Curcuma longa Mediated Synthesis of Copper Oxide, Nickel Oxide and Cu-Ni Bimetallic Hybrid Nanoparticles: Characterization and Evaluation for Antimicrobial, Anti-Parasitic and Cytotoxic Potentials
Abstract
:1. Introduction
2. Materials and Methods
2.1. Plant Collection and Extraction
2.2. Synthesis of CuO and NiO NPs
2.3. Synthesis of Cu-Ni Hybrids NPs
2.4. Characterizations of Biosynthesized NPs
2.5. Antibacterial Assay of NPs against Bacterial Strains
2.6. Anti-Leishmanial Assay
2.7. Protein Kinase Inhibition Assay
2.8. Cytotoxicity against HepG2 Cell Line
2.9. Anti-Diabetic Assay
2.9.1. α-amylase Inhibition Assay
2.9.2. α-glucosidase Inhibition Assay
2.10. Anti-Alzheimer’s Activity
2.11. Estimation of Antioxidant Activity
2.11.1. DPPH Antioxidant Assay
2.11.2. Total Antioxidant Capacity Determination (TAC)
2.11.3. Total Reducing Power Determination (TRP)
2.11.4. Antioxidant ABTS Assay
2.12. Biocompatibility Studies
3. Results and Discussion
3.1. Biosynthesis of Metallic NPs
3.2. Optical Band Gap of Nanoparticles
3.3. Fourier Transform Infrared Spectrometer (FTIR)
3.4. Powder XRD Analysis
3.5. Thermal Properties
3.6. Energy Dispersive X-rays (EDX)
3.7. Morphological SEM and TEM Analysis
3.8. Antibacterial Assay
3.9. Anti-Leishmanial Assay
3.10. Protein Kinase Inhibition Assay
3.11. Anti-Cancer Activity against HepG2 Cell Line
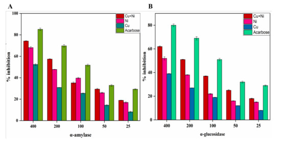
3.12. Anti-Diabetic Activity
3.13. In Vitro AChE and BChE Inhibition Assays
3.14. Antioxidant Assays
3.15. In-Vitro Biocompatibility Studies
4. Conclusions
Author Contributions
Funding
Institutional Review Board Statement
Informed Consent Statement
Data Availability Statement
Conflicts of Interest
References
- Ramsden, J. Nanotechnology: An Introduction; William Andrew: Norwich, NY, USA, 2016. [Google Scholar]
- Albrecht, M.A.; Evans, C.W.; Raston, C.L. Green chemistry and the health implications of nanoparticles. Green Chem. 2006, 8, 417–432. [Google Scholar] [CrossRef]
- Al-Radadi, N.S.; Adam, S.I. Green biosynthesis of Pt-nanoparticles from Anbara fruits: Toxic and protective effects on CCl4 induced hepatotoxicity in Wister rats. Arab. J. Chem. 2020, 13, 4386–4403. [Google Scholar] [CrossRef]
- Al-Radadi, N.S. Artichoke (Cynara scolymus L.) Mediated Rapid Analysis of Silver Nanoparticles and Their Utilisation on the Cancer Cell Treatments. J. Comput. Nanosci. 2018, 15, 1818–1829. [Google Scholar] [CrossRef]
- Al-Radadi, N.S. Green synthesis of platinum nanoparticles using Saudi’s Dates extract and their usage on the cancer cell treatment. Arab. J. Chem. 2019, 12, 330–349. [Google Scholar] [CrossRef]
- Herlekar, M.; Barve, S.; Kumar, R. Plant-mediated green synthesis of iron nanoparticles. J. Nanoparticles 2014, 2014, 140614. [Google Scholar] [CrossRef]
- Simonis, F.; Schilthuizen, S. Nanotechnology; Innovation Opportunities for Tomorrow’s Defence; TNO: Eindhoven, The Netherlands, 2006. [Google Scholar]
- Al-Radadi, N.S.; Al-Youbi, A.N. One-Step Synthesis of Au Nano-Assemblies and Study of Their Anticancer Activities. J. Comput. Theor. Nanosci. 2018, 15, 1861–1870. [Google Scholar] [CrossRef]
- Al-Radadi, N.S.; Al-Youbi, A.N. Environmentally-Safe Synthesis of Gold and SilverNano-Particles with AL-Madinah Barni Fruit and Their Applications in the Cancer Cell Treatments. J. Comput. Theor. Nanosci. 2018, 15, 1853–1860. [Google Scholar] [CrossRef]
- Ullah, R.; Shah, S.; Muhammad, Z.; Shah, S.A.; Faisal, S.; Khattak, U.; ul Haq, T.; Akbar, M.T. In vitro and in vivo applications of Euphorbia wallichii shoot extract-mediated gold nanospheres. Green Process. Synth. 2021, 10, 101–111. [Google Scholar] [CrossRef]
- Duan, H.; Wang, D.; Li, Y. Green chemistry for nanoparticle synthesis. Chem. Soc. Rev. 2015, 44, 5778–5792. [Google Scholar] [CrossRef]
- Bala, N.; Saha, S.; Chakraborty, M.; Maiti, M.; Das, S.; Basu, R.; Nandy, P. Green synthesis of zinc oxide nanoparticles using Hibiscus subdariffa leaf extract: Effect of temperature on synthesis, anti-bacterial activity and anti-diabetic activity. RSC Adv. 2015, 5, 4993–5003. [Google Scholar] [CrossRef]
- Hasan, S. A review on nanoparticles: Their synthesis and types. Res. J. Recent Sci. 2015, 2277, 2502. [Google Scholar]
- Barzinjy, A.A.; Hamad, S.M.; Aydın, S.; Ahmed, M.H.; Hussain, F.H. Green and eco-friendly synthesis of Nickel oxide nanoparticles and its photocatalytic activity for methyl orange degradation. J. Mater. Sci. Mater. Electron. 2020, 31, 11303–11316. [Google Scholar] [CrossRef]
- Shah, R.; Shah, S.A.; Shah, S.; Faisal, S.; Ullah, F. Green Synthesis and Antibacterial Activity of Gold Nanoparticles of Digera muricata. Indian J. Pharm. Sci. 2020, 82, 374–378. [Google Scholar] [CrossRef]
- Ren, G.; Hu, D.; Cheng, E.W.; Vargas-Reus, M.A.; Reip, P.; Allaker, R.P. Characterisation of copper oxide nanoparticles for antimicrobial applications. Int. J. Antimicrob. Agents 2009, 33, 587–590. [Google Scholar] [CrossRef] [PubMed]
- Verma, N.; Kumar, N. Synthesis and biomedical applications of copper oxide nanoparticles: An expanding horizon. Acs Biomater. Sci. Eng. 2019, 5, 1170–1188. [Google Scholar] [CrossRef]
- Imran Din, M.; Rani, A. Recent advances in the synthesis and stabilization of nickel and nickel oxide nanoparticles: A green adeptness. Int. J. Anal. Chem. 2016, 2016, 1–14. [Google Scholar] [CrossRef]
- Mishra, P.K.; Mishra, H.; Ekielski, A.; Talegaonkar, S.; Vaidya, B. Zinc oxide nanoparticles: A promising nanomaterial for biomedical applications. Drug Discov. Today 2017, 22, 1825–1834. [Google Scholar] [CrossRef] [PubMed]
- Nagajyothi, P.; Cha, S.J.; Yang, I.J.; Sreekanth, T.; Kim, K.J.; Shin, H.M. Antioxidant and anti-inflammatory activities of zinc oxide nanoparticles synthesized using Polygala tenuifolia root extract. J. Photochem. Photobiol. B Biol. 2015, 146, 10–17. [Google Scholar] [CrossRef] [PubMed]
- Cai, X.; Luo, Y.; Zhang, W.; Du, D.; Lin, Y. pH-Sensitive ZnO quantum dots–doxorubicin nanoparticles for lung cancer targeted drug delivery. ACS Appl. Mater. Interfaces 2016, 8, 22442–22450. [Google Scholar] [CrossRef]
- Gutha, Y.; Pathak, J.L.; Zhang, W.; Zhang, Y.; Jiao, X. Antibacterial and wound healing properties of chitosan/poly (vinyl alcohol)/zinc oxide beads (CS/PVA/ZnO). Int. J. Biol. Macromol. 2017, 103, 234–241. [Google Scholar] [CrossRef]
- Lai, L.; Zhao, C.; Su, M.; Li, X.; Liu, X.; Jiang, H.; Amatore, C.; Wang, X. In vivo target bio-imaging of Alzheimer’s disease by fluorescent zinc oxide nanoclusters. Biomater. Sci. 2016, 4, 1085–1091. [Google Scholar] [CrossRef] [PubMed]
- Witkin, J.M.; Li, X. Curcumin, an active constiuent of the ancient medicinal herb Curcuma longa L.: Some uses and the establishment and biological basis of medical efficacy. CNS Neurol. Disord. Drug 2013, 12, 487–497. [Google Scholar] [CrossRef] [PubMed]
- Al-Radadi, N.S. Green Biosynthesis of Flaxseed Gold Nanoparticles(Au-NPs) as Potent Anti-cancer Agent Against Breast Cancer Cells. J. Saudi Chem. Soc. 2021, 25, 101243. [Google Scholar] [CrossRef]
- Radadi, N.S. Facile one-step green synthesis of gold nanoparticles (AuNp) using licorice root extract: Antimicrobial and anticancer study against HepG2 cell line. Arab. J. Chem. 2021, 14, 102956. [Google Scholar]
- Damalas, C.A. Potential uses of turmeric (Curcuma longa) products as alternative means of pest management in crop production. Plant. Omics 2011, 4, 136–141. [Google Scholar]
- Padil, V.V.T.; Černík, M. Green synthesis of copper oxide nanoparticles using gum karaya as a biotemplate and their antibacterial application. Int. J. Nanomed. 2013, 8, 889. [Google Scholar]
- Ezhilarasi, A.A.; Vijaya, J.J.; Kaviyarasu, K.; Zhang, X.; Kennedy, L.J. Green synthesis of nickel oxide nanoparticles using Solanum trilobatum extract for cytotoxicity, antibacterial and photocatalytic studies. Surf. Interfaces 2020, 20, 100553. [Google Scholar] [CrossRef]
- Ismail, M.; Khan, M.; Khan, S.B.; Khan, M.A.; Akhtar, K.; Asiri, A.M. Green synthesis of plant supported CuAg and CuNi bimetallic nanoparticles in the reduction of nitrophenols and organic dyes for water treatment. J. Mol. Liq. 2018, 260, 78–91. [Google Scholar] [CrossRef]
- Holzwarth, U.; Gibson, N. The Scherrer equation versus the Debye-Scherrer equation. Nat. Nanotechnol. 2011, 6, 534. [Google Scholar] [CrossRef]
- Barzinjy, A.; Mustafa, S.; Ismael, H. Characterization of ZnO NPs prepared from green synthesis using Euphorbia Petiolata leaves. EAJSE 2019, 4, 74–83. [Google Scholar]
- Shah, M.; Nawaz, S.; Jan, H.; Uddin, N.; Ali, A.; Anjum, S.; Giglioli-Guivarc’h, N.; Hano, C.; Abbasi, B.H. Synthesis of bio-mediated silver nanoparticles from Silybum marianum and their biological and clinical activities. Mater. Sci. Eng. C 2020, 112, 110889. [Google Scholar] [CrossRef]
- Imran, M.; Jan, H.; Faisal, S.; Shah, S.A.; Shah, S.; Khan, M.N.; Syed, S. In vitro Examination of Anti-parasitic, An-ti-Alzheimer, Insecticidal and Cytotoxic Potential of Ajuga Bracteosa Wallich Leaves Extracts. Saudi J. Biol. Sci. 2021, 28, 3031–3036. [Google Scholar] [CrossRef]
- Jan, H.; Khan, M.A.; Usman, H.; Shah, M.; Ansir, R.; Faisal, S.; Ullah, N.; Rahman, L. The Aquilegia pubiflora (Himalayan columbine) mediated synthesis of nanoceria for diverse biomedical applications. RSC Adv. 2020, 10, 19219–19231. [Google Scholar] [CrossRef]
- Faisal, S.; Shah, S.A.; Shah, S.; Akbar, M.T.; Jan, F.; Haq, I.; Baber, M.E.; Aman, K.; Zahir, F.; Bobi, F.; et al. In Vitro Biomedical and Photo-Catalytic Application of Bio-Inspired Zingiber officinale Mediated Silver Nanoparticles. J. Biomed. Nanotechnol. 2020, 16, 492–504. [Google Scholar] [CrossRef] [PubMed]
- Faisal, S.; Jan, H.; Shah, S.A.; Khan, A.; Akbar, M.T.; Rizwan, M.; Jan, F.; Wajidullah; Akhtar, N.; Khattak, A.; et al. Green Synthesis of Zinc Oxide (ZnO) Nanoparticles Using Aqueous2 Fruit Extracts of Myristica fragrans: Their Characterizations and Biological and Environmental Applications. ACS Omega 2021, 6, 9709–9722. [Google Scholar] [CrossRef]
- Usman, H.; Ullah, M.A.; Jan, H.; Siddiquah, A.; Drouet, S.; Anjum, S.; Giglioli-Guviarc’h, N.; Hano, C.; Abbasi, B.H. Interactive Effects of Wide-Spectrum Monochromatic Lights on Phytochemical Production, Antioxidant and Biological Activities of Solanum xanthocarpum Callus Cultures. Molecules 2020, 25, 2201. [Google Scholar] [CrossRef]
- Ellman, G.L.; Courtney, K.D.; Andres, V., Jr.; Featherstone, R.M. A new and rapid colorimetric determination of acetylcholinesterase activity. Biochem. Pharm. 1961, 7, 88–95. [Google Scholar] [CrossRef]
- Faisal, S.; Jan, H.; Shah, S.A.; Shah, S.; Zaman, N.; Hussain, Z.N.; Uddin, M.N.; Bibi, N.; Khattak, A.; Khan, W.; et al. Bio-Catalytic Activity of Novel Mentha arvensis Intervened Biocompatible Magnesium Oxide Nanomaterials. Catalysts 2021, 11, 780. [Google Scholar] [CrossRef]
- Nazir, S.; Jan, H.; Tungmunnithum, D.; Drouet, S.; Zia, M.; Hano, C.; Abbasi, B.H. Callus Culture of Thai Basil Is an Effective Biological System for the Production of Antioxidants. Molecules 2020, 25, 4859. [Google Scholar] [CrossRef]
- Abdel-Aziz, H.M.; Rizwan, M. Chemically synthesized silver nanoparticles induced physio-chemical and chloroplast ultrastructural changes in broad bean seedlings. Chemosphere 2019, 235, 1066–1072. [Google Scholar] [CrossRef]
- Faisal, S.; Khan, M.A.; Jan, H.; Shah, S.A.; Shah, S.; Rizwan, M.; Ullah, W.; Akbar, M.T. Edible mushroom (Flammulina velutipes) as biosource for silver nanoparticles: From synthesis to diverse biomedical and environmental applications. Nanotechnology 2020, 32, 065101. [Google Scholar] [CrossRef] [PubMed]
- Nisar, T.; Iqbal, M.; Raza, A.; Safdar, M.; Iftikhar, F.; Waheed, M. Turmeric: A promising spice for phytochemical and antimicrobial activities. Am. EurJ. Agric. Environ. Sci. 2015, 15, 1278–1288. [Google Scholar]
- Himesh, S.; Sharan, P.S.; Mishra, K. Qualitative and quantitative profile of curcumin from ethanolic extract of Curcuma longa. Int. Res. J. Pharm. 2011, 2, 180–184. [Google Scholar]
- Shah, S.; Shah, S.A.; Faisal, S.; Khan, A.; Ullah, R.; Ali, N.; Bilal, M. Engineering novel gold nanoparticles using Sageretia thea leaf extract and evaluation of their biological activities. J. Nanostructure Chem. 2021, 1–12. [Google Scholar] [CrossRef]
- Sabouri, Z.; Akbari, A.; Hosseini, H.A.; Darroudi, M. Facile green synthesis of NiO nanoparticles and investigation of dye degradation and cytotoxicity effects. J. Mol. Struct. 2018, 1173, 931–936. [Google Scholar] [CrossRef]
- Nasrollahzadeh, M.; Sajjadi, M.; Komber, H.; Khonakdar, H.A.; Sajadi, S.M. In situ green synthesis of Cu-Ni bimetallic nanoparticles supported on reduced graphene oxide as an effective and recyclable catalyst for the synthesis of N-benzyl-N-aryl-5-amino-1H-tetrazoles. Appl. Organomet. Chem. 2019, 33, e4938. [Google Scholar] [CrossRef]
- Guilger-Casagrande, M.; de Lima, R. Synthesis of Silver Nanoparticles Mediated by Fungi: A Review. Front. Bioeng. Biotechnol. 2019, 7, 287. [Google Scholar] [CrossRef]
- Berestova, T.V.; Khursan, S.L.; Mustafin, A.G. Experimental and theoretical substantiation of differences of geometric isomers of copper (II) α-amino acid chelates in ATR-FTIR spectra. Spectrochim. Acta Part A Mol. Biomol. Spectrosc. 2020, 229, 117950. [Google Scholar] [CrossRef]
- Zhang, H.; Han, B.; Meng, J. Photocatalytic Activity of Dye Sensitized Hematite Nanoparticles on Cenospheres. J. Nanosci. Nanotechnol. 2016, 16, 12433–12443. [Google Scholar] [CrossRef]
- Mohamed, E.A. Green synthesis of copper & copper oxide nanoparticles using the extract of seedless dates. Heliyon 2020, 6, e03123. [Google Scholar]
- He, N.; Yang, X.; Shi, L.; Yang, X.; Lu, Y.; Tong, G.; Wu, W. Chemical conversion of Cu2O/PPy core-shell nanowires (CSNWs): A surface/interface adjustment method for high-quality Cu/Fe/C and Cu/Fe3O4/C CSNWs with superior microwave absorption capabilities. Carbon 2020, 166, 205–217. [Google Scholar] [CrossRef]
- Jeevanandam, J.; San Chan, Y.; Wong, Y.J.; Hii, Y.S. Biogenic Synthesis of Magnesium Oxide Nanoparticles Using Aloe Barbadensis Leaf Latex Extract; IOP Conference Series Materials Science and Engineering, 2020; IOP Publishing: Bristol, UK, 2020. [Google Scholar]
- Wu, M.; Wu, X.; Zhang, L.; Abdelhafiz, A.; Chang, I.; Qu, C.; Jiang, Y.; Zeng, J.; Alamgir, F. Cu@ Pt catalysts prepared by galvanic replacement of polyhedral copper nanoparticles for polymer electrolyte membrane fuel cells. Electrochim. Acta 2019, 306, 167–174. [Google Scholar] [CrossRef]
- Song, H.-J.; Jia, X.-H.; Yang, X.-F.; Tang, H.; Li, Y.; Su, Y.-T. Controllable synthesis of monodisperse polyhedral nickel nanocrystals. CrystEngComm 2012, 14, 405–410. [Google Scholar] [CrossRef]
- Suman, T.; Rajasree, S.R.; Kanchana, A.; Elizabeth, S.B. Biosynthesis, characterization and cytotoxic effect of plant mediated silver nanoparticles using Morinda citrifolia root extract. Colloids Surf. B Biointerfaces 2013, 106, 74–78. [Google Scholar] [CrossRef] [PubMed]
- Michael, C.A.; Dominey-Howes, D.; Labbate, M. The antimicrobial resistance crisis: Causes, consequences, and management. Front. Public Health 2014, 2, 145. [Google Scholar] [CrossRef]
- Romero, C.D.; Chopin, S.F.; Buck, G.; Martinez, E.; Garcia, M.; Bixby, L. Antibacterial properties of common herbal remedies of the southwest. J. Ethnopharmacol. 2005, 99, 253–257. [Google Scholar] [CrossRef] [PubMed]
- Boucher, H.W.; Talbot, G.H.; Bradley, J.S.; Edwards, J.E.; Gilbert, D.; Rice, L.B.; Scheld, M.; Spellberg, B.; Bartlett, J. Bad bugs, no drugs: No ESKAPE! An update from the Infectious Diseases Society of America. Clin. Infect. Dis. 2009, 48, 1–12. [Google Scholar] [CrossRef]
- Talbot, G.H.; Bradley, J.; Edwards Jr, J.E.; Gilbert, D.; Scheld, M.; Bartlett, J.G. Bad bugs need drugs: An update on the development pipeline from the Antimicrobial Availability Task Force of the Infectious Diseases Society of America. Clin. Infect. Dis. 2006, 42, 657–668. [Google Scholar] [CrossRef]
- Kuppusamy, P.; Yusoff, M.M.; Maniam, G.P.; Govindan, N. Biosynthesis of metallic nanoparticles using plant derivatives and their new avenues in pharmacological applications—An updated report. Saudi Pharm. J. 2016, 24, 473–484. [Google Scholar] [CrossRef]
- Hassan, N.; Shah, H.; Junaid, M.; Shah, S.A.; Faisal, S. Antimicrobial Activity and Biomedical Application of Sambucus wighfiana Phenolic Extract against Gram Positive and Gram-Negative Strains of Bacteria. J. Biomed. Sci. 2020, 9, 12. [Google Scholar]
- Argueta-Figueroa, L.; Morales-Luckie, R.A.; Scougall-Vilchis, R.J.; Olea-Mejía, O.F. Synthesis, characterization and antibacterial activity of copper, nickel and bimetallic Cu–Ni nanoparticles for potential use in dental materials. Prog. Nat. Sci. Mater. Int. 2014, 24, 321–328. [Google Scholar] [CrossRef]
- Karunakaran, G.; Jagathambal, M.; Gusev, A.; Van Minh, N.; Kolesnikov, E.; Mandal, A.R.; Kuznetsov, D. Nitrobacter sp. extract mediated biosynthesis of Ag2O NPs with excellent antioxidant and antibacterial potential for biomedical application. IET Nanobiotechnology 2016, 10, 425–430. [Google Scholar] [CrossRef] [PubMed]
- Ribeiro, J.B.P.; Miranda-Vilela, A.L.; Graziani, D.; de Aguiar Gomes, M.R.; Amorim, A.A.S.; Garcia, R.D.; de Souza Filho, J.; Tedesco, A.C.; Primo, F.L.; Moreira, J.R. Evaluation of the efficacy of systemic miltefosine associated with photodynamic therapy with liposomal chloroaluminium phthalocyanine in the treatment of cutaneous leishmaniasis caused by Leishmania (L.) amazonensis in C57BL/6 mice. Photodiagnosis Photodyn. 2016, 13, 282–290. [Google Scholar] [CrossRef] [PubMed]
- Akbari, M.; Oryan, A.; Hatam, G. Application of nanotechnology in treatment of leishmaniasis: A Review. Acta Trop. 2017, 172, 86–90. [Google Scholar] [CrossRef]
- Jebali, A.; Kazemi, B. Nano-based antileishmanial agents: A toxicological study on nanoparticles for future treatment of cutaneous leishmaniasis. Toxicol. Vitr. 2013, 27, 1896–1904. [Google Scholar] [CrossRef]
- Jan, H.; Shah, M.; Usman, H.; Khan, A.; Muhammad, Z.; Hano, C.; Abbasi, B.H. Biogenic Synthesis and Characterization of Antimicrobial and Anti-parasitic Zinc Oxide (ZnO) Nanoparticles using Aqueous Extracts of the Himalayan Columbine (Aquilegia pubiflora). Front. Mater. 2020, 7, 249. [Google Scholar] [CrossRef]
- Ferguson, F.M.; Gray, N.S. Kinase inhibitors: The road ahead. Nat. Rev. Drug Discov. 2018, 17, 353. [Google Scholar] [CrossRef] [PubMed]
- Bain, J.; Plater, L.; Elliott, M.; Shpiro, N.; Hastie, C.J.; Mclauchlan, H.; Klevernic, I.; Arthur, J.S.C.; Alessi, D.R.; Cohen, P. The selectivity of protein kinase inhibitors: A further update. Biochem. J. 2007, 408, 297–315. [Google Scholar] [CrossRef]
- Janaki, A.C.; Sailatha, E.; Gunasekaran, S. Synthesis, characteristics and antimicrobial activity of ZnO nanoparticles. Spectrochim. Acta Part A Mol. Biomol. Spectrosc. 2015, 144, 17–22. [Google Scholar] [CrossRef] [PubMed]
- Modena, M.M.; Rühle, B.; Burg, T.P.; Wuttke, S. Nanoparticle Characterization: What to Measure? Adv. Mater. 2019, 31, e1901556. [Google Scholar] [CrossRef]
- Vimala, K.; Sundarraj, S.; Paulpandi, M.; Vengatesan, S.; Kannan, S. Green synthesized doxorubicin loaded zinc oxide nanoparticles regulates the Bax and Bcl-2 expression in breast and colon carcinoma. Process. Biochem. 2014, 49, 160–172. [Google Scholar] [CrossRef]
- Heim, S.; Mitelman, F. Cancer Cytogenetics: Chromosomal and Molecular Genetic Aberrations of Tumor Cells; John Wiley & Sons: Hoboken, NJ, USA, 2015. [Google Scholar]
- Alaraby, M.; Annangi, B.; Hernández, A.; Creus, A.; Marcos, R. A comprehensive study of the harmful effects of ZnO nanoparticles using Drosophila melanogaster as an in vivo model. J. Hazard. Mater. 2015, 296, 166–174. [Google Scholar] [CrossRef]
- Chen, P.; Wang, H.; He, M.; Chen, B.; Yang, B.; Hu, B. Size-dependent cytotoxicity study of ZnO nanoparticles in HepG2 cells. Ecotoxicol. Environ. Saf. 2019, 171, 337–346. [Google Scholar] [CrossRef]
- Erdogan, O.; Abbak, M.; Demirbolat, G.M.; Birtekocak, F.; Aksel, M.; Pasa, S.; Cevik, O. Green synthesis of silver nanoparticles via Cynara scolymus leaf extracts: The characterization, anticancer potential with photodynamic therapy in MCF7 cells. PLoS ONE 2019, 14, e0216496. [Google Scholar] [CrossRef] [PubMed]
- Nair, A.; Jayakumari, C.; Jabbar, P.; Jayakumar, R.; Raizada, N.; Gopi, A.; George, G.S.; Seena, T. Prevalence and associations of hypothyroidism in Indian patients with type 2 diabetes mellitus. J. Thyroid Res. 2018, 2018, 5386129. [Google Scholar] [CrossRef]
- Aynalem, S.B.; Zeleke, A.J. Prevalence of diabetes mellitus and its risk factors among individuals aged 15 years and above in Mizan-Aman town, Southwest Ethiopia, 2016: A cross sectional study. Int. J. Endocrinol. 2018, 2018, 9317987. [Google Scholar] [CrossRef] [PubMed]
- Thiruvengadam, M.; Chung, I.-M.; Gomathi, T.; Ansari, M.A.; Khanna, V.G.; Babu, V.; Rajakumar, G. Synthesis, characterization and pharmacological potential of green synthesized copper nanoparticles. Bioprocess. Biosyst. Eng. 2019, 42, 1769–1777. [Google Scholar] [CrossRef] [PubMed]
- Vasudeo, K.; Pramod, K. Biosynthesis of nickel nanoparticles using leaf extract of coriander. Biotechnol. Ind. J. 2016, 12, 1–6. [Google Scholar]
- Weller, J.; Budson, A. Current understanding of Alzheimer’s disease diagnosis and treatment. F1000Research 2018, 7. [Google Scholar] [CrossRef] [PubMed]
- Khalil, A.T.; Ayaz, M.; Ovais, M.; Wadood, A.; Ali, M.; Shinwari, Z.K.; Maaza, M. In vitro cholinesterase enzymes inhibitory potential and in silico molecular docking studies of biogenic metal oxides nanoparticles. Inorg. Nano Met. Chem. 2018, 48, 441–448. [Google Scholar] [CrossRef]
- Hassan, D.; Khalil, A.T.; Saleem, J.; Diallo, A.; Khamlich, S.; Shinwari, Z.K.; Maaza, M. Biosynthesis of pure hematite phase magnetic iron oxide nanoparticles using floral extracts of Callistemon viminalis (bottlebrush): Their physical properties and novel biological applications. Artif. Cells Nanomed. Biotechnol. 2018, 46 (Suppl. 1), 693–707. [Google Scholar] [CrossRef]
- Šinko, G.; Vrček, I.V.; Goessler, W.; Leitinger, G.; Dijanošić, A.; Miljanić, S. Alteration of cholinesterase activity as possible mechanism of silver nanoparticle toxicity. Environ. Sci. Pollut. Res. 2014, 21, 1391–1400. [Google Scholar] [CrossRef]
- Sergiev, I.; Todorova, D.; Shopova, E.; Jankauskiene, J.; Jankovska-Bortkevič, E.; Jurkonienė, S. Exogenous auxin type compounds amend PEG-induced physiological responses of pea plants. Sci. Hortic. 2019, 248, 200–205. [Google Scholar] [CrossRef]
- Mohamed, H.I.; Akladious, S.A. Changes in antioxidants potential, secondary metabolites and plant hormones induced by different fungicides treatment in cotton plants. Pestic. Biochem. Physiol. 2017, 142, 117–122. [Google Scholar] [CrossRef] [PubMed]
- Rehman, M.; Ullah, S.; Bao, Y.; Wang, B.; Peng, D.; Liu, L. Light-emitting diodes: Whether an efficient source of light for indoor plants? Environ. Sci. Pollut. Res. 2017, 24, 24743–24752. [Google Scholar] [CrossRef] [PubMed]
- Prieto, M.; Curran, T.P.; Gowen, A.; Vázquez, J.A. An efficient methodology for quantification of synergy and antagonism in single electron transfer antioxidant assays. Food Res. Int. 2015, 67, 284–298. [Google Scholar] [CrossRef]
- Skonieczna, M.; Hudy, D. Biological activity of Silver Nanoparticles and their applications in Anticancer Therapy. Silver Nanoparticles Fabr. Charact. Appl. 2018, 131. [Google Scholar] [CrossRef]
- Ul-Haq, I.; Ullah, N.; Bibi, G.; Kanwal, S.; Ahmad, M.S.; Mirza, B. Antioxidant and cytotoxic activities and phytochemical analysis of Euphorbia wallichii root extract and its fractions. Iran. J. Pharm. Res. IJPR 2012, 11, 241. [Google Scholar]
- Khalil, A.T.; Ovais, M.; Ullah, I.; Ali, M.; Shinwari, Z.K.; Hassan, D.; Maaza, M. Sageretia thea (Osbeck.) modulated biosynthesis of NiO nanoparticles and their in vitro pharmacognostic, antioxidant and cytotoxic potential. Artif. Cells Nanomed. Biotechnol. 2018, 46, 838–852. [Google Scholar] [CrossRef]
- Nasar, M.Q.; Khalil, A.T.; Ali, M.; Shah, M.; Ayaz, M.; Shinwari, Z.K. Phytochemical analysis, Ephedra Procera CA Mey. Mediated green synthesis of silver nanoparticles, their cytotoxic and antimicrobial potentials. Medicina 2019, 55, 369. [Google Scholar] [CrossRef]
- Das, R.K.; Brar, S.K.; Verma, M. Checking the biocompatibility of plant-derived metallic nanoparticles: Molecular perspectives. Trends Biotechnol. 2016, 34, 440–449. [Google Scholar] [CrossRef] [PubMed]
- Ahmad, F.; Ashraf, N.; Ashraf, T.; Zhou, R.-B.; Yin, D.-C. Biological synthesis of metallic nanoparticles (MNPs) by plants and microbes: Their cellular uptake, biocompatibility, and biomedical applications. Appl. Microbiol. Biotechnol. 2019, 103, 2913–2935. [Google Scholar] [CrossRef] [PubMed]











| Bacterial Strains | NPs | ZOI of NPs | Antibiotics | CLSI | ZOI of Non- coated Antibiotics | ZOI of Coated NPs | % Increased Potency of Coated NPs |
|---|---|---|---|---|---|---|---|
| Pseudomonas aurigenosa | CuO | 11 ± 0.9 | MEM | 18 | 12 ± 1.1 | 18 ± 1.1 | 33.3 |
| IPM | 22 | 10 ± 1.0 | 16 ± 1.2 | 27.2 | |||
| OX | 17 | 09 ± 0.8 | 14 ± 0.5 | 29.5 | |||
| CIP | 21 | 13 ± 0.7 | 19 ± 1.2 | 3 | |||
| NiO | 20 ± 1.22 | MEM | 18 | 12 ± 1.1 | 24 ± 0.8 | 66.6 | |
| IPM | 22 | 10 ± 1.0 | 15 ± 1.0 | 22.7 | |||
| OX | 17 | 09 ± 0.8 | 13 ± 0.6 | 23.6 | |||
| CIP | 21 | 13 ± 0.7 | 22 ± 1.1 | 42.9 | |||
| Cu + Ni | 28 ± 1.22 | MEM | 18 | 12 ± 1.1 | 17 ± 1.3 | 27.7 | |
| IPM | 22 | 10 ± 1.0 | 13 ± 0.5 | 13.6 | |||
| OX | 17 | 09 ± 0.8 | 12 ± 0.6 | 17.7 | |||
| CIP | 18 | 12 ± 1.1 | 18 ± 1.1 | 33.3 | |||
| Proteus Vulgaris | CuO | 18 ± 1.68 | MEM | 18 | 9 ± 0.5 | 17 ± 0.8 | 44.4 |
| IPM | 22 | 11 ± 1.0 | 14 ± 1.5 | 13.6 | |||
| OX | 17 | 8 ± 0.9 | 12 ± 1.2 | 23.6 | |||
| CIP | 21 | 15 ± 1.23 | 21 ± 1.4 | 28.6 | |||
| NiO | 23 ± 1.23 | MEM | 18 | 9 ± 0.5 | 20 ± 0.9 | 61.1 | |
| IPM | 22 | 11 ± 1.0 | 19 ± 1.0 | 36.4 | |||
| OX | 17 | 8 ± 0.9 | 17 ± 1.1 | 53.0 | |||
| CIP | 21 | 15 ± 1.23 | 20 ± 0.8 | 20.8 | |||
| Cu + Ni | 25 ± 1.73 | MEM | 18 | 9 ± 0.5 | 17 ± 1.3 | 24.4 | |
| IPM | 22 | 11 ± 1.0 | 18 ± 0.5 | 31.8 | |||
| OX | 17 | 8 ± 0.9 | 14 ± 0.7 | 35.4 | |||
| CIP | 21 | 15 ± 1.23 | 17 ± 0.6 | 9.6 | |||
| E. coli | CuO | 23 ± 1.53 | MEM | 18 | 15 ± 0.7 | 20 ± 0.3 | 27.8 |
| IPM | 22 | 13 ± 1.0 | 17 ± 1.1 | 18.3 | |||
| OX | 17 | 10 ± 0.9 | 15 ± 0.8 | 29.4 | |||
| CIP | 21 | 14 ± 1.2 | 19 ± 0.7 | 23.8 | |||
| NiO | 19 ± 1.11 | MEM | 18 | 15 ± 0.7 | 18 ± 0.5 | 16.7 | |
| IPM | 22 | 13 ± 1.0 | 22 ± 1.2 | 41.0 | |||
| OX | 17 | 10 ± 0.9 | 12 ± 0.3 | 11.8 | |||
| CIP | 21 | 14 ± 1.2 | 20 ± 1.1 | 28.5 | |||
| Cu + Ni | 25 ± 1.47 | MEM | 18 | 15 ± 0.7 | 19 ± 1.4 | 22.3 | |
| IPM | 22 | 13 ± 1.0 | 16 ± 0.9 | 13.7 | |||
| OX | 17 | 10 ± 0.9 | 13 ± 0.6 | 17.7 | |||
| CIP | 21 | 14 ± 1.2 | 22 ± 1.3 | 38.0 |
| S. No | Test Samples | % Inhibition |
|---|---|---|
| 1 | CuO | 64.10 ± 1.91 |
| 2 | NiO | 47.55 ± 1.61 |
| 3 | Cu + Ni | 73.18± 2.42 |
| 4 | NTC | 0.00 |
| 5 | DMSO | 3.71 |
| 6 | Doxorubicin | 97.38 ± 2.71 |
| Enzymes | NPs | 25 µg/mL | 50 µg/mL | 100 µg/mL | 200 µg/mL | 400 µg/mL |
|---|---|---|---|---|---|---|
| AChE | CuO | 18.43 ± 0.41 | 24.92 ± 0.67 | 32.81 ± 0.61 | 44.19 ± 1.41 | 63.39 ± 2.28 |
| NiO | 23.20 ± 0.67 | 33.19 ± 1.13 | 47.28 ± 1.19 | 61.29 ± 1.39 | 71.49 ± 2.44 | |
| Cu + Ni | 21.82 ± 0.41 | 27.82 ± 0.44 | 39.49 ± 0.92 | 52.29 ± 1.19 | 67.71 ± 2.92 | |
| BChE | CuO | 21.20 ± 0.49 | 29.92 ± 0.49 | 37.27 ± 0.93 | 42.22 ± 1.10 | 53.28 ± 2.19 |
| NiO | 27.54 ± 0.39 | 39.22 ± 0.44 | 46.44 ± 0.73 | 58.92 ± 1.28 | 63.45 ± 1.39 | |
| Cu + Ni | 24.31 ± 0.43 | 29.39 ± 0.53 | 37.28 ± 0.57 | 46.67 ± 1.22 | 61.73 ± 2.11 |
| NPs | Conc (µg/mL) | TAC (µg AAE/mg) | TRP (µg AAE/mg) | ABTS (CTEAC) | DPPH (%FRSA) |
|---|---|---|---|---|---|
| Cu + Ni | 400 | 65.1 ± 0.83 | 56.41 ± 0.83 | 80.12 ± 0.28 | 76.3 ± 0.28 |
| 200 | 34.37 ± 0.27 | 49.51 ± 0.87 | 49.63 ± 0.39 | 42.1 ± 0.71 | |
| 100 | 29.86 ± 0.72 | 32.23 ± 0.26 | 33.64 ± 0.56 | 35.69 ± 0.32 | |
| 50 | 17.29 ± 0.76 | 25.76 ± 0.58 | 29.47 ± 0.26 | 20.45 ± 0.98 | |
| 25 | 12.16 ± 0.25 | 22.41 ± 0.36 | 13.39 ± 0.15 | 16.19 ± 0.48 | |
| NiO | 400 | 58.39 ± 0.62 | 51.52 ± 0.71 | 73.14 ± 0.38 | 69.4 ± 0.12 |
| 200 | 33.37 ± 0.27 | 42.6 ± 0.18 | 51.63 ± 0.98 | 31.9 ± 0.73 | |
| 100 | 21.47 ± 0.52 | 34.29 ± 0.67 | 42.64 ± 0.56 | 27.25 ± 0.59 | |
| 50 | 16.29 ± 0.47 | 27.16 ± 0.52 | 34.47 ± 0.16 | 16.38 ± 0.18 | |
| 25 | 11.21 ± 0.73 | 20.16 ± 0.51 | 19.39 ± 0.15 | 12.89 ± 0.64 | |
| CuO | 400 | 52.2 ± 0.31 | 43.23 ± 0.49 | 68.63 ± o.93 | 60.53 ± 0.67 |
| 200 | 44.31 ± 0.73 | 38.71 ± 0.27 | 52.64 ± 0.63 | 41.36 ± 0.77 | |
| 100 | 33.86 ± 0.81 | 24.86 ± 0.72 | 41.33 ± 0.31 | 33.39 ± 0.16 | |
| 50 | 19.73 ± 0.10 | 14.93 ± 0.61 | 32.86 ± 0.62 | 25.52 ± 0.48 | |
| 25 | 12.30 ± 0.12 | 8.21 ± 0.41 | 19.14 ± 0.51 | 14.93 ± 0.28 |
| Conc. (µg/mL) | % Hemolysis of NPs | ||
|---|---|---|---|
| Cu + Ni | Ni | Cu | |
| 400 | 3.42 ± 0.19 | 1.42 ± 0.10 | 1.53 ± 0.50 |
| 200 | 2.19 ± 0.14 | 1.50 ± 0.41 | 1.90 ± 0.13 |
| 100 | 1.10 ± 0.13 | O.84 ± 0.50 | 0.63 ± 0.90 |
| 50 | 0.40 ± 0.10 | 0.60 ± 0.21 | 0.20 ± 0.13 |
Publisher’s Note: MDPI stays neutral with regard to jurisdictional claims in published maps and institutional affiliations. |
© 2021 by the authors. Licensee MDPI, Basel, Switzerland. This article is an open access article distributed under the terms and conditions of the Creative Commons Attribution (CC BY) license (https://creativecommons.org/licenses/by/4.0/).
Share and Cite
Faisal, S.; Al-Radadi, N.S.; Jan, H.; Abdullah; Shah, S.A.; Shah, S.; Rizwan, M.; Afsheen, Z.; Hussain, Z.; Uddin, M.N.; et al. Curcuma longa Mediated Synthesis of Copper Oxide, Nickel Oxide and Cu-Ni Bimetallic Hybrid Nanoparticles: Characterization and Evaluation for Antimicrobial, Anti-Parasitic and Cytotoxic Potentials. Coatings 2021, 11, 849. https://doi.org/10.3390/coatings11070849
Faisal S, Al-Radadi NS, Jan H, Abdullah, Shah SA, Shah S, Rizwan M, Afsheen Z, Hussain Z, Uddin MN, et al. Curcuma longa Mediated Synthesis of Copper Oxide, Nickel Oxide and Cu-Ni Bimetallic Hybrid Nanoparticles: Characterization and Evaluation for Antimicrobial, Anti-Parasitic and Cytotoxic Potentials. Coatings. 2021; 11(7):849. https://doi.org/10.3390/coatings11070849
Chicago/Turabian StyleFaisal, Shah, Najlaa S. Al-Radadi, Hasnain Jan, Abdullah, Sajjad Ali Shah, Sumaira Shah, Muhammad Rizwan, Zobia Afsheen, Zahid Hussain, Muhammad Nazir Uddin, and et al. 2021. "Curcuma longa Mediated Synthesis of Copper Oxide, Nickel Oxide and Cu-Ni Bimetallic Hybrid Nanoparticles: Characterization and Evaluation for Antimicrobial, Anti-Parasitic and Cytotoxic Potentials" Coatings 11, no. 7: 849. https://doi.org/10.3390/coatings11070849
APA StyleFaisal, S., Al-Radadi, N. S., Jan, H., Abdullah, Shah, S. A., Shah, S., Rizwan, M., Afsheen, Z., Hussain, Z., Uddin, M. N., Idrees, M., & Bibi, N. (2021). Curcuma longa Mediated Synthesis of Copper Oxide, Nickel Oxide and Cu-Ni Bimetallic Hybrid Nanoparticles: Characterization and Evaluation for Antimicrobial, Anti-Parasitic and Cytotoxic Potentials. Coatings, 11(7), 849. https://doi.org/10.3390/coatings11070849

