Effect of Polyurethane Non-Transparent Coating Process on Paint Film Performance Applied on Modified Poplar
Abstract
:1. Introduction
- (1)
- A multi-level hybrid orthogonal experiment method was carried out to analyze the effect of experimental factors and levels on paint film performance.
- (2)
- Several indicators were used to demonstrate factors that affect paint film’s performance of non-transparent finishing process.
- (3)
- Factors and levels that have the greatest impact on the performance of the paint film are explored to optimize the parameters of the polyurethane non-transparent coatings process applied on modified poplar wood.
2. Materials and Methods
2.1. Materials
2.2. Preparation of Sample
2.3. Testing and Characterization
3. Results and Discussion
3.1. Glossiness of Paint Film
3.2. Adhesion of Paint Film
3.3. Paint Film Mass Loss
4. Conclusions
Author Contributions
Funding
Institutional Review Board Statement
Informed Consent Statement
Data Availability Statement
Conflicts of Interest
References
- Yan, X.; Li, W.; Han, Y.; Yin, T. Preparation of melamine/rice husk powder coated shellac microcapsules and effect of different rice husk powder content in wall material on properties of wood waterborne primer. Polymers 2022, 14, 72. [Google Scholar] [CrossRef]
- Tao, Y.; Yan, X.; Chang, Y. Effect of coating process on mechanical, optical, and self-healing properties of waterborne coating on Basswood surface with MF-coated shellac core microcapsule. Polymers 2021, 13, 4228. [Google Scholar] [CrossRef] [PubMed]
- Salca, E.A.; Krystofiak, T.; Lis, B. Evaluation of selected properties of alder wood as functions of sanding and coating. Coatings 2017, 7, 176. [Google Scholar] [CrossRef] [Green Version]
- Paula, M.H.; Mesquita, R.R.S.; Costa, M.D.; Goncalez, J.C.; Ananias, R.A.; Janin, G. Effect of applying finishing products and sanding on the surface of marupa wood. Maderas. Cienc. Tecnol. 2020, 22, 45–54. [Google Scholar] [CrossRef] [Green Version]
- Hernandez, R.E.; Cool, J. Evaluation of three surfacing methods on paper birch wood in relation to water- and solvent-borne coating performance. Wood Fiber Sci. 2008, 40, 459–469. [Google Scholar]
- Yan, X.; Zhao, W.; Wang, L. Mechanism of thermochromic and self-repairing of waterborne wood coatings by synergistic action of waterborne acrylic microcapsules and fluorane microcapsules. Polymers 2022, 14, 56. [Google Scholar] [CrossRef]
- Yan, X.; Huang, N. Effects of three different types of aloin on optical, mechanical, and antibacterial properties of waterborne coating on Tilia europaea surface. Coatings 2021, 11, 1537. [Google Scholar] [CrossRef]
- Yan, X.X. Effect of different color paste on properties of fluorine resin/aluminum infrared low emissivity coating. Coatings 2020, 10, 70. [Google Scholar] [CrossRef] [Green Version]
- Yan, X.X.; Chang, Y.J. Investigation of waterborne thermochromic topcoat film with color-changing microcapsules on Chinese fir surface. Prog. Org. Coat. 2019, 136, 105262. [Google Scholar] [CrossRef]
- Cakicier, N.; Korkut, S.; Korkut, D.S. Varnish layer hardness, scratch resistance, and golssiness of various wood species as affected by heat treatment. Bioresources 2011, 6, 1648–1658. [Google Scholar]
- Yan, X.X.; Peng, W.W. Effect of microcapsules of a waterborne core material on the properties of a waterborne primer coating on a wooden surface. Coatings 2021, 11, 657. [Google Scholar] [CrossRef]
- Xu, M. Effects of surface roughness and wood grain on the friction coefficient of wooden materials for wood–wood frictional pair. Tribol. Trans. 2014, 57, 871–878. [Google Scholar]
- Li, J. Discussion on the factors affecting the abrasion resistance of paint film. Shanghai Paint 2004, 5, 34–35. [Google Scholar]
- Li, L.H. Adhesion of wooden material polyurethane paint film. J. Northeast. For. Univ. 2002, 30, 94–96. [Google Scholar]
- Kong, X. Research on Influencing Factors of Adhesion of Polyurethane Acrylic Waterborne Wood Coatings. Paint Ind. 2010, 40, 37–40. [Google Scholar]
- Keskin, H.; Atar, M.; Korkut, S.; Tekin, A. Scratch resistance of cellulosic, synthetic, polyurethane, waterborne, and acid-hardening varnishes used on woods. Ind. Crops Prod. 2010, 31, 219–224. [Google Scholar] [CrossRef]
- Amrifan, S.M. Mathematical Modelling of Surface Roughness on Tropical Wood Machining Using Response Surface Methodology. Appl. Mech. Mater. 2015, 815, 313–317. [Google Scholar]
- Alvarez, J.O.; Schechter, D.S. Application of wettability alteration in the exploitation of unconventional liquid resources. Pet. Explor. Dev. Online 2016, 43, 832–840. [Google Scholar] [CrossRef]
- Pan, H.X.; Chen, D. Waterborne Polyurethane Coating and its New Applications in Plush Finishing. Text. Res. J. 2009, 79, 687–693. [Google Scholar]
- Chang, C.W.; Lu, K.T. Epoxy acrylate UV/PU dual-cured wood coatings. J. Appl. Polym. Sci. 2010, 115, 2197–2202. [Google Scholar] [CrossRef]
- Ghosh, M.; Gupta, S.; Kumar, V.S.K. Studies on the loss of gloss of shellac and polyurethane finishes exposed to UV. Maderas-Cienc. Tecnol. 2015, 17, 39–44. [Google Scholar] [CrossRef] [Green Version]
- Pandey, K.K.; Srinivas, K. Performance of polyurethane coatings on acetylated and benzoylated rubberwood. Eur. J. Wood Wood Prod. 2015, 73, 111–120. [Google Scholar] [CrossRef]
- Liu, Q.Q.; Gao, D.; Xu, W. Effect of sanding processes on the surface properties of modifified poplar coated by primer compared with mahogany. Coatings 2020, 10, 856. [Google Scholar] [CrossRef]
- Liu, Q.Q.; Gao, D.; Xu, W. Inflfluence of the Bottom Color Modifification and Material Color Modifification Process on the Performance of Modifified Poplar. Coatings 2021, 11, 660. [Google Scholar] [CrossRef]
- Wang, N. Research on Surface Properties and Transparent Finishing of Useful Modified Fast-Growing Poplar; Beijing Forestry University: Beijing, China, 2013. [Google Scholar]
- Zhou, T.T. Study on the Treatment and Coating Performance of the Metal Base of the Material; Nanjing Forestry University: Nanjing, China, 2011. [Google Scholar]
- Ayrilmis, N.; Candan, Z. Effect of sanding on surface properties of medium density fiberboard. Drv. Ind. 2010, 61, 175–181. [Google Scholar]
- Faust, T.D.; Rice, J.T. Effect of venner surface roughness on gluebond quality in southern pine olywood. For. Prod. J. 1986, 35, 57–62. [Google Scholar]
- Maziar, S.M. Wettability and swelling of acetylated and furfurylated wood analyzed by multicycle Wilhelmy plate method. Holzforschung 2016, 70, 69–77. [Google Scholar]
- Silje, R. Fracture mechanical testing of adhesion of organic coatings on aluminium. Mater. Sci. Forum 2016, 519, 655–666. [Google Scholar]
- Meng, S. Study on Finishing and Aging Properties of Hydroxymethyl Resin Modified Wood; Northeast Forestry University: Harbin, China, 2014. [Google Scholar]
- Hao, D.E. Study on Ultra-High Temperature Heat Treatment of Poplar Wood; Nanjing Forestry University: Nanjing, China, 2008. [Google Scholar]
- Li, R.; Alizadeh, A.; Shang, W. Adhesion of liquid droplets to rough surfaces. Phys. Rev. E 2010, 82, 4. [Google Scholar] [CrossRef] [Green Version]
- Liu, D.L.; Martin, J.; Burnham, N.A. Which Fractal Parameter Contributes Most to Adhesion? J. Adhes. Sci. Technol. 2010, 24, 2383–2396. [Google Scholar] [CrossRef]





| Levels | Factors | ||||
|---|---|---|---|---|---|
| Factor 1: Didebao Primer (A) | Factor 2: Sanding After Didebao Primer (B) | Factor 3: PU Sealing Primer (C) | Factor 4: Finishing Process (D) | Factor 5: Paint Film Sanding (E) | |
| Level 1 (I) | one time | 180# | one time | once PU sealing primer + once NC topcoat | 180# |
| Level 2 (II) | 0 time | 240# | 0 time | once PU sealing primer + twice NC topcoat | 240# |
| Level 3 (III) | - | 320# | - | once PU sealing primer + once NC topcoat | 320# |
| Level 4 (IV) | - | 400# | - | once PU sealing primer + twice NC topcoat | 400# |
| Experiment Number | Factors | ||||
|---|---|---|---|---|---|
| A | B | C | D | E | |
| G1 | 1 | 1 | 1 | 1 | 1 |
| G2 | 2 | 1 | 2 | 2 | 2 |
| G3 | 1 | 1 | 2 | 3 | 3 |
| G4 | 2 | 1 | 1 | 4 | 4 |
| G5 | 1 | 2 | 2 | 1 | 2 |
| G6 | 2 | 2 | 1 | 2 | 1 |
| G7 | 1 | 2 | 1 | 3 | 4 |
| G8 | 2 | 2 | 2 | 4 | 3 |
| G9 | 2 | 3 | 1 | 1 | 3 |
| G10 | 1 | 3 | 2 | 2 | 4 |
| G11 | 2 | 3 | 2 | 3 | 1 |
| G12 | 1 | 3 | 1 | 4 | 2 |
| G13 | 2 | 4 | 2 | 1 | 4 |
| G14 | 1 | 4 | 1 | 2 | 3 |
| G15 | 2 | 4 | 1 | 3 | 2 |
| G16 | 1 | 4 | 2 | 4 | 1 |
| Number | Processing Method |
|---|---|
| G1 | No Didebao primer—180# sanding paper—no PU sealing primer—once PU primer + once NC topcoat—180# sanding paper |
| G2 | Didebao primer—180# sanding paper—PU sealing primer—once PU primer + twice NC topcoat—240# sanding paper |
| G3 | No Didebao primer—180# sanding paper—PU sealing primer—twice PU primer + once NC topcoat—320# sanding paper |
| G4 | Didebao primer—180# sanding paper—no PU sealing primer—twice PU primer + twice NC topcoat—400# sanding paper |
| G5 | No Didebao primer—240# sanding paper—PU sealing primer—once PU primer + once NC topcoat—240# sanding paper |
| G6 | Didebao primer—240# sanding paper—no PU sealing primer—once PU primer + twice NC topcoat—180# sanding paper |
| G7 | No Didebao primer—240# sanding paper—no PU sealing primer—twice PU primer + once NC topcoat—400# sanding paper |
| G8 | Didebao primer—240# sanding paper—PU sealing primer—twice PU primer + twice NC topcoat—320# sanding paper |
| G9 | Didebao primer—320# sanding paper—no PU sealing primer—once PU primer + once NC topcoat—320# sanding paper |
| G10 | Didebao primer—320# sanding paper—PU sealing primer—once PU primer + twice NC topcoat—400# sanding paper |
| G11 | Didebao primer—320# sanding paper—PU sealing primer—twice PU primer + once NC topcoat—180# sanding paper |
| G12 | No Didebao primer—320# sanding paper—no PU sealing primer—twice PU primer + twice NC topcoat—240# sanding paper |
| G13 | Didebao primer—400# sanding paper—PU sealing primer—once PU primer + once NC topcoat—400# sanding paper |
| G14 | Didebao primer—400# sanding paper—no PU sealing primer—once PU primer + twice NC topcoat—320# sanding paper |
| G15 | Didebao primer—400# sanding paper—no PU sealing primer—twice PU primer + once NC topcoat—240# sanding paper |
| G16 | No Didebao primer—400# sanding paper—PU sealing primer—twice PU primer + twice NC topcoat—180# sanding paper |
| Glossiness | Number | |||||||||||||||
|---|---|---|---|---|---|---|---|---|---|---|---|---|---|---|---|---|
| G1 | G2 | G3 | G4 | G5 | G6 | G7 | G8 | G9 | G10 | G11 | G12 | G13 | G14 | G15 | G16 | |
| GZL (%) | 14.2 | 13.5 | 17.2 | 31.7 | 16.8 | 17 | 27.3 | 12.8 | 17.7 | 14.8 | 10.7 | 21.3 | 16 | 21.7 | 13.5 | 17 |
| GZT (%) | 15.5 | 13.2 | 18.8 | 33 | 17.8 | 15.2 | 26 | 13.5 | 18.3 | 15.3 | 14.2 | 23.7 | 16 | 21.7 | 16 | 15.2 |
| GZB (%) | 0.91 | 1.03 | 0.91 | 0.96 | 0.94 | 1.12 | 1.05 | 0.95 | 0.96 | 0.97 | 0.75 | 0.9 | 1 | 1 | 0.84 | 1.12 |
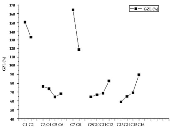
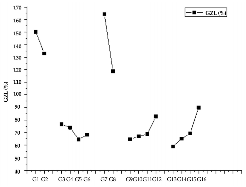
| Levels | Factors | Comprehensive Metrics | ||||
|---|---|---|---|---|---|---|
| A | B | C | D | E | ||
| I | 150.3 | 76.6 | 164.4 | 64.7 | 58.9 | T = 283.2 |
| II | 132.9 | 73.9 | 118.8 | 67.0 | 65.1 | |
| III | - | 64.5 | - | 68.7 | 69.4 | |
| IV | - | 68.2 | - | 82.8 | 89.8 | |
| R | 17.4 | 12.1 | 45.6 | 18.1 | 30.9 | |
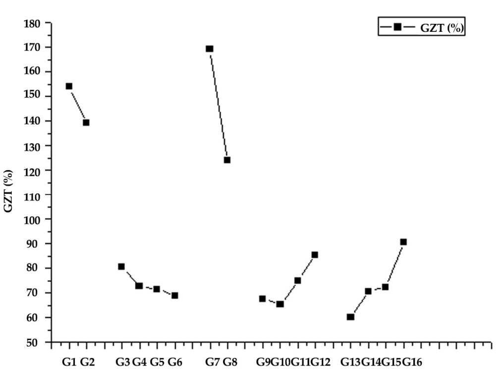
| Levels | Factors | T Value | ||||
|---|---|---|---|---|---|---|
| A | B | C | D | E | ||
| I | 154.0 | 80.5 | 169.4 | 67.6 | 60.1 | T = 293.4 |
| II | 139.4 | 72.5 | 124.0 | 65.4 | 70.7 | |
| III | - | 71.5 | - | 75.0 | 72.3 | |
| IV | - | 68.9 | - | 85.4 | 90.3 | |
| R | 14.6 | 11.6 | 45.4 | 20 | 30.2 | |
| Group | Source | Detect 1 | Detect 2 | Detect 3 | Mean |
|---|---|---|---|---|---|
| G1 | Paint film off rate | 11% | 17% | 12% | 13.3% |
| Rating | 2 | 3 | 2 | 2 | |
| G2 | Paint film off rate | 5% | 8% | 10% | 7.7% |
| Rating | 2 | 2 | 2 | 2 | |
| G3 | Paint film off rate | 24% | 24% | 21% | 23.0% |
| Rating | 3 | 3 | 3 | 3 | |
| G4 | Paint film off rate | 3% | 4% | 5% | 4% |
| Rating | 1 | 1 | 1 | 1 | |
| G5 | Paint film off rate | 9% | 3% | 3% | 5% |
| Rating | 2 | 1 | 1 | 1 | |
| G6 | Paint film off rate | 44% | 84% | 34% | 54.0% |
| Rating | 4 | 5 | 2 | 4 | |
| G7 | Paint film off rate | 2% | 1% | 1% | 1.3% |
| Rating | 1 | 1 | 1 | 1 | |
| G8 | Paint film off rate | 20% | 52% | 80% | 50.6% |
| Rating | 3 | 4 | 5 | 4 | |
| G9 | Paint film off rate | 0.5% | 5% | 0.5% | 2% |
| Rating | 1 | 1 | 1 | 1 | |
| G10 | Paint film off rate | 4% | 10% | 6% | 6.7% |
| Rating | 1 | 2 | 2 | 2 | |
| G11 | Paint film off rate | 10% | 0% | 8% | 6.0% |
| Rating | 2 | 0 | 2 | 2 | |
| G12 | Paint film off rate | 1% | 36% | 0% | 12.3% |
| Rating | 1 | 4 | 0 | 2 | |
| G13 | Paint film off rate | 2% | 48% | 76% | 42% |
| Rating | 1 | 4 | 5 | 4 | |
| G14 | Paint film off rate | 13% | 4% | 2% | 6.3% |
| Rating | 3 | 1 | 1 | 2 | |
| G15 | Paint film off rate | 0% | 12% | 40% | 17.3% |
| Rating | 0 | 2 | 4 | 3 | |
| G16 | Paint film off rate | 5% | 10% | 0% | 5% |
| Rating | 1 | 2 | 0 | 1 |
| Levels | Factors | T Value | ||||
|---|---|---|---|---|---|---|
| A | B | C | D | E | ||
| I | 100.7 | 102.3 | 129.6 | 79.5 | 70.5 | T = 266.9 |
| II | 166.2 | 67 | 137.3 | 71.5 | 64.1 | |
| III | - | 27 | - | 58.2 | 51.4 | |
| IV | - | 70.6 | - | 57.7 | 80.9 | |
| R | 65.5 | 76.2 | 7.7 | 21.8 | 29.5 | |
| Number | 0–100 g/r | 100–200 g/r | 200–300 g/r | 300–400 g/r | 400–500 g/r | Total Paint Film Mass Loss g/r |
|---|---|---|---|---|---|---|
| G1 | 0.041 | 0.083 | 0.052 | 0.052 | 0.061 | 0.289 |
| G2 | 0.047 | 0.062 | 0.066 | 0.065 | 0.065 | 0.305 |
| G3 | 0.035 | 0.046 | 0.061 | 0.053 | 0.047 | 0.242 |
| G4 | 0.050 | 0.055 | 0.067 | 0.065 | 0.069 | 0.306 |
| G5 | 0.050 | 0.067 | 0.062 | 0.066 | 0.064 | 0.309 |
| G6 | 0.033 | 0.056 | 0.053 | 0.047 | 0.063 | 0.252 |
| G7 | 0.045 | 0.062 | 0.065 | 0.059 | 0.063 | 0.294 |
| G8 | 0.040 | 0.043 | 0.058 | 0.066 | 0.059 | 0.266 |
| G9 | 0.052 | 0.061 | 0.066 | 0.061 | 0.067 | 0.307 |
| G10 | 0.030 | 0.062 | 0.063 | 0.064 | 0.062 | 0.281 |
| G11 | 0.039 | 0.050 | 0.056 | 0.053 | 0.057 | 0.255 |
| G12 | 0.044 | 0.063 | 0.061 | 0.050 | 0.057 | 0.275 |
| G13 | 0.047 | 0.055 | 0.065 | 0.068 | 0.061 | 0.296 |
| G14 | 0.049 | 0.064 | 0.059 | 0.057 | 0.059 | 0.288 |
| G15 | 0.056 | 0.062 | 0.065 | 0.050 | 0.049 | 0.282 |
| G16 | 0.027 | 0.060 | 0.053 | 0.061 | 0.067 | 0.268 |
| Levels | Factors | T Value | ||||
|---|---|---|---|---|---|---|
| A | B | C | D | E | ||
| I | 2.246 | 1.142 | 2.222 | 1.201 | 1.171 | T = 266.9 |
| II | 2.269 | 1.121 | 2.293 | 1.126 | 1.064 | |
| III | - | 1.118 | - | 1.073 | 1.103 | |
| IV | - | 1.134 | - | 1.115 | 1.177 | |
| R | 0.023 | 0.024 | 0.071 | 0.128 | 0.113 | |
| Number of Revolutions | Factors | ||||
|---|---|---|---|---|---|
| A | B | C | D | E | |
| 0–100 r | 0.029 | 0.032 | 0.029 | 0.064 | 0.032 |
| 100–200 r | 0.023 | 0.032 | 0.025 | 0.066 | 0.024 |
| 200–300 r | 0.020 | 0.025 | 0.010 | 0.034 | 0.028 |
| 300–400 r | 0.027 | 0.036 | 0.030 | 0.030 | 0.021 |
| 400–500 r | 0.028 | 0.026 | 0.047 | 0.009 | 0.010 |
Publisher’s Note: MDPI stays neutral with regard to jurisdictional claims in published maps and institutional affiliations. |
© 2021 by the authors. Licensee MDPI, Basel, Switzerland. This article is an open access article distributed under the terms and conditions of the Creative Commons Attribution (CC BY) license (https://creativecommons.org/licenses/by/4.0/).
Share and Cite
Liu, Q.; Gao, D.; Xu, W. Effect of Polyurethane Non-Transparent Coating Process on Paint Film Performance Applied on Modified Poplar. Coatings 2022, 12, 39. https://doi.org/10.3390/coatings12010039
Liu Q, Gao D, Xu W. Effect of Polyurethane Non-Transparent Coating Process on Paint Film Performance Applied on Modified Poplar. Coatings. 2022; 12(1):39. https://doi.org/10.3390/coatings12010039
Chicago/Turabian StyleLiu, Qingqing, Di Gao, and Wei Xu. 2022. "Effect of Polyurethane Non-Transparent Coating Process on Paint Film Performance Applied on Modified Poplar" Coatings 12, no. 1: 39. https://doi.org/10.3390/coatings12010039
APA StyleLiu, Q., Gao, D., & Xu, W. (2022). Effect of Polyurethane Non-Transparent Coating Process on Paint Film Performance Applied on Modified Poplar. Coatings, 12(1), 39. https://doi.org/10.3390/coatings12010039
