A Multi-Electron Transporting Layer for Efficient Perovskite Solar Cells
Abstract
:1. Introduction
2. Experimental Details
2.1. Multi-ETL Preparation
2.2. Device Fabrication
2.3. Characterization of Films and Device
3. Results and Discussion
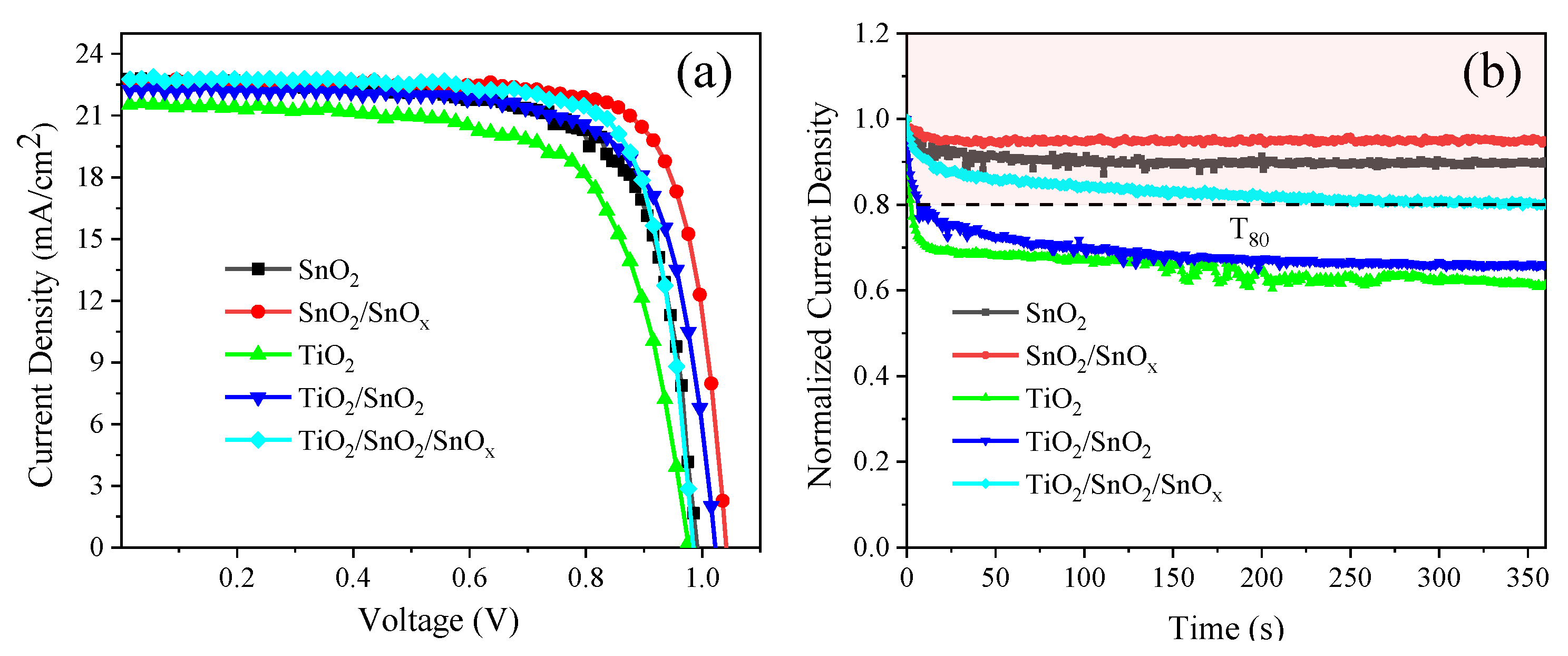
3.1. Photovoltaic Performance of Perovskite Solar Cells
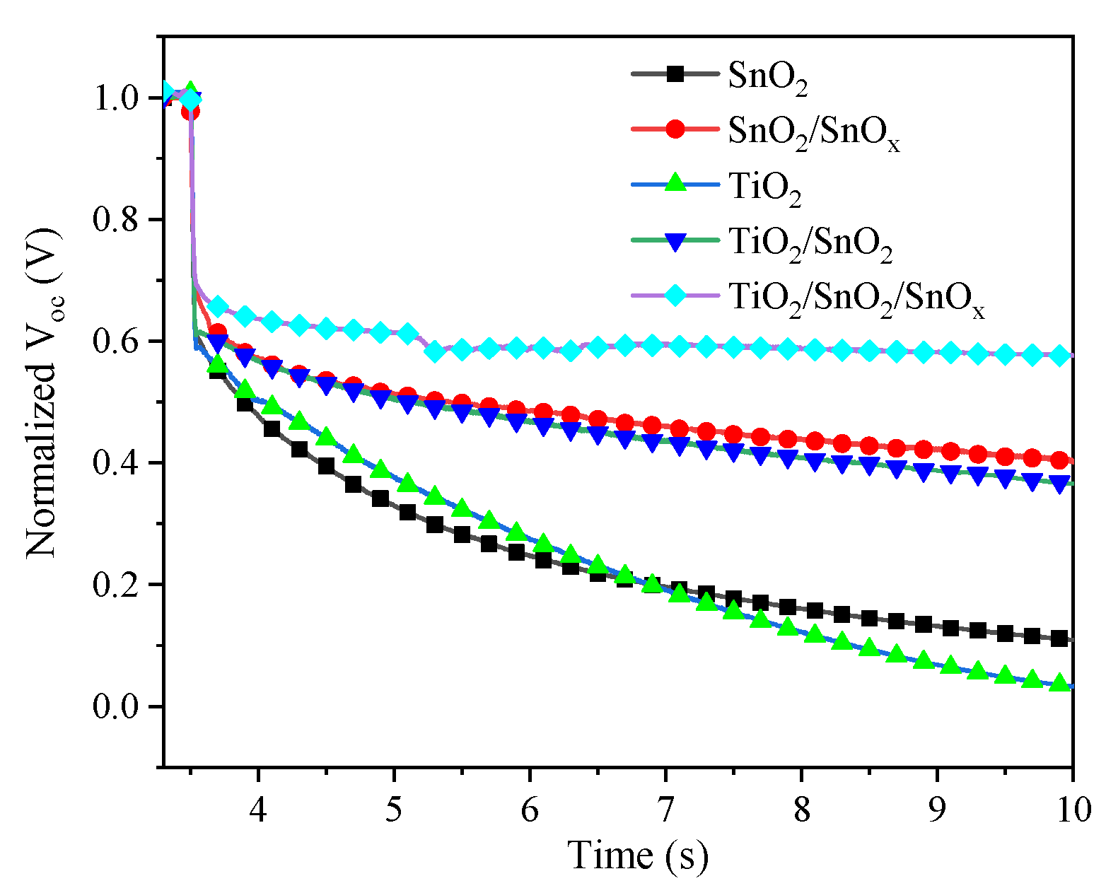
3.2. Investigation of Charge Transport of Perovskite Solar Cells
3.3. Explaination of Efficiency Enhancement Due to Multi-ETL by EIS
4. Conclusions
Author Contributions
Funding
Institutional Review Board Statement
Informed Consent Statement
Data Availability Statement
Acknowledgments
Conflicts of Interest
References
- Kojima, A.; Teshima, K.; Shirai, Y.; Miyasaka, T. Organometal halide perovskites as visible-light sensitizers for photovoltaic cells. J. Am. Chem. Soc. 2009, 131, 6050–6051. [Google Scholar] [CrossRef]
- Zhu, H.; Liu, Y.; Eickemeyer, F.T.; Pan, L.; Ren, D.; Ruiz-Preciado, M.A.; Carlsen, B.; Yang, B.; Dong, X.; Wang, Z.; et al. Tailored amphiphilic molecular mitigators for stable perovskite solar cells with 23.5% efficiency. Adv. Mater. 2020, 32, 1907757. [Google Scholar] [CrossRef]
- Zhen, C.; Wu, T.; Chen, R.; Wang, L.; Liu, G.; Cheng, H.M. Strategies for modifying TiO2 based electron transport layers to boost perovskite solar cells. ACS Sustain. Chem. Eng. 2019, 7, 4586–4618. [Google Scholar] [CrossRef]
- Li, X.; Bi, D.; Yi, C.; Decoppet, J.D.; Luo, J.; Zakeeruddin, S.M.; Hagfeldt, A.; Gratzel, M. A vacuum flash–assisted solution process for high-efficiency large-area perovskite solar cells. Science 2016, 353, 58–61. [Google Scholar] [CrossRef]
- Jiang, Q.; Chu, Z.; Wang, P.; Yang, X.; Liu, H.; Wang, Y.; Yin, Z.; Wu, J.; Zhang, X.; You, J. Planar-structure perovskite solar cells with efficiency beyond 21%. Adv. Mater. 2017, 29, 1703852. [Google Scholar] [CrossRef] [PubMed]
- Zhu, N.; Qi, X.; Zhang, Y.; Liu, G.; Wu, C.; Wang, D.; Guo, X.; Luo, W.; Li, X.; Hu, H.; et al. High efficiency (18.53%) of flexible perovskite solar cells via the insertion of potassium chloride between SnO2 and CH3NH3PbI3 layers. ACS Appl. Energy Mater. 2019, 2, 3676–3682. [Google Scholar] [CrossRef]
- Xie, J.; Huang, K.; Yu, X.; Yang, Z.; Xiao, K.; Qiang, Y.; Zhu, X.; Xu, L.; Wang, P.; Cui, C.; et al. Enhanced electronic properties of SnO2 via electron transfer from graphene quantum dots for efficient perovskite solar cells. ACS Nano 2017, 11, 9176–9182. [Google Scholar] [CrossRef]
- National Renewable Energy Laboratory. Best Research-Cell Efficiency Chart. Available online: https://www.nrel.gov/pv/cell-efficiency.html (accessed on 26 July 2021).
- Shin, S.S.; Lee, S.J.; Seok, S.I. Metal oxide charge transport layers for efficient and stable perovskite solar cells. Adv. Funct. Mater. 2019, 29, 1900455. [Google Scholar] [CrossRef]
- Xiong, L.; Guo, Y.; Wen, J.; Liu, H.; Yang, G.; Qin, P.; Fang, G. Review on the application of SnO2 in perovskite solar cells. Adv. Funct. Mater. 2018, 28, 1802757. [Google Scholar] [CrossRef]
- Duong, T.T.; Hoang, P.H.; Nhan, L.T.; Duong, L.V.; Nam, M.H.; Tuan, L.Q. Multistep spin–spray deposition of large-grain-size CH3NH3PbI3 with bilayer structure for conductive-carbon-based perovskite solar cells. Curr. Appl. Phys. 2019, 19, 1266–1270. [Google Scholar] [CrossRef]
- Sharma, S.; Soleimanioun, N.; Kaur, R.; Rani, M.; Tripathi, S.K. Comparative study of the effect of Mg, Zn and Ag dopants on properties of titanium dioxide as mesoporous ETL for photovoltaic application. Mater. Chem. Phys. 2021, 257, 123730. [Google Scholar] [CrossRef]
- Chen, Y.; Meng, Q.; Zhang, L.; Han, C.; Gao, H.; Zhang, Y.; Yan, H. SnO2-based electron transporting layer materials for perovskite solar cells: A review of recent progress. J. Energy Chem. 2019, 35, 144–167. [Google Scholar] [CrossRef] [Green Version]
- Chen, Q.; Guo, W.; Ke, J.C.R.; Mokhtar, M.Z.; Wang, D.; Jacobs, J.; Thomas, A.G.; Curry, R.J.; Liu, Z. Ultrafast and scalable laser-induced crystallization of titanium dioxide films for planar perovskite solar cells. Sol. RRL 2020, 5, 2000562. [Google Scholar] [CrossRef]
- Jiang, Q.; Zhang, X.; You, J. SnO2: A wonderful electron transport layer for perovskite solar cells. Small 2018, 14, 1801154. [Google Scholar] [CrossRef] [PubMed]
- Wang, Y.; Djuriši’c, A.B.; Chen, W.; Liu, F.; Cheng, R.; Feng, S.P.; Ng, A.M.C.; He, Z. Metal oxide charge transport layers in perovskite solar cells-optimising low temperature processing and improving the interfaces towards low temperature processed, efficient and stable devices. J. Phys. Energy 2021, 3, 012004. [Google Scholar] [CrossRef]
- Xie, H.; Yin, X.; Liu, J.; Guo, Y.; Chen, P.; Que, W.; Wang, G.; Gao, B. Low temperature solution-derived TiO2-SnO2 bilayered electron transport layer for high performance perovskite solar cells. Appl. Surf. Sci. 2019, 464, 700–707. [Google Scholar] [CrossRef]
- Ouyang, D.; Huang, Z.; Choy, W.C.H. Solution-Processed Metal Oxide Nanocrystals as Carrier Transport Layers in Organic and Perovskite Solar Cells. Adv. Funct. Mater. 2019, 29, 1804660. [Google Scholar] [CrossRef] [Green Version]
- Yang, G.; Chen, C.; Yao, F.; Chen, Z.; Zhang, Q.; Zheng, X.; Ma, J.; Lei, H.; Qin, P.; Xiong, L.; et al. Effective carrier-concentration tuning of SnO2 quantum dot electron-selective layers for high-performance planar perovskite solar cells. Adv. Mater. 2018, 30, 1706023. [Google Scholar] [CrossRef]
- Noh, Y.W.; Lee, J.H.; Jin, I.S.; Park, S.H.; Jung, J.W. Enhanced efficiency and ambient stability of planar heterojunction perovskite solar cells by using organic-inorganic double layer electron transporting material. Electrochim. Acta 2019, 294, 337–344. [Google Scholar] [CrossRef]
- Lee, H.B.; Kumar, N.; Ovhal, M.M.; Kim, Y.J.; Song, Y.M.; Kang, J.W. Dopant-free, amorphous–crystalline heterophase SnO2 electron transport bilayer enables >20% efficiency in triple-cation perovskite solar cells. Adv. Funct. Mater. 2020, 30, 2001559. [Google Scholar] [CrossRef]
- Chen, X.; Shirai, Y.; Yanagida, M.; Miyano, K. Effect of light and voltage on electrochemical impedance spectroscopy of perovskite solar cells: An empirical approach based on modified randles circuit. J. Phys. Chem. C 2019, 123, 3968–3978. [Google Scholar] [CrossRef]
- Bernal, L.C.; Terrón, S.R.; Riquelme, A.; Boix, P.; Idígoras, J.; Seró, I.M.; Anta, J.A. impedance analysis of perovskite solar cells: A case study. J. Mater. Chem. A 2019, 7, 12191–12200. [Google Scholar] [CrossRef]
- Hailegnaw, B.; Sariciftci, N.S.; Scharber, M.C. Impedance spectroscopy of perovskite solar cells: Studying the dynamics of charge carriers before and after continuous operation. Phys. Status Solidi A 2020, 217, 2000291. [Google Scholar] [CrossRef]
- Yi, H.; Wang, D.; Mahmud, M.A.; Haque, F.; Upama, M.B.; Xu, C.; Duan, L.; Uddin, A. Bilayer SnO2 as electron transport layer for highly efficient perovskite solar cells. ACS Appl. Energy Mater. 2018, 1, 6027–6039. [Google Scholar] [CrossRef]
- Pascoe, A.R.; Duffy, N.W.; Scully, A.D.; Huang, F.; Cheng, Y.B. Insights into planar CH3NH3PbI3 perovskite solar cells using impedance spectroscopy. J. Phys. Chem. C 2015, 119, 4444–4453. [Google Scholar] [CrossRef]
- Yarangsi, V.; Hongsith, K.; Sucharitakul, S.; Ngamjarurojana, A.; Tuantranont, A.; Kumnorkaew, P.; Zhao, Y.; Phadungdhitidhada, S.; Choopun, S. Interface modification of SnO2 layer using p–n junction double layer for efficiency enhancement of perovskite solar cell. J. Phys. D Appl. Phys. 2020, 53, 505103. [Google Scholar] [CrossRef]
- Tavakoli, M.M.; Giordano, F.; Zakeeruddin, S.M.; Grätzel, M. Mesoscopic oxide double layer as electron specific contact for highly efficient and UV stable perovskite photovoltaics. Nano Lett. 2018, 18, 2428–2434. [Google Scholar] [CrossRef]
- Rong, Y.; Ku, Z.; Mei, A.; Liu, T.; Xu, M.; Ko, S.; Li, X.; Han, H. Hole-conductor-free mesoscopic TiO2/CH3NH3PbI3 heterojunction solar cells based on anatase nanosheets and carbon counter electrodes. J. Phys. Chem. Lett. 2014, 5, 2160–2164. [Google Scholar] [CrossRef]
- Abdulrahim, S.M.; Ahmad, Z.; Bahadra, J.; Al-Thani, N.J. Electrochemical impedance spectroscopy analysis of hole transporting material free mesoporous and planar perovskite solar cells. Nanomaterials 2020, 10, 1635. [Google Scholar] [CrossRef]






| Device | Voc (V) | Jsc (mA/cm2) | FF | PCE (%) | Rsh (Ω) | Rs (Ω) |
|---|---|---|---|---|---|---|
| SnO2 | 0.99 (0.97 ± 0.02) | 22.70 (21.85 ± 0.93) | 73.17 (70.74 ± 2.65) | 16.48 (14.95 ± 0.77) | 2605.1 | 3.2 |
| SnO2/SnOx | 1.04 (1.03 ± 0.01) | 22.66 (22.08 ± 0.70) | 77.94 (76.70 ± 1.93) | 18.39 (17.41 ± 0.72) | 3035.6 | 2.8 |
| TiO2 | 0.98 (0.96 ± 0.02) | 21.57 (21.13 ± 0.32) | 69.08 (65.14 ± 4.50) | 14.57 (13.28 ± 1.32) | 1345.2 | 5.6 |
| TiO2/SnO2 | 1.02 (1.00 ± 0.01) | 22.23 (22.23 ± 0.44) | 73.36 (70.80 ± 2.09) | 16.68 (15.82 ± 0.75) | 1435.9 | 3.6 |
| TiO2/SnO2/SnOx | 0.99 (0.99 ± 0.01) | 22.74 (22.54 ± 0.21) | 77.80 (75.49 ± 1.38) | 17.44 (16.84 ± 0.50) | 2918.1 | 3.0 |
| Device | A1* | τ1(s) | A2* | τ2(s) | τaverage(s) |
|---|---|---|---|---|---|
| SnO2 | 39.14 | 0.15 | 60.86 | 3.49 | 2.18 |
| SnO2/SnOx | 43.90 | 0.18 | 56.10 | 15.44 | 8.74 |
| TiO2 | 24.60 | 0.08 | 75.40 | 4.07 | 3.09 |
| TiO2/SnO2 | 38.50 | 0.36 | 61.50 | 15.70 | 9.80 |
| TiO2/SnO2/SnOx | 48.91 | 0.18 | 51.09 | 33.64 | 17.27 |
| Device | R1 (Ω) | Rct (Ω) | Rrec (kΩ) | f (Hz) | τ (µs) |
|---|---|---|---|---|---|
| SnO2 | 7.5 | 598 | 24.6 | 13000 | 12.2 |
| SnO2/SnOx | 14.5 | 520 | 39.1 | 10000 | 15.9 |
| TiO2 | 8.5 | 631 | 16.3 | 19000 | 8.4 |
| TiO2/SnO2 | 10.8 | 620 | 31.0 | 11000 | 14.5 |
| TiO2/SnO2/SnOx | 13.6 | 610 | 58.2 | 11000 | 14.5 |
Publisher’s Note: MDPI stays neutral with regard to jurisdictional claims in published maps and institutional affiliations. |
© 2021 by the authors. Licensee MDPI, Basel, Switzerland. This article is an open access article distributed under the terms and conditions of the Creative Commons Attribution (CC BY) license (https://creativecommons.org/licenses/by/4.0/).
Share and Cite
Hongsith, K.; Yarangsi, V.; Sucharitakul, S.; Phadungdhitidhada, S.; Ngamjarurojana, A.; Choopun, S. A Multi-Electron Transporting Layer for Efficient Perovskite Solar Cells. Coatings 2021, 11, 1020. https://doi.org/10.3390/coatings11091020
Hongsith K, Yarangsi V, Sucharitakul S, Phadungdhitidhada S, Ngamjarurojana A, Choopun S. A Multi-Electron Transporting Layer for Efficient Perovskite Solar Cells. Coatings. 2021; 11(9):1020. https://doi.org/10.3390/coatings11091020
Chicago/Turabian StyleHongsith, Kritsada, Vasan Yarangsi, Sukrit Sucharitakul, Surachet Phadungdhitidhada, Athipong Ngamjarurojana, and Supab Choopun. 2021. "A Multi-Electron Transporting Layer for Efficient Perovskite Solar Cells" Coatings 11, no. 9: 1020. https://doi.org/10.3390/coatings11091020
APA StyleHongsith, K., Yarangsi, V., Sucharitakul, S., Phadungdhitidhada, S., Ngamjarurojana, A., & Choopun, S. (2021). A Multi-Electron Transporting Layer for Efficient Perovskite Solar Cells. Coatings, 11(9), 1020. https://doi.org/10.3390/coatings11091020

