Abstract
Natural products have been a great source for drug leads, due to a vast majority possessing unique chemical structures. Such an example is the protoilludane class of natural products which contain an annulated 5/6/4-ring system and are almost exclusively produced by fungi. They have been reported to possess a diverse range of bioactivities, including antimicrobial, antifungal and cytotoxic properties. In this review, we discuss the isolation, structure elucidation and any reported bioactivities of this compound class, including establishment of stereochemistry and any total syntheses of these natural products. A total of 180 protoilludane natural products, isolated in the last 70 years, from fungi, plant and marine sources are covered, highlighting their structural diversity and potential in drug discovery.
1. Introduction
Fungi remain an untapped source of bioactive natural products with an estimate of over 1.5 million species of fungi worldwide, of which only approximately 7% have been chemically investigated [1,2,3,4,5,6]. Over 90% of the recorded species are higher fungi which are considered one of the largest biodiverse resources on Earth. With the development of fungal natural product isolation techniques and a better understanding of biosynthetic pathways, higher fungi have become an abundant source for drug discovery. Ascomycota, the largest phylum of fungi, is one of the two divisions of higher fungi along with Basidiomycota. Both divisions of higher fungi, having undergone evolution to survive harsh and unfavourable environments, are well known producers of an array of structurally diverse natural products that possess a variety of bioactivities. These natural products can be divided into several groups by their chemical structures, one of which are the terpenoids. Representative terpenoid scaffolds in higher fungi include sesquiterpenoids, diterpenoids and triterpenoids which are all derived from common precursors [1,2,3,4,5,6].
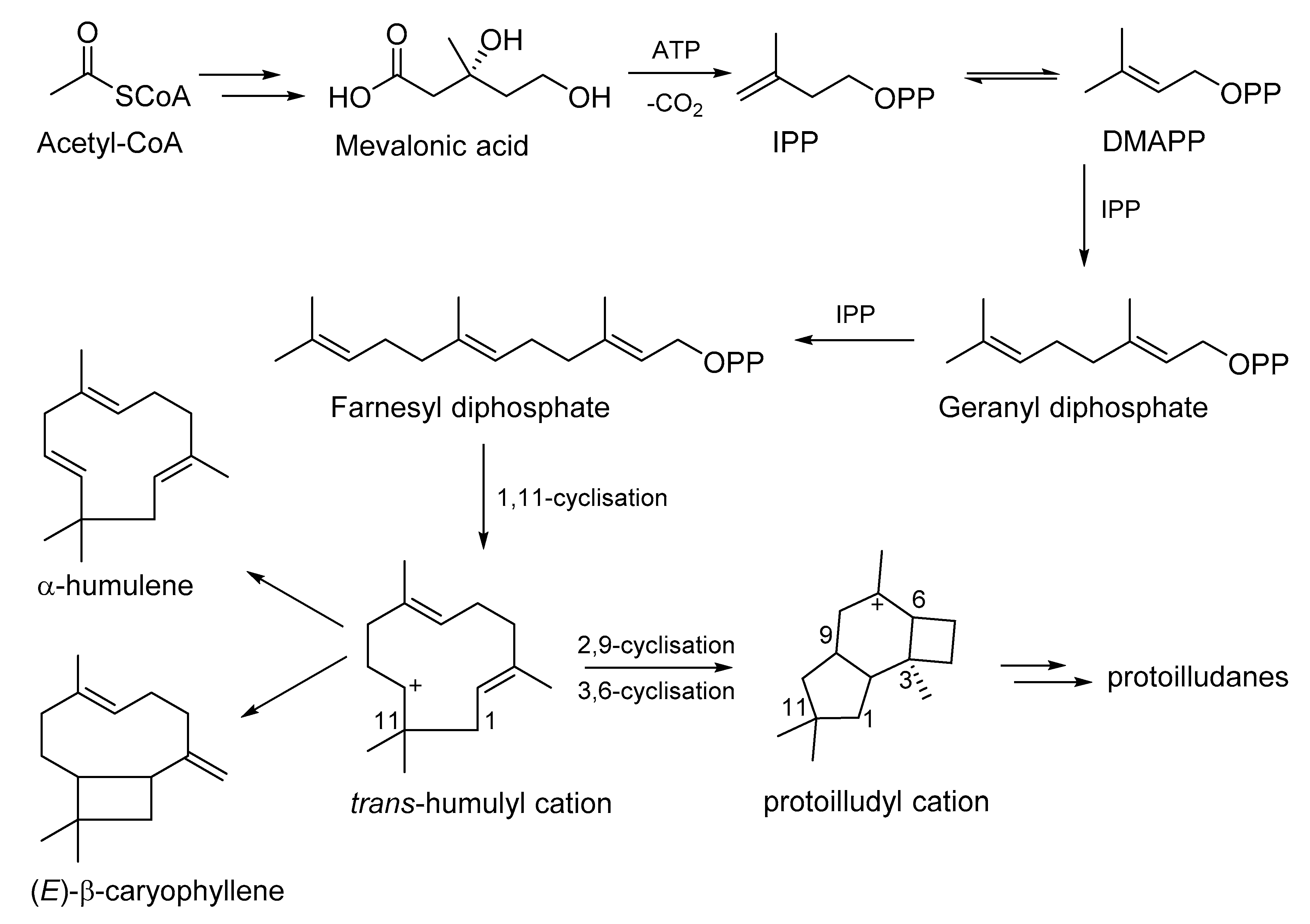
Fungal terpenoid natural products are derived from isoprene units (C5) and are classified by the number of isoprene units in the structure [7,8,9,10,11]. Higher terpenoids such as monoterpenoids (C10), sesquiterpenoids (C15) and diterpenoids (C20) are synthesised from two isoprene intermediates, dimethylallyl pyrophosphate (DMAPP) and isopentenyl pyrophosphate (IPP), in the mevalonate pathway. The mevalonate pathway begins with the phosphorylation of mevalonic acid, derived from acetyl-CoA, by two molecules of adenosine triphosphate (ATP). Subsequent decarboxylation forms IPP, the stereospecific isomerisation of which affords DMAPP (Scheme 1). Loss of diphosphate from DMAPP forms an allylic cation which undergoes nucleophilic attack by IPP to afford geranyl diphosphate. Reaction of geranyl diphosphate with another unit of IPP gives farnesyl diphosphate from which sesquiterpenoids (C15) are derived. Repetition of this process results in the formation of terpenoid chains of different length. Linear terpenoids can undergo cyclisation by a number of different terpene cyclases which can generate numerous terpenoid scaffolds [7,8,9,10,11].
Scheme 1.
Biosynthesis of sesquiterpenoids from isopentenyl pyrophosphate (IPP) and dimethylallyl pyrophosphate (DMAPP) through the mevalonate pathway.
Cyclisation of farnesyl diphosphate can produce a wide range of natural products, many of which are biosynthesised through a cyclisation pathway involving a humulyl cation [12,13,14,15]. The humulene pathway proceeds through 1,11-cyclisation of 2E,6E-farnesyl diphosphate to afford the trans-humulyl cation which can then undergo rearrangement to produce a number of different classes of sesquiterpenoid carbon skeletons including α-humulene and (E)-β-caryophyllene. Of interest is the 2,9 and 3,6-cyclisation product, protoilludyl cation, the precursor to various protoilludane natural products [12,13,14,15].
Sesquiterpenoid protoilludane natural products contain a characteristic annulated 5/6/4-ring system and have been reported to possess a diverse range of bioactivities. They have been predominantly isolated from higher fungi (96%) with very few examples from marine (1%) and plant (3%) sources (Figure 1). A total of 180 examples of this class have been isolated over a span of 70 years with almost half of these natural products being isolated in the last 20 years (Figure 2).
Figure 1.
Isolation sources of protoilludane natural products.
Figure 2.
Timeline of the discovery of protoilludane natural products from marine, plant and fungal sources.
The purpose of this review is to give an overview of sesquiterpenoid protoilludane natural products bearing an annulated 5/6/4-ring system and does not cover the structurally related illudins which are derived from protoilludane precursors. In this review, we will first discuss the isolation, structure elucidation, establishment of stereochemistry and summarise the bioactivities of sesquiterpenoid protoilludane natural products isolated to date from fungal origins beginning with those isolated from Basidiomycota followed by Ascomycota. We will then briefly cover protoilludanes isolated from other sources. We will acknowledge any known syntheses of these natural products but will not elaborate on these, as a comprehensive overview of synthetic attempts towards this class of natural products has been reported previously [14]. A short discussion on the biosynthetic studies conducted on these natural products has also been included.
2. Basidiomycota
The Basidiomycota account for approximately 30% of the described species of higher fungi and include the smuts, rusts, jelly fungi, bracket fungi, stinkhorns, fairy clubs, bird’s nest fungi, puffballs, earthstars, toadstools and mushrooms [12,13,14]. This group of fungi are well-known producers of a wide range of terpenoid natural products, including protoilludane sesquiterpenoids [12,13,14]. Indeed, Basidiomycota account for over 82% of the protoilludanes produced by higher fungi (Figure 1).
2.1. Protoilludane Sesquiterpenes
The earliest reported protoilludane sesquiterpenoid, with the fused 5/6/4-ring system, was illudol (1) (Figure 3) [16]. It was isolated from the mushroom Omphalotus olearius, formerly Clitocybe illudens, in 1950 and reported as an unknown natural product at the time. Illudol (1) was tested for activity against several bacterial species including Bacillus mycoides, Bacillus subtilis, Escherichia coli, Klebsiella pneumoniae, Mycobacterium smegmatis, Mycobacterium tuberculosis, Pseudomonas aeruginosa and Staphylococcus aureus but was found to be inactive [16]. The planar structure of illudol (1) was not reported until 1967, while the absolute stereochemistry was only established in 1971 based on X-ray crystallography and was then successfully synthesised as a racemic mixture in the same year [17,18,19].
Figure 3.
Structures of protoilludanes 1–6 isolated from the Clitocybe and Omphalotus genera of fungi.
Three other protoilludanes (Figure 3) have since been isolated from the Clitocybe genus including neoilludol (2) from C. illudens and 3-epi-illudol (3) and 1-O-acetyl-3-epi-illudol (4) from C. candicans [20,21]. Determination of the relative stereochemistry of neoilludol (2) was achieved through nuclear Overhauser effect spectroscopy (NOESY) analysis and like illudol (1), the natural product exhibited no antimicrobial activity against either S. aureus NBRC13276 or P. aeruginosa ATCC15442 at a loading of 100 µg per disk [20,22]. The absolute stereochemistry of 3-epi-illudol (3) was established using the partial resolution method of Horeau on an acetonide derivative and analysis of the electronic circular dichroism (ECD) spectrum of 1-O-pivaloyl-3,6-dinitrobenzoyl derivative [21]. The relative stereochemistry of 1-O-acetyl-3-epi-illudol (4) was then established by consideration of shared biogenetic origin with 3 [21]. The latter was reported to exhibit antimicrobial activity against E. coli ATCC25922 with a minimum inhibitory concentration (MIC) of 32 µg/mL and a total synthesis towards the racemic mixture of the natural product was reported in 1997 [23,24].
Another protoilludane, illudiolone (5) was isolated from a mushroom, Omphalotus illudens [25]. X-ray crystallographic analysis of 5 allowed assignment of the structure and absolute configuration [25]. A related protoilludane, 5-O-acetyl-7,14-dihydroxy-protoilludanol (6), was isolated from Conocybe siliginea, the structure and relative configuration of which were assigned using rotating-frame nuclear Overhauser effect spectroscopy (ROESY) spectroscopic data [26]. The cytotoxicity of 6 was investigated against several human cancer cell lines including SK-BR-3, SMMC-7721, HL-60, PANC-1 and A-549 and was found to be non-cytotoxic [26].
Two examples of less oxygenated protoilludanes (Figure 4) were isolated from the mycelia of Fomitopsis insularis, Δ6-protoilludene (7) and Δ7-protoilludene-6-ol (8), of which the former has also been isolated from O. olearius [27,28]. In the isolation reports of Δ6-protoilludene, the sesquiterpenoid was shown to undergo isomerisation upon reaction with palladium on carbon to afford Δ7-protoilludene (9) [27]. Though Δ7-protoilludene (9) was only a semi-synthetic derivative at the time, it was the first of the three protoilludanes to be synthesised, albeit racemically [29]. Soon after, the synthesis of racemic Δ6-protoilludene (7) was achieved which allowed the relative stereochemistry of the natural product to be established [28]. Recent reports finally identified Δ7-protoilludene (9) as a natural product, isolated from slime mold Dictyostelium discoideum [30]. The relative stereochemistry of 9 was established by NOESY spectroscopic analysis with absolute stereochemistry being established by conversion of chirally pure deuterium labelled farnesyl diphosphate to Δ7-protoilludene (9) [30]. Another slime mold from the Dictyostelium genus, D. mucoroides afforded mucoroidiol (10), the relative configuration of which was assigned by analysis of NOESY data, while the absolute was suggested by consideration of shared biogenetic origins with 9 [31]. Mucoroidiol (10) exhibited no cytotoxicity (HeLa cells, IC50 > 40 µM) or antibacterial activity (S. aureus and E. coli) [31].
Figure 4.
Structures of protoilludanes 7–10 isolated from the Fomitopsis and Dictyostelium genera.
Four protoilludanes were isolated from the mushroom Laurilia sulcate (Figure 5), namely sulcatine A (11) and B (12), armillol (13) and 5-epi-armillol (14) [32,33]. The relative configurations of 11–14 were determined by analysis of NOESY NMR data. The absolute configuration of sulcatine A (11) was confirmed through analysis of an ECD spectrum of a dibenzoate derivative, while that of sulcatine B (12) and armillol (13) were established by biogenetic consideration [32,33]. Both sulcatine A (11) and B (12) have been shown to exhibit moderate antimicrobial activity against E. coli ATCC25922 (MIC 32 µg/mL) with 11 also exhibiting activity against Mannheimia haemolytica ATCC14003 (MIC 32 µg/mL) [34]. In addition, 12 and 14 have been reported to exhibit antifungal activity against Cladiosporium cucumerinum and Candida albicans at a loading of 50 µg per disk [33].
Figure 5.
Structures of protoilludanes 11–14 isolated from Laurilia sulcate.
Another mushroom from the Laurilia genus, L. tsugicola, afforded tsugicolines A–E (15–19) [35,36]. The relative configurations of tsugicolines A–E (15–19) were established by NOESY spectroscopic analysis [35]. The absolute configuration of tsugicoline A (15) was determined by the partial resolution method of Horeau, while that of tsugicoline E (19) was determined by X-ray crystallographic analysis [35,36]. Tsugicolines A (15), C (17) and E (19) have been shown to exhibit moderate antimicrobial activity against E. coli ATCC25922 (MIC 32 µg/mL) with 15 and 17 also exhibiting activity against the Gram-negative bacterium, M. haemolytica ATCC14003 (MIC 32 µg/mL) [34]. Tsugicoline A (15) has also been shown to exhibit allelopathic activity against garden cress, Lepidium sativum [35].
Another closely related compound, tsugicoline M (20), was isolated from the edible mushroom Clavicorona pyxidate, the relative configuration of which was assigned utilising NOESY NMR data [37]. Tsugicoline M (20) was investigated for antimicrobial activity against E. coli, B. subtilis, S. aureus and Candida albicans, at a concentration of 50 µg/mL, and cytotoxicity against HeLa cells, at 20 µg/mL and was found inactive in all assays [37]. The same mushroom also afforded two other novel protoilludanes (Figure 6), pyxidatol A (21) and B (22), along with the previously reported tsugicoline E (19) [38]. The relative configurations of pyxidatol A (21) and B (22) were resolved by ROESY analysis with the absolute configurations of 21 and 22 being assigned by consideration of shared biogenetic origins with 19 [37,38].
Figure 6.
Structures of tsugicolines 15–20 and pyxidatols A (21) and B (22) isolated from the Laurilia and Clavicorona genera of fungi.
The injured fruiting bodies of the mushroom Russula delica afforded five protoilludanes (Figure 7), plorantinone A–D (23–26) and epi-plorantinone B (27), while the intact fruiting bodies gave the first examples of fatty acid ester protoilludanes, stearoyl plorantinone B (28) and stearoyl delicone (29) [39,40,41]. The relative configurations of plorantinone A–C (23–25), stearoyl plorantinone B (28) and stearoyl delicone (29) were determined from NOESY data. The absolute configuration of plorantinone B (24) was established by analysis of ECD spectra, conformational analysis and molecular mechanics (MM3) calculations [39,40,41]. Subsequently, the absolute configurations of 23, 25, 28 and 29 were determined by comparison of optical rotation with plorantinone B (24) [39,40,41].
Figure 7.
Structures of protoilludanes 23–33 isolated from the Russula genus of fungi.
The fruiting bodies of another mushroom from the Russula genus, R. japonica, afforded russujaponols A–D (30–33) (Figure 7) [42]. Assignment of the relative configuration of 30–33 was achieved through analysis of ROESY and NOESY NMR data. The absolute configuration of russujaponol A (30) was assigned by X-ray crystallographic analysis of a benzoate derivative which in turn allowed the absolute configuration of russujaponols B–D (31–33) to be ascertained by biogenetic consideration. The cytotoxicity of 30, 31 and 33 was investigated and all three natural products were found to be non-cytotoxic against 39 human tumour cell lines. Russujaponol A (30) was found to suppress the invasion of human fibrosarcoma cells (HT1080) into Matrigel with 63% inhibition at 3.73 µM [42].
Investigation of the fruiting bodies of a mushroom, Lactarius atlanticus, led to the discovery of atlanticones A–D (34–37) (Figure 8) [43]. As with the plorantinones, the intact fruiting bodies afforded fatty acid sesquiterpenoids, atlanticones A (34) and B (35) which were isolated as a mixture of fatty acid esters (ca. 90% oleic acid and ca. 10% linoleic acid), while atlanticones C (36) and D (37) were isolated from injured fruiting bodies. Both atlanticones A (34) and B (35) were investigated for antimicrobial activity against S. aureus and E. coli but were found to be inactive. The relative configurations of all four natural products were assigned by NOESY, while the absolute configuration of atlanticone A (34) was determined by a combination of PM3 calculations and ECD spectral comparison with plorantinone B (24) [43]. Both a racemic synthesis and enantioselective total synthesis of atlanticone C (36) have been reported [44,45].
Figure 8.
Structures of protoilludanes 34–38 isolated from the Lactarius genus of fungi.
Repraesentin A (38) (Figure 8), a closely related natural product to Δ6-protoilludene (7), was isolated from another mushroom from the Lactarius genus, L. repraesentaneus [46]. The relative configuration of the natural product was assigned utilising NOESY spectroscopic data, while the absolute configuration was assigned by consideration of common biosynthetic origins with 7. Repraesentin A (38) was shown to promote radicle elongation of lettuce seedlings [46].
The mushroom Agrocybe aegerita afforded three α,β-unsaturated carboxylic acid containing protoilludanes (Figure 9), pasteurestins A–C (39–41) [47,48]. Structure elucidation of all three natural products was achieved by spectroscopic analysis [47,48]. The stereoselective syntheses of both 39 and 40 have been reported [49,50]. This allowed assignment of the relative configurations of 39 and 40 by NOESY data and absolute configurations by comparison of optical rotations with the respective natural products [49,50]. The relative configuration of 41 was assigned by analysis of ROESY data, while the absolute configuration was suggested by biogenetic consideration [48]. The antimicrobial activities of pasteurestins A (39) and B (40) have been investigated against Pasteurella multocida N791 BBP 0101 (MIC 0.89 and 0.78 µg/mL, respectively) and Mannheimia haemolytica N811 BBP 0102 (MIC 1.56 and 0.78 µg/mL, respectively) where 40 was found to be a more potent inhibitor than 39 [34].
Figure 9.
Structures of protoilludanes 39–47.
Another example of an α,β-unsaturated carboxylic acid containing protoilludane, epicoterpene A (42), was isolated from a co-culture of the honey fungus Armillaria sp. and the endophytic fungus Epicoccum sp. [51]. This co-culture also afforded three other protoilludanes, epicoterpene B (43), C (44) and E (45) (Figure 9). The relative configurations of all four epicoterpenes were assigned by analysis of ROESY data, while the absolute configurations were determined by comparison of experimental ECD spectra with time-dependent density functional theory (TDDFT) calculated ECD spectra. None of the four compounds exhibited cytotoxicity (IC50 > 40 µM) against HL-60, A-549, SMMC-7721, MCF7, SW480 cell lines or acetylcholinesterase inhibitory activity at a concentration of 50 µM [51].
The Lentinellus genus afforded two protoilludanes, lentinellic acid (46) and lentinellone (47) [52,53]. Lentinellic acid (46), isolated from Lentinellus ursinus and L. omphalodes, contains a lactone and an α,β-unsaturated carboxylic acid. Structure elucidation and assignment of the relative configuration of 46 was achieved by X-ray crystallography, while that of 47 was achieved by NOESY spectroscopic analysis. The absolute configuration of 47 was tentatively assigned by consideration of shared biogenetic origins. Both natural products were investigated for their antimicrobial activity against a variety of strains including; Bacillus brevis, B. subtilis, Corynebacterium insidiosum, E. coli, Micrococcus luteus, Mycobacterium phlei and Streptomyces sp., where lentinellone (47) was found to be inactive. Alternately, lentinellic acid (46) exhibited potent antimicrobial activity (MIC 1–5 µg/mL) against Aerobacter aerogenes, B. brevis, C. insidiosum and moderate activity against Acinetobacter aerogenes (MIC 20–50 µg/mL), B. subtilis (MIC 20–50 µg/mL), M. luteus (MIC 10–20 µg/mL), Proteus vulgaris (MIC 20–50 µg/mL), S. aureus (MIC 20–50 µg/mL) and Streptomyces sp. (MIC 10–20 µg/mL). In addition, 46 also exhibited antifungal activity against Absidia glauca and Nematospora coryli at a loading of 100 µg per disk. The cytotoxicity of 47 was investigated against various cancer cell lines where it exhibited moderate cytotoxicity against HL-60 (IC50 20 µg/mL) [52,53].
Three protoilludanes, radudiol (48), and radulone A (49) and B (50), were isolated from the crust fungus, Radulomyces confluens (Figure 10) [54]. Radudiol (48) is another example of a saturated protoilludane, while radulone A (49) has four rings, one of which contains an oxygen bridge. The relative configurations of all three natural products were assigned by analysis of NOESY NMR data. The cytotoxicity of 48–50 was investigated against HeLa S3, HL-60 and L-1210 cell lines where 49 (IC50 16, 2, and 1 µM, respectively) exhibited potent cytotoxicity against all three cell lines, while radudiol (48) and radulone B (50) were non-cytotoxic. Radulone A (49) also exhibited weak antimicrobial activity against Corynebacterium insiduodum, Micrococcus luteus, Nematospora coryli and Ustilago nuda with an MIC of 20 µM as well as Streptomyces bikiniensis, Saccharomyces cerevisiae and Mucor miehei with an MIC of 41 µM. In addition, 49 was found to be a potent inhibitor of human (IC50 2 µM) and bovine (IC50 12 µM) platelet aggregation induced by adenosine diphosphate (conc 25 µM) [54]. The stereoselective synthesis of the non-natural enantiomer of radudiol (48) has been reported allowing assignment of the absolute configuration of the natural product by comparison of optical rotations [55].
Figure 10.
Structures of protoilludanes 48–50 isolated from Radulomyces confluens.
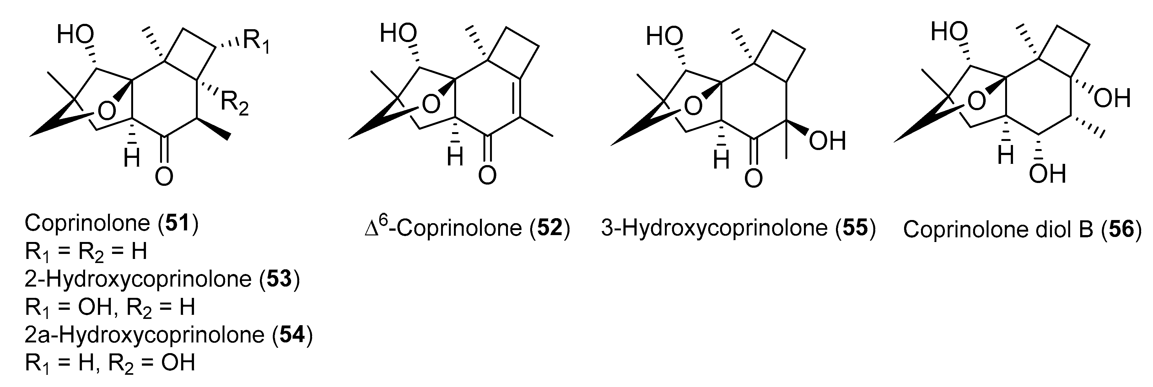
Two examples of oxygen-bridged protoilludanes (Figure 11), coprinolone (51) and Δ6-coprinolone (52), were isolated from Coprinus psychromorbidus [56,57]. The structures of both natural products were assigned by spectroscopic analysis and the relative stereochemistry of coprinolone (51) was determined by analysis of NOESY data of the natural product and its derived isomers [56,57]. Further examples of oxygen-bridged protoilludanes, including 2-hydroxycoprinolone (53), 2a-hydroxycoprinolone (54), 3-hydroxycoprinolone (55) and coprinolone diol B (56) were isolated from the plant pathogen Granulobasidium vellereum [58,59]. Structure elucidation and establishment of the absolute configurations of 2-hydroxycoprinolone (53), 2a-hydroxycoprinolone (54) and 3-hydroxycoprinolone (55) were achieved using a ROESY spectroscopic data and analysis of ECD spectra. The absolute configuration of coprinolone diol B (56) was established by consideration of shared biogenetic origin with that of coprinolone diol, a semi-synthetic derivative from coprinolone (51). The antimicrobial activities of 53–56 were investigated against several species including Penicillium canescens, Fusarium oxysporum and Heterobasidion occidentale at concentrations up to 100 µg/mL and all four natural products were found to be inactive [58,59].
Figure 11.
Structures of coprinolones 51–56 isolated from the Coprinus and Granulobasidium genera of fungi.
Other protoilludanes isolated from Granulobasidium vellereum include 8-deoxy-4a-hydroxytsugicoline A (57) and B (58), 8-deoxydihydrotsugicoline (59), granulodienes A (60) and B (61), granulones A (62) and B (63) and demethylgranulone (64) (Figure 12) [58,59]. Determination of the relative configurations of 57–64 was achieved by ROESY spectroscopic analysis. The absolute configurations 59–61 was established by ECD spectral analysis, while those of 57, 58, and 62–64 were assigned upon biosynthetic consideration with other protoilludanes. The antifungal activities of 57–64 were investigated against Penicillium canescens, Fusarium oxysporum and Heterobasidion occidentale at concentration up to 100 µg/mL and none of the natural products exhibited activity [58,59]. The stereoselective synthesis of the non-natural enantiomer of 8-deoxydihydrotsugicoline (59) has been reported [55].
Figure 12.
Structures of protoilludanes 57–64 isolated from Granulobasidium vellereum.
The crust fungus, Echinodontium tsugicola, afforded four protoilludanes named echinocidins A–D (65–68) (Figure 13) [60,61]. The relative configurations of 65–68 was assigned by NOESY spectroscopic analysis where 65 and 67 were based on the natural products, while 66 and 68 were on a diacetyl and acetonide derivative, respectively. The absolute configurations of these natural products were ascertained by consideration of shared biogenetic origins with tsugicoline A (15) and B (16). The antimicrobial activities of echinocidin A (65) and B (66) were investigated against C. albicans ATCC2019, S. aureus NBRC13276 and P. aeruginosa ATCC15442 at a loading concentration of 100 µg per disk and both natural products were found to be inactive [60,61]. All four natural products 65–68 were investigated in a lettuce seedling bioassay at a concentration of 100 ppm where they were observed to accelerate primary root growth to 117%, 180%, 190% and 179% of controls, respectively [60,61]. The total syntheses of racemic echinocidin B (66) and D (68) have been reported [62].
Figure 13.
Structures of echinocidins A–D (65–68) from Echinodontium tsugicola.
2.2. Protoilludane Sesquiterpene Aryl Esters
The genus Armillaria has been one of the most extensive producers of aryl ester containing protoilludanes. These protoilludanes can be divided into three types of which the first two are classified based on the position of the double bond in the protoilludane skeleton, i.e., Δ2,4-protoilludene (e.g., Δ6-protoilludene) and Δ2,3-protoilludene (e.g., Δ7-protoilludene) skeletons, while the third is classified by the absence of double bonds in the 5/6/4-ring system.
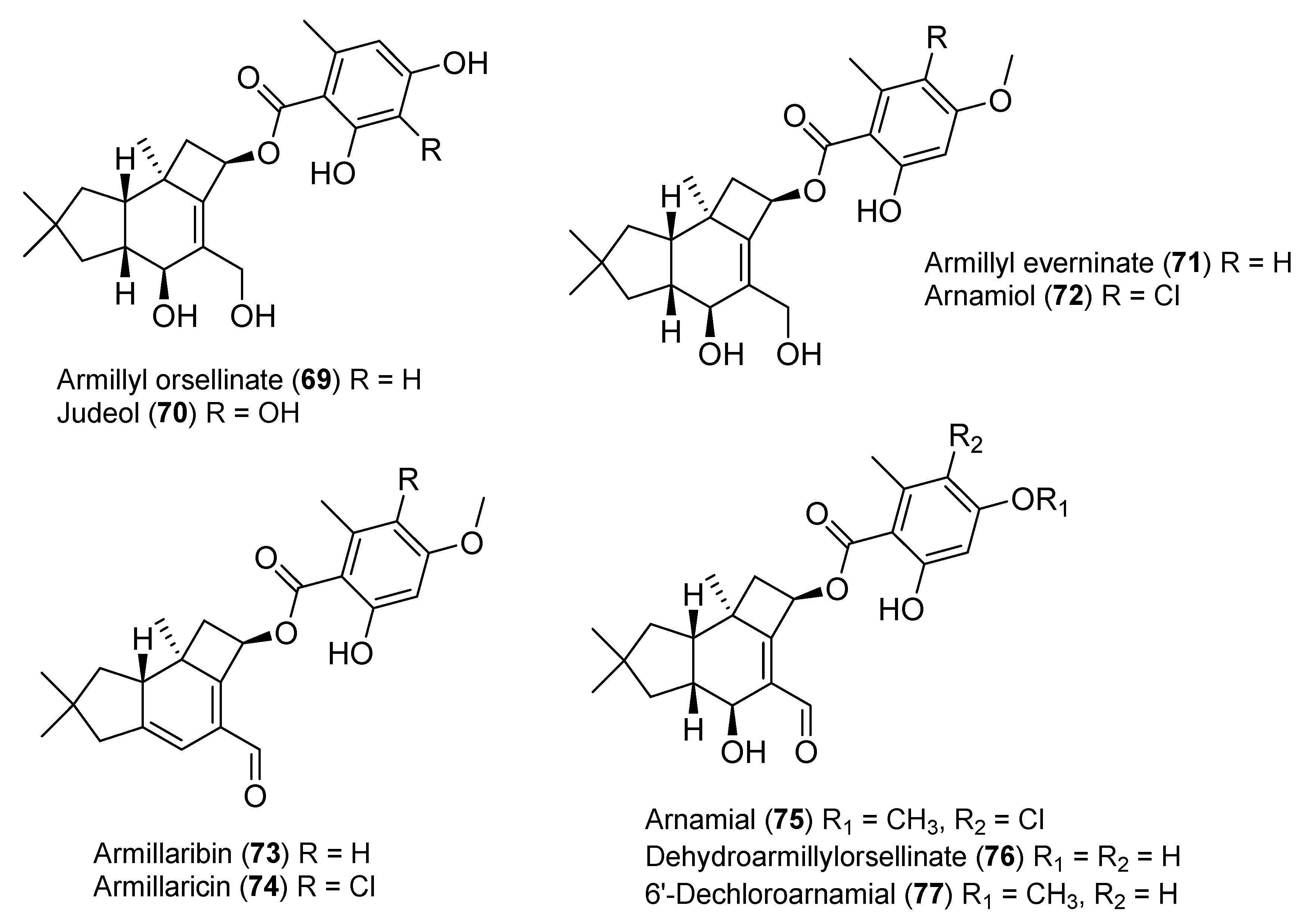
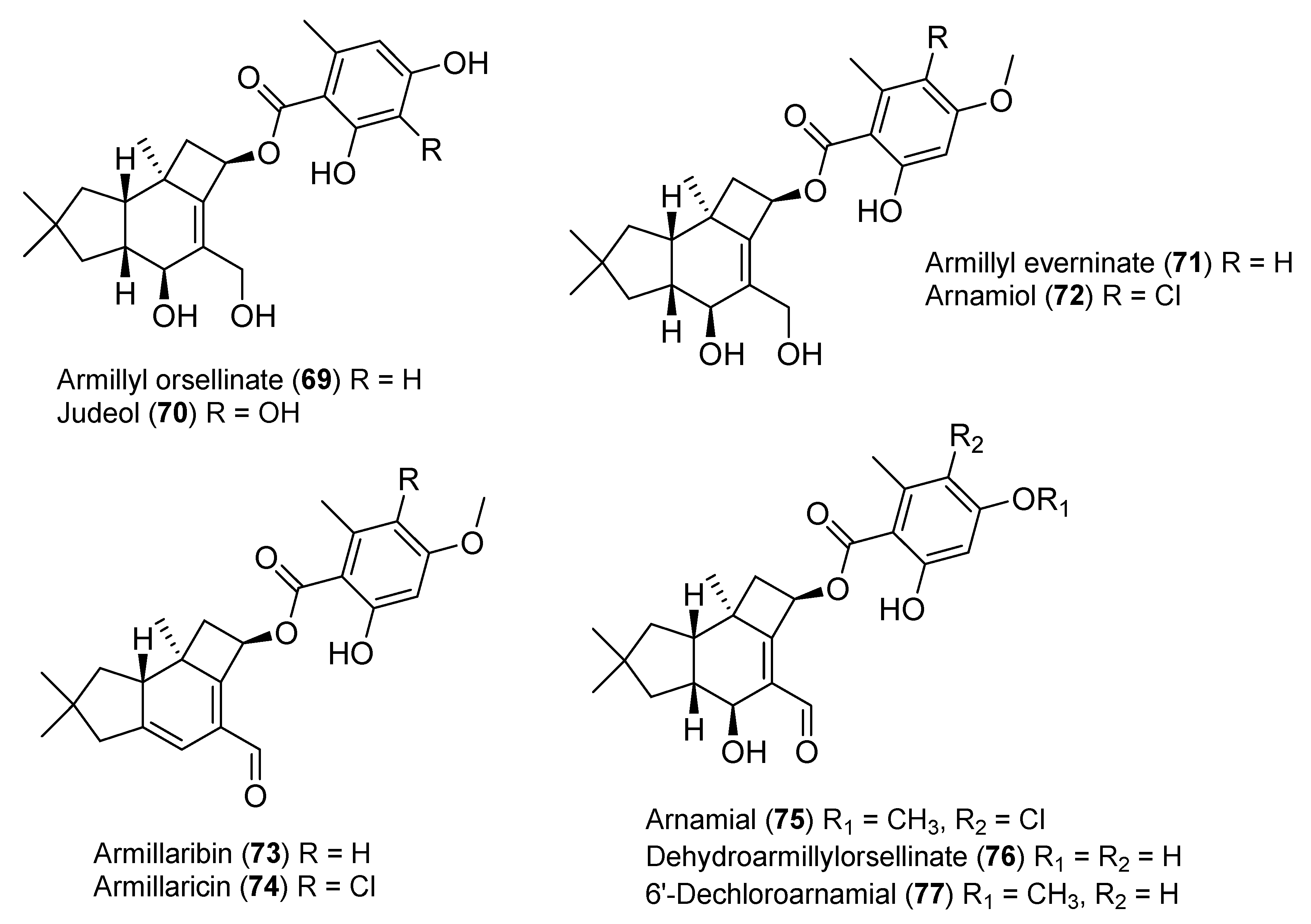
Aryl sesquiterpenoids of the first type, of which only a few examples exist, include armillyl orsellinate (69) [63], judeol (70) [64], armillyl everninate (71) [65], arnamiol (72) [65], armillaribin (73) [66], armillaricin (74) [67], arnamial (75) [68], dehydroarmillyl orsellinate (76) [69] and 6’-dechloroarnamial (77) [70], all isolated from the honey fungus Armillaria mellea (Figure 14). Structure elucidation and determination of the absolute configurations of armillyl orsellinate (69) and armillaricin (74) were achieved utilising a combination of spectroscopic and X-ray crystallographic analysis [63,67,71]. Subsequently, the relative configurations of arnamial (75) and 6’-dechloroarnamial (77) were ascertained by biosynthetic consideration [68,70]. Both armillyl orsellinate (69) and judeol (70) exhibited antimicrobial activity against B. subtilis ATCC6633 (minimum loading of 5.6 and 8.7 µg per disk, respectively) and S. aureus ATCC53156 (minimum loading of 5.6 and 8.7 µg per disk, respectively) with 69 also exhibiting activity against E. coli (MIC 1.0 µg) and C. albicans (MIC 1.0 µg) on bioautographic assays [63,64,72]. Arnamial (75), dehydroarmillyl orsellinate (76) and 6’-dechloroarnamial (77) were also investigated for their antimicrobial properties and were reported to moderately inhibit the growth of Penicillium notatum, Aspergillus flavus and Aspergillus nidulans [70]. In addition, 75 also exhibited potent activity against Tapinella panuoides, Pleurotus ostreatus, Omphalotus illudens, Fomitopsis pinicola, P. oxalicum, A. flavus and Streptomyces scabies [73]. Four of these natural products (74–77) have been shown to exhibit cytotoxicity against several human cell lines [68,69,70,74]. Armillaricin (74) was shown to be potently cytotoxic towards H460, MCF7, HT-29 and CEM cell lines (IC50 5.5, 4.8, 4.6, and 5.8 µM, respectively). Meanwhile, 75–77 exhibited moderate to potent cytotoxicity towards HUVEC (GI50 2.0, 5.3, 5.1 µM) MCF7 (GI50 15.4, 8.0, 4.1 µM), K-562 (GI50 2.3, 5.0, 4.1 µM) and HeLa (CC50 HeLa 4.9, 15.2, 12.3 µM) cell lines. Additionally, 75 was also found to be cytotoxic towards HCT-116, Jurkat and CCRF-CEM (IC50 10.69, 3.9, and 8.91 µM, respectively) cell lines, while 76 exhibited cytotoxicity towards Jurkat (IC50 16.9 µM) cells [68,69,70,74].
Figure 14.
Structures of Δ2,4-protoilludene-containing aryl sesquiterpenoids 69–77 isolated from Armillaria mellea.
The second type of aryl ester sesquiterpenoids, containing the Δ2,3-protoilludene skeleton, constitute the largest portion of this protoilludane class. Melleolides A–N (78–91) [74,75,76,77,78], P (92) [79] and T (93) (Figure 15) [79] were isolated from Armillaria mellea with the exception of melleolide I (86) [80] which was first isolated from another mushroom A. novae-zelandiae along with melleolide J (87) (also named armillarikin) [81]. Of these natural products, melleolide N (91) is the only example with esterification at the C-1 hydroxyl group [74]. The structure and the absolute configuration of the first melleolide (78) was solved by X-ray crystallographic analysis [75]. Assignment of the relative configurations of melleolides B (79), C (80), E–K (82–88) and N (91) were achieved by extensive NOESY spectroscopic analysis [74,76,77,78,80], while that of melleolide P (92), also known as 6’-chloromelleolide F, was ascertained by consideration of common biogenetic origins with melleolide F (83) [70,79]. The absolute stereochemistry of melleolide L (89) was established by X-ray crystallographic analysis conducted on a 2,4-dinitrophenylhydrazone derivative [78]. On the other hand, the absolute configurations of melleolide D (81) and M (90) were determined by semi-synthesis of the natural products and subsequent comparison of optical rotations [78,82]. Finally, the absolute configuration of melleolide T (93), also named 13-hydroxymelleolide K, was assigned by comparison of ECD spectra with melleolide D (81) [79,83]. Melleolides A (78) (IC50 HepG2 4.95 µg/mL, L02 16.05 µg/mL), F (83) (IC50 MCF7 8.3 µM, H460 5.1 µM), I also known as 5’-chloromelleolide (86) (IC50 A-549 20.11 µM, MCF7 30.06 µM), J (87) (IC50 MCF7 4.4 µM, H460 5.7 µM, HL-60 14.11 µM, A-549 14.73 µM, SMMC-7721 17.41 µM), N (91) (IC50 HT-29 7.1 µM, H460 5.5 µM, CEM 5.4 µM) and P (92) (IC50 MCF7 4.8 µM, H460 4.5 µM, CEM 28.8 µM) have been reported to be cytotoxic against human cancer cell lines [70,72,74,84,85]. The antimicrobial activity of some of the melleolides have also been investigated. Melleolide A (78) was reported to exhibit antimicrobial activity against B. subtilis ATCC6633 (MIC 0.5 µg), E. coli (MIC 1.0 µg), C. cucumerinum (MIC 1.0 µg) and C. albicans (MIC 1.0 µg) in bioautographic assays, while melleolides B–D (79–81) were reported to exhibit antibacterial activity against B. subtilis ATCC6633, B. cereus ATCC10702 and E. coli ATCC10536 at a minimum loading of 10 µg per disk [72,76]. In addition, melleolides K–M (88–90) were investigated for antimicrobial activity against several species, where 89 and 90 were found to be inactive [78]. Melleolide K (88) exhibited moderate activity against Micrococcus luteus IF03333 (MIC 12.5 µg/mL), B. subtilis PCI219 (MIC 6.25 µg/mL), Corynebacterium bovis 1810 (MIC 25 µg/mL), Saccharomyces cerevisiae (MIC 25 µg/mL), Trichophyton rubrum IFO9185 (MIC 25 µg/mL), S. aureus (FDA209P (MIC 6.25 µg/mL), Smith (MIC 12.5 µg/mL), MS9610 (MIC 12.5 µg/mL)) and MRSA (MS16526 (MIC 12.5 µg/mL), TY-04282 (MIC 12.5 µg/mL)) [78]. The total syntheses of racemic melleolide A (78) and F (83) were reported recently [62].
Figure 15.
Structures of melleolides 78–93 from the Armillaria genus of fungi.
Other melleolides isolated from A. mellea include 4-O-methylmelleolide (94) [64], dihydromelleolide (95) [86], 13-hydroxydihydromelleolide (96) [87], 10α-hydroxymelleolide (97) [87], 10α-hydroxydihydromelleolide (98) [87], 13-hydroxy-4-methoxymelleolide (99) [88], 4-dehydromelleolide (100) [86], 6’-chloro-10α-hydroxymelleolide (101) [72] and 6’-chloro-13-hydroxy-dihydromelleolide (102) [69]. Structure elucidation and confirmation of the absolute stereochemistry of 4-O-methylmelleolide (94) was achieved utilising X-ray crystallography [64]. The relative configurations of 13-hydroxydihydromelleolide (96), 13-hydroxy-4-methoxymelleolide (99) and 6’-chloro-10α-hydroxymelleolide (101) (Figure 16) were determined using NOESY spectroscopic data [72,87,88]. Unlike the other melleolides, 10α-hydroxymelleolide (97) and 6’-chloro-13-hydroxy-dihydromelleolide (102) were found to be weakly cytotoxic and against CCRF-CEM (IC50 63.23 µM) and Jurkat (IC50 46.6 µM) cells, respectively [68,69]. Upon investigation of the antibacterial properties of some of these compounds, 94 exhibited activity against B. subtilis ATCC6633 and S. aureus ATCC53156 at a minimum loading of 5.6 µg per disk, while 97 and 101 exhibited activity against B. subtilis ATCC6633 (MIC 0.5 µg) and E. coli (MIC 1.0 µg) on bioautographic assays [64,72]. In addition, the latter two also exhibited antifungal activity against C. cucumerinum and C. albicans with MICs of 1.0 µg on bioautographic assays [72].
Figure 16.
Structures of melleolides 94–102 isolated from Armillaria mellea.
Of the melledonals (Figure 17), a group of α,β-unsaturated aldehydes, melledonals A–C (103–105) [82,89], 15-hydroxy-5’-O-methylmelledonal (106) [90] and 5’-O-methylmelledonal (107) [90] were isolated from A. mellea, while melledonals D (108) and E (109) were isolated from Clitocybe elegans [77]. The relative configurations of 105 and 108 were assigned by NOESY spectroscopic analysis of the natural products, while for 103 and 106, analysis was conducted on a diacetate derivative and a dibenzoate derivative, respectively [77,82,89,90]. On the other hand, the relative configurations of 104, 107 and 109 were assigned by biogenetic consideration [77,82,89,90]. The absolute configuration of melledonal C (105) was established by X-ray crystallographic analysis [82]. Of the melledonals, only 105 was found to exhibit cytotoxicity against human cancer cell lines, albeit weakly (CEM IC50 49.6 µM, HT-29 IC50 85.6 µM) [74]. Melledonal (103) and melledonal C (105) were investigated for antifungal activity; only 103 exhibited weak activity (MIC 50 µg/mL) against T. panuoides, O. illudens and F. pinicola [73]. In addition, melledonals A–C (103–105) were found to exhibit antimicrobial activity against B. cereus ATCC10702 and B. subtilis ATCC6633 at a loading of 100 µg per disk with 105 also exhibiting activity against E. coli (MIC 1.0 µg) and C. albicans (MIC 3.0 µg) in bioautographic assays [72,82]. A dihydro derivative of melledonal, melledonol (110) was also isolated from A. mellea [89]. Structure elucidation was conducted by NMR spectroscopic analysis and the relative configuration assigned by biosynthetic consideration [89].
Figure 17.
Structures of melledonals 103–109 and melledonol (110) isolated from the Armillaria and Clitocybe genera of fungi.
Other aryl ester sesquiterpenoids containing Δ2,3-protoilludene skeletons isolated from A. mellea include armillarin (111) [91], armillaridin (112) [91], armillarigin (113) [81], armillarilin (114) [92], armillarinin (115) [92], armillaripin (116) [93], armillaritin (117) [94], armillarivin (118) [94], armillasin (119) [95], armillatin (120) [95], armillaric acid (121) [96], 10α-hydroxyarmillarin (122) [97], 4-O-methylarmillaridin (123) [97], 5’-methoxy-armillasin (124) [84] and 5-hydroxyl-armillarivin (125) [84]. Armillasin (119), armillatin (120) and 5’-methoxy-armillasin (124) are examples of norsesquiterpenoids, while armillaric acid (121) is the first example of an α,β-unsaturated carboxylic acid-containing aryl sesquiterpenoid (Figure 18) [84,95,98]. Assignment of the absolute stereochemistry of 111 was achieved by X-ray crystallographic analysis, while that of 112 was ascertained by consideration of shared biogenetic origins [91]. The relative configurations of 119, 121, 124 and 125 were established by NOESY spectroscopic analysis, while that of 120, 122 and 123 were assigned by biogenetic consideration [84,95,97,98]. Several of these natural products have been reported to exhibit moderate cytotoxicity towards human cancer cell lines [69,70,74,84,85]. Armillarin (111) and armillaridin (112) have been shown to be moderately cytotoxic towards HUVEC (GI50 9.9, 7.8 µM), K-562 (GI50 9.9, 8.9 µM), MCF7 (GI50 11.6, 7.8 µM) and HeLa (CC50 16.7, 9.2 µM) cell lines with the latter also exhibiting cytotoxicity towards H460, CEM, HepG2 and L02 (IC50 4.5 µM, 5.1 µM, 13.37 µg/mL and 12.15 µg/mL) cell lines. Meanwhile, armillarilin (112), armillaritin (117), armillasin (119) and 5-hydroxyl-armillarivin (125) exhibited cytotoxicity towards HepG2 (IC50 13.25, 12.26, 15.63, 18.03 µg/mL) and L02 (IC50 18.00, 31.95, 14.38, 22.70 µg/mL) cells. In addition, the cytotoxicity of armillarigin (113) (IC50 HL-60 14.27 µM, SMMC-7721 19.51 µM, A-546 10.01 µM, MCF7 10.67 µM, SW480 19.19 µM) and 4-O-methylarmillaridin (123) (IC50 MCF7 6.7 µM, Jurkat 4.1 µM, HeLa 18.8 µM) have also been investigated [69,70,74,84,85]. On the other hand, armillaric acid (121) has been shown to exhibit antimicrobial activity against S. aureus 209PJC (19.8 mm), M. lutaus ATCC9341 (8.8 mm) and C. albicans NHL4019 (10.1 mm) in zone of inhibition assays at a loading of 250 µg/mL per disk [96,98].
Figure 18.
Structures of Δ2,3-protoilludene-containing aryl sesquiterpenoids 111–125 isolated from Armillaria mellea.
Armellides A (126) and B (127), isolated from Armillaria novae-zelandiae, were the first examples of aryl ester protoilludanes esterified at the C-1 hydroxyl group (Figure 19) [80]. Two related armellides, 13-deoxyarmellides A (128) and B (129) were later reported from A. mellea [70]. The relative configurations of armellides A (126) and B (127) were determined by NOESY NMR data, while those of 13-deoxyarmellides A (128) and B (129) were assigned by consideration of shared biogenetic origins [70,80]. The cytotoxicity of 127–129 have been investigated and only 129 was found to be cytotoxic, albeit weakly against HUVEC (GI50 91.0 µM), K-562 (GI50 91.8 µM), MCF7 (GI50 90.8 µM) and HeLa (CC50 89.5 µM) cell lines [69,70].
Figure 19.
Structures of armellides 126–129 isolated from the Armillaria genus of fungi.
Another mushroom from the Armillaria genus, A. tabescens, afforded four melleolides including 5β,10α-dihydroxy-1-orsellinate-dihydromelleolide (130), 4-dehydro-14-hydroxydihydromelleolide (131), 4-dehydrodihydromelleolide (132) and 14-hydroxydihydromelleolide (133) (Figure 20) [88]. Assignment of the relative configuration of all four natural products was achieved utilising NOESY spectroscopic data [88].
Figure 20.
Structures of melleolides 130–133 isolated from Armillaria tabescens.
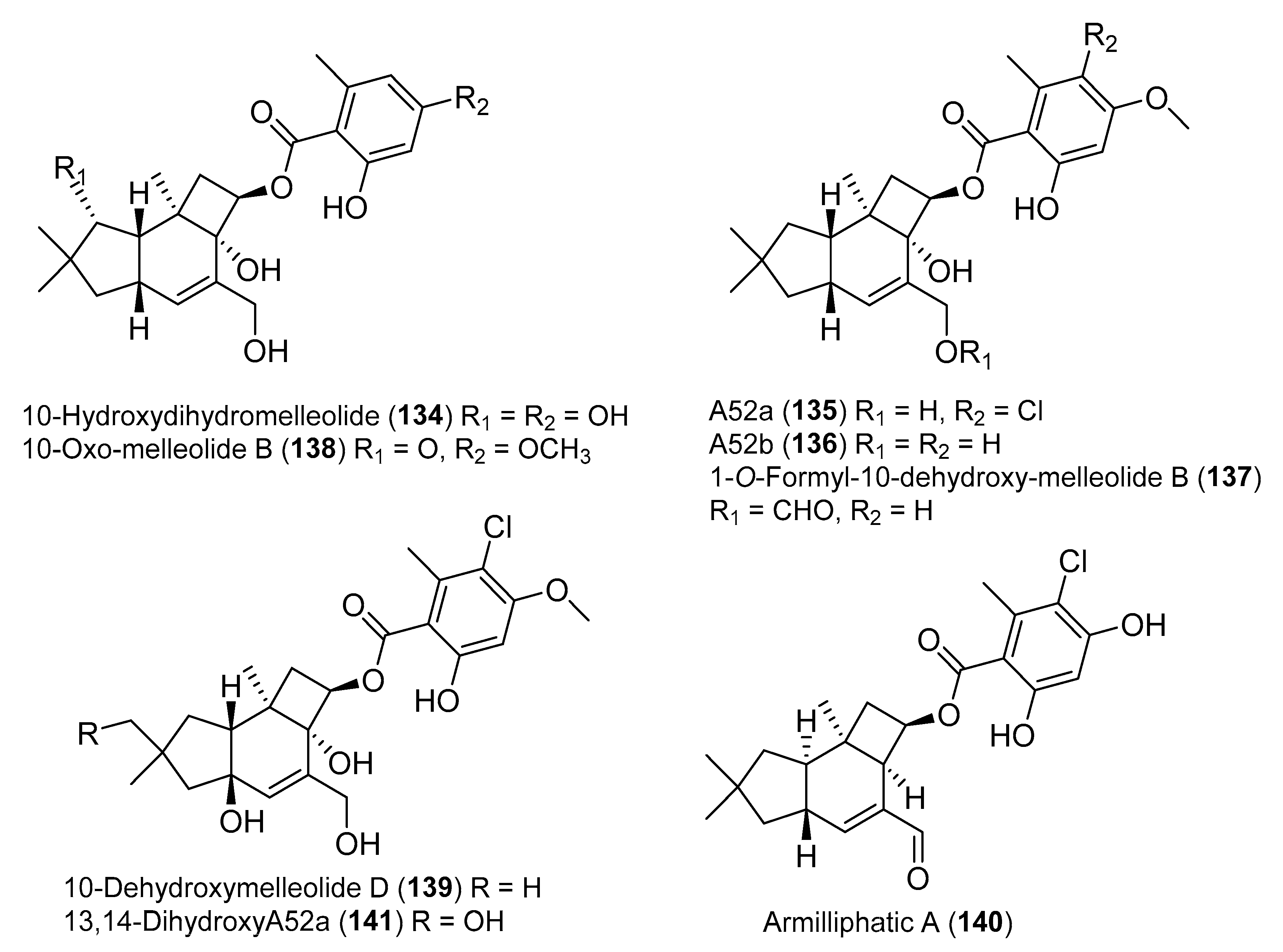
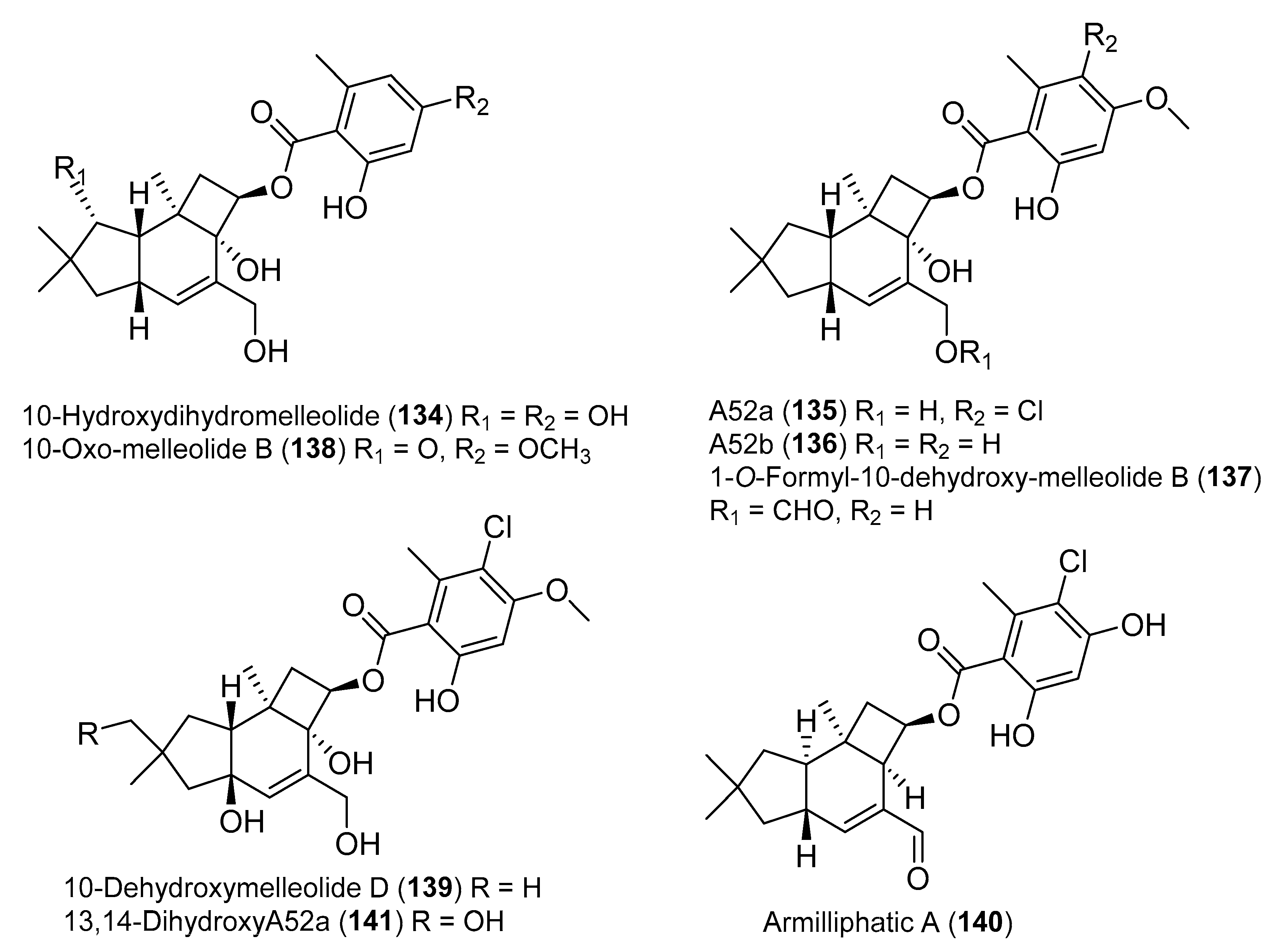
More examples of Δ2,3-protoilludene-type sesquiterpenoid aryl esters were isolated from several undetermined Armillaria spp. (Figure 21). These included 10-hydroxydihydromelleolide (134) [86], A52a (135) [99], A52b (136) [99], 1-O-formyl-10-dehydroxy-melleolide B (137) [85], 10-oxo-melleolide B (138) [85], 10-dehydroxymelleolide D (139) [83] and armilliphatic A (140). Structure elucidation of all seven natural products was achieved by NMR spectroscopic analysis [51,83,85,86,99]. The relative configurations of A52b (136) (also named 10-dehydroxy-melleolide B) and armilliphatic A (140) were determined by analysis of ROESY data, while those of 1-O-formyl-10-dehydroxy-melleolide B (137) and 10-oxo-melleolide B (138) were assigned by biogenetic consideration [51,85,99]. The absolute configurations of 139 and 140 were established by comparison of experimental ECD spectra with those of melleolide D (81) and TDDFT calculated data, respectively [51,83]. A52a (135), A52b (136), 1-O-formyl-10-dehydroxy-melleolide B (137), 10-oxo-melleolide B (138) and armilliphatic A (140) were investigated for cytotoxicity against several cell lines where 138 was found to be non-cytotoxic (IC50 > 40 µM) [51,69,85]. Aryl esters 135–137 and 140 exhibited moderate cytotoxicity against HL-60 (IC50 17.06, 17.79, 14.50, 15.80 µM), SMMC-7721 (IC50 17.77, 20.90, 23.16, 19.42 µM), A-549 (IC50 15.89, 16.79, 18.41, 15.93 µM), MCF7 (IC50 14.10, 16.49, 5.34, 19.22 µM) and SW480 (IC50 15.70, 17.44, 10.77, 23.03 µM) cell lines [51,69,85]. In addition, 135 was also investigated for cytotoxicity against Jurkat (IC50 10.4 µM), HeLa (IC50 40.0 µM) and K-562 (IC50 38.9 µM) cell lines [69]. The antimicrobial activities of 135 and 136 were investigated against Heterobasidion annosum, Gloeophyllum abietinum, E. coli and S. aureus on disks. However, neither were found to be active [99]. Armilliphatic A (140) [51], which was isolated from a co-culture with Epicoccum sp., was found to exhibit weak acetylcholinesterase inhibitory activity (IC50 23.85 ± 0.20 µM) [51]. Another aryl ester, the 13,14-dihydroxylated derivative of A52a (141), was isolated from A. mellea and was found to be non-cytotoxic against MCF7, Jurkat, HeLa and K-562 cell lines (IC50 > 100 µM) [69].
Figure 21.
Structures of Δ2,3-protoilludene-containing aryl sesquiterpenoids 134–141 isolated from the Armillaria genus of fungi.
The last of the three types of aryl ester protoilludane structures can be identified by absence of double bonds in the 5/6/4-ring system. The first example of this type of aryl ester sesquiterpenoid, armillane (142) also known as armillarizin, was isolated from A. mellea (Figure 22) [97]. Other examples of aryl esters with saturated protoilludane skeletons from A. mellea include 5’-methoxy-6’-chloroarmillane (143) [62], 10-hydroxy-5’-methoxy-6’-chloroarmillane (144) [70] and melleolides Q–S (145–147) [74,79]. The relative configurations of 142, 145 and 146 were determined by NOESY spectroscopic analysis, while those of 143 and 144 were assigned by consideration of common biogenetic origins [69,70,74]. Melleolide R (146) is another example of an aryl ester sesquiterpenoid with esterification at the hydroxyl of C-1 [74]. Both 145 and 146 were shown to exhibit moderate cytotoxicity against several human cancer cell lines including MCF7 (IC50 1.5 and 3.7 µM, respectively) and CEM (IC50 10.3 and 3.4 µM, respectively) [74]. In addition, 143 and 144 were also found to be cytotoxic albeit weakly (IC50 > 20 µM and > 40 µM, respectively) against HUVEC, K-562 and MCF7 cell lines [69,70].
Figure 22.
Structures of saturated protoilludane-containing aryl sesquiterpenoids 142–147 isolated from Armillaria mellea.
3. Ascomycota
Ascomycota, which include cup and flask fungi, moulds and most yeasts, account for approximately 60% of the described species of higher fungi and are well known for producing polyketides, non-ribosomal peptides and indole-derived natural products [12]. Fewer sesquiterpenoids have been reported from Ascomycota in comparison to Basidiomycota with only a few species of fungi to date found to have produced protoilludanes bearing the annulated 5/6/4-ring system. The first protoilludane to be isolated from an Ascomycete, Ceratocystis piceae, was Δ6-protoilludene (7) which is a known natural product previously reported from two strains of Basidiomycota [100].
Isomeric allylic alcohols, punctaporonins A (148), D–F (149–151) (also known as punctatins), were isolated from the dung fungus Poronia punctata (Figure 23) [101,102,103]. The structures and absolute configurations of punctaporonins A, D and E (148–150) were solved by X-ray crystallographic analyses of the natural products or in the case of 150, on an acetonide derivative. For punctaporonin F (151), a combination of derivatisation and NMR spectroscopic data comparison with the other punctaporonins was required to assign the structure, while the relative stereochemistry was assigned by biogenetic consideration. Only punctaporonins D (149) and E (150) have been shown to exhibit any bioactivity. In addition, 149 was shown to inhibit a mycelial form of Candida albicans at 1 ppm and 150 inhibited Trichomonas vaginalis at 100 ppm in vitro [101,102,103]. The enantiospecific syntheses of both punctaporonins A (148) and D (149) have been reported [104].
Figure 23.
Structures of punctaporonins 148–153 isolated from the Poronia and Pestalotiopsis genera of fungi.
Two protoilludanes, 6-hydroxypunctaporonin A (152) and E (153) (Figure 23), were isolated from the plant pathogen Pestalotiopsis disseminate [105]. The absolute configuration of 153 was resolved by X-ray crystallographic analysis of a mono-bromobenzoate derivative, while that of 152 was assigned by consideration of shared biogenetic origins. Both 152 and 153 were investigated for their antimicrobial activities against B. subtilis ATCC6051, S. aureus ATCC29213, E. coli ATCC25922 and C. albicans ATCC14053 and 153 was found to exhibit weak activity against the two Gram-positive bacterial strains in disk diffusion assays at a loading of 100 µg per disk [105]. In addition, both compounds 152 and 153 were found to be non-cytotoxic against HeLa cells with IC50 >100 µM [106].
Punctaporonins L (154) and M (155) (Figure 24) were isolated from the sponge-derived fungus, Hansfordia sinuosae [107]. The relative configurations of both natural products were determined by analysis of NOESY spectroscopic data with the absolute stereochemistry of 154 assigned by comparison of optical rotations with 153. The cytotoxicity and antibacterial activity of punctaporonins L (154) and M (155) were investigated. Both 154 and 155 exhibited no antibacterial activity (MIC >125 µM) against E. coli, S. aureus, Bacillus thuringensis or B. subtilis and were weakly cytotoxic (IC50 >10 µM) against HCT-8, Bel7402, BGC823, A549, and A2780 cell lines [107].
Figure 24.
Structures of punctaporonins 154–160 isolated from the Hansfordia and Pestalotiopsis genera of fungi.
Five protoilludanes, punctaporonins N (156) and O (157), 6-hydroxypunctaporonin D (158), 6,13-dihydroxypunctaporonin A (159) and 6,13-dihydroxypunctaporonin E (160) (Figure 24) were isolated from another species in the Pestalotiopsis genus, Pestalotiopsis sp. [108]. NOESY spectroscopic analysis led to assignment of relative configurations of all the natural products except for punctaporonin N (156). The relative and absolute configurations of 156 were assigned based on biosynthetic consideration upon successful conversion of 6-hydroxypunctaporonin A (152) to 156. The absolute configurations of 158 and 159 were ascertained by consideration of shared biogenetic origins with 152. Subsequently, the absolute configurations of 157 and 160 were assigned on biogenetic consideration of 158 and 153, respectively. All five compounds 156–160 were investigated for antimicrobial activity against A. flavus, Fusarium verticillioides, S. aureus, B. subtilis, E. coli and C. albicans at a loading of 100 µg per disk. However, none of the compounds were found active [108].
A further five protoilludanes, punctaporonins O–S (161–165), were isolated from the plant pathogen, Cytospora sp. (Figure 25) [106]. Determination of the absolute configuration of punctaporonin O (161) was achieved by comparison of optical rotations with 6-hydroxypunctaporonin A (152) which led to assignment of the remaining natural products by consideration of shared biogenetic origins. The cytotoxicity of puctaporonins O–S (161–165) were investigated against HeLa cells, where 161, 164 and 165 exhibited moderate cytotoxicity (IC50 16.6, 10.4 and 47.4 µM, respectively), while 162 and 163 were non-cytotoxic (IC50 >100 µM) [106].
Figure 25.
Structures of punctaporonins O–S (161–165) isolated from Cytospora sp.
The plant-derived fungus, Phomopsis sp., afforded eight protoilludanes named phomophyllin B–I (166–173) (Figure 26) [109]. Assignment of the relative configurations of all phomophyllins 166–173 was achieved by NOESY spectroscopic analysis. X-ray crystallographic analysis of 166 and 173 allowed assignment of the absolute configurations of these two natural products. A modified Mosher’s method was utilised to establish the absolute configurations of 170 and 171, while the absolute configurations of the remaining phomophyllins (167–169, 172) were assigned by comparison of experimental ECD spectra with TDDFT calculated ECD spectra. All the phomophyllins (166–173), except for 172, were investigated for inhibition of β-site amyloid precursor protein-cleaving enzyme 1 (BACE1) which is a target for Alzheimer’s disease. They exhibited inhibition rates ranging between 19–40% at a concentration of 40 µM, while exhibiting no hepatoxicity to L-02 liver cells at the same concentration [109].
Figure 26.
Structures of phomophyllins B–I (166–173) isolated from Phomopsis sp.
4. Protoilludanes from Other Sources
A few examples of protoilludanes have been isolated from sources other than fungi (Figure 27). Two marine natural products, paesslerins A (174) and B (175) were isolated from the soft coral Alcyonium paessleri [110]. The relative configurations of 174 and 175 were assigned by NOESY spectroscopic analysis [110]. Both natural products exhibited moderate cytotoxicity in preliminary studies [110]. A stereoselective synthesis for the proposed structure of 174 was reported a few years after its isolation. However, the spectroscopic data was not in agreement resulting in the conclusion that a structure correction was required [111]. More recently, another total synthesis of the suspected structure of 174 was reported for which the spectroscopic data was in agreement with the natural product resulting in revision of the natural product structure [112].
Figure 27.
Structures of protoilludanes 174–180 isolated from marine and plant sources.
The first example of a protoilludane sesquiterpene glucoside, pteridanoside (176), was isolated from the bracken fern Pteridium aquilinum var. caudatum along with its aglycon pteridanone (177) [113]. Determination of the relative configuration of 177 was achieved utilising NOESY spectroscopic data. The absolute configuration of pteridanone was determined by a combination of ECD spectral analysis and conformational calculations upon conversion of 177 to 176. Pteridanoside (176), unlike its aglycon 177, exhibited weak toxicity against brine shrimp, Artemia salina (LC50 = 250 and 62.5 µg/mL, 24 h and 48 h) [113].
Xanthocerapene (178) was isolated from the wood of Xanthoceras sorbifolia with assignment of the relative stereochemistry of the natural product achieved utilising NOESY spectroscopic data [114]. Another protoilludane from a plant source, 2,2,4a,7a-tetramethyldecahydro-1H-cyclobuta[e]inden-5-ol (179), was first detected by gas chromatography mass spectrometry (GC–MS) from 4-year-old Radix et Rhizoma ginseng [115]. More recently, it has also been detected by GC–MS from other species of ginseng. However, the relative stereochemistry of the natural product remains unknown [116,117,118]. Lastly, (3S,4aS,6R,8aS,8bR)-6-hydroxy-3,6,8a-trimethyloctahydro-3,8b-methanocyclobuta[h]chromene-5,9(6H)-dione (180) was isolated from the roots of Lindera strychnifolia [119]. The relative stereochemistry of 180 was assigned by analysis of NOESY data, while the absolute configuration was assigned upon comparison of experimental ECD data with calculated data. The natural product has been reported to improve the cell viability of human umbilical vein endothelial cells injured by oxidised low-density lipoprotein [119].
All 180 protoilludanes were analysed on Datawarrior [120] to calculate descriptors such as lipophilicity (cLogP), aqueous solubility (cLogS) and druglikeness. A total of 173 compounds showed cLogP values of less than 5, which is considered ideal for good absorption across cell membranes, while 139 were considered to have good solubility with cLogS values greater than -4, which are values that more than 80% of the current drugs on the market have (Figure 28). Lastly the compounds were evaluated for their druglikeness which is a descriptor indicating the frequency of occurrence of fragments found in commercial drugs where a positive value states higher amounts of these fragments in the compound. Only 64 protoilludanes showed positive values for the druglikeness ranging from 0 to 2.8. Overall, 51 protoilludanes were found to have good lipophilicity, aqueous solubility and druglikeness properties.
Figure 28.
Comparison of calculated descriptors from Datawarrior for protoilludanes (red) with current FDA-approved drugs (grey).
5. Biosynthetic Studies
The biosynthesis of two protoilludane natural products, coprinolone (51) and Δ6-coprinolone (52), has been investigated using sodium [1,2–13C] acetate labelling experiments [56,57]. In both instances, successful incorporation of [1,2–13C] acetate was confirmed by the presence of enriched carbon signals in the 13C NMR spectrum. Subsequently, 13C–13C connectivities from a 13C-COSY experiment identified the intact acetate units (Figure 29) which were in accordance with the labelling pattern expected for compounds derived from farnesyl diphosphate (Scheme 1) [56,57]. A similar feeding experiment was conducted on Armillaria mellea, to investigate the origin of the orsellinic acid moiety in arnamial (75) using sodium [1,2–13C] acetate [68]. Successful incorporation of [1,2–13C] acetate was observed for orsellinic acid (181), a common biosynthetic intermediate in Armillaria, with 13C-COSY couplings identifying intact acetate units. This experiment supported the hypothesis that orsellinic acid (181) and in turn arnamial (75) were of polyketide origin [68].
Figure 29.
Structures 13C labelled protoilludanes, illustrating the incorporation of intact acetate units (bold).
6. Conclusions
Fungi are a prolific source of sesquiterpenoid protoilludane natural products, which bear a unique 5/6/4 fused-ring system, with 96% of described compounds isolated from higher fungi of which Basidiomycota was the major producer. The total synthesis of only 16 protoilludanes has been undertaken so far, where two were of the non-natural enantiomer, due to the structural complexity of the tricyclic core. Overall, 78% of the isolated protoilludanes have been investigated for their bioactivity, predominantly for antimicrobial and/or cytotoxic properties (89%). Of the 180 examples reported so far (Table S1), 18% were identified as antimicrobials, of which 6% exhibited modest to potent activity, against a range of bacterial and fungal pathogens, while 23% were identified as cytotoxic, with 16% exhibiting modest to potent cytotoxicity, against human cancer cell lines (Figure 30). The diversity of chemical structures in the protoilludane class of natural products combined with their interesting bioactivities make this scaffold worthy of further exploration.
Figure 30.
Summary of protoilludanes isolated to date with their bioactivity.
Supplementary Materials
The following are available online at https://www.mdpi.com/2079-6382/9/12/928/s1, Table S1: A review of fungal protoilludane sesquiterpenoid natural products.
Author Contributions
Investigation, formal analysis, data curation, writing—original draft preparation, M.M.C.; writing—review and editing, B.R.C. and S.W. All authors have read and agreed to the published version of the manuscript.
Funding
This research received no external funding.
Conflicts of Interest
The authors declare no conflict of interest.
References
- Blackwell, M. The Fungi: 1, 2, 3 … 5.1 million species? Am. J. Bot. 2011, 98, 426–438. [Google Scholar] [CrossRef] [PubMed]
- Zhong, J.-J.; Bai, F.-W.; Zhang, W. (Eds.) Biotechnology in China I; Springer: Berlin/Heidelberg, Germany, 2009; ISBN 978-3-540-88414-9. [Google Scholar]
- Schrader, J.; Bohlmann, J. (Eds.) Biotechnology of Isoprenoids; Advances in Biochemical Engineering/Biotechnology; Springer International Publishing: Cham, Germany, 2015; Volume 148, ISBN 978-3-319-20106-1. [Google Scholar]
- Alves, M.J.; Ferreira, I.C.F.R.; Dias, J.; Teixeira, V.; Martins, A.; Pintado, M. A Review on Antimicrobial Activity of Mushroom (Basidiomycetes) Extracts and Isolated Compounds. Planta Med. 2012, 78, 1707–1718. [Google Scholar] [CrossRef] [PubMed]
- Hibbett, D.S.; Binder, M.; Bischoff, J.F.; Blackwell, M.; Cannon, P.F.; Eriksson, O.E.; Huhndorf, S.; James, T.; Kirk, P.M.; Lücking, R.; et al. A higher-level phylogenetic classification of the Fungi. Mycol. Res. 2007, 111, 509–547. [Google Scholar] [CrossRef]
- Bass, D.; Richards, T.A. Three reasons to re-evaluate fungal diversity ‘on Earth and in the ocean’. Fungal Biol. Rev. 2011, 25, 159–164. [Google Scholar] [CrossRef]
- Hans, J.R. Natural Products: The Secondary Metabolites; Royal Society of Chemistry: Cambridge, UK, 2003; Volume 17, ISBN 0-85404-490-6. [Google Scholar]
- Mann, J. Chemical Aspects of Biosynthesis; Oxford Chemistry Primers, 1st ed.; Oxford University Press: Oxford, UK, 1994; ISBN 0-19-855676-4. [Google Scholar]
- Dewick, P.M. Medicinal Natural Products: A Biosynthetic Approach, 2nd ed.; John Wiley & Sons, Ltd.: England, UK, 2002; ISBN 0-471-49641-3. [Google Scholar]
- Dewick, P.M. The biosynthesis of C5–C25 terpenoid compounds. Nat. Prod. Rep. 2002, 19, 181–222. [Google Scholar] [CrossRef] [PubMed]
- Tibrewal, N.; Tang, Y. Biocatalysts for Natural Product Biosynthesis. Annu. Rev. Chem. Biomol. Eng. 2014, 5, 347–366. [Google Scholar] [CrossRef]
- Quin, M.B.; Flynn, C.M.; Schmidt-Dannert, C. Traversing the fungal terpenome. Nat. Prod. Rep. 2014, 31, 1449–1473. [Google Scholar] [CrossRef]
- Nord, C.L.; Menkis, A.; Broberg, A. Cytotoxic Illudane Sesquiterpenes from the Fungus Granulobasidium vellereum (Ellis and Cragin) Jülich. J. Nat. Prod. 2015, 78, 2559–2564. [Google Scholar] [CrossRef]
- Siengalewicz, P.; Mulzer, J.; Rinner, U. Synthesis of Protoilludanes and Related Sesquiterpenes. Eur. J. Org. Chem. 2011, 2011, 7041–7055. [Google Scholar] [CrossRef]
- Burgess, M.L.; Barrow, K.D. Biosynthesis of illudosin, a fomannosane-type sesquiterpene, by the Basidiomycete Omphalotus nidiformis. J. Chem. Soc. Perkin Trans. 1 1999, 1, 2461–2466. [Google Scholar] [CrossRef]
- Anchel, M.; Hervey, A.; Robbins, W.J. Antibiotic Substances from Basidiomycetes: VII. Clitocybe Illudens. Proc. Natl. Acad. Sci. USA 1950, 36, 300–305. [Google Scholar] [CrossRef] [PubMed]
- McMorris, T.C.; Nair, M.S.R.; Anchel, M. Structure of illudol, a sesquiterpenoid triol from Clitocybe illudens. J. Am. Chem. Soc. 1967, 89, 4562–4563. [Google Scholar] [CrossRef]
- McMorris, T.C.; Nair, M.S.R.; Singh, P.; Anchel, M. The Structure of Illudol. Phytochemistry 1971, 10, 1611. [Google Scholar] [CrossRef]
- Matsumoto, T.; Miyano, K.; Kagawa, S.; Yi, S.; Ogawa, J.; Ichihara, A. Total Synthesis of dl-illudol. Tet. Lett. 1971, 38, 3521–3524. [Google Scholar] [CrossRef]
- Nair, M.S.R.; Anchel, M. Metabolic Products of Clitocybe Illudens XI. The Structure of Neoilludol. Tet. Lett. 1975, 14, 1267–1268. [Google Scholar] [CrossRef]
- Arnone, A.; Cardillo, R.; Modugno, V.D.; Nasini, G. Secondary Mould Metabolites. Part 29.’ Isolation and Structure Elucidation of Candicansol, 3-epi-Illudol and 1-O-Acetyl-3-epi-illudol, Novel Sesquiterpenoids from Clitocybe candicans, and Absolute Configuration of 3-epi-llludol. J. Chem. Soc. Perkin Trans. 1 1989, 11, 1995–2000. [Google Scholar] [CrossRef]
- Suzuki, S.; Murayama, T.; Shiono, Y. Echinolactones C and D: Two Illudalane Sesquiterpenoids Isolated from the Cultured Mycelia of the Fungus Echinodontium japonicum. Z. Naturforsch. 2006, 61b, 1295–1298. [Google Scholar] [CrossRef]
- Suzuki, S.; Murayama, T.; Shiono, Y. Illudalane sesquiterpenoids, echinolactones A and B, from a mycelial culture of Echinodontium japonicum. Phytochemistry 2005, 66, 2329–2333. [Google Scholar] [CrossRef]
- Elliott, M.R.; Dhimane, A.-L.; Malacria, M. Biomimetic Diastereoselective Total Synthesis of epi-Illudol via a Transannular Radical Cyclizations Strategy. J. Am. Chem. Soc. 1997, 119, 3427–3428. [Google Scholar] [CrossRef]
- McMorris, T.C.; Kashinatham, A.; Lira, R.; Rundgren, H.; Gantzel, P.K.; Kelner, M.J.; Dawe, R. Sesquiterpenes from Omphalotus illudens. Phytochemistry 2002, 61, 395–398. [Google Scholar] [CrossRef]
- Yang, X.-Y.; Li, Z.-H.; Dong, Z.-J.; Feng, T.; Liu, J.-K. Three new sesquiterpenoids from cultures of the basidiomycete Conocybe siliginea. J. Asian Nat. Prod. Res. 2014, 17, 1–6. [Google Scholar] [CrossRef] [PubMed]
- Nozoe, S.; Kobayashi, H.; Urano, S.; Furukawa, J. Isolation of Δ6-protoilludene and the related alcohols. Tetrahedron Lett. 1977, 18, 1381–1384. [Google Scholar] [CrossRef]
- Furukawa, J.; Morisaki, N.; Kobayashi, H.; Iwasaki, S.; Nozoe, S.; Okuda, S. Synthesis of dl-6-protoilludene. Chem. Pharm. Bull. 1985, 33, 440–443. [Google Scholar] [CrossRef]
- Takeshita, H.; Iwabuchi, H.; Kouno, I.; Iino, M.; Nomura, D. Photochemical construction of the protoilludane skeleton: A total synthesis of protoillud-7-ene and some oxygenated derivatives. Chem. Lett. 1979, 8, 649–652. [Google Scholar] [CrossRef]
- Rabe, P.; Rinkel, J.; Nubbemeyer, B.; Köllner, T.G.; Chen, F.; Dickschat, J.S. Terpene Cyclases from Social Amoebae. Angew. Chem. Int. Ed. 2016, 55, 15420–15423. [Google Scholar] [CrossRef]
- Sasaki, H.; Kubohara, Y.; Ishigaki, H.; Takahashi, K.; Eguchi, H.; Sugawara, A.; Oshima, Y.; Kikuchi, H. Two New Terpenes Isolated from Dictyostelium Cellular Slime Molds. Molecules 2020, 25, 2895. [Google Scholar] [CrossRef]
- Arnone, A.; Nasini, G.; Assante, G.; Roeijmans, H.J.; Van Euk, G.W. Sulcatine, a norsesquiterpene from the fungus Laurilia sulcata. Phytochemistry 1987, 26, 1739–1742. [Google Scholar] [CrossRef]
- Arnone, A.; Nasini, G.; Assante, G.; Eijk, G.W. Three sesquiterpenes produced by the fungus Laurilia sulcata. Phytochemistry 1992, 31, 2047–2050. [Google Scholar] [CrossRef]
- Assante, G.; Dallavalle, S.; Martino, P.A. Protoilludane sesquiterpenoids as scaffold structures for new antimicrobials against Mannheimia haemolytica. J. Antibiot. 2012, 66, 43–45. [Google Scholar] [CrossRef]
- Arnone, A.; Brambilla, U.; Nasini, G.; De Pava, O.V. Isolation and structure elucidation of tsugicolines A-D, novel protoilludane sesquiterpenes from Laurilia tsugicola. Tetrahedron 1995, 51, 13357–13364. [Google Scholar] [CrossRef]
- Arnone, A.; De Gregorio, C.; Meille, S.V.; Nasini, G.; Sidoti, G. Tsugicoline E, a New Polyoxygenated Protoilludane Sesquiterpene from the Fungus Laurilia tsugicola. J. Nat. Prod. 1999, 62, 51–53. [Google Scholar] [CrossRef] [PubMed]
- Zheng, Y.; Shen, Y. Clavicorolides A and B, Sesquiterpenoids from the Fermentation Products of Edible Fungus Clavicorona pyxidata. Org. Lett. 2009, 11, 109–112. [Google Scholar] [CrossRef] [PubMed]
- Zheng, Y.-B.; Lu, C.-H.; Zheng, Z.-H.; Lin, X.-J.; Su, W.-J.; Shen, Y.-M. New Sesquiterpenes from Edible Fungus Clavicorona pyxidata. Helv. Chim. Acta 2008, 91, 2174–2180. [Google Scholar] [CrossRef]
- Clericuzio, M.; Fu, J.; Pan, F.; Pang, Z.; Sterner, O. Structure and absolute configuration of protoilludane sesquiterpenes from Russula delica. Tetrahedron 1997, 53, 9735–9740. [Google Scholar] [CrossRef]
- Clericuzio, M.; Pan, F.; Han, F.; Pang, Z.; Sterner, O. Stearoyldelicone, an unstable protoilludane sesquiterpenoid from intact fruit bodies of Russula delica. Tetrahedron Lett. 1997, 38, 8237–8240. [Google Scholar] [CrossRef]
- Clericuzio, M.; Han, F.; Pan, F.; Pang, Z.; Sterner, O. The Sesquiterpenoid Contents of Fruit Bodies of Russula delica. Acta Chem. Scand. 1998, 52, 1333–1337. [Google Scholar] [CrossRef][Green Version]
- Yoshikawa, K.; Kaneko, A.; Matsumoto, Y.; Hama, H.; Arihara, S. Russujaponols A−F, Illudoid Sesquiterpenes from the Fruiting Body of Russula japonica. J. Nat. Prod. 2006, 69, 1267–1270. [Google Scholar] [CrossRef]
- Clericuzio, M.; Mella, M.; Toma, L.; Finzi, P.V.; Vidari, G. Atlanticones, New Protoilludane Sesquiterpenes from the Mushroom Lactarius atlanticus (Basidiomycetes). Eur. J. Org. Chem. 2002, 6, 988–994. [Google Scholar] [CrossRef]
- Zech, M.S.A.; Jandl, C.; Bach, T. Concise Access to the Skeleton of Protoilludane Sesquiterpenes through a Photochemical Reaction Cascade: Total Synthesis of Atlanticone C. Angew. Chem. Int. Ed. 2019, 58, 14629–14632. [Google Scholar] [CrossRef]
- Bach, T.; Proessdorf, J.; Zech, A.; Jandl, C. Concise Total Synthesis of (+)-Atlanticone C. Synlett 2020, 31, 1598–1602. [Google Scholar] [CrossRef]
- Hirota, M.; Shimizu, Y.; Kamo, T.; Makabe, H.; Shibata, H. New Plant Growth Promoters, Repraesentins A, B and C, from Lactarius repraesentaneus. Biosci. Biotechnol. Biochem. 2003, 67, 1597–1600. [Google Scholar] [CrossRef] [PubMed]
- Takeuchi, T.; Iinuma, H.; Momose, I.; Matsui, S. Antibiotic Pasteurestin A and B and their Manufacture with Agrocybe cylindracea. JP Patent 2002212137, 31 July 2002. [Google Scholar]
- Surup, F.; Hennicke, F.; Sella, N.; Stroot, M.; Bernecker, S.; Pfütze, S.; Stadler, M.; Rühl, M. New terpenoids from the fermentation broth of the edible mushroom Cyclocybe aegerita. Beilstein J. Org. Chem. 2019, 15, 1000–1007. [Google Scholar] [CrossRef] [PubMed]
- Kögl, M.; Brecker, L.; Warrass, R.; Mulzer, J. Total Synthesis and Configurational Assignment of Pasteurestin A and B. Angew. Chem. Int. Ed. 2007, 46, 9320–9322. [Google Scholar] [CrossRef] [PubMed]
- Kögl, M.; Brecker, L.; Warrass, R.; Mulzer, J. Novel Protoilludane Lead Structure for Veterinary Antibiotics: Total Synthesis of Pasteurestins A and B and Assignment of Their Configurations. Eur. J. Org. Chem. 2008, 2008, 2714–2730. [Google Scholar] [CrossRef]
- Li, H.-T.; Tang, L.-H.; Liu, T.; Yang, R.-N.; Yang, Y.-B.; Zhou, H.; Ding, Z.-T. Protoilludane-type sesquiterpenoids from Armillaria sp. by co-culture with the endophytic fungus Epicoccum sp. associated with Gastrodia elata. Bioorganic Chem. 2020, 95, 103503. [Google Scholar] [CrossRef]
- Stärk, A.; Anke, T.; Mocek, U.; Steglich, W.; Kirfel, A.; Will, G. Lentinellic Acid, a Biologically Active Protoilludane Derivative from Lentinellus Species (Basidiomycetes). Z. Naturforsch. C 1988, 43, 177–183. [Google Scholar] [CrossRef]
- Wunder, A.; Anke, T.; Klostermeyer, D.; Steglich, W. Lactarane Type Sesquiterpenoids as Inhibitors of Leukotriene Biosynthesis and Other, New Metabolites from Submerged Cultures of Lentinellus cochleatus (Pers. ex Fr.) Karst. Z. Naturforsch. C 1996, 51, 493–499. [Google Scholar] [CrossRef]
- Fabian, K.; Lorenzen, K.; Anke, T.; Johansson, M.; Sterner, O. Five new bioactive sesquiterpenes from the fungus Radulomyces confluens (Fr.) Christ. Z. Naturforsch. C 1999, 53, 939–945. [Google Scholar] [CrossRef]
- Chang, E.L.; Bolte, B.; Lan, P.; Willis, A.C.; Banwell, M.G. Chemoenzymatic Total Syntheses of the Enantiomers of the Protoilludanes 8-Deoxydihydrotsugicoline and Radudiol. J. Org. Chem. 2016, 81, 2078–2086. [Google Scholar] [CrossRef]
- Starratt, A.N.; Stothers, J.B.; Ward, E.W.B. Coprinolone, an oxygen-bridged protoilludane from the fungus Coprinus psychromorbidus: Structure determination by chemical and n.m.r. studies aided by biosynthetic incorporation of [1,2-13C2]acetate. J. Chem. Soc. Chem. Commun. 1988, 590–591. [Google Scholar] [CrossRef]
- Starratt, A.N.; Ward, E.W.B.; Stothers, J.B. Coprinolone and Δ6-coprinolone: New sesquiterpenes from Coprinus psychromorbidus. Can. J. Chem. 1989, 67, 417–427. [Google Scholar] [CrossRef]
- Nord, C.L.; Menkis, A.; Vasaitis, R.; Broberg, A. Protoilludane sesquiterpenes from the wood decomposing fungus Granulobasidium vellereum (Ellis & Cragin) Jülich. Phytochemistry 2013, 90, 128–134. [Google Scholar] [CrossRef] [PubMed]
- Nord, C.L.; Menkis, A.; Lendel, C.; Vasaitis, R.; Broberg, A. Sesquiterpenes from the saprotrophic fungus Granulobasidium vellereum (Ellis & Cragin) Jülich. Phytochemistry 2014, 102, 197–204. [Google Scholar] [CrossRef] [PubMed]
- Shiono, Y.; Seto, T.; Kamata, M.; Takita, C.; Suzuki, S.; Murayama, T.; Ikeda, M. Protoilludane-Type Sesquiterpenes, Echinocidins A and B, from a Mycelial Culture of Echinodontium tsugicola. Z. Naturforsch. B 2004, 59, 925–929. [Google Scholar] [CrossRef]
- Shiono, Y.; Suzuki, S.; Murayama, T.; Ikeda, M.; Abe, Y. Protoilludane Sequiterpenoids, Echinocidins C and D Produced by a Decay Causing Fungal Strain Echinodontium tsugicola. Z. Naturforsch. B 2005, 60, 449–452. [Google Scholar] [CrossRef]
- Shimoda, K.; Yamaoka, Y.; Yoo, D.; Yamada, K.-I.; Takikawa, H.; Takasu, K. Total Syntheses of Allelopathic 4-Oxyprotoilludanes, Melleolides, and Echinocidins. J. Org. Chem. 2019, 84, 11014–11024. [Google Scholar] [CrossRef]
- Donnelly, D.; Sanada, S.; O’Reilly, J.; Polonky, J.; Prangé, T.; Pascard, C. Isolation and structure (X-ray analysis) of the orsellinate of armillol, a new antibacterial metabolite from Armillaria mellea. J. Chem. Soc. Chem. Commun. 1982, 135–137. [Google Scholar] [CrossRef]
- Donnelly, D.M.X.; Abe, F.; Coveney, D.; Fukuda, N.; O’Reilly, J.; Polonsky, J.; Prangé, T. Antibacterial Sesquiterpene Aryl Esters from Armillaria mellea. J. Nat. Prod. 1985, 48, 10–16. [Google Scholar] [CrossRef]
- Donnelly, D.M.X.; Coveney, D.J.; Fukuda, N.; Polonsky, J. New Sesquiterpene Aryl Esters from Armillaria mellea. J. Nat. Prod. 1986, 49, 111–116. [Google Scholar] [CrossRef]
- Yang, J.-S.; Cong, P.-Z. Mass Spectrometric Studies on the Sesquiterpenol Aromatic Esters from Mycelium of Armillaria Mellea. Huaxue Xuebao 1988, 46, 1093–1100. [Google Scholar]
- Yang, J.S.; Chen, Y.W.; Feng, X.Z.; Yu, D.Q.; He, C.H.; Zheng, Q.T.; Liang, X.T. Isolation and Structure Elucidation of Armillaricin. Planta Med. 2007, 55, 564–565. [Google Scholar] [CrossRef]
- Misiek, M.; Williams, J.; Schmich, K.; Hüttel, W.; Merfort, I.; Salomon, C.E.; Aldrich, C.C.; Hoffmeister, D. Structure and Cytotoxicity of Arnamial and Related Fungal Sesquiterpene Aryl Esters. J. Nat. Prod. 2009, 72, 1888–1891. [Google Scholar] [CrossRef]
- Bohnert, M.; Miethbauer, S.; Dahse, H.-M.; Ziemen, J.; Nett, M.; Hoffmeister, D. In vitro cytotoxicity of melleolide antibiotics: Structural and mechanistic aspects. Bioorganic Med. Chem. Lett. 2011, 21, 2003–2006. [Google Scholar] [CrossRef] [PubMed]
- Bohnert, M.; Nuetzmann, H.-W.; Eschroeckh, V.; Horn, F.; Dahse, H.-M.; Brakhage, A.A.; Hoffmeister, D. Cytotoxic and antifungal activities of melleolide antibiotics follow dissimilar structure–activity relationships. Phytochemistry 2014, 105, 101–108. [Google Scholar] [CrossRef] [PubMed]
- Donnelly, D.M.X.; Polonsky, J.; Prangé, T.; Snatzke, G.; Wagner, U. The absolute configuration of the orsellinate of armillol; application of the coupled oscillator theory. J. Chem. Soc. Chem. Commun. 1984, 222–223. [Google Scholar] [CrossRef]
- Cremin, P.; Donnelly, D.M.X.; Guiry, P.J.; Wolfender, J.-L.; Hostettmann, K. A liquid chromatography–thermospray ionisation–mass spectrometry guided isolation of a new sesquiterpene aryl ester from Armillaria novae-zelandiae. J. Chem. Soc. Perkin Trans. 1 2000, 1, 2325–2329. [Google Scholar] [CrossRef]
- Misiek, M.; Hoffmeister, D. Sesquiterpene aryl ester natural products in North American Armillaria species. Mycol. Prog. 2010, 11, 7–15. [Google Scholar] [CrossRef]
- Chen, C.-C.; Kuo, Y.-H.; Cheng, J.-J.; Sung, P.-J.; Ni, C.-L.; Chen, C.-C.; Shen, C.-C. Three New Sesquiterpene Aryl Esters from the Mycelium of Armillaria mellea. Molecules 2015, 20, 9994–10003. [Google Scholar] [CrossRef] [PubMed]
- Midland, S.L.; Izac, R.R.; Wing, R.M.; Zaki, A.I.; Munnecke, D.E.; Sims, J.J. Melleolide, A new Antibiotic from Armillaria mellea. Tet. Lett. 1982, 23, 2515–2518. [Google Scholar] [CrossRef]
- Arnone, A.; Cardillo, R.; Nasini, G. Structures of melleolides B-D, three antibacterial sesquiterpenoids from Armillaria mellea. Phytochemistry 1986, 25, 471–474. [Google Scholar] [CrossRef]
- Arnone, A.; Cardillo, R.; Di Modugno, V.; Nasini, G. Secondary mould metabolites. XXII. Isolation and structure elucidation of melledonals D and E and melleolides E-H, novel sesquiterpenoid aryl esters from Clitocybe elegans and Armillaria mellea. Gazz. Chim. Ital. 1988, 118, 517–521. [Google Scholar]
- Momose, I.; Sekizawa, R.; Hosokawa, N.; Iinuma, H.; Maisui, S.; Nakamura, H.; Naganawa, H.; Hamada, M.; Takeuchi, T. Melleolides K, L and M, New Melleolides from Armillariella mellea. J. Antibiot. 2000, 53, 137–143. [Google Scholar] [CrossRef] [PubMed]
- Chen, C.-C.; Cheng, J.-J.; Shen, C.-C. Protoilludane Norsesquiterpenoid Esters and Uses Thereof. U.S. Patent 20110262561, 27 October 2011. [Google Scholar]
- Arnone, A.; Cardillo, R.; Nasini, G. Secondary mould metabolites. XXIII. Isolation and structure elucidation of melleolides I and J and armellides A and B, novel sesquiterpenoid aryl esters from Armillaria novae-zelandiae. Gazz. Chim. Ital. 1988, 118, 523–527. [Google Scholar]
- Yang, J.; Su, Y.; Wang, Y.; Feng, X.; Yu, D.; Cong, P.; Tamai, M.; Obuchi, T.; Kondoh, H.; Liang, X. Isolation and Structures of Two New Sesquiterpenoid Aromatic Esters: Armillarigin and Armillarikin1. Planta Medica 1989, 55, 479–481. [Google Scholar] [CrossRef]
- Arnone, A.; Cardillo, R.; Nasini, G.; Meille, S.V. Secondary mould metabolites. Part 19. Structure elucidation and absolute configuration of melledonals B and C, novel antibacterial sesquiterpenoids from Armillaria mellea. X-Ray molecular structure of melledonal C. J. Chem. Soc. Perkin Trans. 1 1988, 1, 503. [Google Scholar] [CrossRef]
- Kobori, H.; Sekiya, A.; Suzuki, T.; Choi, J.-H.; Hirai, H.; Kawagishi, H. Bioactive Sesquiterpene Aryl Esters from the Culture Broth of Armillaria sp. J. Nat. Prod. 2015, 78, 163–167. [Google Scholar] [CrossRef]
- Li, Z.; Wang, Y.; Jiang, B.; Li, W.; Zheng, L.; Yang, X.; Bao, Y.; Sun, L.; Huang, Y.-X.; Li, Y. Structure, cytotoxic activity and mechanism of protoilludane sesquiterpene aryl esters from the mycelium of Armillaria mellea. J. Ethnopharmacol. 2016, 184, 119–127. [Google Scholar] [CrossRef]
- Yin, X.; Feng, T.; Liu, J.-K. Structures and cytotoxicities of three new sesquiterpenes from cultures of Armillaria sp. Nat. Prod. Bioprospect. 2012, 2, 245–248. [Google Scholar] [CrossRef][Green Version]
- Cremin, P.; Donnelly, D.M.; Wolfender, J.-L.; Hostettmann, K. Liquid chromatographic-thermospray mass spectrometric analysis of sesquiterpenes of Armillaria (Eumycota: Basidiomycotina) species. J. Chromatogr. A 1995, 710, 273–285. [Google Scholar] [CrossRef]
- Donnelly, D.M.; Hutchinson, R.M.; Coveney, D.; Yonemitsu, M. Sesquiterpene aryl esters from Armillaria mellea. Phytochemistry 1990, 29, 2569–2572. [Google Scholar] [CrossRef]
- Donnelly, D.M.; Konishi, T.; Dunne, O.; Cremin, P. Sesquiterpene aryl esters from Armillaria tabescens. Phytochemistry 1997, 44, 1473–1478. [Google Scholar] [CrossRef]
- Donnelly, D.M.; Coveney, D.J.; Polonsky, J. Melledonal and melledonol, sesquiterpene esters from Armillaria mellea. Tetrahedron Lett. 1985, 26, 5343–5344. [Google Scholar] [CrossRef]
- Donnelly, D.M.; Quigley, P.F.; Coveney, D.J.; Polonsky, J. Two new sesquiterpene esters from Armillaria mellea. Phytochemistry 1987, 26, 3075–3077. [Google Scholar] [CrossRef]
- Yang, J.; Yuwu, C.; Xiaozhang, F.; Dequan, Y.; XiaoTian, L. Chemical Constituents of Armillaria mellea Mycelium I. Isolation and Characterization of Armillarin and Armillaridin. Planta Medica 1984, 50, 288–290. [Google Scholar] [CrossRef]
- Yang, J.S.; Su, Y.L.; Wang, Y.L.; Feng, X.Z.; Yu, D.Q.; Liang, X.T. Studies on the chemical constituents of Armillaria mellea mycelium. V. Isolation and characterization of armillarilin and armillarinin. Yao Xue Xue Bao 1990, 25, 24–28. [Google Scholar]
- Yang, J.S.; Su, Y.L.; Wang, Y.L.; Feng, X.Z.; Yu, D.Q.; Liang, X.T.; He, C.H.; Zheng, Q.T. Chemical constituents of Armillaria mellea mycelium. VI. Isolation and structure of armillaripin. Yao Xue Xue Bao 1990, 25, 353–356. [Google Scholar]
- Yang, J.S.; Su, Y.L.; Wang, Y.L.; Feng, X.Z.; Yu, D.Q.; Liang, X.T. Chemical constituents of Armillaria mellea mycelium. VII. Isolation and characterization of chemical constituents of the acetone extract. Yao Xue Xue Bao 1991, 26, 117–122. [Google Scholar]
- Yang, J.; Su, Y.; Wang, Y.; Feng, X.; Yu, D.; Liang, X. Two Novel Protoilludane Norsesquiterpenoid Esters, Armillasin and Armillatin, from Armillaria mellea. Planta Med. 1991, 57, 478–480. [Google Scholar] [CrossRef]
- Yang, J.S.; Watube, S. Antibiotic Armillaric Acid and Its Manufacture with Armillaria mellea. CN Patent 1034956, 23 August 1989. [Google Scholar]
- Donnelly, D.M.; Hutchinson, R.M. Armillane, a saturated sesquiterpene ester from Armillaria mellea. Phytochemistry 1990, 29, 179–182. [Google Scholar] [CrossRef]
- Obuchi, T.; Kondoh, H.; Watanabe, N.; Tamai, M.; Imura, S.; Jun-Shan, Y.; Xiao-Tian, L. Armillaric Acid, A New Antibiotic Produced by Armillaria mellea. Planta Med. 1990, 56, 198–201. [Google Scholar] [CrossRef]
- Sonnenbichler, J.; Guillaumin, J.-J.; Peipp, H.; Schwarz, D. Secondary metabolites from dual cultures of genetically different Armillaria isolates. For. Pathol. 1997, 27, 241–249. [Google Scholar] [CrossRef]
- Hanssen, H.-P.; Sprecher, E.; Abraham, W.-R. 6-Protoilludene, the major volatile metabolite from ceratocystis piceae liquid cultures. Phytochemistry 1986, 25, 1979–1980. [Google Scholar] [CrossRef]
- Anderson, J.R.; Briant, C.E.; Edwards, R.L.; Mabelis, R.P.; Poyser, J.P.; Spencer, H.; Whalley, A.J.S. Punctatin A (antibiotic M95464): X-ray crystal structure of a sesquiterpene alcohol with a new carbon skeleton from the fungus, Paronia punctata. J. Chem. Soc., Chem. Commun. 1984, 7, 405–406. [Google Scholar] [CrossRef]
- Poyser, J.P.; Edwards, R.L.; Anderson, J.R.; Hursthouse, M.B.; Walker, N.P.C.; Sheldrick, G.M.; Whalley, A.J.S. Punctatins A,D,E, and F (antibiotics M95464, M167906, M171950, and M189122), isomeric allylic alcohols from the fungus Poronia punctata: X-ray crystal structures of D and of E acetonide. J. Antibiot. 1986, 39, 167–169. [Google Scholar] [CrossRef] [PubMed]
- Anderson, J.R.; Edwards, R.L.; Poyser, J.P.; Whalley, A.J.S. Metabolites of the higher fungi. Part 23. The punctaporonins. Novel bi-, tri-, and tetra-cyclic sesquiterpenes related to caryophyllene, from the fungus Poronia punctate (Linnaeus:Fries) Fries. J. Chem. Soc. Perkin Trans. 1 1988, 1, 823. [Google Scholar] [CrossRef]
- Sugimura, T.; Paquette, L.A. Enantiospecific total synthesis of the sesquiterpene antibiotics (-)-punctatin A and (+)-punctatin D. J. Am. Chem. Soc. 1987, 109, 3017–3024. [Google Scholar] [CrossRef]
- Deyrup, S.T.; Swenson, D.C.; Gloer, J.B.; Wicklow, D.T. Caryophyllene Sesquiterpenoids from a Fungicolous Isolate of Pestalotiopsis disseminata. J. Nat. Prod. 2006, 69, 608–611. [Google Scholar] [CrossRef]
- Li, Y.; Wang, Q.; Liu, X.; Che, Y. Punctaporonins N–S, New Caryophyllene Sesquiterpenoids from Cytospora sp. BioMed Res. Int. 2017, 2017, 1–7. [Google Scholar] [CrossRef]
- Wu, Z.-H.; Liu, D.; Proksch, P.; Guo, P.; Lin, W. Punctaporonins H–M: Caryophyllene-Type Sesquiterpenoids from the Sponge-Associated Fungus Hansfordia sinuosae. Mar. Drugs 2014, 12, 3904–3916. [Google Scholar] [CrossRef]
- Hwang, I.H.; Wicklow, D.T.; Gloer, J.B. New punctaporonins from two fungicolous isolates of Pestalotiopsis sp. Phytochem. Lett. 2016, 16, 257–262. [Google Scholar] [CrossRef]
- Xie, S.; Wu, Y.; Qiao, Y.; Guo, Y.; Wang, J.; Hu, Z.; Zhang, Q.; Li, X.; Huang, J.; Zhou, Q.; et al. Protoilludane, Illudalane, and Botryane Sesquiterpenoids from the Endophytic Fungus Phomopsis sp. TJ507A. J. Nat. Prod. 2018, 81, 1311–1320. [Google Scholar] [CrossRef] [PubMed]
- Brasco, M.F.R.; Seldes, A.M.; Palermo, J.A. Paesslerins A and B: Novel Tricyclic Sesquiterpenoids from the Soft Coral Alcyonium aessleri. Org. Lett. 2001, 3, 1415–1417. [Google Scholar] [CrossRef] [PubMed]
- Inanaga, K.; Takasu, K.; Ihara, M. Rapid Assembly of Polycyclic Substances by a Multicomponent Cascade (4 + 2)−(2 + 2) Cycloadditions: Total Synthesis of the Proposed Structure of Paesslerin A. J. Am. Chem. Soc. 2004, 126, 1352–1353. [Google Scholar] [CrossRef] [PubMed]
- Mogi, Y.; Inanaga, K.; Tokuyama, H.; Ihara, M.; Yamaoka, Y.; Yamada, K.-I.; Takasu, K. Rapid Assembly of Protoilludane Skeleton through Tandem Catalysis: Total Synthesis of Paesslerin A and Its Structural Revision. Org. Lett. 2019, 21, 3954–3958. [Google Scholar] [CrossRef] [PubMed]
- Castillo, U.F.; Sakagami, Y.; Alonso-Amelot, M.; Ojika, M. Pteridanoside, the first protoilludane sesquiterpene glucoside as a toxic component of the neotropical bracken fern Pteridium aquilinum var. caudatum. Tetrahedron 1999, 55, 12295–12300. [Google Scholar] [CrossRef]
- Ma, C.M.; Nakamura, N.; Nawawi, A.; Hattori, M.; Cai, S.Q. A Novel Protoilludane Sesquiterpene from the Wood of Xanthoceras sorbifolia. Chin. Chem. Lett. 2004, 15, 65–67. [Google Scholar]
- Wang, J.; Zhang, L.-X.; Zhao, Y.; Chen, W.-X.; Yang, Q.; Wang, Y.-X. Volatile Oil Contents and Their Variation Law of RADIX ET RHIZOMA GINSENG in Changbai Mountain Areas. Med. Plant 2011, 2, 40–43, 51. [Google Scholar]
- Jiao, H.-Y.; Wang, Y.-S.; Mo, X.-L.; Zhang, X.-T.; Zeng, Q.-Q. Analysis of volatile components of Pogostemon cablin from Indonesia and China. Jinri Yaoxue 2013, 23, 1–3, 10. [Google Scholar]
- Tong, H.-F.; Xue, J.; Tong, Y.-L. Analysis of volatile components from ginseng and American ginseng for identification by GC-MS. Zhongyiyao Xuebao 2013, 41, 49–54. [Google Scholar]
- Wang, W.; Liu, X.; Liu, J.; Cai, E.; Zhao, Y.; Li, H.; Zhang, L.; Li, P.; Gao, Y. Sesquiterpenoids from the Root of Panax ginseng Attenuates Lipopolysaccharide-Induced Depressive-Like Behavior through the Brain-Derived Neurotrophic Factor/Tropomyosin-Related Kinase B and Sirtuin Type 1/Nuclear Factor-κB Signaling Pathways. J. Agric. Food Chem. 2017, 66, 265–271. [Google Scholar] [CrossRef]
- Wu, J. Protoilludane Sesquiterpenoid Compound, Preparation Method and Medical Applications Thereof. CN Patent 105418544, 23 March 2016. [Google Scholar]
- Sander, T.; Freyss, J.; Von Korff, M.; Rufener, C. DataWarrior: An Open-Source Program for Chemistry Aware Data Visualization and Analysis. J. Chem. Inf. Model. 2015, 55, 460–473. [Google Scholar] [CrossRef] [PubMed]
Publisher’s Note: MDPI stays neutral with regard to jurisdictional claims in published maps and institutional affiliations. |
© 2020 by the authors. Licensee MDPI, Basel, Switzerland. This article is an open access article distributed under the terms and conditions of the Creative Commons Attribution (CC BY) license (http://creativecommons.org/licenses/by/4.0/).






























