Abstract
The present study reveals the behavior of shear-thickening and shear-thinning fluids in magnetohydrodynamic flow comprising the significant impact of a hybrid nanofluid over a porous radially shrinking/stretching disc. The features of physical properties of water-based Ag/TiO2 hybrid nanofluid are examined. The leading flow problem is formulated initially in the requisite form of PDEs (partial differential equations) and then altered into a system of dimensionless ODEs (ordinary differential equations) by employing suitable variables. The renovated dimensionless ODEs are numerically resolved using the package of boundary value problem of fourth-order (bvp4c) available in the MATLAB software. The non-uniqueness of the results for the various pertaining parameters is discussed. There is a significant enhancement in the rate of heat transfer, approximately 13.2%, when the impact of suction governs about 10% in the boundary layer. Therefore, the heat transport rate and the thermal conductivity are greater for the new type of hybrid nanofluid compared with ordinary fluid. The bifurcation of the solutions takes place in the problem only for the shrinking case. Moreover, the sketches show that the nanoparticle volume fractions and the magnetic field delay the separation of the boundarylayer.
1. Introduction
It is well-known that fluids like ethylene glycol, water, and mineral oils play an important role in heat transport in many industrial processes like the process of power generation, chemical, heating and cooling, and so on. The weak heat transport features of normal fluids owing to low thermal conductivity are a serious hurdle to the performance of industrial equipment. Choi and Eastman [1] proposed a new fluid by adding nanomaterials with greater thermal conductivity, known as nanofluids. These nanofluids present comprehensive thermal characteristics, among which the coefficient of heat transport and thermal conductivity are greater compared with those of normal fluids (ethylene glycol, mineral oils, and water). Nowadays, nanofluids are extremely vital in the cooling and transportation industries, heat source by energy extraction, atomic reactors, hybrid engine, fuel cells, aerospace application, military fields, drug transfer, and medical fields. More information regarding the applications and production of nanofluids may be found in [2,3,4,5]. Moreover, the heat transfer in a semi annulus lid under the effect of a non-uniform magnetic field and forced convection, where the enclosure is occupied with nanoparticles such as ferrofluid, was inspected by Sheikholeslami et al. [6]. The thermal features of regular materials using alumina and copper-based nanoparticles were scrutinized by Rashid et al. [7]. Mohyud-Din et al. [8] studied the problem of squeeze flow comprising nanofluid between parallel disks subjected to buoyancy and slip effects. Soomro et al. [9] dealt with the features of the axisymmetric flow of Cu–water nanoparticles through a porous shrinked cylinder. Roy [10] examined the natural convection flow attributable to the sinusoidal surface and temperature variations in the presence of nanofluid and magneto-hydrodynamic. Recently, Hamid et al. [11] presented double solutions for the impact of radiation and chemical reaction on axisymmetric (magneto-hydrodynamics) flow of Cross nanofluid past a shrinking radial disc.
In recent years, hybrid nanofluid has been utilized instead of nanofluid for further improvement of thermal conductivity. According to recent investigations [12,13,14,15], the superior thermal conductivity of hybrid nanofluid matched to nanofluid has been noticed. Hybrid nanofluids are generally utilized in emollients, renewable energy, microelectronics, and air condition [16]. Madhesh and Kalaiselvam [17] analyzed experimentally the properties of hybrid nanofluid as a mechanism of coolant, while Devi and Devi [18,19] analyzed mathematically the heat transport through a stretching surface involving H2O-based Cu–Al2O3 hybrid nanofluid. Afridi et al. [20] examined the three-dimensional flow of a convectional Al2O3–H2O nanofluid and Cu–Al2O3–H2O hybrid nanofluid. Chamkha et al. [21] inspected the stimulus of hybrid nanomaterials on the thermal features of regular fluids. The irregular magnetic effect and the scattering of hybrid nanomaterials on the heat transfer through a circular cavity were considered by Sheikholeslami et al. [22]. Khan et al. [23] discussed the features of hybrid alloy nanoparticles on a moving needle with activation energy and binary reaction. Waini et al. [24] analyzed the hybrid nanoliquid flow past a shrinking/stretched wedge with magnetic impact. Zainal et al. [25] considered the factor of viscous dissipation (VD) on magnetohydrodynamic flow and heat transport, embracing hybrid nanofluid toward an exponential shrinking/stretched sheet, and found that the friction factor and the heat transport increased by an accumulation of nanoparticles. Recently, Khan et al. [26] examined the impact of radiation on mixed convection flow near a stagnation point towards a yawed cylinder induced by hybrid nanofluid, and presented the non-similarity solutions.
The progress in different fields of technologies and natural sciences has suggested the researchers and scientists expand their study to fluid flow containing non-Newtonian fluids along with the features of well-known heat transport. Several liquids utilized in sundry processes including the biological, industry, and processes of chemical engineering do not satisfy the Newtonian law. These fluids are signified as non-Newtonian fluids. Numerous essential industrial liquids such as pulps, polymers, molten plastics, and fossil fuel demonstrate the act of a non-Newtonian liquid. Therefore, a noteworthy effort has been committed to explore the features of these non-Newtonian fluids. In this scenario, several researchers [27,28,29] have considered different models to investigate these kinds of fluid flow dynamics and heat transfer. In general, there exist several kinds of non-Newtonian fluids including power-law, second grade, third grade, and so on. Particularly, in 1958, Sisko introduced the power-law model known as the Sisko fluid model [30], which explained low viscosity at greater shear stress and greater shear stress like greases flow. It is well-known that the model of Sisko fluid is utilized for non-Newtonian fluid along with power (n < 1) and (n > 1), which represent shear thinning and shear thickening fluids, respectively. The shear thinning fluid is also known as pseudo plastic fluid. Shear thinning refers to how the viscosity of a fluid decreases as the shear rate increases. Paints, oozes, liquid polymers, synovial fluid, muds, and blood are mechanically important fluids that exhibit shear-thinning behavior. On the other hand, shear thickening fluid is also known as dilatants fluid, in which viscosity augments with increases in the shear rate, such as sand, cement, starch suspension, and so on. In addition, the inclusion of Sisko fluid in a nanofluid is of significance in augmenting the rate of cooling or heating in several industrial processes. Thus, several researchers have discussed their properties with dissimilar aspects. The time-dependent Sisko fluid flow owing to an abruptly moving sheet was inspected by Abelman et al. [31]. Hayat et al. [32] incorporated the flow in a porous medium involving the model of Sisko fluid. Sari et al. [33] utilized the theory of the Lie group to investigate the dynamic flow of Sisko liquid near a stagnation point. The influence of viscous dissipation (VD) on the dynamic flow with heat transport features via a stretching cylinder in a Sisko liquid was numerically scrutinized by Malik et al. [34]. The unsteady 3D (three dimensional) magnetohydrodynamic flow involving Sisko fluid by a stretching sheet was highlighted by Khan et al. [35]. Bisht and Sharma [36] presented the non-similarity type solutions of a Sisko fluid involving nanofluid with erratic thermal conductivity. Recently, Khan et al. [37] investigated the zero mass flux condition on magneto-hydrodynamic flow of a Sisko liquid by a radially shrinking and stretching surface and found multiple solutions. Rafiq and Mustafa [38] scrutinized the steady revolving flow through a stretched sheet with an erratic radiation effect induced by Sisko fluid. Recently, Khan et al. [39] inspected the influence of magnetic field on radiative flow via a curved porous surface with slip impact immersed in a Sisko fluid.
Recently, scientists and researchers have been interested in easing the coefficient of skin-friction and improving the cooling or heating rate in advanced technological processes. Thus, different efforts have been made to decrease drag forces or skin friction for flows through the tail plane surface, wind turbine rotor, wing, and so on. Nevertheless, by keeping the boundarylayer from delaying and separating the transition from laminar flow to turbulent flow, these forces can be eased. This task can be accomplished in a variety of ways, including the stretching/shrinking surface, using fluid suction/injection, as well as body forces. Similarly, most scholars have attempted to improve cooling/heating rates by utilizing various sorts of boundary conditions as well as nanofluid. Therefore, the present investigation explores the behavior of a Sisko fluid in a magnetohydrodynamic flow through a porous stretching/shrinking disc subjected to the convective boundary conditions. The achievable non-linear ODEs (ordinary differential equations) are determined numerically through the bvp4c (boundary value problem of the fourth order) solver. The considered hybrid nanofluid is the mixture of silver and titanium dioxide nanoparticles with ordinary fluid (water). This exploration is validated by comparing the current solution with the available solution in the literature.
2. Mathematical Formulation of the Model
The steady axisymmetric flow of a Sisko fluid over a permeable radially stretching/shrinking disc is investigated. The problem is physically described in Figure 1, in which z and r are the corresponding cylindrical polar coordinates. The radial coordinate r-axis remains engaged along the surface of the disc and the coordinate z-axis is occupied normal to the disc direction, while the permeable radially stretching/shrinking disc is kept in place at the region z = 0, and the motion of the hybrid nanofluid flow occurs at the region z ≥ 0. The velocity at the disc surface is supposed in terms of power-law, , in which a and m are positive constants. The influence of the variable external magnetic field is implemented orthogonal to the disc and the variable mass flux velocity is assumed as , with representing suction and representing injection. Moreover, the disc lower or ground surface is heated via convection from a warm fluid at a temperature Tf that provides a heat transfer coefficient hf. Furthermore, signifies the free stream liquid temperature as , such that .
Figure 1.
The coordinate system and conceptual model of the flow problem.
Following the above assumptions and using the hybrid nanofluid model suggested by Talebi and Salehi [40], the governing conservation equations of the considered model in terms of cylindrical polar coordinates (r,z) are [18,37]
while therequisite boundary stipulations are
Here, u and w are components of velocity along the corresponding r and z coordinate axes and is the stretching/shrinking parameter of the disc, with corresponding to the stretching disc, to the shrinking disc, and to the static disc. In Equation (3), the hybrid nanofluid temperature is denoted by T. Further, in the above governing equations, the thermophysical characteristics of the hybrid nanofluid are presented in Table 1.
Table 1.
The thermophysical characteristics of the hybrid nanofluid [40].
Here, , and are the density, the conductivity, the viscosity, and the electrical conductivity of the Sisko hybrid nanofluid, respectively, and , and are the respective quantities of the carrier-based fluid. Furthermore, cp signifies the corresponding specific heat capacity, while the subscripts bf, Ag, and TiO2 indicate the amounts of the regular-based fluid and the silver (Ag) and titanium dioxide nanoparticles (TiO2). The thermophysical characteristics of the regular or host fluid and the corresponding two dissimilar nanoparticles (Ag and TiO2) are tabulated in Table 2.
Table 2.
The key physical characteristics of (Ag-TiO2/water) hybrid nanofluid [41].
The ability to measure the behavior of nanofluid flow and efficiency of heat transfer depends on the preparation of compatible regular fluids or hybrid nanofluids. Suresh et al. [41] experimentally examined the features of hybrid Cu–Al2O3 nanofluids for dissimilar volume concentration. The prepared pH of hybrid Cu–Al2O3 nanofluids was utilized to assess their stability, and it was observed that the stability of hybrid nanofluids was decreased as volume concentration was uplifted. In addition, their exploration has proved that the utilization of water-based hybrid Cu–Al2O3 nanofluids can enhance the efficiency of thermal conductivity and fluid flow reliability.
Following Khan et al. [37], we incorporated the corresponding dimensionless variables
where ψ resembles the stream function and is demarcated as
from which one gets
where and represent the local Reynolds numbers. From Equation (7), the mass transfer velocity may be written as
where prime designates the derivative regarding the similarity variable and S signifies the uniform mass-flux velocity, with S < 0 and S > 0 for injection and suction, respectively.
Applying the self-similarity transformation (5) in the leading governing Equations (2) and (3), the requisite PDEs ease to the following dimensionless form of ODEs:
where the subject boundary stipulations are
In Equation (11), Bi is the Biot number, which is defined as
Further, for the similarity solution to exist, the quantity Bi in Equation (12) must be a constant and not a function of variable r; see also Ishak [42], Yacob et al. [43], and Bachok et al. [44]. This can be achieved by taking
Substituting Equation (13) into Equation (12) yields
Without this assumption, the solutions obtained are non-similar. Further, in Equations (9) and (10), indicates the Prandtl number, the Sisko material parameter, and the magnetic parameter.
The gradients or engineering interest quantities are the shear stress Cf and heat transport, which are defined as
By means of Equations (6) and (15), we obtain
3. Numerical Solution Approach
The transformed Equations (9) and (10) with the appropriate boundary stipulations (11) are resolved numerically by the bvp4c package available in MATLAB software. Firstly, Equations (9) and (10) are need to be altered in a new system of first order equations. To work this process, we introduce new variables
which then yields
subject to boundary stipulations
The set of Equation (18) with the subject conditions (19) is then coded in MATLAB software. The built-in MATLAB bvp4c helps to solve two-point boundary value problems (BVPs) with a high degree of generality. The numerical technique necessitates the use of various types of partial derivatives. The default in bvp4c is to estimate these derivatives with finite differences to make solving BVPs as simple as possible. If analytical derivatives are provided, the solver becomes more robust and efficient. This problem may possess more than one solution (dual solutions), so distinct initial predictions are needed to accomplish the boundary condition (19). The first guess is of the outcome of the upper branch solution, which is comparatively easy to find, while for the lower branch solution, the appropriate guess selection is quite complex and hard to find owing to the convergence issues. To overcome this problem, firstly, we start with the known value for certain physical parameter constraints for which the outcome is simpler to obtain. At that point, we use this value to estimate the second guess of the same parameters. This technique is exercised for solving the boundary value problems [45] and is called the continuation method. For our simulations, the range of numerical integration is considered as , which is good enough for dimensionless velocity and dimensionless temperature fields to fulfill the infinity subject conditions (19) asymptotically. The mesh size is fixed as . The manner of finding the results is iteratively recurring until satisfactory outcomes with a certain degree of accuracy (i.e., up to 10−6) are achieved, which satisfy the criterion of asymptotical convergence.
To certify the exactness, dependency, and precision of the current numerical results obtained, an assessment of the friction factor and heat transfer is done with the results of Khan et al. [46], without the effect of nanoparticles’ volume fractions and mass suction parameter. Table 3 and Table 4 present the comparisons, which prove a good harmony, which provide confidence in the other results for other parameters. Moreover, Table 5 displays the analysis of the grid independence test by considering different mesh-points. From this table, it is observed that the results are in an excellent harmony. Table 6 and Table 7 are prepared to show the impact of involving various constraints when n= 0.8 and m = 5.0, on shear stress and heat transfer rate, respectively. The outcomes of Table 6 indicate that the shear stress in the upper branch solution increases with larger values of , S, M, and , while it decreases with higher values of the parameter Ba. On the other hand, the shear stress increases with larger values of the parameter and , where declines for the improving value of S, M, and Ba. The results suggest that the values of the heat transfer rate decrease in the solution of the upper branch and increase in the lower branch owing to the augmenting values of Ba. Meanwhile, the heat transfer is significantly higher in both solution branches for the increasing values of , S, and Bi while it remains constant with the larger M.
Table 3.
Comparison of the shear stress (upper branch) for distinct values of M and Ba, while the remaining constraints are , and .
Table 4.
Comparison of the heat transfer (upper branch) for distinct values of Pr and Bi, while the rest of the parameters are and .
Table 5.
Analysis of grid sensitivity with and .
Table 6.
The numerical values of the skin friction coefficient for several values of the involved parameters when n = 0.8 and m = 5.0.
Table 7.
The numerical values of the heat transfer rate for several values of the involved parameters when n = 0.8 and m = 5.0.
4. Results and Discussion
This portion of work is devoted to arguing the physical impacts of the involved constraints on the dynamic flow and heat transfer characteristics. The numerical computations are done to observe the impact of the involved parameters such as material Ba, magnetic M, suction/injection S, stretching/shrinking λ, volume fractions of nanoparticles and , as well as the Biot number Bi on the hybrid nanofluid velocity and temperature distributions, which are illustrated graphically. Besides, the approximate numerical simulations are performed throughout the paper for the involved physical parameters; these parameters were taken following Khan et al. [37] to have fixed values as follows: , and . In the current investigation, the flow dynamics of the friction factor, heat transfer, dimensionless velocity profile, and dimensionless temperature profile are graphically interpreted for the case of the shear thinning, n = 0.8, throughout the paper.
Figure 2 portrays the variations in parameters like the power-law index, n, for the three different values of occurrence (shear thinning, Newtonian, and shear thickening), and the importance of rheology on the velocity profile against the similarity variable η while keeping the remaining constraints fixed. From this figure, the outcomes show that the corresponding upper branch solutions increase with increasing n, while the lower branch solutions decrease. Moreover, to observe the physical behavior of the phenomenon of shear thinning of Sisko (Ag-TiO2/water) hybrid nanomaterials’ flow, the skin friction coefficient and the Nusselt number are highlighted graphically in Figure 3, Figure 4, Figure 5, Figure 6, Figure 7, Figure 8, Figure 9, Figure 10, Figure 11, Figure 12 and Figure 13 for different values of the physical controlling parameters.
Figure 2.
Profile of velocity for different values of power-law index n.
Figure 3.
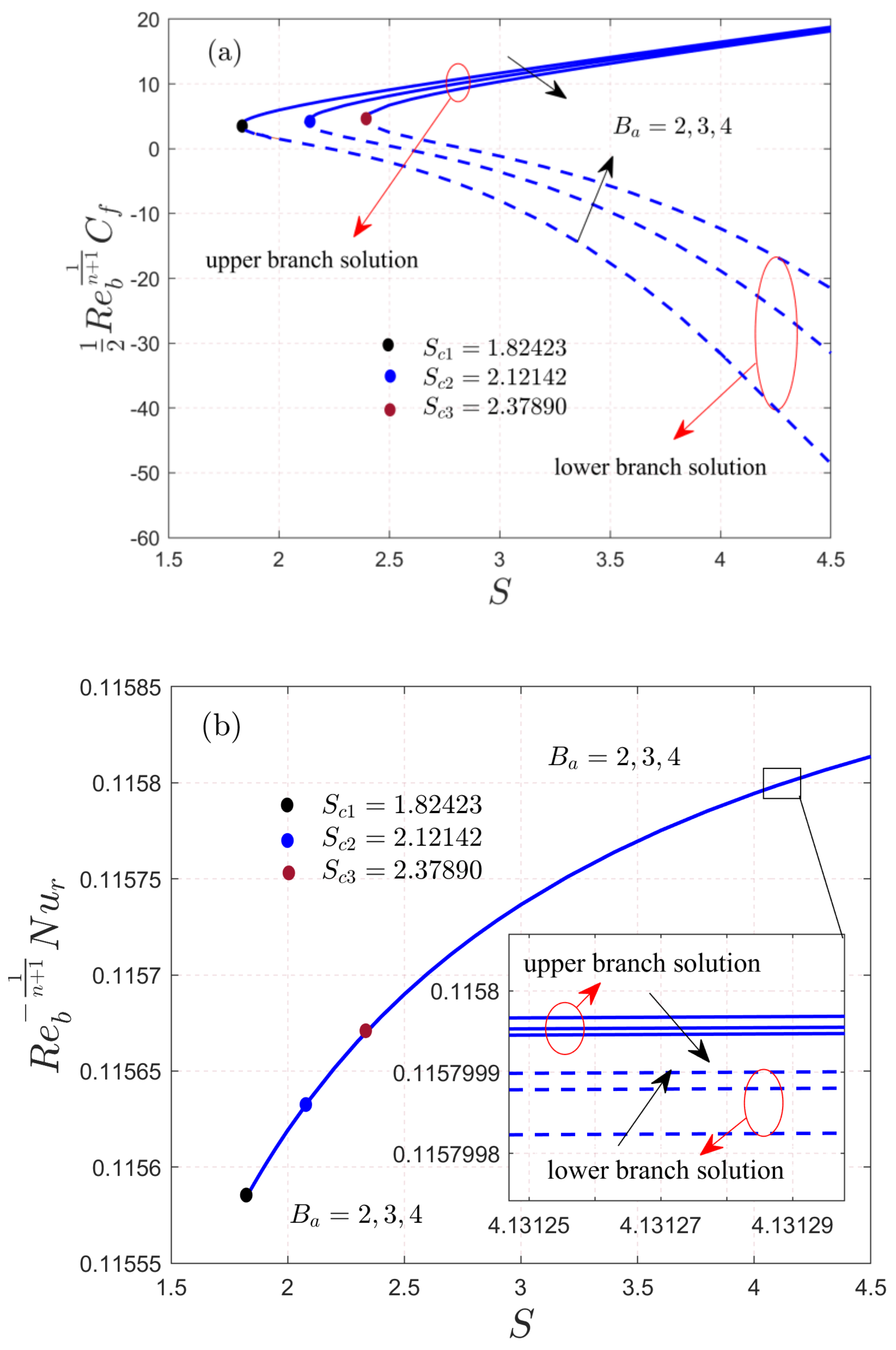
(a,b) Impact of material parameter Ba versus suction parameter S.
Figure 4.
(a,b) Impact of magnetic parameter M versus suction parameter S.
Figure 5.
(a,b) Impact of volume fractions of nanoparticles versus suction parameter S.
Figure 6.
Impact of suction parameter S on shear stress versus stretching/shrinking parameter λ.

Figure 7.
(a–c) The heat transfer for different values of suction parameter S against stretching/shrinking parameter λ.
Figure 8.
Profile of velocity for different values of material parameter Ba.
Figure 9.
Profile of velocity for different values of magnetic parameter M.
Figure 10.
Profile of velocity for different values of suction parameter S.
Figure 11.
Profile of velocity for different nanoparticle volume fraction and .
Figure 12.
Profile of temperature distribution for different Biot number Bi.
Figure 13.
Profile of temperature distribution for different nanoparticle volume fraction and .
4.1. Deviations in Shear Stress and Local Nusselt Number
The variations in Ba on the shear stress and local heat transfer are illustrated in Figure 3a,b. The outcomes display that multiple solutions exist for a fixed set of parameters provided that the mass flux velocity parameter is higher than or equal to a critical value Sc, that is, . From this situation, it is also perceived from the upper branch solution that the shear stress and Nusselt number are found to diminish for lower values of S and higher values of Ba. However, there is a negligible effect of Ba on the Nusselt number. For Ba = 2, 3, and 4, the critical values of mass flux velocity parameter S are 1.82423, 2.12142, and 2.37890, respectively. The domain of the existence of dual solutions becomes wider for smaller Ba. In other words, the boundary layer separation expedites for higher Ba.
To further investigate the flow dynamics and heat transport, the variations of the skin friction coefficient and Nusselt number owing to the change in the magnetic parameter M versus the mass suction parameter are shown in Figure 4a,b. Owing to the increase in M, the shear stress is higher in the upper branch solutions; however, the critical mass flux velocity parameter decreases. This indicates that the boundary layer approximation is valid over a wide region for developed values of M. The reason is the reduction of flow velocity by the larger impact of the magnetic field. As the magnetic field does not directly influence the thermal field, the heat transfer rate only show a slight change, as shown in Figure 4a,b for both upper and lower branch solutions.
Moreover, the impacts of the volume fractions of nanoparticles on and are demonstrated in Figure 5a,b. When the volumetric fractions of nanoparticles are increased, the shear stress increases in the absolute sense for both upper and lower branch solutions, which consequently increase the Nusselt number. For growing selections of the solid nanoparticles’ volumetric fractions, dual solutions exist in a wider domain. This observation shows that the capacity of the temperature and thermal heat conductivity of the hybrid nanofluid are considerably affected by the volume fractions of nanoparticles.
Finally, the effects of the mass flux velocity parameter on shear stress and local heat transfer for the flow over a shrinking disc are demonstrated in Figure 6 and Figure 7a–c. Owing to the increase in the magnitude of the shrinking parameter, the Nusselt number increases monotonically for both upper and lower branch solutions, as shown in Figure 7a–c. It is also seen that, for a larger value of the mass flux velocity, the critical shrinking parameter λc decreases. In other words, the domain of the existence of multiple solutions widens with the increase in S. This is because the higher value of mass flux velocity reduces the flow separation from the surface of the disc.
4.2. Deviations in Velocity Field and Temperature Distribution Field
For the change in the material parameter of the Sisko hybrid nanofluid, Ba on dimensionless velocity profiles of the hybrid nanofluid is shown in Figure 8. The results indicate that the velocity of the upper branch solutions decreases with the increasing material parameter Ba, while the opposite behavior is initially noticed for the lower branch solutions and then, significantly, terminating behavior begins in the same path of the solutions. In this regard, the momentum boundary layer declines owing to the increase in Ba. Such characteristics can physically be interpreted from the fact that the viscous force increases with the augmentation of the material parameter and, consequently, the flow velocity is slowed down.
The velocity profile for different values of M is displayed in Figure 9. A small increase in the velocity is observed for the larger value of M, in the corresponding upper branch results, while the reverse behavior is perceived for the lower branch solutions. For this reason, the momentum boundary layer decreases for higher values of M.
The consequence of the mass flux velocity parameter on the velocity profile is depicted in Figure 10. With the increase in S, the velocity of the hybrid nanofluid is found to increase in the outcome of the upper branch, but decrease in the branch of lower outcomes. Thus, the momentum boundary layer decreases for the increasing value of S. From a general point of view, the reason is that the mass flux through the surface exerts a force on the neighboring fluid particles to slow down, thereby diminishing the momentum boundary layer.
The deviation in the velocity profile for the volume fractions of nanoparticles is shown in Figure 11. The fluid velocity increases in the upper branch solutions the increasing volume fractions of nanoparticles, while the same behavioral trend as in Figure 10 is detected in the corresponding lower branch solutions. This is why the momentum boundary layer shrinks for larger values of the nanoparticles’ volume fractions.
The dimensionless profile of temperature for various values of the Biot number is exhibited in Figure 12. For bigger values of Bi, the surface temperature of the disc increases and dissipates slowly over the surface. Consequently, the thermal boundary layer of the disc becomes thicker with the increasing Bi. In addition, the allied thermal boundary layer thickness is enriched. Generally, the rate of heat transport augments owing to the convective heat transfer from the bottom surface. In response, the distribution of temperature profile increases, which further conducts heat from the disc to the new type “hybrid nanofluid”. Thus, the temperature distribution increases for superior values of Bi.
With the change in the volume fractions of nanoparticles, the temperature profile is graphically shown in Figure 13. It is clear from the figure that the inclusion of nanoparticles enhances the surface temperature, and then it gradually decreases to the environment temperature. In this sense, the thickness of the thermal boundary layer rises owing to the increasing values of the nanoparticles’ volume fractions.
5. Main Findings
In the current study, an effort was made to investigate the dynamics of flow as well as the heat transport features of the magnetohydrodynamic boundary layer of a hybrid nanofluid through a radially stretching/shrinking disc with a convective boundary restriction. The main findings are as follows:
- The magnitude of the velocity gradient can be reduced by increasing the external magnetic intensity. This behavior happens as a result of an enhancement in the Lorentz force.
- The velocity gradient increases for the outcome of the upper branch, but decreases for the lower solution counterpart owing to the substantial influence of the volume fractions of nanoparticles, whereas the temperature distributions significantly increase.
- An increase in Biot number at the wall surface of the disc leads to a rise in the temperature distributions of the boundary layer.
- The magnitude of the skin friction coefficient and the local Nusselt number increase with the growth in the suction strength at the boundary.
- The influence of the volume fraction of nanoparticles indicates an increasing behavior of the magnitude of the skin friction coefficient, which consequently increases the heat transport rate at the surface.
We believe that the obtained results are of great potential benefit for investigating hybrid nanofluid with heat transfer via different soft surfaces like soft synthetic rubber sheet, synthetic plastics, and soft silicone sheet, because such kinds of surfaces can simply be distorted by thermal fluctuations. In addition, the present work can be further extended either by considering time-dependent flow or by considering the impact of entropy generation.
Author Contributions
Data curation, F.S.A.-M.; Formal analysis, F.S.A.-M.; Funding acquisition, H.M.A.; Investigation, U.K.; Methodology, U.K., A.I. and F.S.A.-M.; Resources, S.A.B. and H.A.; Software, A.Z. and F.S.A.-M.; Supervision, A.Z., F.S.A.-M. and A.I.; Validation, H.A.; Visualization, H.M.A.; Writing—original draft, A.Z. and U.K.; Writing—review & editing, A.I., F.S.A.-M., S.A.B., H.A. and H.M.A. All authors have read and agreed to the published version of the manuscript.
Funding
This research was supported by TAIF UNIVERSITY RESEARCHERS SUPPORTING, Project number (TURSP-2020/304), Taif University, Taif, Saudi Arabia and also, the first author acknowledged their appreciation to the work supported by the Universiti Kebangsaan Malaysia (Project Code: DIP-2020-001).
Institutional Review Board Statement
Not applicable.
Informed Consent Statement
Not applicable.
Data Availability Statement
Not applicable.
Conflicts of Interest
The authors declare no conflict of interest.
Nomenclature
| Ambient temperature (K) | |
| a | Arbitrary constant |
| (r, z) | Cylindrical polar coordinates (m) |
| S | Constant mass flux parameter |
| Dimensionless velocity component | |
| T | Fluid temperature (K) |
| hf | Heat transfer coefficient |
| Nur | Local Nusselt number |
| Rer, Reb | Local Reynolds numbers |
| B0 | Magnetic field strength (A/m) |
| b | Material constant |
| ww (r) | Mass transfer velocity (m/s) |
| M | Magnetic parameter |
| Ba | Material parameter of the Sisko hybrid nanofluid |
| n | Non-Newtonian power law index |
| m | Non-linear parameter |
| Pr | Prandtl number |
| CF | Skin friction coefficient |
| cp | Specific heat (J/kg K) |
| Tf | Temperature of hot fluid (K) |
| (u, w) | Velocity components in r and z directions (m/s) |
| B (r) | Variable magnetic field |
| uw (r) | Velocity of disc (m/s) |
| Greek Symbols | |
| ρ | Density (kg/m3) |
| μ | Dynamic viscosity (kg/ms) |
| Dimensionless temperature | |
| Electrical conductivity (S/m) | |
| Heat capacity (J/Km3) | |
| Kinematic viscosity (m2/s) | |
| Stretching/Shrinking parameter of the disc | |
| Stream function | |
| Similarity variable | |
| k | Thermal conductivity (W/mK) |
| Thermal diffusivity of hybrid nanofluid (m2/s) | |
| Volume fraction of nanoparticles | |
| Subscripts | |
| bf | Base fluid |
| Free-stream condition | |
| hybnaf | Hybrid nanofluid |
| naf | Nanofluid |
| Ag | Silver nanoparticles |
| TiO2 | Titanium dioxide nanoparticles |
| Wall boundary condition | |
| Superscripts | |
| ′ | Derivative with respect to |
References
- Choi, S.U.S.; Eastman, J.A. Enhancing thermal conductivity of fluids with nanoparticles. Am. Soc. Mech. Eng. Fluids Eng. Div. 1995, 231, 99–105. [Google Scholar]
- Yu, W.; Xie, H.A. A review on nanofluids: Preparation, stability mechanisms and applications. J. Nanomater. 2011, 2012, 435873. [Google Scholar] [CrossRef] [Green Version]
- Xuan, Y.; Ganguly, R.; Sundar, L.S. Flow and heat transfer characteristics of magnetic nano fluids: A review. J. Magn. Magn. Mater. 2015, 374, 125–138. [Google Scholar]
- Yu, W.; Xie, H. A review on the applications of nanofluids in solar energy systems. Renew. Sustain. Energy Rev. 2015, 43, 584–598. [Google Scholar]
- Devendiran, D.K.; Amirtham, V.A. A review on preparation, characterization, properties and applications of nanofluids. Renew. Sustain. Energy Rev. 2016, 60, 21–40. [Google Scholar] [CrossRef]
- Sheikholeslami, M.; Vajravelu, K.; Rashidi, M.M. Forced convection heat transfer in a semi annulus under the influence of a variable magnetic field. Int. J. Heat Mass Transf. 2016, 92, 339–348. [Google Scholar] [CrossRef]
- Rashid, I.; Haq, R.U.; Khan, Z.; Al-Mdallal, Q.M. Flow of water based alumina and copper nanoparticles along a moving surface with variable temperature. J. Mol. Liq. 2017, 246, 354–362. [Google Scholar] [CrossRef]
- Mohyud-Din, S.T.; Khan, S.I.; Bin-Mohsin, B. Velocity and temperature slip effects on squeezing flow of nanofluid between parallel disks in the presence of mixed convection. Neural Comput. Appl. 2017, 28, 169. [Google Scholar] [CrossRef]
- Soomro, F.A.; Zaib, A.; Haq, R.U.; Sheikholeslami, M. Dual nature solution of water functionalized copper nanoparticles along a permeable shrinking cylinder: FDM approach. Int. J. Heat Mass Transf. 2018, 129, 1242–1249. [Google Scholar] [CrossRef]
- Roy, N.C. Magnetohydrodynamic natural convection flow of a nanofluid due to sinusoidal surface temperature variations. Phys. Fluids 2020, 32, 022003. [Google Scholar]
- Hamid, A.; Chu, Y.-M.; Khan, M.I.; Kumar, R.N.; Gowd, R.J.P.; Prasannakumara, B.C. Critical values in axisymmetric flow of magneto-Cross nanomaterial towards a radially shrinking disk. Int. J. Mod. Phys. B 2021, 35, 2150105. [Google Scholar] [CrossRef]
- Waini, I.; Ishak, A.; Pop, I. Unsteady flow and heat transfer past a stretching/shrinking sheet in a hybrid nanofluid. Int. J. Heat Mass Transf. 2019, 136, 288–297. [Google Scholar] [CrossRef]
- Nisar, K.S.; Khan, U.; Zaib, A.; Khan, I.; Baleanu, D. Exploration of aluminum and titanium alloys in the stream-wise and secondary flow directions comprising the significant impacts of magnetohydrodynamic and hybrid nanofluid. Crystals 2020, 10, 679. [Google Scholar] [CrossRef]
- Khashi’Ie, N.S.; Arifin, N.M.; Pop, I.; Wahid, N.S. Flow and heat transfer of hybrid nanofluid over a permeable shrinking cylinder with Joule heating: A comparative analysis. Alex. Eng. J. 2020, 59, 1787–1798. [Google Scholar] [CrossRef]
- Esfe, M.H.; Eshfandeh, S. A new generation of hybrid nanofuid: Thermal properties enriched lubricant fluids with controlled viscosity amount. SN Appl. Sci. 2020, 2, 1154. [Google Scholar]
- Ahmadi, M.H.; Ghazvini, M.; Sadeghzadeh, M.; Nazari, M.A.; Ghalandari, M. Utilization of hybrid nanofluids in solar energy applications: A review. Nano-Struct. Nano-Objects 2019, 20, 100386. [Google Scholar] [CrossRef]
- Madhesh, D.; Kalaiselvam, S. Experimental Analysis of Hybrid Nanofluid as a Coolant. Procedia Eng. 2014, 97, 1667–1675. [Google Scholar] [CrossRef] [Green Version]
- Devi, S.P.A. Numerical Investigation of Hydromagnetic hybrid Cu–Al2O3/Water nanofluid flow over a permeable stretching sheet with suction. Int. J. Nonlinear Sci. Numer. Simul. 2016, 17, 249–257. [Google Scholar] [CrossRef]
- Devi, S.P.A.; Devi, S.S.U. Heat transfer enhancement of Cu-Al2O3/water hybrid nanofluid flow over a stretching sheet. J. Niger. Math. Soc. 2017, 36, 419–433. [Google Scholar]
- Afridi, M.I.; Qasim, M.; Saleem, S. Second law analysis of three dimensional dissipative flow of hybrid nanofluid. J. Nanofluids 2018, 7, 1272–1280. [Google Scholar] [CrossRef]
- Chamkha, A.J.; Dogonchi, A.S.; Ganji, D.D. Magneto-hydrodynamic flow and heat transfer of a hybrid nanofluid in a rotating system among two surfaces in the presence of thermal radiation and Joule heating. AIP Adv. 2019, 9, 025103. [Google Scholar] [CrossRef] [Green Version]
- Sheikholeslami, M.; Mehryan, S.; Shafee, A.; Sheremet, M.A. Variable magnetic forces impact on magnetizable hybrid nanofluid heat transfer through a circular cavity. J. Mol. Liq. 2019, 277, 388–396. [Google Scholar] [CrossRef]
- Khan, U.; Zaib, A.; Khan, I.; Baleanu, D.; Sherif, E.-S.M. Comparative investigation on MHD nonlinear radiative flow through a moving thin needle comprising two hybridized AA7075 and AA7072 alloys nanomaterials through binary chemical reaction with activation energy. J. Mater. Res. Technol. 2020, 9, 3817–3828. [Google Scholar] [CrossRef]
- Waini, I.; Ishak, A.; Pop, I. MHD flow and heat transfer of a hybrid nanofluid past a permeable stretching/shrinking wedge. Appl. Math. Mech. 2020, 41, 507–520. [Google Scholar] [CrossRef]
- Zainal, N.A.; Nazar, R.; Naganthran, K.; Pop, I. Viscous dissipation and MHD hybrid nanofluid flow towards an exponentially stretching/shrinking surface. Neural Comput. Appl. 2021, 33, 11285–11295. [Google Scholar] [CrossRef]
- Khan, U.; Zaib, A.; Ishak, A. Non-similarity solutions of radiative stagnation point flow of a hybrid nanofluid through a yawed cylinder with mixed convection. Alex. Eng. J. 2021, 60, 5297–5309. [Google Scholar] [CrossRef]
- Massoudi, M.; Phuoc, T.X. Flow of a generalized second grade non-newtonian fluid with variable viscosity. Contin. Mech. Thermodyn. 2004, 16, 529–538. [Google Scholar] [CrossRef]
- Chen, C.-K.; Lai, H.-Y.; Chen, W.-F. Unsteady unidirectional flow of second-grade fluid through a microtube with wall slip and different given volume flow rate. Math. Probl. Eng. 2010, 2010, 416837. [Google Scholar] [CrossRef]
- Rahman, M.U.; Manzur, M.; Khan, M. Mixed convection heat transfer to modified second grade fluid in the presence of thermal radiation. J. Mol. Liq. 2016, 223, 217–223. [Google Scholar] [CrossRef]
- Sisko, A.W. The Flow of Lubricating Greases. Ind. Eng. Chem. 1958, 50, 1789–1792. [Google Scholar] [CrossRef]
- Abelman, S.; Hayat, T.; Momoniat, E. On the Rayleigh problem for a sisko fluid in a rotating frame. Appl. Math. Comput. 2009, 215, 2515–2520. [Google Scholar] [CrossRef]
- Hayat, T.; Moitsheki, R.; Abelman, S. Stokes’ first problem for sisko fluid over a porous wall. Appl. Math. Comput. 2010, 217, 622–628. [Google Scholar] [CrossRef]
- Sarı, G.; Pakdemirli, M.; Hayat, T.; Aksoy, Y. Boundary layer equations and lie group analysis of a sisko fluid. J. Appl. Math. 2012, 2012, 259608. [Google Scholar] [CrossRef]
- Malik, M.Y.; Hussain, A.; Salahuddin, T.; Awais, M.; Bilal, S.; Khan, F. Flow of sisko fluid over a stretching cylinder and heat transfer with viscous dissipation and variable thermal conductivity: A numerical study. AIP Adv. 2016, 6, 045118. [Google Scholar] [CrossRef] [Green Version]
- Khan, M.; Ahmad, L.; Gulzar, M.M. Unsteady sisko magneto-nanofluid flow with heat absorption and temperature dependent thermal conductivity: A 3D numerical study. Results Phys. 2018, 8, 1092–1103. [Google Scholar] [CrossRef]
- Bisht, A.; Sharma, R. Non-similar solution of sisko nanofluid flow with variable thermal conductivity: A finite difference approach. Int. J. Numer. Methods Heat Fluid Flow 2020, 31, 345–366. [Google Scholar] [CrossRef]
- Khan, U.; Zaib, A.; Shah, Z.; Baleanu, D.; Sherif, E.-S.M. Impact of magnetic field on boundary-layer flow of Sisko liquid comprising nanomaterials migration through radially shrinking/stretching surface with zero mass flux. J. Mater. Res. Technol. 2020, 9, 3699–3709. [Google Scholar] [CrossRef]
- Rafiq, T.; Mustafa, M. Steadily revolving flow of sisko fluid along a stretchable boundary with non-linear radiation effects. Pramana 2021, 95, 120. [Google Scholar] [CrossRef]
- Khan, U.; Zaib, A.; Ishak, A. Magnetic field effect on sisko fluid flow containing gold nanoparticles through a porous curved surface in the presence of radiation and partial slip. Mathematics 2021, 9, 921. [Google Scholar] [CrossRef]
- Takabi, B.; Salehi, S. Augmentation of the heat transfer performance of a sinusoidal corrugated enclosure by employing hybrid nanofluid. Adv. Mech. Eng. 2014, 6, 147059. [Google Scholar] [CrossRef]
- Suresh, S.; Venkitaraj, K.P.; Selvakumar, P. Synthesis, characterisation of Al2O3-Cu nanocomposite powder and water-based nanofluids. Adv. Mater. Res. 2011, 328, 1560–1567. [Google Scholar] [CrossRef]
- Ishak, A. Similarity solutions for flow and heat transfer over a permeable surface with convective boundary condition. Appl. Math. Comput. 2010, 217, 837–842. [Google Scholar] [CrossRef]
- Yacob, N.A.; Ishak, A.; Pop, I.; Vajravelu, K. Boundary layer flow past a stretching/shrinking surface beneath an external uniform shear flow with a convective surface boundary condition in a nanofluid. Nanoscale Res. Lett. 2011, 6, 314. [Google Scholar] [CrossRef] [PubMed] [Green Version]
- Bachok, N.; Ishak, A.; Pop, I. Stagnation point flow toward a stretching/shrinking sheet with a convective surface boundary condition. J. Frankl. Inst. 2013, 350, 2736–2744. [Google Scholar] [CrossRef]
- Shampine, L.F.; Gladwell, I.; Thompson, S. Solving ODEs with MATLAB; Cambridge University Press: Cambridge, UK, 2003. [Google Scholar]
- Khan, M.; Malik, R.; Munir, A.; Shahzad, A. MHD flow and heat transfer of sisko fluid over a radially stretching sheet with convective boundary conditions. J. Braz. Soc. Mech. Sci. Eng. 2016, 38, 1279–1289. [Google Scholar] [CrossRef]
Publisher’s Note: MDPI stays neutral with regard to jurisdictional claims in published maps and institutional affiliations. |
© 2021 by the authors. Licensee MDPI, Basel, Switzerland. This article is an open access article distributed under the terms and conditions of the Creative Commons Attribution (CC BY) license (https://creativecommons.org/licenses/by/4.0/).