Investigation of a Truncated Aptamer for Ofloxacin Detection Using a Rapid FRET-Based Apta-Assay
Abstract
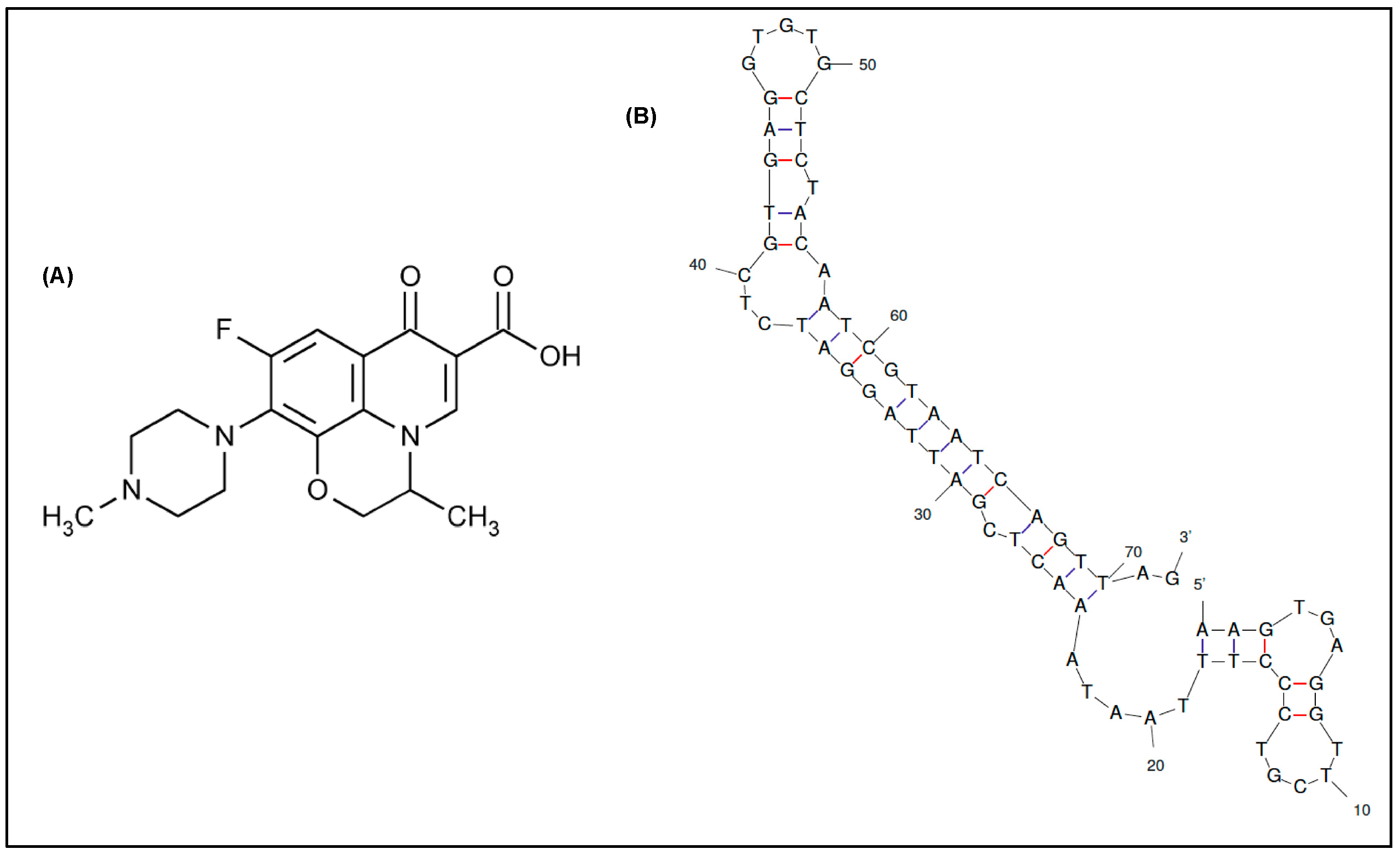
- A 72-mer truncated aptamer is investigated for the first time in the analysis of ofloxacin.
- The optimal binding site responsible for OFL recognition is confirmed using molecular docking studies and FRET-based experiments.
- A rapid, simple, and low-cost fluorometric apta-assay for the detection and quantification of ofloxacin is described.
- Aptamer truncation enhanced the selectivity toward ofloxacin than other structurally comparable fluoroquinolones.
1. Introduction
2. Results
2.1. Molecular Docking Studies
2.2. FRET-Based Apta-Assay
2.2.1. UV Spectroscopy Characterization
2.2.2. Apta-Assay Optimization
Aptamer Fluorescence
Quenching Step
- -
- Molar ratio FAM/TAMRA
- -
- Quenching time
Ofloxacin Incubation
- -
- F1: FL intensity after quenching;
- -
- F2: FL intensity after ofloxacin addition.
2.3. Ofloxacin Aptasensing
2.4. Selectivity of the Apta-Assay
2.5. Milk Samples Analysis
3. Discussion
4. Conclusions
5. Materials and Methods
5.1. Materials and Reagents
5.2. Apparatuses
5.3. Molecular Docking
5.4. Fluorescence Measurements
5.5. Milk Samples Preparation
Supplementary Materials
Author Contributions
Funding
Acknowledgments
Conflicts of Interest
References
- Ball, P. The Quinolones: History and Overview. In The Quinolones; Elsevier: San Diego, CA, USA, 2000; Volume 19, pp. 1–31. [Google Scholar]
- Emmerson, A.M.; Jones, A.M. The quinolones: Decades of development and use. J. Antimicrob. Chemother. 2003, 51, 13–20. [Google Scholar] [CrossRef]
- Barton, M.D. Antibiotic use in animal feed and its impact on human health. Nutr. Res. Rev. 2000, 13, 279–299. [Google Scholar] [CrossRef]
- Shankar, P.R. Book review: Tackling drug-resistant infections globally. Arch. Pharm. Pract. 2016, 7, 110. [Google Scholar] [CrossRef]
- Zhang, D.; Cui, Y.; Zhang, X. Estimating Factors Related to Fluoroquinolone Resistance Based on One Health Perspective: Static and Dynamic Panel Data Analyses From Europe. Front. Pharmacol. 2019, 10. [Google Scholar] [CrossRef]
- Aldred, K.J.; Kerns, R.J.; Osheroff, N. Mechanism of Quinolone Action and Resistance. Biochemistry 2014, 53, 1565–1574. [Google Scholar] [CrossRef]
- Wright, G.D. Molecular mechanisms of antibiotic resistance. Chem. Commun. 2011, 47, 4055–4061. [Google Scholar] [CrossRef]
- Tandan, M.; Cormican, M.; Vellinga, A. Adverse events of fluoroquinolones vs. other antimicrobials prescribed in primary care: A systematic review and meta-analysis of randomized controlled trials. Int. J. Antimicrob. Agents 2018, 52, 529–540. [Google Scholar] [CrossRef]
- Japanese Ministry of Health, Labour and Welfare (MHLW), Department of Food Safety. Director Notice about Analytical Methods for Residual Compositional Substances for Agricultural Chemicals, Feed Additives, and Veterinary Drugs in Food; Syoku-AN No. 0124001; MHLW: Tokyo, Japan, 2006.
- European Food Safety Authority. The European Union summary report on antimicrobial resistance in zoonotic and indicator bacteria from humans, animals and food in 2014. EFSA J. 2016, 14. [Google Scholar] [CrossRef]
- Pikkemaat, M.G. Microbial screening methods for detection of antibiotic residues in slaughter animals. Anal. Bioanal. Chem. 2009, 395, 893–905. [Google Scholar] [CrossRef]
- Dasgupta, A. Advances in antibiotic measurement. In Advances in Clinical Chemistry; Elsevier: Houston, TX, USA, 2012; pp. 75–104. [Google Scholar]
- Majdinasab, M.; Mishra, R.K.; Tang, X.; Marty, J.L. Detection of antibiotics in food: New achievements in the development of biosensors. TrAC Trends Anal. Chem. 2020, 127, 115883. [Google Scholar] [CrossRef]
- Majdinasab, M.; Mitsubayashi, K.; Marty, J.L. Optical and Electrochemical Sensors and Biosensors for the Detection of Quinolones. Trends Biotechnol. 2019, 37, 898–915. [Google Scholar] [CrossRef]
- Pollap, A.; Kochana, J. Electrochemical Immunosensors for Antibiotic Detection. Biosensors 2019, 9, 61. [Google Scholar] [CrossRef]
- Mehlhorn, A.; Rahimi, P.; Joseph, Y. Aptamer-Based Biosensors for Antibiotic Detection: A Review. Biosensors 2018, 8, 54. [Google Scholar] [CrossRef]
- Radom, F.; Jurek, P.M.; Mazurek, M.P.; Otlewski, J.; Jeleń, F. Aptamers: Molecules of great potential. Biotechnol. Adv. 2013, 31, 1260–1274. [Google Scholar] [CrossRef]
- Zhou, Y.; Mahapatra, C.; Chen, H.; Peng, X.; Ramakrishna, S.; Nanda, H.S. Recent developments in fluorescent aptasensors for detection of antibiotics. Curr. Opin. Biomed. Eng. 2020, 13, 16–24. [Google Scholar] [CrossRef]
- Youn, H.; Lee, K.; Her, J.; Jeon, J.; Mok, J.; So, J.; Shin, S.; Ban, C. Aptasensor for multiplex detection of antibiotics based on FRET strategy combined with aptamer/graphene oxide complex. Sci. Rep. 2019, 9, 7659. [Google Scholar] [CrossRef]
- Dolati, S.; Ramezani, M.; Nabavinia, M.S.; Soheili, V.; Abnous, K.; Taghdisi, S.M. Selection of specific aptamer against enrofloxacin and fabrication of graphene oxide based label-free fluorescent assay. Anal. Biochem. 2018, 549, 124–129. [Google Scholar] [CrossRef]
- Ruscito, A.; DeRosa, M.C. Small-Molecule Binding Aptamers: Selection Strategies, Characterization, and Applications. Front. Chem. 2016, 4. [Google Scholar] [CrossRef]
- Zhang, N.; Liu, B.; Cui, X.; Li, Y.; Tang, J.; Wang, H.; Zhang, D.; Li, Z. Recent advances in aptasensors for mycotoxin detection: On the surface and in the colloid. Talanta 2021, 223, 121729. [Google Scholar] [CrossRef]
- Mousivand, M.; Anfossi, L.; Bagherzadeh, K.; Barbero, N.; Mirzadi-Gohari, A.; Javan-Nikkhah, M. In silico maturation of affinity and selectivity of DNA aptamers against aflatoxin B1 for biosensor development. Anal. Chim. Acta 2020, 1105, 178–186. [Google Scholar] [CrossRef]
- Reinemann, C.; Strehlitz, B.; Stoltenburg, R. Fluorchinolon-Specific Aptamers. European Patent Office EP2774988A1, 10 September 2014. [Google Scholar]
- Reinemann, C.; Freiin von Fritsch, U.; Rudolph, S.; Strehlitz, B. Generation and characterization of quinolone-specific DNA aptamers suitable for water monitoring. Biosens. Bioelectron. 2016, 77, 1039–1047. [Google Scholar] [CrossRef]
- Pan, W.; Clawson, G. The Shorter the Better: Reducing Fixed Primer Regions of Oligonucleotide Libraries for Aptamer Selection. Molecules 2009, 14, 1353–1369. [Google Scholar] [CrossRef]
- Zuker, M. Mfold web server for nucleic acid folding and hybridization prediction. Nucleic Acids Res. 2003, 31, 3406–3415. [Google Scholar] [CrossRef] [PubMed]
- Sirajuddin, M.; Ali, S.; Badshah, A. Drug–DNA interactions and their study by UV–Visible, fluorescence spectroscopies and cyclic voltametry. J. Photochem. Photobiol. B Biol. 2013, 124, 1–19. [Google Scholar] [CrossRef]
- Wei, C.; Wang, J.; Zhang, M. Spectroscopic study on the binding of porphyrins to (G4T4G4)4 parallel G-quadruplex. Biophys. Chem. 2010, 148, 51–55. [Google Scholar] [CrossRef]
- Sjöback, R.; Nygren, J.; Kubista, M. Absorption and fluorescence properties of fluorescein. Spectrochim. Acta Part A Mol. Biomol. Spectrosc. 1995, 51, L7–L21. [Google Scholar] [CrossRef]
- Pilehvar, S.; Reinemann, C.; Bottari, F.; Vanderleyden, E.; Van Vlierberghe, S.; Blust, R.; Strehlitz, B.; De Wael, K. A joint action of aptamers and gold nanoparticles chemically trapped on a glassy carbon support for the electrochemical sensing of ofloxacin. Sens. Actuators B Chem. 2017, 240, 1024–1035. [Google Scholar] [CrossRef]
- Zhou, X.; Wang, L.; Shen, G.; Zhang, D.; Xie, J.; Mamut, A.; Huang, W.; Zhou, S. Colorimetric determination of ofloxacin using unmodified aptamers and the aggregation of gold nanoparticles. Microchim. Acta 2018, 185, 355. [Google Scholar] [CrossRef]
- Qin, X.; Geng, L.; Wang, Q.; Wang, Y. Photoelectrochemical aptasensing of ofloxacin based on the use of a TiO2 nanotube array co-sensitized with a nanocomposite prepared from polydopamine and Ag2S nanoparticles. Microchim. Acta 2019, 186, 430. [Google Scholar] [CrossRef]
- Yan, Z.; Yi, H.; Wang, L.; Zhou, X.; Yan, R.; Zhang, D.; Wang, S.; Su, L.; Zhou, S. Fluorescent aptasensor for ofloxacin detection based on the aggregation of gold nanoparticles and its effect on quenching the fluorescence of Rhodamine B. Spectrochim. Acta Part A Mol. Biomol. Spectrosc. 2019, 221, 117203. [Google Scholar] [CrossRef]
- Huang, Y.; Wang, C.; Huo, Q.; Song, Y.; Du, G.; Wang, L.; Yang, X.; Chen, X. A time-resolved luminescence aptasensor of ofloxacin based on rolling circle amplification and magnetic separation. Anal. Bioanal. Chem. 2020, 412, 4555–4563. [Google Scholar] [CrossRef]
- Yi, H.; Yan, Z.; Wang, L.; Zhou, X.; Yan, R.; Zhang, D.; Shen, G.; Zhou, S. Fluorometric determination for ofloxacin by using an aptamer and SYBR Green I. Microchim. Acta 2019, 186, 668. [Google Scholar] [CrossRef]
- Ben Aissa, S.; Mars, A.; Catanante, G.; Marty, J.L.; Raouafi, N. Design of a redox-active surface for ultrasensitive redox capacitive aptasensing of aflatoxin M1 in milk. Talanta 2019, 195, 525–532. [Google Scholar] [CrossRef]
- Popenda, M.; Szachniuk, M.; Antczak, M.; Purzycka, K.J.; Lukasiak, P.; Bartol, N.; Blazewicz, J.; Adamiak, R.W. Automated 3D structure composition for large RNAs. Nucleic Acids Res. 2012, 40. [Google Scholar] [CrossRef]
- Lu, X.-J.; Olson, W.K. 3DNA: A versatile, integrated software system for the analysis, rebuilding and visualization of three-dimensional nucleic-acid structures. Nat. Protoc. 2008, 3, 1213–1227. [Google Scholar] [CrossRef]
- Biovia, D.D.S. Discovery Studio Modeling Environment; Release 4; Dassault Systemes: San Diego, CA, USA, 2015. [Google Scholar]










| Sample | Added OFL (mM) | Found OFL (mM) | RSD (%) (n = 3) | Recovery 1 (%) |
|---|---|---|---|---|
| 1 | 10 | 10.6 | 3.9 | 105.5 |
| 2 | 50 | 55.7 | 4.1 | 111.4 |
| 3 | 125 | 121.7 | 4.0 | 97.4 |
| Detection Strategy | Aptamer Length (nt) | Linear Range (M) | LOD (M) | Detection Time (min) | Real Sample | Ref. |
|---|---|---|---|---|---|---|
| Electrochemical aptasensor based on modified glassy carbon electrode with Au NPs/Aptamer | 98 | 5 × 10−8–2 × 10−5 | 1 × 10−9 | 0.4 | Tap water and effluent of sewage plant samples | [31] |
| Colorimetric apta-assay using label-free aptamers and the aggregation of gold nanoparticles | 98 | 2 × 10−8–4 × 10−7 | 3.4 × 10−9 | 70 | Tap water and Artificial urine | [32] |
| Photoelectrochemical aptasensing based on the use of a nanocomposites (TiO2 NTs, polydopamine and Ag2S NPs) | 98 | 5 × 10−12–1 × 10−7 | 0.75 × 10−12 | 60 | Milk | [33] |
| Fluorescent aptasensor based on the aggregation of AuNPs and its effect on quenching the fluorescence of Rhodamine B | 98 | 2 × 10−8–3 × 10−7 | 1.66 × 10−9 | 50 | Milk | [34] |
| Luminescence-based aptasensor using rolling circle amplification and magnetic separation | 98 | 5 × 10−11–5 × 10−8 | 3.21 × 10−11 | 120 | Chicken and pork | [35] |
| Fluorometric assay by using an aptamer and SYBR Green I | 98 | 1.1 × 10−9–200 × 10−9 | 0.34 × 10−9 | <40 | Tap water, river water and artificial urine | [36] |
| FRET-based competitive apta-assay using FAM-labelled truncated aptamer | 72 | 2 × 10−7–2 × 10−5 | 1.2 × 10−7 | 5 | Milk | This work |
Publisher’s Note: MDPI stays neutral with regard to jurisdictional claims in published maps and institutional affiliations. |
© 2020 by the authors. Licensee MDPI, Basel, Switzerland. This article is an open access article distributed under the terms and conditions of the Creative Commons Attribution (CC BY) license (http://creativecommons.org/licenses/by/4.0/).
Share and Cite
Ben Aissa, S.; Mastouri, M.; Catanante, G.; Raouafi, N.; Marty, J.L. Investigation of a Truncated Aptamer for Ofloxacin Detection Using a Rapid FRET-Based Apta-Assay. Antibiotics 2020, 9, 860. https://doi.org/10.3390/antibiotics9120860
Ben Aissa S, Mastouri M, Catanante G, Raouafi N, Marty JL. Investigation of a Truncated Aptamer for Ofloxacin Detection Using a Rapid FRET-Based Apta-Assay. Antibiotics. 2020; 9(12):860. https://doi.org/10.3390/antibiotics9120860
Chicago/Turabian StyleBen Aissa, Sondes, Mohamed Mastouri, Gaëlle Catanante, Noureddine Raouafi, and Jean Louis Marty. 2020. "Investigation of a Truncated Aptamer for Ofloxacin Detection Using a Rapid FRET-Based Apta-Assay" Antibiotics 9, no. 12: 860. https://doi.org/10.3390/antibiotics9120860
APA StyleBen Aissa, S., Mastouri, M., Catanante, G., Raouafi, N., & Marty, J. L. (2020). Investigation of a Truncated Aptamer for Ofloxacin Detection Using a Rapid FRET-Based Apta-Assay. Antibiotics, 9(12), 860. https://doi.org/10.3390/antibiotics9120860

