Development of a Sensitive and Reliable Meso Scale Discovery-Based Electrochemiluminescence Immunoassay to Quantify TDP-43 in Human Biofluids
Abstract
1. Introduction
2. Materials and Methods
2.1. Materials
2.2. Sample Collection and Preparation
2.3. Meso Scale Discovery (MSD) Assay Conditions
2.4. MSD Assay Performance and Reproducibility
2.4.1. Reproducibility and Precision
2.4.2. Dilution Linearity
2.4.3. Spike-In Recovery
2.4.4. Specificity Test
2.5. TDP-43 Measures in Clinical Samples
2.6. Figures and Tables
3. Results
3.1. Antibody Selection for Assay Development
3.2. Optimization of Assay Parameters
3.3. Precision, Sensitivity, and Specificity
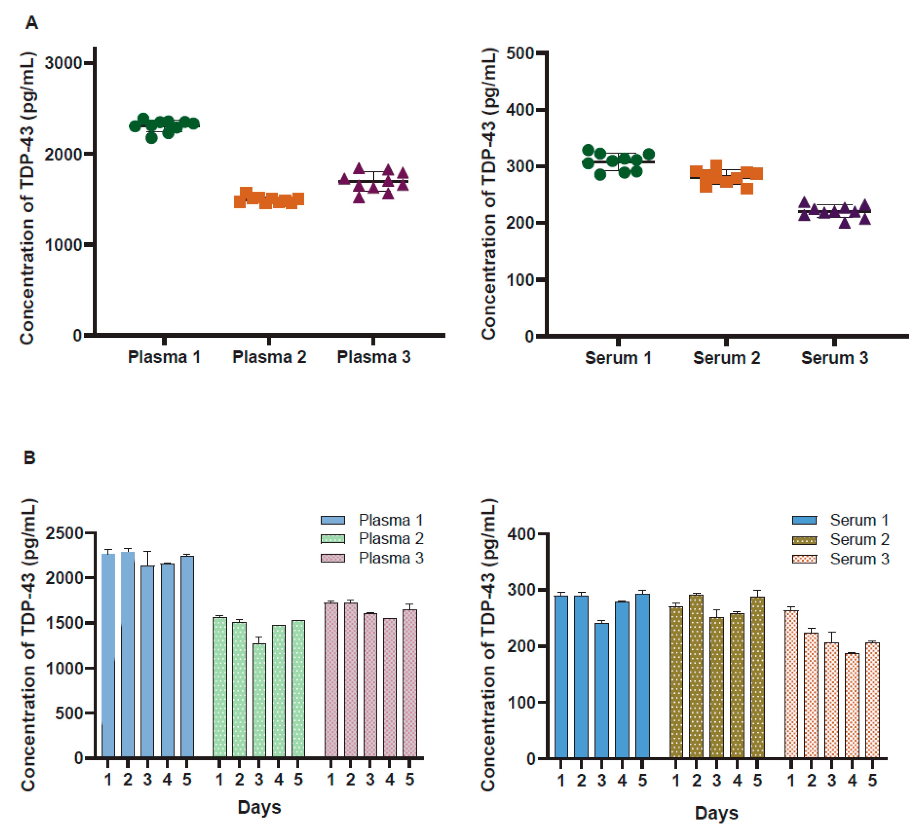
3.4. Freeze–Thaw Stability
3.5. Parallelism and Spike-In Recovery
3.6. Quantification of TDP-43 in Blood Samples of ALS Patients and Healthy Controls
4. Discussion
4.1. Antibody Screening
4.2. Decrease in TDP-43 in ALS Plasma and Serum
5. Conclusions
Supplementary Materials
Author Contributions
Funding
Institutional Review Board Statement
Informed Consent Statement
Data Availability Statement
Acknowledgments
Conflicts of Interest
Appendix A
- 1.
- Coating Antibody Solution: Make 1.5 µg/mL TDP-43 Rabbit Polyclonal antibody in PBS. *The antibody concentration may vary across the different batches, and it is good practice to perform a titration for each new batch. For example, if the antibody is 400 µg/mL, take 18.75 µL of antibody Add into 5 mL of 1X DPBS (Gibco, Catalog#14190-144). Mix well. *Prepare fresh solution before each use.
- 2.
- Blocking Solution: Add 2 g of BSA into 200 mL of 1x Tris Buffered Saline (TBS) with 1% Casein. Make sure that BSA is completely dissolved. Store at 4 °C up to 3 months.
- 3.
- Sample Diluent: Make 20% IHAD. Take 20ml of IHAD and add 80ml of 1X PBS. Store at 4 °C up to 3 months.
- 4.
- Wash Solution: Dilute 100 mL of 10X PBS (final concentration 1X) with 900 mL of DI Water.
- Add 10 mL of 10% Tween-20 (final concentration of 0.1%). Store at RT up to one month *Clean the wash solution bottle every 4 weeks.
- 5.
- Standards: Take Standard Stock out from −80 °C and equilibrate at RT for 15 min. Add 980 µL of sample diluent to Standard Stock: S1 (Standard Stock is 1000 ng/mL, 20 µL/ vial). Gently mix by vortex using short pulses. Equilibrate the standard stock at RT for 15 min with gentle agitation prior to making dilutions.
- Label 7 of 1.5 mL Protein LoBind tubes as S2 to S8 and add 600 µL of Assay Diluent per tube. Use S1 to produce a dilution series for preparing the next standards as shown in the figure below. Pipette 200 µL of S1 to S2 containing 600 µL Assay Diluent. Vortex and spin each tube before transfer. The tube S8 serves as the zero standard (0 pg/mL).
- *Make Standards and QCs fresh. Do not store or reuse!

- 6.
- Sample Preparation: Take 40 µL aliquot samples from −80 °C to RT and let them thaw for not more than 30 min. When thawed completely, dilute the sample four times by adding 120 µL Assay Diluent immediately. Vortex well and let them equilibrate for at least 15 min. During the 15-min equilibration time vortex every 5 min and after the last vortex, spin for 60 s.
- 7.
- Detection Antibody Solution: Prepare mouse mono anti-human TDP-43 at final concentration of 0.5 µg/mL in 1% Casein/TBS. Mix well by gentle vortex.
- *Prepare the fresh detection antibody solution immediately before use.
- 8.
- Sulfo-tagged anti-mouse solution: Make 1.0 µg/mL Sulfo-tag labeled anti-mouse in 1X TBS with 1% Casein. Mix well. *Prepare 15 min before use.
- Coating the MSD plate
- Load the plate with 40 µL of 1.5 µg/mL coating antibody (Rabbit poly anti-human TDP-43) prepared in 1X PBS.
- Seal the plate with microplate sealer and incubate overnight at 4 °C (no shaking).
- Blocking the MSD plate
- Wash the plate four times with 250 µL of 1X PBST.
- Remove any remaining wash buffer by inverting the plate and assertively tapping it against clean paper towels.
- Add 150 µL block buffer (1% BSA, 1% Casein TBS) to each well and seal the plate with new microplate sealer. Incubate the plate for 2 h at RT with shaking at 750 rpm using a plate shaker.
- The coated MSD plates can be stored in Blocking Solution up to 2 weeks at 4 °C.
- Wash and Add Sample
- Wash the assay plate coated with the capture antibody containing the block buffer, four times with 250 µL of 1X PBST.
- Load 40 µL of Standards and diluted Samples to the designated well with sample diluent in the antibody coated-MSD plate. Seal the plate with a microplate sealer and incubate at 4 °C overnight (12–20 h) on a plate shaker at 750 rpm
- Wash and Add Detection Antibody Solution
- Take out the plates from 4 °C and bring to RT for 30 min.
- Wash the plate four times with 250 µL of 1X PBST.
- Add 40 µL of Detection Antibody Solution (0.5 µg/mL) per well. Incubate at 37 °C for 2 h by shaking at 750 rpm using a plate shaker.
- Wash the plate four times with 250 µL of 1X PBST.
- Add 40 μL of 1 µg/mL Sulfo-tagged anti mouse antibody (1:1000) diluted in 1% Casein TBS. Seal the plate with a new adhesive film and incubate the plate at 37 °C for 60 min on a plate shaker at 750 rpm. Avoid exposure of plate to direct light.
- Wash and Read
- Wash the plate four times with 250 µL of 1X PBST.
- Add 150 µL of MSD Read Buffer A to each well. Incubate for 5 min at room temperature.
- Read plate with the MSD MESO QuickPlex SQ 120.
References
- Al-Chalabi, A.; Hardiman, O.; Kiernan, M.C.; Chio, A.; Rix-Brooks, B.; van den Berg, L.H. Amyotrophic lateral sclerosis: Moving towards a new classification system. Lancet Neurol. 2016, 15, 1182–1194. [Google Scholar] [CrossRef] [PubMed]
- Nelson, P.T.; Dickson, D.W.; Trojanowski, J.Q.; Jack, C.R.; Boyle, P.A.; Arfanakis, K.; Rademakers, R.; Alafuzoff, I.; Attems, J.; Brayne, C.; et al. Limbic-predominant age-related TDP-43 encephalopathy (LATE): Consensus working group report. Brain 2019, 142, 1503–1527. [Google Scholar] [CrossRef] [PubMed]
- Matej, R.; Tesar, A.; Rusina, R. Alzheimer’s disease and other neurodegenerative dementias in comorbidity: A clinical and neuropathological overview. Clin. Biochem. 2019, 73, 26–31. [Google Scholar] [CrossRef]
- Ayala, Y.M.; Zago, P.; D’Ambrogio, A.; Xu, Y.F.; Petrucelli, L.; Buratti, E.; Baralle, F.E. Structural determinants of the cellular localization and shuttling of TDP-43. J. Cell Sci. 2008, 121, 3778–3785. [Google Scholar] [CrossRef]
- Winton, M.J.; Igaz, L.M.; Wong, M.M.; Kwong, L.K.; Trojanowski, J.Q.; Lee, V.M. Disturbance of nuclear and cytoplasmic TAR DNA-binding protein (TDP-43) induces disease-like redistribution, sequestration, and aggregate formation. J. Biol. Chem. 2008, 283, 13302–13309. [Google Scholar] [CrossRef] [PubMed]
- Mackenzie, I.R.; Bigio, E.H.; Ince, P.G.; Geser, F.; Neumann, M.; Cairns, N.J.; Kwong, L.K.; Forman, M.S.; Ravits, J.; Stewart, H.; et al. Pathological TDP-43 distinguishes sporadic amyotrophic lateral sclerosis from amyotrophic lateral sclerosis with SOD1 mutations. Ann. Neurol. 2007, 61, 427–434. [Google Scholar] [CrossRef] [PubMed]
- Buratti, E.; Baralle, F.E. Characterization and functional implications of the RNA binding properties of nuclear factor TDP-43, a novel splicing regulator of CFTR exon 9. J. Biol. Chem. 2001, 276, 36337–36343. [Google Scholar] [CrossRef]
- Prasad, A.; Bharathi, V.; Sivalingam, V.; Girdhar, A.; Patel, B.K. Molecular Mechanisms of TDP-43 Misfolding and Pathology in Amyotrophic Lateral Sclerosis. Front. Mol. Neurosci. 2019, 12, 25. [Google Scholar] [CrossRef]
- Gao, J.; Wang, L.; Huntley, M.L.; Perry, G.; Wang, X. Pathomechanisms of TDP-43 in neurodegeneration. J. Neurochem. 2018, 146, 7–20. [Google Scholar] [CrossRef]
- Dyer, M.S.; Woodhouse, A.; Blizzard, C.A. Cytoplasmic Human TDP-43 Mislocalization Induces Widespread Dendritic Spine Loss in Mouse Upper Motor Neurons. Brain Sci. 2021, 11, 883. [Google Scholar] [CrossRef]
- Iguchi, Y.; Eid, L.; Parent, M.; Soucy, G.; Bareil, C.; Riku, Y.; Kawai, K.; Takagi, S.; Yoshida, M.; Katsuno, M.; et al. Exosome secretion is a key pathway for clearance of pathological TDP-43. Brain 2016, 139, 3187–3201. [Google Scholar] [CrossRef]
- Zhang, N.; Gu, D.; Meng, M.; Gordon, M.L. TDP-43 Is Elevated in Plasma Neuronal-Derived Exosomes of Patients with Alzheimer’s Disease. Front. Aging Neurosci. 2020, 12, 166. [Google Scholar] [CrossRef] [PubMed]
- Kasai, T.; Tokuda, T.; Ishigami, N.; Sasayama, H.; Foulds, P.; Mitchell, D.J.; Mann, D.M.; Allsop, D.; Nakagawa, M. Increased TDP-43 protein in cerebrospinal fluid of patients with amyotrophic lateral sclerosis. Acta Neuropathol. 2009, 117, 55–62. [Google Scholar] [CrossRef] [PubMed]
- Steinacker, P.; Hendrich, C.; Sperfeld, A.D.; Jesse, S.; von Arnim, C.A.; Lehnert, S.; Pabst, A.; Uttner, I.; Tumani, H.; Lee, V.M.; et al. TDP-43 in cerebrospinal fluid of patients with frontotemporal lobar degeneration and amyotrophic lateral sclerosis. Arch. Neurol. 2008, 65, 1481–1487. [Google Scholar] [CrossRef]
- Han, Z.; Christiansen, A.; Meena; Liau, G. Relative Quantification of Na(V)1.1 Protein in Mouse Brains Using a Meso Scale Discovery-Electrochemiluminescence (MSD-ECL) Method. Bio Protoc. 2021, 11, e3910. [Google Scholar] [CrossRef]
- Kivisakk, P.; Carlyle, B.C.; Sweeney, T.; Trombetta, B.A.; LaCasse, K.; El-Mufti, L.; Tuncali, I.; Chibnik, L.B.; Das, S.; Scherzer, C.R.; et al. Plasma biomarkers for diagnosis of Alzheimer’s disease and prediction of cognitive decline in individuals with mild cognitive impairment. Front. Neurol. 2023, 14, 1069411. [Google Scholar] [CrossRef]
- Molinuevo, J.L.; Gispert, J.D.; Dubois, B.; Heneka, M.T.; Lleo, A.; Engelborghs, S.; Pujol, J.; de Souza, L.C.; Alcolea, D.; Jessen, F.; et al. The AD-CSF-index discriminates Alzheimer’s disease patients from healthy controls: A validation study. J. Alzheimers Dis. 2013, 36, 67–77. [Google Scholar] [CrossRef]
- Reindl, W.; Baldo, B.; Schulz, J.; Janack, I.; Lindner, I.; Kleinschmidt, M.; Sedaghat, Y.; Thiede, C.; Tillack, K.; Schmidt, C.; et al. Meso scale discovery-based assays for the detection of aggregated huntingtin. PLoS ONE 2019, 14, e0213521. [Google Scholar] [CrossRef]
- Cohen, T.J.; Lee, V.M.; Trojanowski, J.Q. TDP-43 functions and pathogenic mechanisms implicated in TDP-43 proteinopathies. Trends Mol. Med. 2011, 17, 659–667. [Google Scholar] [CrossRef]
- Dubowsky, M.; Theunissen, F.; Carr, J.M.; Rogers, M.L. The Molecular Link Between TDP-43, Endogenous Retroviruses and Inflammatory Neurodegeneration in Amyotrophic Lateral Sclerosis: A Potential Target for Triumeq, an Antiretroviral Therapy. Mol. Neurobiol. 2023, 60, 6330–6345. [Google Scholar] [CrossRef]
- Shiina, Y.; Arima, K.; Tabunoki, H.; Satoh, J. TDP-43 dimerizes in human cells in culture. Cell Mol. Neurobiol. 2010, 30, 641–652. [Google Scholar] [CrossRef]
- Schwab, C.; Arai, T.; Hasegawa, M.; Yu, S.; McGeer, P.L. Colocalization of transactivation-responsive DNA-binding protein 43 and huntingtin in inclusions of Huntington disease. J. Neuropathol. Exp. Neurol. 2008, 67, 1159–1165. [Google Scholar] [CrossRef]
- Matsuura, S.; Tatebe, H.; Higuchi, M.; Tokuda, T. Validation of a newly developed immunoassay for TDP-43 in human plasma. Heliyon 2024, 10, e24672. [Google Scholar] [CrossRef]
- Modgil, S.; Khosla, R.; Tiwari, A.; Sharma, K.; Anand, A. Association of Plasma Biomarkers for Angiogenesis and Proteinopathy in Indian Amyotrophic Lateral Sclerosis Patients. J. Neurosci. Rural. Pract. 2020, 11, 573–580. [Google Scholar] [CrossRef]
- Katisko, K.; Huber, N.; Kokkola, T.; Hartikainen, P.; Kruger, J.; Heikkinen, A.L.; Paananen, V.; Leinonen, V.; Korhonen, V.E.; Helisalmi, S.; et al. Serum total TDP-43 levels are decreased in frontotemporal dementia patients with C9orf72 repeat expansion or concomitant motoneuron disease phenotype. Alzheimers Res. Ther. 2022, 14, 151. [Google Scholar] [CrossRef] [PubMed]
- Berning, B.A.; Walker, A.K. The Pathobiology of TDP-43 C-Terminal Fragments in ALS and FTLD. Front. Neurosci. 2019, 13, 335. [Google Scholar] [CrossRef] [PubMed]
- Hishizawa, M.; Yamashita, H.; Akizuki, M.; Urushitani, M.; Takahashi, R. TDP-43 levels are higher in platelets from patients with sporadic amyotrophic lateral sclerosis than in healthy controls. Neurochem. Int. 2019, 124, 41–45. [Google Scholar] [CrossRef] [PubMed]
- Luthi-Carter, R.; Cappelli, S.; Le Roux-Bourdieu, M.; Tentillier, N.; Quinn, J.P.; Petrozziello, T.; Gopalakrishnan, L.; Sethi, P.; Choudhary, H.; Bartolini, G.; et al. Location and function of TDP-43 in platelets, alterations in neurodegenerative diseases and arising considerations for current plasma biobank protocols. Sci. Rep. 2024, 14, 21837. [Google Scholar] [CrossRef]








| Assay Parameter | Variables Tested | Variable Selected | |
|---|---|---|---|
| Antibodies | 6 antibodies in all combinations (see Figure 1B) | Capture: PtG Rb 10782 Detection: R&D Ms 671818R | |
| Blocking reagents |
| 1% BSA in Casein/TBS | |
| Blocking time and temperature |
| 2 hrs in 37°C, Shaking (750rpm) | |
| Diluents |
| Iron Horse Assay Diluent/PBS | |
| Sample dilutions for plasma |
|
| 4-fold |
| Sample dilutions for serum |
|
| 4-fold |
| Capture antibody concentrations |
|
| 1.5 μg/mL |
| Detection antibody concentrations |
|
| 0.5 μg/mL |
| SULFO-Tag concentrations |
|
| 1.0 μg/mL |
Disclaimer/Publisher’s Note: The statements, opinions and data contained in all publications are solely those of the individual author(s) and contributor(s) and not of MDPI and/or the editor(s). MDPI and/or the editor(s) disclaim responsibility for any injury to people or property resulting from any ideas, methods, instructions or products referred to in the content. |
© 2024 by the authors. Licensee MDPI, Basel, Switzerland. This article is an open access article distributed under the terms and conditions of the Creative Commons Attribution (CC BY) license (https://creativecommons.org/licenses/by/4.0/).
Share and Cite
An, J.; Gopalakrishnan, L.; Ortega, V.; Saul, J.; Kadali, R.; Bowser, R. Development of a Sensitive and Reliable Meso Scale Discovery-Based Electrochemiluminescence Immunoassay to Quantify TDP-43 in Human Biofluids. Biosensors 2024, 14, 578. https://doi.org/10.3390/bios14120578
An J, Gopalakrishnan L, Ortega V, Saul J, Kadali R, Bowser R. Development of a Sensitive and Reliable Meso Scale Discovery-Based Electrochemiluminescence Immunoassay to Quantify TDP-43 in Human Biofluids. Biosensors. 2024; 14(12):578. https://doi.org/10.3390/bios14120578
Chicago/Turabian StyleAn, Jiyan, Lathika Gopalakrishnan, Vanessa Ortega, Justin Saul, Renu Kadali, and Robert Bowser. 2024. "Development of a Sensitive and Reliable Meso Scale Discovery-Based Electrochemiluminescence Immunoassay to Quantify TDP-43 in Human Biofluids" Biosensors 14, no. 12: 578. https://doi.org/10.3390/bios14120578
APA StyleAn, J., Gopalakrishnan, L., Ortega, V., Saul, J., Kadali, R., & Bowser, R. (2024). Development of a Sensitive and Reliable Meso Scale Discovery-Based Electrochemiluminescence Immunoassay to Quantify TDP-43 in Human Biofluids. Biosensors, 14(12), 578. https://doi.org/10.3390/bios14120578

