Protection of Carbon Steel Rebars by Epoxy Coating with Smart Environmentally Friendly Microcapsules
Abstract
:1. Introduction
2. Materials and Methods
3. Results
4. Conclusions
- The water absorption of the microcapsule-containing coating sample showed increased weight gain from water intake over the test period compared to epoxy coating without microcapsules. However, the resistance values obtained from EIS analysis over the same time period showed superior resistance for the microcapsule coating samples. After 15 days of exposure to DI water, Rct values of the microcapsule coating displayed 1.0 × 109 Ω cm2, approximately one order of magnitude higher than the coating without microcapsules.
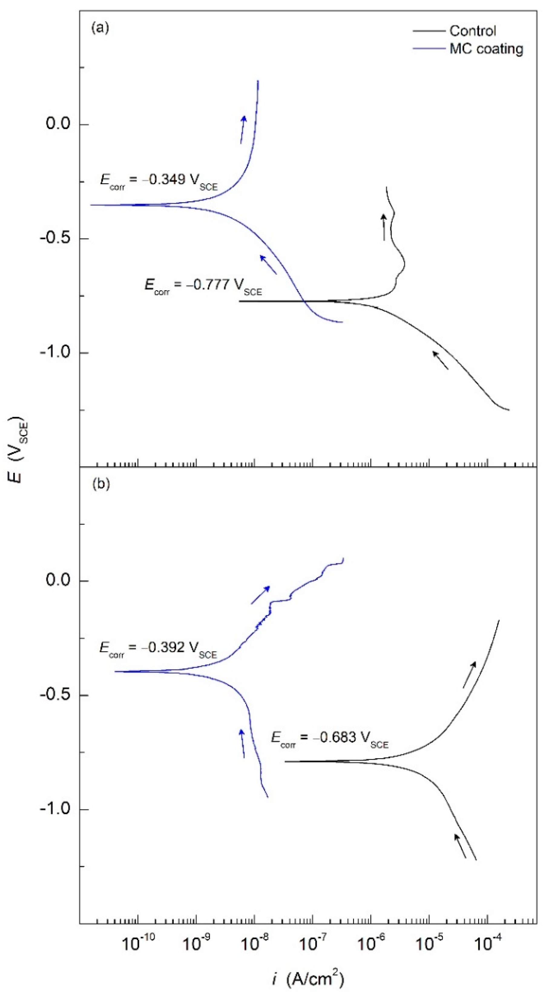
- Additionally, PP results showed nobler Ecorr and lower icorr values for the microcapsule samples, showing improved corrosion resistance properties. In a simulated concrete environment with chloride contamination, the microcapsule coating sample measured an Ecorr of 0.349 mVSCE and an icorr of 2.75 × 10−8 A/cm2, improving the corrosion performance of the coating.
- EIS analysis showed a three-time constant behavior for the microcapsule samples with impedance values of one order of magnitude higher than the control samples, indicating significantly improved resistance to corrosion. The microcapsule coating also measured Rct values of 2.94 × 109 and 2.70 × 109 Ω cm2 for pH 12.6 and pH 6.8, respectively, nearly one order of magnitude higher than the coating without microcapsules in each solution.
- Epoxy coating containing colophony microcapsules with corrosion inhibitors proves to be an effective method to improve corrosion protection of mild steel in 3.5 wt. NaCl-contaminated SCPS. Therefore, the microcapsule coating shows significant potential in enhancing the lifetime and durability of steel-reinforced concrete structures.
Author Contributions
Funding
Institutional Review Board Statement
Informed Consent Statement
Data Availability Statement
Acknowledgments
Conflicts of Interest
References
- Mehta, P.K.; Monteiro, P.J.M. Concrete: Microstructure, Properties, and Materials, 4th ed.; McGraw-Hill Education: New York, NY, USA, 2014. [Google Scholar]
- Cabrera, J. Deterioration of concrete due to reinforcement steel corrosion. Cem. Conc. Compos. 1996, 18, 47–59. [Google Scholar] [CrossRef]
- Wasim, M.; Ngo, T.; Abid, M. Investigation of long-term corrosion resistance of reinforced concrete structures constructed with various types of concretes in marine and various climate environments. Constr. Build. Mater. 2020, 237, 117701. [Google Scholar] [CrossRef]
- Gjørv, O.; Vennesland, Ø. Diffusion of chloride ions from seawater into concrete. Cem. Concr. Res. 1979, 9, 229–238. [Google Scholar] [CrossRef]
- Angst, U.; Elsener, B.; Larsen, C.K.; Vennesland, Ø. Critical chloride content in reinforced concrete—A review. Cem. Concr. Res. 2009, 39, 1122–1138. [Google Scholar] [CrossRef]
- Martin, U.; Ress, J.; Bosch, J.; Bastidas, D. Stress corrosion cracking mechanism of AISI 316LN stainless steel rebars in chloride contaminated concrete pore solution using the slow strain rate technique. Electrochim. Acta 2020, 335, 135565. [Google Scholar] [CrossRef]
- Briz, E.; Biezma, M.V.; Bastidas, D. Stress corrosion cracking of new 2001 lean–duplex stainless steel reinforcements in chloride contained concrete pore solution: An electrochemical study. Constr. Build. Mater. 2018, 192, 1–8. [Google Scholar] [CrossRef]
- Fajardo, S.; Bastidas, D.; Ryan, M.P.; Criado, M.; McPhail, D.; Bastidas, D.M. Low-nickel stainless steel passive film in simulated concrete pore solution: A SIMS study. Appl. Surf. Sci. 2010, 256, 6139–6143. [Google Scholar] [CrossRef]
- Rabi, M.; Cashell, K.; Shamass, R.; Desnerck, P. Bond behaviour of austenitic stainless steel reinforced concrete. Eng. Struct. 2020, 221, 111027. [Google Scholar] [CrossRef]
- Ress, J.; Martin, U.; Bosch, J.; Bastidas, D. pH-triggered release of NaNO2 corrosion inhibitors from novel colophony microcapsules in simulated concrete pore solution. ACS Appl. Mater. Interfaces 2020, 12, 46686–46700. [Google Scholar] [CrossRef]
- Bastidas, D.M.; Criado, M.; La Iglesia, V.M.; Fajardo, S.; La Iglesia, A. Comparative study of three sodium phosphates as corrosion inhibitors for steel reinforcements. Cem. Conc. Compos. 2013, 43, 31–38. [Google Scholar] [CrossRef]
- Zhang, Z.; Ba, H.; Wu, Z. Sustainable corrosion inhibitor for steel in simulated concrete pore solution by maize gluten meal extract: Electrochemical and adsorption behavior studies. Constr. Build. Mater. 2019, 227, 117080. [Google Scholar] [CrossRef]
- Wang, X.; Xing, F.; Zhang, M.; Han, N.; Qian, Z. Experimental study on cementitious composites embedded with organic microcapsules. Materials 2013, 6, 4064–4081. [Google Scholar] [CrossRef] [PubMed]
- Kim, C.; Karayan, A.I.; Milla, J.; Hassan, M.M.; Castaneda, H. Smart coating embedded with pH-responsive nanocapsules containing a corrosion inhibiting agent. ACS Appl. Mater. Interfaces 2020, 12, 6451–6459. [Google Scholar] [CrossRef]
- Du, Y.; Gao, P.; Yang, J.; Shi, F. Research on the chloride ion penetration resistance of magnesium phosphate cement (MPC) material as coating for reinforced concrete structures. Coatings 2020, 10, 1145. [Google Scholar] [CrossRef]
- Samadzadeh, M.; Boura, S.H.; Peikari, M.; Kasiriha, S.; Ashrafi, A. A review on self-healing coatings based on micro/nanocapsules. Prog. Org. Coat. 2010, 68, 159–164. [Google Scholar] [CrossRef]
- Weishaar, A.; Carpenter, M.; Loucks, R.; Sakulich, A.; Peterson, A. Evaluation of self-healing epoxy coatings for steel reinforcement. Constr. Build. Mater. 2018, 191, 125–135. [Google Scholar] [CrossRef]
- Afshar, A.; Jahandari, S.; Rasekh, H.; Shariati, M.; Afshar, A.; Shokrgozar, A. Corrosion resistance evaluation of rebars with various primers and coatings in concrete modified with different additives. Constr. Build. Mater. 2020, 262, 120034. [Google Scholar] [CrossRef]
- Kepler, J.L.; Darwin, D.; Locke, C.E., Jr. Evaluation of corrosion protection methods for reinforced concrete highway structures. In Structural Engineering and Engineering Materials; SM Report No. 58; University of Kansas Center for Research: Lawrence, KS, USA, 2000. [Google Scholar]
- Sharma, N.; Sharma, S.; Sharma, S.; Mehta, R. Evaluation of corrosion inhibition and self healing capabilities of nanoclay and tung oil microencapsulated epoxy coatings on rebars in concrete. Constr. Build. Mater. 2020, 259, 120278. [Google Scholar] [CrossRef]
- Yang, W.; Feng, W.; Liao, Z.; Yang, Y.; Miao, G.; Yu, B.; Pei, X. Protection of mild steel with molecular engineered epoxy nanocomposite coatings containing corrosion inhibitor functionalized nanoparticles. Surf. Coat. Technol. 2020, 126639. [Google Scholar] [CrossRef]
- Li, K.; Liu, Z.; Wang, C.; Fan, W.; Liu, F.; Li, H.; Zhu, Y.; Wang, H. Preparation of smart coatings with self-healing and anti-wear properties by embedding PU-fly ash absorbing linseed oil microcapsules. Prog. Org. Coat. 2020, 145, 105668. [Google Scholar] [CrossRef]
- Zuo, J.; Zhan, J.; Dong, B.; Luo, C.; Liu, Q.; Chen, D. Preparation of metal hydroxide microcapsules and the effect on pH value of concrete. Constr. Build. Mater. 2017, 155, 323–331. [Google Scholar] [CrossRef]
- Wang, X.; Huang, Y.; Huang, Y.; Zhang, J.; Fang, C.; Yu, K.; Chen, Q.; Li, T.; Han, R.; Yang, Z.; et al. Laboratory and field study on the performance of microcapsule-based self-healing concrete in tunnel engineering. Constr. Build. Mater. 2019, 220, 90–101. [Google Scholar] [CrossRef]
- Dong, B.; Ding, W.; Qin, S.; Han, N.; Fang, G.; Liu, Y.; Xing, F.; Hong, S. Chemical self-healing system with novel microcapsules for corrosion inhibition of rebar in concrete. Cem. Conc. Compos. 2018, 85, 83–91. [Google Scholar] [CrossRef]
- Ouarga, A.; Noukrati, H.; Iraola-Arregui, I.; Elaissari, A.; Barroug, A.; Ben Youcef, H. Development of anti-corrosion coating based on phosphorylated ethyl cellulose microcapsules. Prog. Org. Coat. 2020, 148, 105885. [Google Scholar] [CrossRef]
- Yang, Y.Y. Morphology, drug distribution, and in vitro release profiles of biodegradable polymeric microspheres containing protein fabricated by double-emulsion solvent extraction/evaporation method. Biomaterials 2001, 22, 231–241. [Google Scholar] [CrossRef]
- Ren, F.; Zheng, Y.-F.; Liu, X.; Yue, X.-Y.; Ma, L.; Li, W.-G.; Lai, F.; Liu, J.-L.; Guan, W.-L. An investigation of the oxidation mechanism of abietic acid using two-dimensional infrared correlation spectroscopy. J. Mol. Struct. 2015, 1084, 236–243. [Google Scholar] [CrossRef]
- Mantzaridis, C.; Brocas, A.-L.; Llevot, A.; Cendejas, G.; Auvergne, R.; Caillol, S.; Carlotti, S.; Cramail, H. Rosin acid oligomers as precursors of DGEBA-free epoxy resins. Green Chem. 2013, 15, 3091–3098. [Google Scholar] [CrossRef]
- Garcés, P.; Saura, P.; Zornoza, E.; Andrade, C. Andrade, Influence of pH on the nitrite corrosion inhibition of reinforcing steel in simulated concrete pore solution. Corros. Sci. 2011, 53, 3991–4000. [Google Scholar] [CrossRef]









| C | Mn | P | S | Si | Cu | Ni | Cr | Mo | V | Fe |
|---|---|---|---|---|---|---|---|---|---|---|
| 0.38 | 1.08 | 0.019 | 0.043 | 0.20 | 0.37 | 0.16 | 0.16 | 0.050 | 0.0379 | Bal. |
| PH | Ecorr VSCE | Icorr A/cm2 | βa V/dec | βc V/dec | |
|---|---|---|---|---|---|
| 12.6 | MC | 0.349 | 2.75 × 10−8 | 0.736 | 0.629 |
| Control | 0.777 | 2.45 × 10−6 | 0.710 | 0.576 | |
| 6.8 | MC | 0.392 | 3.21 × 10−8 | 0.753 | 0.803 |
| Control | 0.683 | 6.53 × 10−6 | 0.056 | 0.493 |
| PH | SAMPLE | Rs Ω cm2 | Rf Ω cm2 | CPEf S cm−2 Snf | nf | RMC Ω cm2 | CPEMC S cm−2 S nMC | nMC | Rct Ω cm2 | CPEdl S cm−2 Sndl | ndl | χ2 |
|---|---|---|---|---|---|---|---|---|---|---|---|---|
| 12.6 | MC | 41 | 1.93 × 105 | 1.21 × 10−8 | 0.79 | 8.68 × 105 | 3.96 × 10−7 | 0.71 | 2.94 × 109 | 5.30 × 10−7 | 0.80 | 8.45 × 10−4 |
| Control | 34 | 1.17 × 104 | 7.98 × 10−4 | 0.82 | – | – | – | 9.91 × 108 | 1.88 × 10−6 | 0.85 | 1.76 × 10−4 | |
| 6.8 | MC | 35 | 5.55 × 105 | 1.23 × 10−8 | 0.88 | 3.30 × 105 | 1.66 × 10−7 | 0.79 | 2.70 × 109 | 6.21 × 10−8 | 0.80 | 2.08 × 10−3 |
| Control | 29 | 6.50 × 103 | 1.17 × 10−4 | 0.79 | – | – | – | 9.03 × 108 | 1.38 × 10−6 | 0.88 | 2.16 × 10−4 |
Publisher’s Note: MDPI stays neutral with regard to jurisdictional claims in published maps and institutional affiliations. |
© 2021 by the authors. Licensee MDPI, Basel, Switzerland. This article is an open access article distributed under the terms and conditions of the Creative Commons Attribution (CC BY) license (http://creativecommons.org/licenses/by/4.0/).
Share and Cite
Ress, J.; Martin, U.; Bosch, J.; Bastidas, D.M. Protection of Carbon Steel Rebars by Epoxy Coating with Smart Environmentally Friendly Microcapsules. Coatings 2021, 11, 113. https://doi.org/10.3390/coatings11020113
Ress J, Martin U, Bosch J, Bastidas DM. Protection of Carbon Steel Rebars by Epoxy Coating with Smart Environmentally Friendly Microcapsules. Coatings. 2021; 11(2):113. https://doi.org/10.3390/coatings11020113
Chicago/Turabian StyleRess, Jacob, Ulises Martin, Juan Bosch, and David M. Bastidas. 2021. "Protection of Carbon Steel Rebars by Epoxy Coating with Smart Environmentally Friendly Microcapsules" Coatings 11, no. 2: 113. https://doi.org/10.3390/coatings11020113
APA StyleRess, J., Martin, U., Bosch, J., & Bastidas, D. M. (2021). Protection of Carbon Steel Rebars by Epoxy Coating with Smart Environmentally Friendly Microcapsules. Coatings, 11(2), 113. https://doi.org/10.3390/coatings11020113

