Rational Design of New Monoterpene-Containing Azoles and Their Antifungal Activity
Abstract
1. Introduction
2. Results and Discussion
2.1. Chemistry
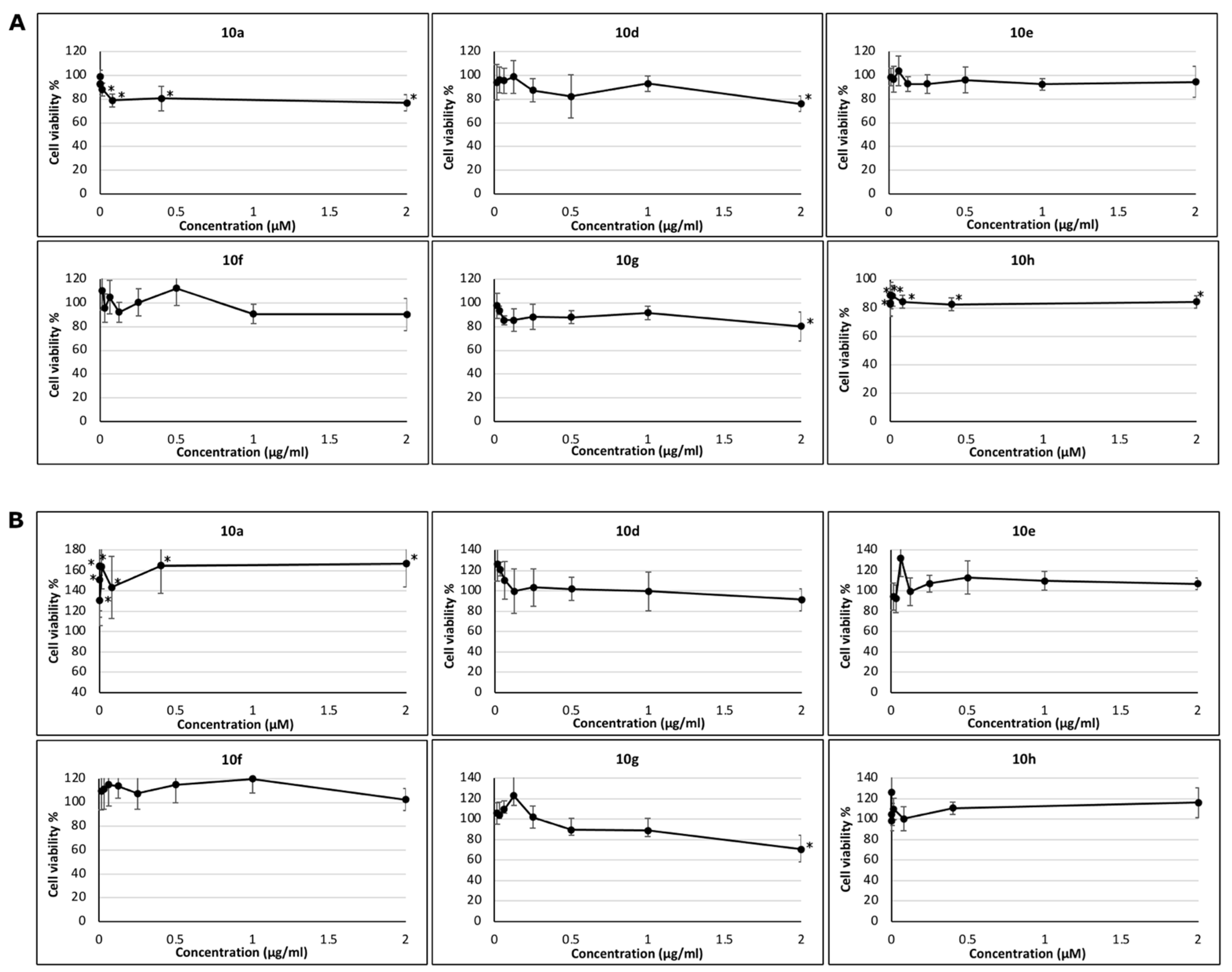
2.2. Biology
2.3. Molecular Modeling Study
2.3.1. Prediction of Druglikeness
2.3.2. Predicted Binding of 10a–h to CaCYP51
3. Materials and Methods
3.1. Chemistry
3.1.1. Synthesis of Oxirane 6
3.1.2. Synthesis of 3,7-Dimethyloctanal 7g
3.1.3. Synthesis of (−)-Nopol Mesylate 7d
3.1.4. Synthesis of Monoterpene-Piperazines 9a–c, f, g
3.1.5. Synthesis of Monoterpene-Piperazines 9d
3.1.6. Synthesis of Monoterpene-Piperazines 9e
3.1.7. Synthesis of Monoterpene-Containing Azoles 10a–h
3.2. Biology
3.2.1. Microdilution Test
3.2.2. Cytotoxicity Test
3.3. Molecular Modeling Study
3.4. X-ray Diffraction Analysis
4. Conclusions
Supplementary Materials
Author Contributions
Funding
Institutional Review Board Statement
Informed Consent Statement
Data Availability Statement
Acknowledgments
Conflicts of Interest
References
- Kathiravan, M.K.; Salake, A.B.; Chothe, A.S.; Dudhe, P.B.; Watode, R.P.; Mukta, M.S.; Gadhwe, S. The biology and chemistry of antifungal agents: A review. Bioorg. Med. Chem. 2012, 20, 5678–5698. [Google Scholar] [CrossRef]
- World Health Organization. WHO Fungal Priority Pathogens List to Guide Research, Development and Public Health Action; WHO: Geneva, Switzerland, 2022. [Google Scholar]
- Walker, L.A.; Gow, N.A.R.; Munro, C.A. Fungal Echinocandin Resistance. Fungal Genet. Biol. 2010, 47, 117–126. [Google Scholar] [CrossRef] [PubMed]
- Chandrasekar, P. Management of Invasive Fungal Infections: A Role for Polyenes. J. Antimicrob. Chemother. 2011, 66, 457–465. [Google Scholar] [CrossRef]
- Loyse, A.; Dromer, F.; Day, J.; Lortholary, O.; Harrison, T.S. Flucytosine and Cryptococcosis: Time to Urgently Address the Worldwide Accessibility of a 50-Year-Old Antifungal. J. Antimicrob. Chemother. 2013, 68, 2435–2444. [Google Scholar] [CrossRef]
- Carolus, H.; Pierson, S.; Lagrou, K.; van Dijck, P. Amphotericin B and Other Polyenes-Discovery, Clinical Use, Mode of Action and Drug Resistance. J. Fungi. 2020, 6, 321. [Google Scholar] [CrossRef]
- Laniado-Laborín, R.; Cabrales-Vargas, M.N. Amphotericin B: Side Effects and Toxicity. Rev. Iberoam Micol. 2009, 26, 223–227. [Google Scholar] [CrossRef] [PubMed]
- Pristov, K.E.; Ghannoum, M.A. Resistance of Candida to Azoles and Echinocandins Worldwide. Clin. Microbiol. Infect. 2019, 25, 792–798. [Google Scholar] [CrossRef] [PubMed]
- Billmyre, R.B.; Applen Clancey, S.; Li, L.X.; Doering, T.L.; Heitman, J. 5-Fluorocytosine Resistance Is Associated with Hyper- mutation and Alterations in Capsule Biosynthesis in Cryptococcus. Nat. Commun. 2020, 11, 127. [Google Scholar] [CrossRef]
- Maertens, J.A. History of the development of azole derivatives. Clin. Microbiol. Infect. 2004, 10 (Suppl. S1), 1–10. [Google Scholar] [CrossRef]
- Benedetto Tiz, D.; Bagnoli, L.; Rosati, O.; Marini, F.; Santi, C.; Sancineto, L. FDA-Approved Small Molecules in 2022: Clinical Uses and Their Synthesis. Pharmaceutics 2022, 14, 2538. [Google Scholar] [CrossRef]
- Oh, K.-H.; Lee, S.-H. COVID-19 and Fungal Diseases. Antibiotics 2022, 11, 803. [Google Scholar] [CrossRef]
- Terms, F. An overview of molecular hybrids in drug discovery. Expert Opin. Drug Discov. 2016, 11, 281–305. [Google Scholar] [CrossRef]
- Wu, S.; Zhang, Y.; He, X.; Che, X.; Wang, S.; Liu, Y.; Jiang, Y.; Liu, N.; Dong, G.; Yao, J.; et al. From Antidiabetic to Antifungal: Discovery of Highly Potent Triazol–Thiazolidinedione Hybrids as Novel Antifungal Agents. ChemMedChem 2014, 9, 2639–2646. [Google Scholar] [CrossRef] [PubMed]
- Meunier, B. Hybrid Molecules with a Dual Mode of Action: Dream or Reality? Acc. Chem. Res. 2008, 41, 69–77. [Google Scholar] [CrossRef] [PubMed]
- Zhang, Y.; Tangadanchu, V.K.R.; Bheemanaboina, R.R.Y.; Cheng, Y.; Zhou, C.H. Novel carbazole-triazole conjugates as DNA-targeting membrane active potentiators against clinical isolated fungi. Eur. J. Med. Chem. 2018, 155, 579–589. [Google Scholar] [CrossRef]
- Elias, R.; Benhamou, R.I.; Jaber, Q.Z.; Dorot, O.; Zada, S.L.; Oved, K.; Pichinuk, E.; Fridman, M. Antifungal activity, mode of action variability, and subcellular distribution of coumarin-based antifungal azoles. Eur. J. Med. Chem. 2019, 179, 779–790. [Google Scholar] [CrossRef]
- Newman, D.J.; Cragg, G.M. Natural Products as Sources of New Drugs over the Nearly Four Decades from 01/1981 to 09/2019. J. Nat. Prod. 2020, 83, 770–803. [Google Scholar] [CrossRef]
- Campoy, S.; Adrio, J.L. Antifungals. Biochem. Pharmacol. 2017, 133, 86–96. [Google Scholar] [CrossRef]
- Ahmad, A.; Khan, A.; Manzoor, N. Reversal of efflux mediated antifungal resistance underlies synergistic activity of two monoterpenes with fluconazole. Eur. J. Pharm. Sci. 2013, 48, 80–86. [Google Scholar] [CrossRef]
- Vengurlekar, S.; Sharma, R.; Trivedi, P. Efficacy of some natural compounds as antifungal agents. Pharmacogn. Rev. 2012, 6, 91–99. [Google Scholar] [CrossRef]
- Ponte, H.A.S.; Lima, M.I.D.O.; Lima, E.D.O.; Pereira, F.D.O. Linalool modulates dermatophyte susceptibility to azole drugs. Med. Mycol. 2020, 58, 272–274. [Google Scholar] [CrossRef]
- Iraji, A.; Yazdanpanah, S.; Alizadeh, F.; Mirzamohammadi, S.; Ghasemi, Y.; Pakshir, K.; Yang, Y.; Zomorodian, K. Screening the antifungal activities of monoterpenes and their isomers against Candida species. J. Appl. Microbiol. 2020, 129, 1541–1551. [Google Scholar] [CrossRef] [PubMed]
- Nikitina, L.E.; Lisovskaya, S.A.; Startseva, V.A.; Frolova, L.L.; Kutchin, A.V.; Shevchenko, O.G.; Ostolopovskaya, O.V.; Pavelyev, R.S.; Khelkhal, M.A.; Gilfanov, I.R.; et al. Biological Activity of Bicyclic Monoterpene Alcohols. Bionanoscience 2021, 11, 970–976. [Google Scholar] [CrossRef]
- Zhang, L.; Shi, Y.; Duan, X.; He, W.; Si, H.; Wang, P.; Chen, S.; Luo, H.; Rao, X.; Wang, Z.; et al. Novel Citral-thiazolyl Hydrazine Derivatives as Promising Antifungal Agents against Phytopathogenic Fungi. J. Agric. Food Chem. 2021, 69, 14512–14519. [Google Scholar] [CrossRef]
- Hamdy, R.; Hamoda, A.M.; Al-Khalifa, M.; Menon, V.; El-Awady, R.; Soliman, S.S.M. Efficient selective targeting of Candida CYP51 by oxadiazole derivatives designed from plant cuminaldehyde. RSC Med. Chem. 2022, 13, 1322–1340. [Google Scholar] [CrossRef] [PubMed]
- Zhang, T.; Zheng, S.; You, S.; Huang, D.; Cheng, Y.X. Design and synthesis of potential fungicidal compounds derived from natural products, (-)-menthol and (-)-borneol. Med. Chem. Res. 2022, 31, 307–315. [Google Scholar] [CrossRef]
- Le, T.M.; Huynh, T.; Bamou, F.Z.; Szekeres, A.; Fülöp, F.; Szakonyi, Z. Novel (+)-Neoisopulegol-Based O-Benzyl Derivatives as Antimicrobial Agents. Int. J. Mol. Sci. 2021, 22, 5626. [Google Scholar] [CrossRef]
- Sari, S.; Koçak, E.; Kart, D.; Özdemir, Z.; Acar, M.F.; Sayoğlu, B.; Karakurt, A.; Dalkara, S. Azole derivatives with naphthalene showing potent antifungal effects against planktonic and biofilm forms of Candida spp.: An in vitro and in silico study. Int. Microbiol. 2021, 24, 93–102. [Google Scholar] [CrossRef]
- Sono, M.; Roach, M.P.; Coulter, E.D.; Dawson, J.H. Heme-containing oxygenases. Chem. Rev. 1996, 96, 2841–2887. [Google Scholar] [CrossRef]
- Hargrove, T.Y.; Friggeri, L.; Wawrzak, Z.; Qi, A.; Hoekstra, W.J.; Schotzinger, R.J.; York, J.D.; Peter Guengerich, F.; Lepesheva, G.I. Structural analyses of Candida albicans sterol 14α-demethylase complexed with azole drugs address the molecular basis of azole-mediated inhibition of fungal sterol biosynthesis. J. Biol. Chem. 2017, 292, 6728–6743. [Google Scholar] [CrossRef]
- Keniya, M.V.; Sabherwal, M.; Wilson, R.K.; Woods, M.A.; Sagatova, A.A.; Tyndall, J.D.A.; Monk, B.C. Crystal structures of full-length lanosterol 14α-demethylases of prominent fungal pathogens candida albicans and candida glabrata provide tools for antifungal discovery. Antimicrob. Agents Chemother. 2018, 62, e01134-18. [Google Scholar] [CrossRef]
- Upadhayaya, R.S.; Jain, S.; Sinha, N.; Kishore, N.; Chandra, R.; Arora, S.K. Synthesis of novel substituted tetrazoles having antifungal activity. Eur. J. Med. Chem. 2004, 39, 579–592. [Google Scholar] [CrossRef]
- Odinokov, V.N.; Ishmuratov, G.Y.; Kharisov, R.Y.; Lomakina, S.I.; Tolstikov, G.A. Synthesis of ethyl 3,7,11-trimethyl-2,4-dodecadienoate (hydroprene) from 4-methyltetrahydropyran. Bull. Acad. Sci. USSR Div. Chem. Sci. 1989, 38, 1768–1770. [Google Scholar] [CrossRef]
- Palazzo, I.; Mezzetta, A.; Guazzelli, L.; Sartini, S.; Pomelli, C.S.; Parker, W.O.; Chiappe, C. Chiral ionic liquids supported on natural sporopollenin microcapsules. RSC Adv. 2018, 8, 21174–21183. [Google Scholar] [CrossRef] [PubMed]
- Clinical and Laboratory Standards Institute. Reference Method for Broth Dilution Antifungal Susceptibility Testing of Yeasts, 4th ed.; CLSI Document M27-A4; Approved Standard; CLSI: Wayne, PA, USA, 2017. [Google Scholar]
- Lovering, F.; Bikker, J.; Humblet, C. Escape from flatland: Increasing saturation as an approach to improving clinical success. J. Med. Chem. 2009, 52, 6752–6756. [Google Scholar] [CrossRef]
- Ritchie, T.J.; Ertl, P.; Lewis, R. The graphical representation of ADME-related molecule properties for medicinal chemists. Drug Discov. Today 2011, 16, 65–72. [Google Scholar] [CrossRef] [PubMed]
- Daina, A.; Michielin, O.; Zoete, V. SwissADME: A free web tool to evaluate pharmacokinetics, drug-likeness and medicinal chemistry friendliness of small molecules. Sci. Rep. 2017, 7, 42717. [Google Scholar] [CrossRef]
- Zhang, J.; Li, L.; Lv, Q.; Yan, L.; Wang, Y.; Jiang, Y. The fungal CYP51s: Their functions, structures, related drug resistance, and inhibitors. Front. Microbiol. 2019, 10, 691. [Google Scholar] [CrossRef]
- Sagatova, A.A.; Keniya, M.V.; Wilson, R.K.; Sabherwal, M.; Tyndall, J.D.A.; Monk, B.C. Triazole resistance mediated by mutations of a conserved active site tyrosine in fungal lanosterol 14α-demethylase. Sci. Rep. 2016, 6, 26213. [Google Scholar] [CrossRef]
- Podturkina, A.V.; Li-Zhulanov, N.S.; Volcho, K.P.; Salakhutdinov, N.F. (1R,2R,6S)-2(4-(4-Isopropylbenzyl)piperazin-1-yl)-3-methyl-6-(prop-1-en-2-yl)cyclohex-3-enol. Molbank 2023, 2023, M1546. [Google Scholar] [CrossRef]
- Pagnoux-Ozherelyeva, A.; Pannetier, N.; Mbaye, M.D.; Gaillard, S.; Renaud, J.L. Knölker’s iron complex: An efficient in situ generated catalyst for reductive amination of alkyl aldehydes and amines. Angew. Chemie-Int. Ed. 2012, 51, 4976–4980. [Google Scholar] [CrossRef] [PubMed]
- Onajole, O.K.; Govender, K.; Govender, P.; van Helden, P.D.; Kruger, H.G.; Maguire, G.E.M.; Muthusamy, K.; Pillay, M.; Wiid, I.; Govender, T. Pentacyclo-undecane derived cyclic tetra-amines: Synthesis and evaluation as potent anti-tuberculosis agents. Eur. J. Med. Chem. 2009, 44, 4297–4305. [Google Scholar] [CrossRef]
- Arendrup, M.C.M.J.; Mouton, J.W.; Lagrou, K.; Hamal, P.; Guinea, J.; Subcommittee on Antifungal Susceptibility Testing (AFTS) of the ESCMID European Committee for Antimicrobial Susceptibility Testing (EUCAST). EUCAST Antifungal MIC Method for Yeasts—Eucast Definitive Document E.DEF 7.3.2: Method for the Determination of Broth Dilution Minimum Inhibitory Concentrations of Antifungal Agents for Yeasts; EUCAST: Copenhagen, Denmark, 2020. [Google Scholar]
- Ohguro, N.; Fukuda, M.; Sasabe, T.; Tano, Y. Concentration dependent effects of hydrogen peroxide on lens epithelial cells. Br. J. Ophthalmol. 1999, 83, 1064–1068. [Google Scholar] [CrossRef] [PubMed]
- Lu, C.; Wu, C.; Ghoreishi, D.; Chen, W.; Wang, L.; Damm, W.; Ross, G.A.; Dahlgren, M.K.; Russell, E.; Von Bargen, C.D.; et al. OPLS4: Improving force field accuracy on challenging regimes of chemical space. J. Chem. Theory Comput. 2021, 17, 4291–4300. [Google Scholar] [CrossRef]
- O’Boyle, N.M.; Banck, M.; James, C.A.; Morley, C.; Vandermeersch, T.; Hutchison, G.R. Open Babel. J. Cheminform. 2011, 3, 33. [Google Scholar] [CrossRef] [PubMed]
- Berman, H.M.; Westbrook, J.; Feng, Z.; Gilliland, G.; Bhat, T.N.; Weissig, H.; Shindyalov, I.N.; Bourne, P.E. The Protein Data Bank. Nucleic Acids Res. 2000, 28, 235–242. [Google Scholar] [CrossRef]
- Madhavi Sastry, G.; Adzhigirey, M.; Day, T.; Annabhimoju, R.; Sherman, W. Protein and ligand preparation: Parameters, protocols, and influence on virtual screening enrichments. J. Comput. Aided. Mol. Des. 2013, 27, 221–234. [Google Scholar] [CrossRef]
- Morris, G.M.; Huey, R.; Lindstrom, W.; Sanner, M.F.; Belew, R.K.; Goodsell, D.S.; Olson, A.J. AutoDock4 and AutoDockTools4: Automated docking with selective receptor flexibility. J. Comput. Chem. 2009, 30, 2785–2791. [Google Scholar] [CrossRef]
- Krause, L.; Herbst-Irmer, R.; Sheldrick, G.M.; Stalke, D.J. Comparison of silver and molybdenum microfocus X-ray sources for single-crystal structure determination. J. Appl. Cryst. 2015, 48, 3–10. [Google Scholar] [CrossRef]
- Sheldrick, G.M. SHELXT-Integrated space-group and crystal-structure determination. Acta Crystallogr. Sect. A 2015, 71, 3–8. [Google Scholar] [CrossRef] [PubMed]
- Sheldrick, G.M. Crystal structure refinement with SHELXL Acta Crystallogr. Sect. C 2015, C71, 3–8. [Google Scholar] [CrossRef]











| Compound | Candida albicans ATCC 64547 | Candida albicans ATCC 90028 | Candida glabrata ATCC 90030 | Candida krusei 1 ATCC 6258 | Candida parapsilosis ATCC 22019 | Candida parapsilosis ATCC 90018 | Candida tropicalis ATCC 750 |
|---|---|---|---|---|---|---|---|
| 10a | <0.004 | <0.004 | 0.5 | 0.25–0.5 | 0.016–0.03 | <0.004 | <0.004–0.008 |
| 10b 2 | n.t. | 0.031 | n.t. | 0.5 | n.t. | 0.031 | n.t. |
| 10c | 0.03 | 0.016–0.03 | 0.5–2 | 0.5–1 | 0.06 | 0.008 | 0.016–0.03 |
| 10d | 0.004–0.016 | 0.008–0.03 | 0.5–2 | 0.25–0.5 | 0.06–0.125 | 0.008–0.03 | 0.016–0.03 |
| 10e | 0.016–0.06 | 0.016–0.06 | 1–4 | 1 | 0.06–0.25 | 0.06 | 0.06–0.25 |
| 10f | 0.016–0.03 | 0.016–0.06 | 0.5–2 | 1–2 | 0.125–0.25 | 0.06–0.125 | 0.06–0.25 |
| 10g | 0.08–0.03 | 0.016–0.03 | 0.25–1 | 1–2 | 0.06–0.25 | 0.03–0.06 | 0.016–0.06 |
| 10h | <0.004–0.008 | <0.004–0.008 | 0.25–0.05 | 1 | 0.06–0.125 | 0.016–0.03 | 0.016–0.03 |
| FCZ | 0.25–0.5 | <0.125 | 2–4 | 16–32 | 1–2 | 0.5–1 | 0.5–1 |
| Clinical Isolates | Species | 10a | 10c | 10h | FCZ |
|---|---|---|---|---|---|
| 15666 | C. parapsilosis | 0.5 | 1–2 | 16 | 64 |
| 15793 | C. parapsilosis | 0.25 | 0.25–0.5 | 1 | 16 |
| 16120 | C. parapsilosis | 1–2 | 2–4 | 4–16 | 64 |
| 16393 | C. parapsilosis | 0.25–0.5 | 2 | 8 | 64 |
| 16647 | C. parapsilosis | 0.25 | 1–2 | 8–16 | 32 |
| 16681 | C. parapsilosis | 0.25 | 1–2 | 16 | 32 |
| 16730 | C. parapsilosis | 0.25–1 | 2 | 8–16 | 32 |
| 19823 | C. glabrata | 4 | 8–16 | 2 | 64 |
| 21743 | C. glabrata | 0.25 | 0.25–1 | 0.125–0.25 | 2 |
| 25589 | C. glabrata | 0.5 | 0.5–2 | 0.125–0.5 | 2–8 |
| 25878 | C. glabrata | 0.5–1 | 4 | 0.25–0.5 | 16–32 |
| Compound | Docking Score | Compound | Docking Score |
|---|---|---|---|
| 10a | −7.5 | 10f | −9.0 |
| 10b | −8.7 | 10g | −8.2 |
| 10c | −8.5 | 10h | −9.2 |
| 10d | −9.1 | Fluconazole | −6.5 |
| 10e | −9.4 |
Disclaimer/Publisher’s Note: The statements, opinions and data contained in all publications are solely those of the individual author(s) and contributor(s) and not of MDPI and/or the editor(s). MDPI and/or the editor(s) disclaim responsibility for any injury to people or property resulting from any ideas, methods, instructions or products referred to in the content. |
© 2023 by the authors. Licensee MDPI, Basel, Switzerland. This article is an open access article distributed under the terms and conditions of the Creative Commons Attribution (CC BY) license (https://creativecommons.org/licenses/by/4.0/).
Share and Cite
Li-Zhulanov, N.S.; Zaikova, N.P.; Sari, S.; Gülmez, D.; Sabuncuoğlu, S.; Ozadali-Sari, K.; Arikan-Akdagli, S.; Nefedov, A.A.; Rybalova, T.V.; Volcho, K.P.; et al. Rational Design of New Monoterpene-Containing Azoles and Their Antifungal Activity. Antibiotics 2023, 12, 818. https://doi.org/10.3390/antibiotics12050818
Li-Zhulanov NS, Zaikova NP, Sari S, Gülmez D, Sabuncuoğlu S, Ozadali-Sari K, Arikan-Akdagli S, Nefedov AA, Rybalova TV, Volcho KP, et al. Rational Design of New Monoterpene-Containing Azoles and Their Antifungal Activity. Antibiotics. 2023; 12(5):818. https://doi.org/10.3390/antibiotics12050818
Chicago/Turabian StyleLi-Zhulanov, Nikolai S., Nadezhda P. Zaikova, Suat Sari, Dolunay Gülmez, Suna Sabuncuoğlu, Keriman Ozadali-Sari, Sevtap Arikan-Akdagli, Andrey A. Nefedov, Tatyana V. Rybalova, Konstantin P. Volcho, and et al. 2023. "Rational Design of New Monoterpene-Containing Azoles and Their Antifungal Activity" Antibiotics 12, no. 5: 818. https://doi.org/10.3390/antibiotics12050818
APA StyleLi-Zhulanov, N. S., Zaikova, N. P., Sari, S., Gülmez, D., Sabuncuoğlu, S., Ozadali-Sari, K., Arikan-Akdagli, S., Nefedov, A. A., Rybalova, T. V., Volcho, K. P., & Salakhutdinov, N. F. (2023). Rational Design of New Monoterpene-Containing Azoles and Their Antifungal Activity. Antibiotics, 12(5), 818. https://doi.org/10.3390/antibiotics12050818

