Improvement of the Tribological Properties and Corrosion Resistance of Epoxy–PTFE Composite Coating by Nanoparticle Modification
Abstract
1. Introduction
2. Materials and Methods
2.1. Materials
2.2. TiO2 Modification
2.3. Coating Preparation
2.4. Coating Performance Testing
3. Results and Discussions
3.1. The Modification of TiO2 Nanoparticles
3.2. Hardness
3.3. Interfacial Adhesion
3.4. Tribological Properties
3.5. Anti-Corrosion Properties
3.5.1. Hydrophobic Performance
3.5.2. Potentiodynamic Polarization
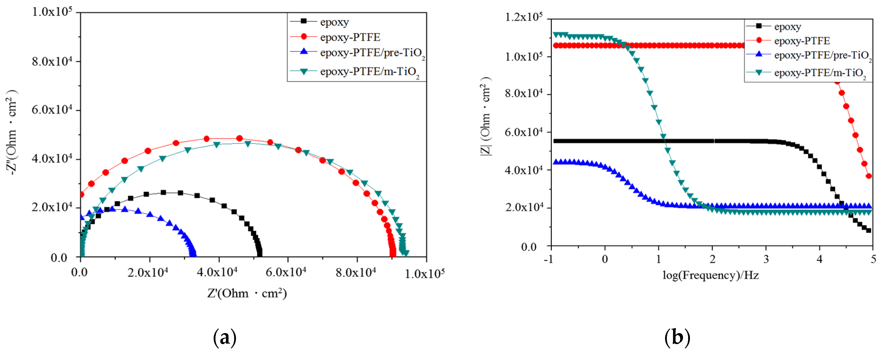
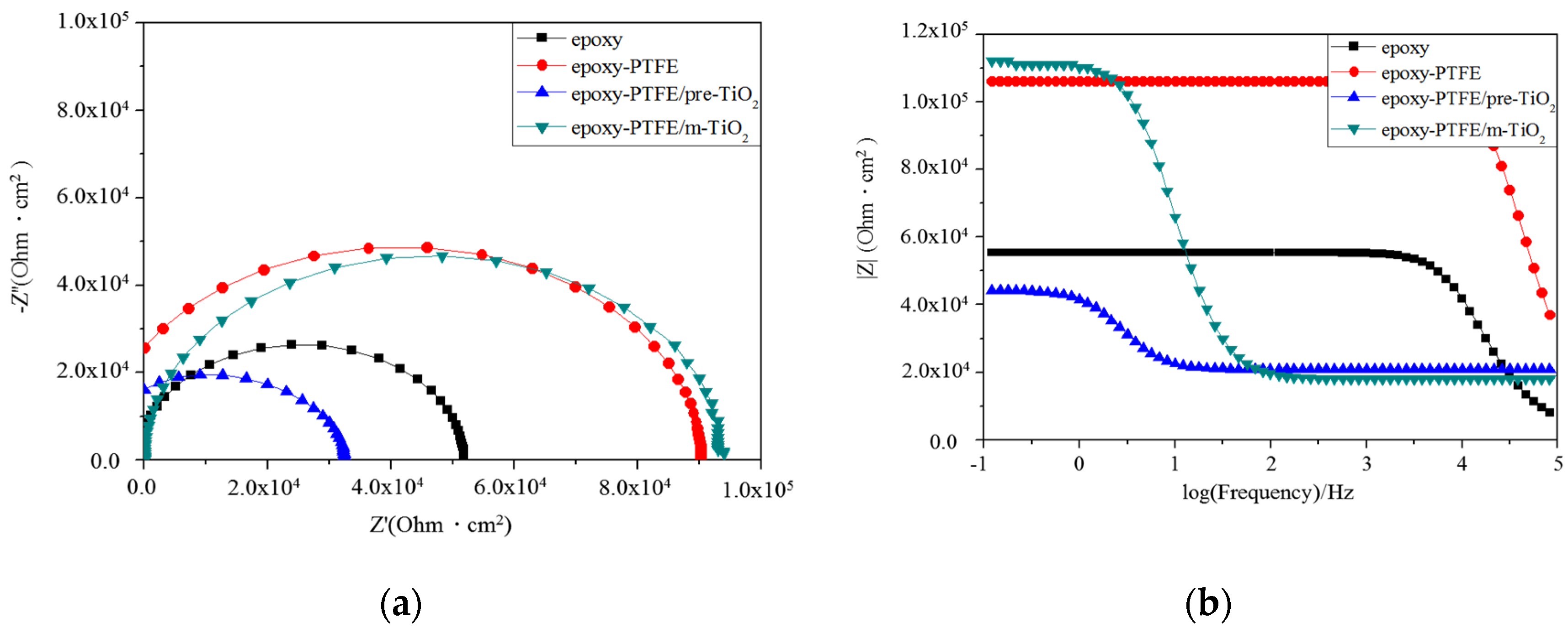
3.5.3. Electrochemical Impedance Spectroscopy
4. Conclusions
- Modifying the surface of TiO2 nanoparticles grafted with organic functional groups can enhance their dispersion and further improve the interface compatibility with the epoxy matrix. Simultaneously, the bonding force between the coating and the matrix is increased. Compared with pure epoxy, epoxy–PTFE, and the composite coating with unmodified TiO2, the epoxy–PTFE–TiO2 composite coating with modified TiO2 has the lowest friction coefficient and the most excellent wear resistance.
- With the incorporation of modified TiO2 nanoparticles, the hydrophilicity of the epoxy–PTFE composite coating decreases significantly, which is beneficial to improve the corrosion resistance of the composite coating. Simultaneously, modified TiO2 nanoparticles improve the interface compatibility and densification of the composite coating. There are very few micropores in the coating, so it is difficult for the water molecules containing corrosive media to penetrate the coating and get into the matrix. The composite coating including modified TiO2 nanoparticles possesses better corrosion resistance than that of the coating with unmodified TiO2. By the modification treatment of TiO2 nanoparticles, the poor corrosion resistance of an epoxy–PTFE–TiO2 composite coating has been effectively addressed.
Author Contributions
Funding
Data Availability Statement
Conflicts of Interest
References
- Fei, J.; Li, H.J.; Fu, Y.W.; Qi, L.H.; Zhang, Y.L. Effect of phenolic resin content on performance of carbon fiber reinforced pa-per-based friction material. Wear 2010, 269, 534–540. [Google Scholar] [CrossRef]
- Pourhashem, S.; Saba, F.; Duan, J.-Z.; Rashidi, A.; Guan, F.; Nezhad, E.G.; Hou, B. Polymer/Inorganic nanocomposite coatings with superior corrosion protection performance: A review. J. Ind. Eng. Chem. 2020, 88, 29–57. [Google Scholar] [CrossRef]
- Rajesh, P.S.M.; Delaroa, C.; Gagné, M.; Klemberg-Sapieha, J.E.; Sirois, F.; Therriault, D. Continuous and selective-area coating of silver on fiber-reinforced polymer composites for aerospace applications. Mater. Today Commun. 2019, 18, 206–212. [Google Scholar] [CrossRef]
- Liu, Y.; Lu, J.; Cui, Y. Improved thermal conductivity of epoxy resin by graphene–nickel three-dimensional filler. Carbon Resour. Convers. 2020, 3, 29–35. [Google Scholar] [CrossRef]
- Culbreath, C.J.; Gaerke, B.; Taylor, M.S.; McCullen, S.D.; Mefford, O.T. Effect of infill on resulting mechanical properties of additive manufactured bioresorbable polymers for medical devices. Materialia 2020, 12, 100732. [Google Scholar] [CrossRef]
- Zhang, F.; Yuan, Z.; Jia, X.; Wang, X.; Fu, G.; Yu-Er, C. Preparation and properties of a kind of corrosion resistant, self-cleaning and colored PTFE coating on metal surface. Mater. Prot. 2019, 52, 100–103. [Google Scholar]
- Qin, C. (Chris); Mulroney, A.T.; Gupta, M.C. Anti-icing epoxy resin surface modified by spray coating of PTFE Teflon particles for wind turbine blades. Mater. Today Commun. 2020, 22, 100770. [Google Scholar] [CrossRef]
- Shen, J.; Van Rijn, F.; Pei, Y.T.; De Hosson, J.T.M. On the abrasiveness and reinforcement of fillers in PTFE/epoxy composites. Polym. Compos. 2016, 39, 698–707. [Google Scholar] [CrossRef]
- Shi, X.; Nguyen, T.A.; Suo, Z.; Liu, Y.; Avci, R. Effect of nanoparticles on the anticorrosion and mechanical properties of epoxy coating. Surf. Coat. Technol. 2009, 204, 237–245. [Google Scholar] [CrossRef]
- McCook, N.; Burris, D.; Bourne, G.R.; Steffens, J.; Hanrahan, J.; Sawyer, W.G. Wear resistant solid lubricant coating made from PTFE and epoxy. Tribol. Lett. 2005, 18, 119–124. [Google Scholar] [CrossRef]
- Liu, D.; Zhao, W.; Liu, S.; Cen, Q.; Xue, Q. Comparative tribological and corrosion resistance properties of epoxy composite coatings rein-forced with functionalized fullerene C60 and graphene. Surf. Coat. Technol. 2016, 286, 354–364. [Google Scholar] [CrossRef]
- Sawyer, W.; Freudenberg, K.D.; Bhimaraj, P.; Schadler, L.S. A study on the friction and wear behavior of PTFE filled with alumina nanoparticles. Wear 2003, 254, 573–580. [Google Scholar] [CrossRef]
- Friedrich, K.; Zhang, Z.; Schlarb, A.K. Effects of various fillers on the sliding wear of polymer composites. Compos. Sci. Technol. 2005, 65, 2329–2343. [Google Scholar] [CrossRef]
- Larsen, T.Ø.; Andersen, T.L.; Thorning, B.; Horsewell, A.; Vigild, M.E. Changes in the tribological behavior of an epoxy resin by incorporating CuO nanoparticles and PTFE microparticles. Wear 2008, 265, 203–213. [Google Scholar] [CrossRef]
- Al-Turaif, H.A. Effect of nano TiO2 particle size on mechanical properties of cured epoxy resin. Prog. Org. Coat. 2010, 69, 241–246. [Google Scholar] [CrossRef]
- Vattikuti, S.P.; Byon, C. Synthesis and characterization of molybdenum disulfide nanoflowers and nanosheets: Nanotribology. J. Nanomater. 2015, 2015, 710462. [Google Scholar] [CrossRef]
- Vattikuti, S.P.; Byon, C.; Reddy, C.V.; Venkatesh, B.; Shim, J. Synthesis and structural characteri-zation of MoS2 nanospheres and nanosheets using solvothermal method. J. Mater. Sci. 2015, 50, 5024–5038. [Google Scholar] [CrossRef]
- Chang, L.; Zhang, Z.; Breidt, C.; Friedrich, K. Tribological properties of epoxy nanocomposites. Wear 2005, 258, 141–148. [Google Scholar] [CrossRef]
- Shi, H.; Liu, F.; Yang, L.; Han, E. Characterization of protective performance of epoxy reinforced with nanometer-sized TiO2 and SiO2. Prog. Org. Coat. 2008, 62, 359–368. [Google Scholar] [CrossRef]
- Fadl, A.; Abdou, M.; Hamza, M.; Sadeek, S. Corrosion-inhibiting, self-healing, mechanical-resistant, chemically and UV stable PDMAS/TiO2 epoxy hybrid nanocomposite coating for steel petroleum tanker trucks. Prog. Org. Coat. 2020, 146, 105715. [Google Scholar] [CrossRef]
- Radoman, T.S.; Dzunuzovic, J.V.; Jeremic, K.B.; Grgur, B.N.; Milicevic, D.S.; Popovic, I.G.; Dzunuzovic, E.S. Improvement of epoxy resin properties by incorporation of TiO2 nanoparticles surface modified with gallic acid esters. Mater. Des. 2014, 62, 158–167. [Google Scholar] [CrossRef]
- Liu, Y.; Wang, R. Study on nano-particles modified epoxy resin. Technol. Dev. Chem. Ind. 2016, 45, 22–24. [Google Scholar]
- Tian, L.; Wang, X.; Wu, Y.; Wang, H.; Wei, Y. Research progress in the epoxy composites modified by nano-inorganic particles. New Chem. Mater. 2012, 40, 4–7. [Google Scholar]
- Ahmetli, G.; Deveci, H.; Soydal, U.; Seker, A.; Kurbanli, R. Coating. Mechanical and thermal properties of epoxy toluene oli-gomer modified epoxy resin/sepiolite composites. Prog. Org. Coat. 2012, 75, 97–105. [Google Scholar] [CrossRef]
- Sabzi, M.; Mirabedini, S.; Zohuriaan-Mehr, J.; Atai, M. Surface modification of TiO2 nano-particles with silane coupling agent and investigation of its effect on the properties of polyurethane composite coating. Prog. Org. Coat. 2009, 65, 222–228. [Google Scholar] [CrossRef]
- Homaeigohar, S.; Tsai, T.-Y.; Young, T.-H.; Yang, H.J.; Ji, Y.-R. An electroactive alginate hydrogel nano-composite reinforced by functionalized graphite nanofilaments for neural tissue engineering. Carbohydr. Polym. 2019, 224, 115112. [Google Scholar] [CrossRef]
- Homaeigohar, S.; Sadi, A.Y.; Javadpour, J.; Khavandi, A. The effect of reinforcement volume fraction and particle size on the mechanical properties of β-tricalcium phosphate–high density polyethylene composites. J. Eur. Ceram. Soc. 2006, 26, 273–278. [Google Scholar] [CrossRef]











| Coatings | Corrosion Current Density (A·cm−2) | Corrosion Potential (V) |
|---|---|---|
| epoxy | 5.727 × 10−7 | −0.564 |
| epoxy–PTFE | 3.702 × 10−7 | −0.528 |
| epoxy–PTFE/TiO2 (unmodify) | 8.725 × 10−7 | −0.614 |
| epoxy–PTFE/TiO2 (modify) | 1.688 × 10−7 | −0.503 |
Publisher’s Note: MDPI stays neutral with regard to jurisdictional claims in published maps and institutional affiliations. |
© 2020 by the authors. Licensee MDPI, Basel, Switzerland. This article is an open access article distributed under the terms and conditions of the Creative Commons Attribution (CC BY) license (http://creativecommons.org/licenses/by/4.0/).
Share and Cite
Ying, L.; Wu, Y.; Nie, C.; Wu, C.; Wang, G. Improvement of the Tribological Properties and Corrosion Resistance of Epoxy–PTFE Composite Coating by Nanoparticle Modification. Coatings 2021, 11, 10. https://doi.org/10.3390/coatings11010010
Ying L, Wu Y, Nie C, Wu C, Wang G. Improvement of the Tribological Properties and Corrosion Resistance of Epoxy–PTFE Composite Coating by Nanoparticle Modification. Coatings. 2021; 11(1):10. https://doi.org/10.3390/coatings11010010
Chicago/Turabian StyleYing, Lixia, Yunlong Wu, Chongyang Nie, Chunxi Wu, and Guixiang Wang. 2021. "Improvement of the Tribological Properties and Corrosion Resistance of Epoxy–PTFE Composite Coating by Nanoparticle Modification" Coatings 11, no. 1: 10. https://doi.org/10.3390/coatings11010010
APA StyleYing, L., Wu, Y., Nie, C., Wu, C., & Wang, G. (2021). Improvement of the Tribological Properties and Corrosion Resistance of Epoxy–PTFE Composite Coating by Nanoparticle Modification. Coatings, 11(1), 10. https://doi.org/10.3390/coatings11010010
