherical | 5–20 nm | DPPH | [102] |
| Gold | Enterococcus species cell free extract | Sphere | 8–50 nm | DPPH | [103] |
| Gold | Snail slime | Spherical, hexagonal, trapezoidal, and rod shape | 14 ± 6 nm | DPPH, ABTS | [104] |
| Gold | Achillea biebersteinii | Spherical | 2–30 nm | DPPH | [105] |
| Gold | Centaurea behen | Spherical | 50 nm | DPPH | [106] |
| Types of Nanoparticles | Biological Extract | Morphology | Size | Antioxidant Activity | Ref. |
| Gold | Cannabis sativa L. | Spherical | - | DPPH | [107] |
| Gold | Curcumae Kwangsiensis folium | Spherical | 8–25 nm | DPPH | [108] |
| Gold | Kaempferia parviflora rhizome | Spherical | 20–60 nm | DPPH | [109] |
| Gold | Atriplex halimus and Chenopodium amperosidies | Spherical | 2–10 nm | DPPH | [110] |
| Gold | Brassica rapa var. pekinensis | Spherical | 25 nm | DPPH, ABTS | [111] |
| Gold | Sambucus wightiana | trigonal, cubic, hexagonal, and polygonal | 15.96 nm | DPPH | [112] |
| Gold | Curcuma pseudomontana | Spherical | 20 nm | DPPH, RP, H2O2, NO and Cupric ion reducing antioxidant capacity (CUPRAC) assay | [113] |
| Gold | Quercetin | Spherical | 100 nm | ABTS, DPPH and NO assay | [114] |
| Gold and Silver | Escherichia coli cell protein | Triangular, circular, hexagonal (AuNPs), Sphere (AgNPs) | 10–100 nm (AuNPs), 10–50 nm (AgNPs) | EC75 | [115] |
| Gold and Silver | Crassocephalum rubens | spherical | 15–25 nm for AgNPs, 10–20 nm for AuNPs | lipid peroxidation and DPPH | [116] |
| Silver | Streptomyces griseorubens AU2 cell free supernatant biomass | Sphere | 5–50 nm | DPPH | [117] |
| Silver | Cuscuta japonica | oval-spherical | 30–50 nm | DPPH | [118] |
| Silver | Striga angustifolia | nanoflakes | 106.40 nm | DPPH | [119] |
| Silver | Olea europaea | Spherical | 10.47 ± 9.19 nm | DPPH | [120] |
| Silver | Galphimia glauca | Spherical | 19–37 nm | DPPH | [121] |
| Silver | Cannabis sativa | Spherical | 10–50 nm | DPPH | [122] |
| Silver | polyphenol-rich kiwi peel | Spherical | 200–300 nm | ABTS | [123] |
| Silver | Tilia cordata | Spherical | 50 nm | FRAP | [124] |
| Silver | Cissampelous pairera | Spherical | 60 nm to 118 nm | DPPH | [125] |
| Silver | Rhus javanica, Rumex hastatus, and Callistemon viminalis | - | 1–100 nm | DPPH, ABTS | [126] |
| Silver | Annona muricata | Spherical | 35 nm | DPPH, ABTS | [127] |
| Selenium | Streptomycesminutiscleroticus RT M10A62 biomass | Spherical | 10–250 nm | DPPH | [128] |
| Selenium | Pantoea agglomerans UC-32 | Spherical | 100 nm | High antioxidant activity in human umbilical | [129] |
| Selenium | Spirulina platensis | Spherical | 32–86 nm | DPPH, ABTS | [130] |
| Selenium | Morinda citrifolia | Spherical | 12–160 nm | DPPH | [131] |
| - | Polygonatum sibiricum polysaccharide | Spherical | 105 nm | DPPH, ABTS | [132] |
| Gold and Silver | Gordonia amicalis HS-11 cell free supernatant | Grain | 5–25 nm | CFS synthesized AgNPs and AuNPs | [133] |
| Silver | Streptomyces violaceus MM72 exopolysaccharides | - | 30 nm | DPPH | [134] |
| Silver doped zinc oxide | Morinda citrifolia | Spherical | - | DPPH | [135] |
| Zinc Oxide | Pichia kudriavzevii cell free extract | Hexagonal | 10–61 nm | DPPH | [136] |
| Silver | Pestalotiopsis microspora filtrate | Sphere | 2–10 nm | - | [137] |
| Gold | Cladosporium cladosporioides filtrate | Cubic | 100 nm | DPPH | [138] |
| Silver | Cladosporium | Sphere | 100 nm | −DPPH | [139] |
| Copper | Cissus arnotiana | Sphere | 60–90 nm | DPPH | - |
| Copper oxide | Sargassum longifolium | Sphere | 40 and 60 nm | DPPH | [140] |
| Copper | Blumea balsamifera | Sphere | 30–55 nm | DPPH | [141] |
| Copper | Borreria hispida | Sphere | 121 ± 37 nm | DPPH | [142] |
| Copper | Fragaria ananassa | Sphere | 10–30 nm | DPPH | [143] |
| Copper | Persea americana | Sphere | 42–90 nm | DPPH | [144] |
| Copper | Falcaria vulgaris | Sphere | 20–25 nm | DPPH | [145] |
| Copper Oxide | Cissus arnotiana leaf extract | Spherical | 80–90 nm | DPPH | [146] |
| Nanomaterial | Antioxidant | Method to Determine Activity | Ref. |
|---|---|---|---|
| Halloysite nanotubes | Curcumin | Pressure sensor method (inhibited autoxidation oxygen consumption), spectrophotometric method (DPPH assay) | [153] |
| Halloysite nanotubes | Trolox | Pressure sensor method (inhibited autoxidation oxygen consumption), spectrophotometric method (DPPH assay) | [154] |
| Graphite coated cobalt nanoparticles | Trolox | Pressure sensor method (inhibited autoxidation oxygen consumption) | [152] |
| Silica | Rutin or Caffeic acid | ORAC | [149] |
| Gold Nanoparticles | Trolox | DPPH• (EPR detection) | [148] |
| Gold Nanoparticles | Salvianic acid | DPPH• (EPR detection) | [147] |
| Silica coated Silver nanoparticles | Gallic acid | DPPH• (spectrophotometric and EPR) | [150] |
| Silica nanoparticles | Gallic acid | DPPH• (spectrophotometric and EPR) | [151] |
| Single walled CNTs | BHT | ORAC | [45] |
| Fullerene | BHT | Inhibited autoxidation, O2 consumption (pressure sensor) | [156] |
| Fullerene | Flavonoids | Inhibited autoxidation, O2 consumption (pressure sensor) | [156] |
| double hydroxide NPs | SOD | Xanthine and xanthine oxidase, nitroblue tetrazolium (spectrophotometric) | [157] |
| Cerium nanoparticles | SOD | Xanthine and xanthine oxidase, hydrosoluble tetrazolium salt (spectrophotometric) | [158] |
| Cerium nanoparticles | CAT | Amplex red assay | [158] |
| MSN | Surface functionalization; morin(2’,3,4’,5,7-pentahydroxyflavone) | An effective scavenger of HO• and quencher for 1O2 | [159] |
| MSN | Poly Tannic acid; crossing linking | Trolox equivalency antioxidant capacity (TEAC) | [160] |
| MSN | Caffeic acid and Rutin; covalent grafting | Functions of antiradicals, cell toxicity alleviation, and oxidative stress prevention | [149] |
| MSN | 3,5-di-tert-butyl-4-hydroxybenzoic acid; grafting | Oxidation induction time (OIT) determined by DSC | [161] |
| MSN | Curcumin; loaded | Quantification of cellular ROS | [162] |
| Polyethylene glycol coated AuNPs | Salvianic acid; Surface functionalization | Thiobarbituric acid reactive substance (TBARS) DPPH(spectrophotometric) | [147] |
| AuNPs | Trolox; Self-assembly | DPPH• radical scavenging assay (spectrophotometric) | [148] |
| AuNPs | 3,6-dihydroxyflavone, lutein and selenium methyl selenocysteine; embedded | Radical scavenging tests using hydroxyl, hydrogen peroxide, nitric oxide, and DPPH (2,2-diphenyl-l-picrylhydrazyl) | [23] |
| AgNPs | Coated with Lignin | Human pathogens S. aureus, E. coli, and A. niger are combated, antioxidant assay DPPH (spectrophotometric) and antifungal and antibacterial agent. | [163] |
| Fe3O4NPs | Functionalized with Gallic acid | Superior antibacterial and antifungal activity; antioxidant properties and are magnetically separable | [164] |
| Fe2O3NPs | Coated with Carboxymethyl inulin | Non-toxic to cancer cell lines that have been immortalised. | [165] |
| Fe2O3NPs | Coated with carbon | Potential antioxidant; compatible with peripheral blood mononuclear cells | [166] |
| Fe2O3NPs | Coated with Poly GA | Reduces oxidative stress significantly; biocompatible and bioactive | [167] |
| Magnetic-silk core-shell nanoparticle | Loaded with Curcumin | Cellular uptake and cytotoxicity in breast cancer cell lines from human breast cancer patients | [168] |
| Ceria nanoparticles | dextran-coated and loaded with curcumin | inherently anti-cancer | [155] |
| Ceria nanoparticles | PEG-Phospholipid coated | A less toxic, biocompatible, oxidative stress-reducing, and effective treatment for patients with intracerebral hemorrhage. | [169] |
| PLGA-PEG | Coated with Curcumin | Neonatal hypoxic-ischemic encephalopathy can be protected by this therapy | [170] |
| Se-Ag Bimetallic | Gallic acid and Quercetin | Antimicrobial and antioxidant activities | [171] |
Publisher’s Note: MDPI stays neutral with regard to jurisdictional claims in published maps and institutional affiliations. |
© 2022 by the authors. Licensee MDPI, Basel, Switzerland. This article is an open access article distributed under the terms and conditions of the Creative Commons Attribution (CC BY) license (https://creativecommons.org/licenses/by/4.0/).
Share and Cite
Shah, S.T.; Chowdhury, Z.Z.; Simarani, K.; Basirun, W.J.; Badruddin, I.A.; Hussien, M.; Alrobei, H.; Kamangar, S. Nanoantioxidants: The Fourth Generation of Antioxidants—Recent Research Roadmap and Future Perspectives. Coatings 2022, 12, 1568. https://doi.org/10.3390/coatings12101568
Shah ST, Chowdhury ZZ, Simarani K, Basirun WJ, Badruddin IA, Hussien M, Alrobei H, Kamangar S. Nanoantioxidants: The Fourth Generation of Antioxidants—Recent Research Roadmap and Future Perspectives. Coatings. 2022; 12(10):1568. https://doi.org/10.3390/coatings12101568
Chicago/Turabian StyleShah, Syed Tawab, Zaira Zaman Chowdhury, Khanom Simarani, Wan Jefrey Basirun, Irfan Anjum Badruddin, Mohamed Hussien, Hussein Alrobei, and Sarfaraz Kamangar. 2022. "Nanoantioxidants: The Fourth Generation of Antioxidants—Recent Research Roadmap and Future Perspectives" Coatings 12, no. 10: 1568. https://doi.org/10.3390/coatings12101568
APA StyleShah, S. T., Chowdhury, Z. Z., Simarani, K., Basirun, W. J., Badruddin, I. A., Hussien, M., Alrobei, H., & Kamangar, S. (2022). Nanoantioxidants: The Fourth Generation of Antioxidants—Recent Research Roadmap and Future Perspectives. Coatings, 12(10), 1568. https://doi.org/10.3390/coatings12101568

