Self-Cleaning Performance of Super-Hydrophilic Coatings for Dust Deposition Reduction on Solar Photovoltaic Cells
Abstract
:1. Introduction
2. Experiments
2.1. Experimental Methodology
2.2. Super-Hydrophilic Coating
2.3. Test Dust
3. Results and Discussion
3.1. Dust Deposition Patterns
3.2. Effects of Super-Hydrophilic Coating on Dust Deposition
3.3. Spectral Transmittance
4. Conclusions
- Many dust particles adhere and aggregate on the bare glass sample, while the particles deposited on the super-hydrophilic glass surface are densely distributed on the surface. In addition, the diameter of dust particles deposited on the bare glass samples are obviously larger than the coated glass cases.
- When the water spraying was conducted, the dust deposition mass for bare and coated glass samples are both reduced obviously with the increased time of water spraying. The dust deposition mass on the coated glass sample is significantly lower compared with the bare glass sample. The self-cleaning efficiency of super-hydrophilic coating can reach more than 92%, compared with the bare glass cases.
- The dust deposition mass on the coated glass is 0.5, 0.1, 0.2, and 0.1 mg after the water spraying for Case A*, B*, C*, and D*, respectively. The dust deposition mass is obviously decreased with the increase in deposition and spraying tilt angles.
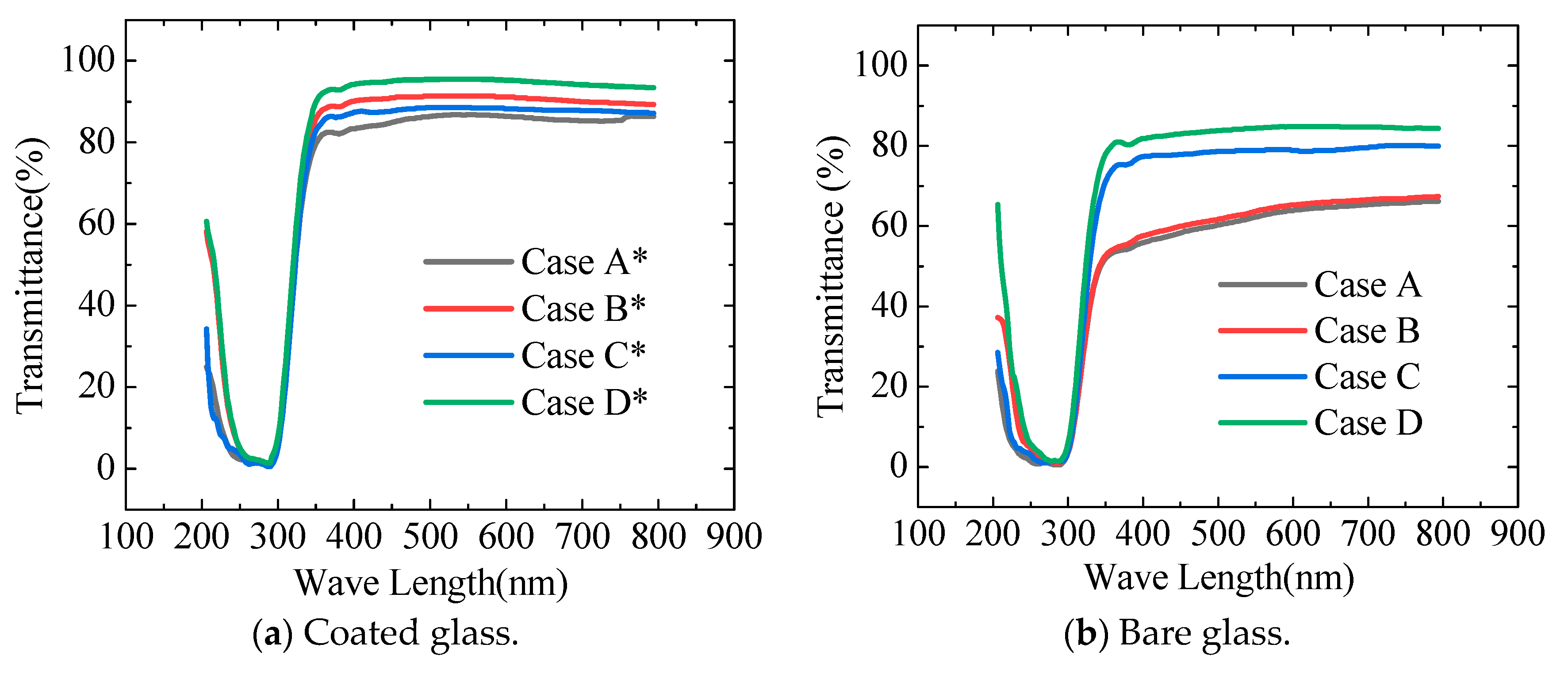
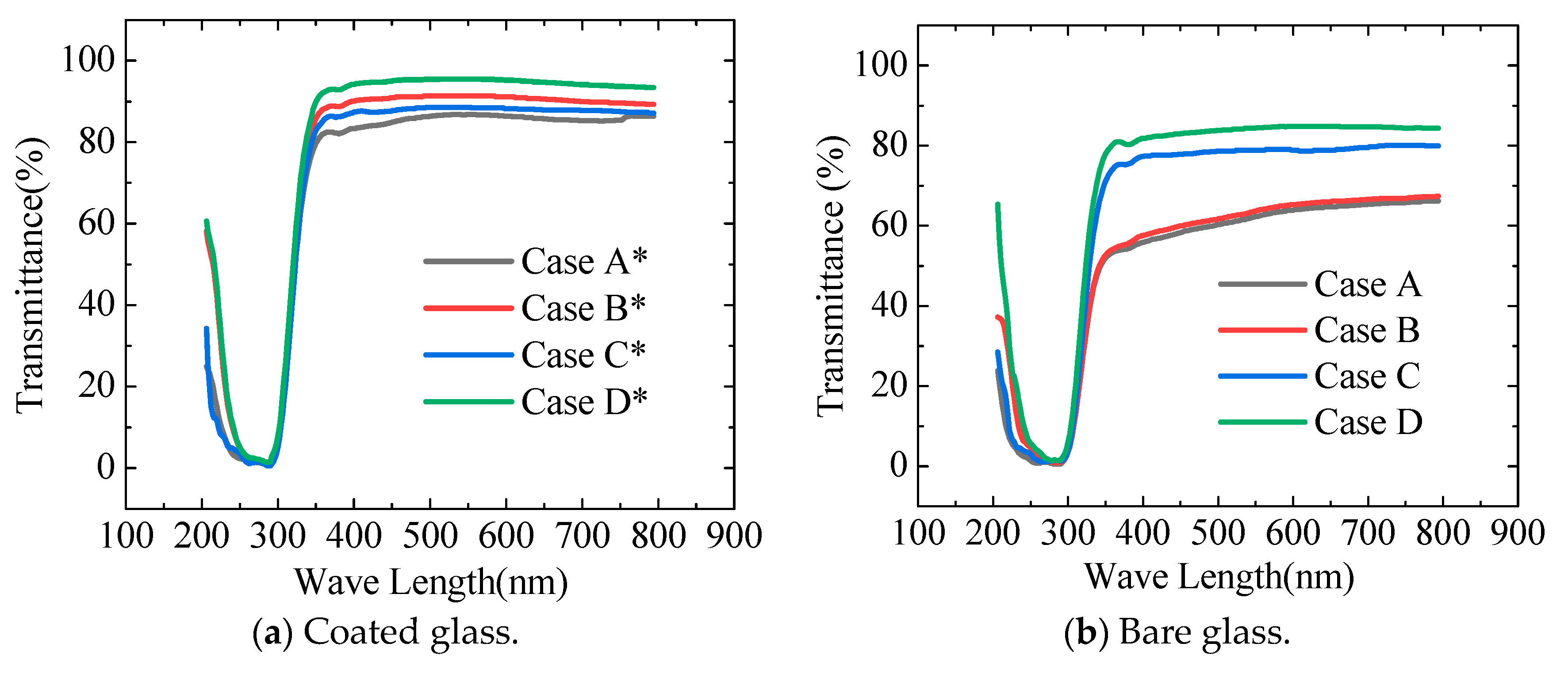
- The spectral transmittance for all the coated cases is significantly higher than that for all the bare cases. The maximum transmittance improvement can reach 26.5% when the deposition tilt angle is 30° and the spraying tilt angle is 60°.
Author Contributions
Funding
Institutional Review Board Statement
Informed Consent Statement
Data Availability Statement
Conflicts of Interest
References
- Shah, A.H.; Hassan, A.; Laghari, M.S.; Alraeesi, A. The Influence of Cleaning Frequency of Photovoltaic Modules on Power Losses in the Desert Climate. Sustainability 2020, 12, 9750. [Google Scholar] [CrossRef]
- Zeedan, A.; Barakeh, A.; Al-Fakhroo, K.; Touati, F.; Gonzales, A.S. Quantification of PV Power and Economic Losses Due to Soiling in Qatar. Sustainability 2021, 13, 3364. [Google Scholar] [CrossRef]
- Alquthami, T.; Menoufi, K. Soiling of photovoltaic modules: Comparing between two distinct locations within the framework of developing the photovoltaic soiling index (PVSI). Sustainability 2019, 11, 4697. [Google Scholar] [CrossRef] [Green Version]
- Al-Housani, M.; Bicer, Y.; Koç, M. Assessment of various dry photovoltaic cleaning techniques and frequencies on the power output of cdte-type modules in dusty environments. Sustainability 2019, 11, 2850. [Google Scholar] [CrossRef] [Green Version]
- El-Shobokshy, M.S.; Hussein, F.M. Effect of the dust with different physical properties on the performance of photovoltaic cells. Sol. Energy 1993, 51, 505–511. [Google Scholar] [CrossRef]
- Kaldellis, J.K.; Kapsali, M. Simulating the dust effect on the energy performance of photovoltaic generators based on experimental measurements. Energy 2011, 36, 5154–5161. [Google Scholar] [CrossRef]
- Goossens, D.; Van Kerschaever, E. Aeolian dust deposition on photovoltaic solar cells: The effects of wind velocity and airborne dust concentration on cell performance. Sol. Energy 1999, 66, 277–289. [Google Scholar] [CrossRef]
- Lu, H.; Zhao, W. Effects of particle sizes and tilt angles on dust deposition characteristics of a ground-mounted solar photovoltaic system. Appl. Energy 2018, 220, 514–526. [Google Scholar] [CrossRef]
- Lu, H.; Lu, L.; Wang, Y. Numerical investigation of dust pollution on a solar photovoltaic (PV) system mounted on an isolated building. Appl. Energy 2016, 180, 27–36. [Google Scholar] [CrossRef]
- Lu, H.; Zhao, W. CFD prediction of dust pollution and impact on an isolated ground-mounted solar photovoltaic system. Renew. Energy 2019, 131, 829–840. [Google Scholar] [CrossRef]
- Sueto, T.; Ota, Y.; Nishioka, K. Suppression of dust adhesion on a concentrator photovoltaic module using an anti-soiling photocatalytic coating. Sol. Energy 2013, 97, 414–417. [Google Scholar] [CrossRef]
- Adachi, T.; Latthe, S.S.; Gosavi, S.W.; Roy, N.; Suzuki, N.; Ikari, H.; Inoue, T. Photocatalytic, superhydrophilic, self-cleaning TiO2 coating on cheap, light-weight, flexible polycarbonate substrates. Appl. Surf. Sci. 2018, 458, 917–923. [Google Scholar] [CrossRef]
- Fujishima, A.; Rao, T.N.; Tryk, D.A. TiO2 photocatalysts and diamond electrodes. Electrochim. Acta 2000, 45, 4683–4690. [Google Scholar] [CrossRef]
- de Jesus, M.A.M.L.; Timò, G.; Agustín-Sáenz, C.; Braceras, I.; Cornelli, M.; de Mello Ferreira, A. Anti-soiling coatings for solar cell cover glass: Climate and surface properties influence. Sol. Energy Mater. Sol. Cells 2018, 185, 517–523. [Google Scholar] [CrossRef]
- Piliougine, M.; Cañete, C.; Moreno, R.; Carretero, J.; Hirose, J.; Ogawa, S.; Sidrach-de-Cardona, M. Comparative analysis of energy produced by photovoltaic modules with anti-soiling coated surface in arid climates. Appl. Energy 2013, 112, 626–634. [Google Scholar] [CrossRef]
- Quan, Y.Y.; Zhang, L.Z. Experimental investigation of the anti-dust effect of transparent hydrophobic coatings applied for solar cell covering glass. Sol. Energy Mater. Sol. Cells 2017, 160, 382–389. [Google Scholar] [CrossRef]
- Pan, A.J.; Lu, H.; Zhang, L.Z. Experimental investigation of dust deposition reduction on solar cell covering glass by different self-cleaning coatings. Energy 2019, 181, 645–653. [Google Scholar] [CrossRef]
- Lu, H.; Cai, R.R.; Zhang, L.Z.; Lu, L.; Zhang, L.F. Experimental investigation on deposition reduction of different types of dust on solar PV cells by self-cleaning coatings. Sol. Energy 2020, 206, 365–373. [Google Scholar] [CrossRef]
- Prabhu, S.; Cindrella, L.; Joong Kwon, O.; Mohanraju, K. Superhydrophilic and self-cleaning rGO-TiO2 composite coatings for indoor and outdoor photovoltaic applications. Sol. Energy Mater. Sol. Cells 2017, 169, 304–312. [Google Scholar] [CrossRef]
- Lei, F.; Chen, S.M.; Sun, H.Y.; Han, H.; Yang, J.L.; Huang, J.T.; Li, D.D.; Sun, D.Z. Fabrication of highly transparent and superhydrophilic coatings on glass by modified α-zirconium phosphate nanoplatelets. Mater. Chem. Phys. 2021, 263, 124377. [Google Scholar] [CrossRef]
- Centeno, P.; Alexandre, M.F.; Chapa, M.; Pinto, J.V.; Deuermeier, J.; Mateus, T.; Fortunato, E.; Martins, R.; Águas, H.; Mendes, M.J. Self-Cleaned Photonic-Enhanced Solar Cells with Nanostructured Parylene-C. Adv. Mater. Interfaces 2020, 7, 2000264. [Google Scholar] [CrossRef]
- Khan, M.U.; Abbas, M.; Khan, M.M.; Kousar, A.; Jafri, M. Modeling and design of low-cost automatic self cleaning mechanism for standalone micro PV systems. Sustain. Energy Technol. Assess. 2021, 43, 100922. [Google Scholar]
- Lebbi, M.; Touafek, K.; Benchatti, A.; Boutina, L.; Baissi, M.T. Energy performance improvement of a new hybrid PV/T Bi-fluid system using active cooling and self-cleaning: Experimental study. Appl. Therm. Eng. 2021, 182, 116033. [Google Scholar] [CrossRef]
- Allouhi, A. Solar PV integration in commercial buildings for self-consumption based on life-cycle economic/environmental multi-objective optimization. J. Clean. Prod. 2020, 270, 122375. [Google Scholar] [CrossRef]
- Roslizar, A.; Dottermusch, S.; Vüllers, F.; Kavalenka, M.N.; Guttmann, M.; Schneider, M.; Paetzold, U.W.; Hölscher, H.; Richards, B.S.; Klampaftis, E. Self-cleaning performance of superhydrophobic hot-embossed fluoropolymer films for photovoltaic modules. Sol. Energy Mater. Sol. Cells 2019, 189, 188–196. [Google Scholar] [CrossRef]
- Liu, T.; Li, X.F.; Wang, D.H.; Huang, Q.L.; Liu, Z.; Li, N.N.; Xiao, C.F. Superhydrophobicity and regeneration of PVDF/SiO2 composite films. Appl. Surf. Sci. 2017, 396, 1443–1449. [Google Scholar] [CrossRef]
- Mouchaal, Y.; Enesca, A.; Mihoreanub, C.; Khelil, A.; Duta, A. Tuning the opto-electrical properties of SnO2 thin films by Ag+1 and In+3 co-doping. Mater. Sci. Eng. B 2015, 199, 22–29. [Google Scholar] [CrossRef]
- Sangchay, W. The self-cleaning and photocatalytic properties of TiO2 doped with SnO2 thin films preparation by sol-gel method. Energy Procedia 2016, 89, 170–176. [Google Scholar] [CrossRef] [Green Version]
- Yiu, P.; You, J.D.; Wang, S.T.; Chu, J.P. Tunable hydrophilicity in a surface nano-textured stainless steel thin film deposited by DC magnetron sputtering. Appl. Surf. Sci. 2021, 555, 149705. [Google Scholar] [CrossRef]
- Jiang, H.; Lu, L.; Sun, K. Experimental investigation of the impact of airbourne dust deposition on the performance of solar photovoltaic (PV) modules. Atmos Environ. 2011, 45, 4299–4304. [Google Scholar] [CrossRef]








| Number | Surface | Tilted Angle for Dust Deposition | Tilted Angle for Water Spraying |
|---|---|---|---|
| A | bare | θ = 30° | θ = 30° |
| A* | coated | θ = 30° | θ = 30° |
| B | bare | θ = 30° | θ = 60° |
| B* | coated | θ = 30° | θ = 60° |
| C | bare | θ = 60° | θ = 30° |
| C* | coated | θ = 60° | θ = 30° |
| D | bare | θ = 60° | θ = 60° |
| D* | coated | θ = 60° | θ = 60° |
| Chemical | % of Weight | Chemical | % of Weight |
|---|---|---|---|
| SiO2 | 69–77 | CaO | 2.5–5.5 |
| Al2O3 | 8–14 | MgO | 1.0–2.0 |
| Fe2O3 | 4–7 | TiO2 | 0–1.0 |
| Na2O | 1–4 | K2O | 2.0–5.0 |
Publisher’s Note: MDPI stays neutral with regard to jurisdictional claims in published maps and institutional affiliations. |
© 2021 by the authors. Licensee MDPI, Basel, Switzerland. This article is an open access article distributed under the terms and conditions of the Creative Commons Attribution (CC BY) license (https://creativecommons.org/licenses/by/4.0/).
Share and Cite
Zhao, W.; Lu, H. Self-Cleaning Performance of Super-Hydrophilic Coatings for Dust Deposition Reduction on Solar Photovoltaic Cells. Coatings 2021, 11, 1059. https://doi.org/10.3390/coatings11091059
Zhao W, Lu H. Self-Cleaning Performance of Super-Hydrophilic Coatings for Dust Deposition Reduction on Solar Photovoltaic Cells. Coatings. 2021; 11(9):1059. https://doi.org/10.3390/coatings11091059
Chicago/Turabian StyleZhao, Wenjun, and Hao Lu. 2021. "Self-Cleaning Performance of Super-Hydrophilic Coatings for Dust Deposition Reduction on Solar Photovoltaic Cells" Coatings 11, no. 9: 1059. https://doi.org/10.3390/coatings11091059
APA StyleZhao, W., & Lu, H. (2021). Self-Cleaning Performance of Super-Hydrophilic Coatings for Dust Deposition Reduction on Solar Photovoltaic Cells. Coatings, 11(9), 1059. https://doi.org/10.3390/coatings11091059
