Combined Dielectric-Optical Characterization of Single Cells Using Dielectrophoresis-Imaging Flow Cytometry
Abstract
1. Introduction
2. Materials and Methods
2.1. Device Description and Operation
2.1.1. Cell Tracking Algorithm
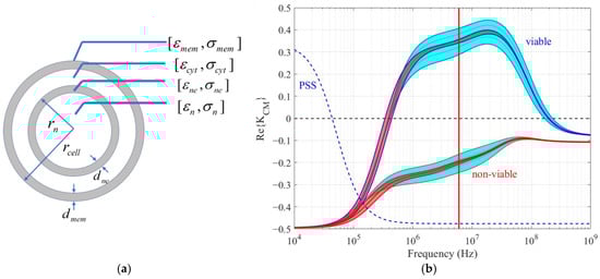
2.1.2. Dielectrophoresis Analysis

2.1.3. Dielectric-Fluid Dynamics Model
2.2. Cell Preparation
3. Results
3.1. Evaluation Using PSS
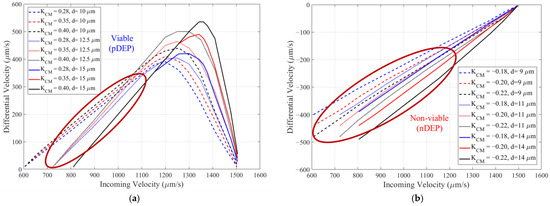
3.2. Analysis of Viable and Non-Viable CHO Cells
4. Conclusions
Supplementary Materials
Author Contributions
Funding
Institutional Review Board Statement
Informed Consent Statement
Data Availability Statement
Conflicts of Interest
Appendix A


References
- Han, A.; Yang, L.; Frazier, A.B. Quantification of the Heterogeneity in Breast Cancer Cell Lines Using Whole-Cell Impedance Spectroscopy. Clin. Cancer Res. 2007, 13, 139–143. [Google Scholar] [CrossRef] [PubMed]
- Givan, A.L. Flow Cytometry: First Principles; Wiley-Liss, Inc.: Hoboken, NJ, USA, 2001; ISBN 978-0471382249. [Google Scholar]
- Zhou, W.-M.; Yan, Y.-Y.; Guo, Q.-R.; Ji, H.; Xu, T.-T.; Makabel, B.; Pilarsky, C.; He, G.; Zhang, J.-Y. Microfluidics Applications for High-Throughput Single Cell Sequencing. J. Nanobiotechnol. 2021, 19, 312. [Google Scholar] [CrossRef] [PubMed]
- Yi, C.; Li, C.-W.; Ji, S.; Yang, M. Microfluidics Technology for Manipulation and Analysis of Biological Cells. Anal. Chim. Acta 2006, 560, 1–23. [Google Scholar] [CrossRef]
- Wang, D.; Bodovitz, S. Single Cell Analysis: The New Frontier in ‘Omics’. Trends Biotechnol. 2010, 28, 281–290. [Google Scholar] [CrossRef]
- Taheri-Araghi, S.; Brown, S.D.; Sauls, J.T.; McIntosh, D.B.; Jun, S. Single-Cell Physiology. Annu. Rev. Biophys. 2015, 44, 123–142. [Google Scholar] [CrossRef]
- Lambert, E.; Manczak, R.; Barthout, E.; Saada, S.; Porcù, E.; Maule, F.; Bessette, B.; Viola, G.; Persano, L.; Dalmay, C.; et al. Microfluidic Lab-on-a-Chip Based on UHF-Dielectrophoresis for Stemness Phenotype Characterization and Discrimination among Glioblastoma Cells. Biosensors 2021, 11, 388. [Google Scholar] [CrossRef]
- Giduthuri, A.T.; Theodossiou, S.K.; Schiele, N.R.; Srivastava, S.K. Dielectrophoretic Characterization of Tenogenically Differentiating Mesenchymal Stem Cells. Biosensors 2021, 11, 50. [Google Scholar] [CrossRef]
- Pethig, R. Dielectrophoresis: Theory, Methodology and Biological Applications; Wiley: New York, NY, USA, 2017. [Google Scholar]
- Wang, X.-B.; Huang, Y.; Gascoyne, P.R.C.; Becker, F.F. Dielectrophoretic Manipulation of Particles. IEEE Trans. Ind. Appl. 1997, 33, 660–669. [Google Scholar] [CrossRef]
- Valero, A.; Braschler, T.; Renaud, P. A Unified Approach to Dielectric Single Cell Analysis: Impedance and Dielectrophoretic Force Spectroscopy. Lab Chip 2010, 10, 2216–2225. [Google Scholar] [CrossRef]
- Farasat, M.; Aalaei, E.; Ronizi, S.K.; Bakhshi, A.; Mirhosseini, S.; Zhang, J.; Nguyen, N.-T.; Kashaninejad, N. Signal-Based Methods in Dielectrophoresis for Cell and Particle Separation. Biosensors 2022, 12, 510. [Google Scholar] [CrossRef]
- Sun, T.; Morgan, H. Single-Cell Microfluidic Impedance Cytometry: A Review. Microfluid. Nanofluidics 2010, 8, 423–443. [Google Scholar] [CrossRef]
- Park, H.; Kim, D.; Yun, K.S. Single-Cell Manipulation on Microfluidic Chip by Dielectrophoretic Actuation and Impedance Detection. Sens. Actuators B Chem. 2010, 150, 167–173. [Google Scholar] [CrossRef]
- Gagnon, Z.R. Cellular Dielectrophoresis: Applications to the Characterization, Manipulation, Separation, and Patterning of Cells. Electrophoresis 2011, 32, 2466–2487. [Google Scholar] [CrossRef] [PubMed]
- Yao, J.; Zhao, K.; Lou, J.; Zhang, K. Recent Advances in Dielectrophoretic Manipulation and Separation of Microparticles and Biological Cells. Biosensors 2024, 14, 417. [Google Scholar] [CrossRef] [PubMed]
- Heo, Y.J.; Lee, D.; Kang, J.; Lee, K.; Chung, W.K. Real-Time Image Processing for Microscopy-Based Label-Free Imaging Flow Cytometry in a Microfluidic Chip. Sci. Rep. 2017, 7, 11651. [Google Scholar] [CrossRef] [PubMed]
- Vedhanayagam, A.; Basu, A.S. Imaging Flow Cytometry at >13K Events/S Using GPU-Accelerated Computer Vision. In Proceedings of the 2019 IEEE SENSORS, Montreal, QC, Canada, 27–30 October 2019. [Google Scholar]
- Breen, L.; Flynn, J.; Bergin, A.; Flampouri, E.; Butler, M. Single Cell Analysis of Chinese Hamster Ovary Cells During a Bioprocess Using a Novel Dynamic Imaging System. Biotechnol. Prog. 2024, 40, e3469. [Google Scholar] [CrossRef] [PubMed]
- Secme, A.; Tefek, U.; Sari, B.; Pisheh, H.S.; Uslu, H.D.; Çalıskan, Ö.A.; Kucukoglu, B.; Erdogan, R.T.; Alhmoud, H.; Sahin, O.; et al. High-Resolution Dielectric Characterization of Single Cells and Microparticles Using Integrated Microfluidic Microwave Sensors. IEEE Sens. J. 2023, 23, 6517–6529. [Google Scholar] [CrossRef]
- Mir, M.; Wang, Z.; Shen, Z.; Bednarz, M.; Bashir, R.; Golding, I.; Prasanth, S.G.; Popescu, G. Optical Measurement of Cycle-Dependent Cell Growth. Proc. Natl. Acad. Sci. USA 2011, 108, 13124–13129. [Google Scholar] [CrossRef]
- Elitas, M.; Islam, M.; Korvink, J.G.; Sengul, E.; Sharbati, P.; Ozogul, B.; Kaymaz, S.V. Quantifying Deformation and Migration Properties of U87 Glioma Cells Using Dielectrophoretic Forces. Biosensors 2022, 12, 946. [Google Scholar] [CrossRef]
- Su, H.W.; Prieto, J.L.; Voldman, J. Rapid Dielectrophoretic Characterization of Single Cells Using the Dielectrophoretic Spring. Lab Chip 2013, 13, 4109–4117. [Google Scholar] [CrossRef]
- Asami, K. Characterization of Heterogeneous Systems by Dielectric Spectroscopy. Prog. Polym. Sci. 2002, 27, 1617–1659. [Google Scholar] [CrossRef]
- Jones, T.B. Electromechanics of Particles; Cambridge University Press: New York, NY, USA, 1995. [Google Scholar]
- Wang, X.; Becker, F.F.; Gascoyne, P.R.C. Membrane Dielectric Changes Indicate Induced Apoptosis in HL-60 Cells More Sensitively than Surface Phosphatidylserine Expression or DNA Fragmentation. Biochim. Biophys. Acta Biomembr. 2002, 1564, 412–420. [Google Scholar] [CrossRef] [PubMed]
- Polevaya, Y.; Ermolina, I.; Schlesinger, M.; Ginzburg, B.Z.; Feldman, Y. Time Domain Dielectric Spectroscopy Study of Human Cells. Biochim. Biophys. Acta Biomembr. 1999, 1419, 257–271. [Google Scholar] [CrossRef] [PubMed]
- DaOrazio, M.; Reale, R.; De Ninno, A.; Brighetti, M.A.; Mencattini, A.; Businaro, L.; Martinelli, E.; Bisegna, P.; Travaglini, A.; Caselli, F. Electro-Optical Classification of Pollen Grains via Microfluidics and Machine Learning. IEEE Trans. Biomed. Eng. 2022, 69, 921–931. [Google Scholar] [CrossRef] [PubMed]
- Dahal, N.; Ehrett, C.; Osterberg, J.A.; Divan, R.; Wang, P. Candida Cell Heterogeneity Measured with a Microwave Flow Cytometer. IEEE J. Electromagn. RF Microw. Med. Biol. 2023, 7, 152–159. [Google Scholar] [CrossRef]
- Yan, S.; Yuan, D. Continuous Microfluidic 3D Focusing Enabling Microflow Cytometry for Single-Cell Analysis. Talanta 2021, 221, 121401. [Google Scholar] [CrossRef]
- Wang, L.; Lu, J.; Marchenko, S.A.; Monuki, E.S.; Flanagan, L.A.; Lee, A.P. Dual Frequency Dielectrophoresis with Interdigitated Sidewall Electrodes for Microfluidic Flow-Through Separation of Beads and Cells. Electrophoresis 2009, 30, 782–791. [Google Scholar] [CrossRef]
- Giesler, J.; Weirauch, L.; Thöming, J.; Baune, M.; Pesch, G.R. Separating Microparticles by Material and Size Using Dielectrophoretic Chromatography with Frequency Modulation. Sci. Rep. 2021, 11, 16861. [Google Scholar] [CrossRef]
- Afshar, S.; Salimi, E.; Braasch, K.; Butler, M.; Thomson, D.J.; Bridges, G.E. Multi-Frequency DEP Cytometer Employing a Microwave Sensor for Dielectric Analysis of Single Cells. IEEE Trans. Microw. Theory Tech. 2016, 64, 991–998. [Google Scholar] [CrossRef]
- Markx, G.H.; Rousselet, J.; Pethig, R. DEP-FFF: Field-flow fractionation using non-uniform electric fields. J. Liq. Chromatogr. Relat. Technol. 1997, 20, 2857–2872. [Google Scholar] [CrossRef]
- Wang, X.B.; Yang, J.; Huang, Y.; Vykoukal, J.; Becker, F.F. Gascoyne PRC. Cell separation by dielectrophoretic field-flow-fractionation. Anal. Chem. 2000, 72, 832–839. [Google Scholar] [CrossRef] [PubMed]
- Wang, Y.; Du, F.; Baune, M.; Thöming, M. Dielectrophoresis in Aqueous Suspension: Impact of Electrode Configuration. Microfluid. Nanofluidics 2014, 17, 499–507. [Google Scholar] [CrossRef]
- Pethig, R.; Markx, G.H. Applications of Dielectrophoresis in Biotechnology. Trends Biotechnol. 1997, 15, 426–432. [Google Scholar] [CrossRef] [PubMed]
- Salimi, E.; Braasch, K.; Butler, M.; Thomson, D.J.; Bridges, G.E. Dielectric Model for Chinese Hamster Ovary Cells Obtained by Dielectrophoresis Cytometry. Biomicrofluidics 2016, 10, 014111. [Google Scholar] [CrossRef] [PubMed]
- Afshar, S.; Salimi, E.; Fazelkhah, A.; Braasch, K.; Mishra, N.; Butler, M.; Thomson, D.J.; Bridges, G.E. Progression of Change in Membrane Capacitance and Cytoplasm Conductivity of Cells during Controlled Starvation Using Dual-Frequency DEP Cytometry. Anal. Chim. Acta 2019, 1059, 59–67. [Google Scholar] [CrossRef]
- Pethig, R.; Kell, D.B. The Passive Electrical Properties of Biological Systems: Their Significance in Physiology, Biophysics, and Biotechnology. Phys. Med. Biol. 1987, 32, 933–970. [Google Scholar] [CrossRef]
- Salimi, E.; Braasch, K.; Fazelkhah, A.; Afshar, S.; Saboktakin Rizi, B.; Mohammad, K.; Butler, M.; Bridges, G.E.; Thomson, D.J. Single Cell Dielectrophoresis Study of Apoptosis Progression Induced by Controlled Starvation. Bioelectrochemistry 2018, 124, 73–79. [Google Scholar] [CrossRef]
- Afshar, S.; Fazelkhah, A.; Braasch, K.; Salimi, E.; Butler, M.; Thomson, D.J.; Bridges, G.E. Full Beta-Dispersion Region Dielectric Spectra and Dielectric Models of Viable and Non-Viable CHO Cells. IEEE J. Electromagn. RF Microw. Med. Biol. 2021, 5, 70–77. [Google Scholar] [CrossRef]
- Gascoyne, P.R.C.; Shim, S.; Noshari, J.; Becker, F.F.; Stemke-Hale, K. Correlations between the Dielectric Properties and Exterior Morphology of Cells Revealed by Dielectrophoretic Field-Flow Fractionation. Electrophoresis 2013, 34, 1042–1050. [Google Scholar] [CrossRef]
- Jeon, H.; Lee, D.-H.; Jundi, B.; Pinilla-Vera, M.; Baron, R.M.; Levy, B.D.; Voldman, J.; Han, J. Fully Automated, Sample-to-Answer Leukocyte Functional Assessment Platform for Continuous Sepsis Monitoring via Microliters of Blood. ACS Sens. 2021, 6, 2747–2756. [Google Scholar] [CrossRef]
- Fikar, P.; Georgiev, V.; Lissorgues, G.; Holubova, M.; Lysak, D.; Georgiev, D. 2DEP Cytometry: Distributed Dielectrophoretic Cytometry for Live Cell Dielectric Signature Measurement on Population Level. Biomed. Microdevices 2018, 20, 12. [Google Scholar] [CrossRef] [PubMed]
- Godino, N.; Pfisterer, F.; Gerling, T.; Guernth-Marschner, C.; Duschl, C.; Kirschbaum, M. Combining Dielectrophoresis and Computer Vision for Precise and Fully Automated Single-Cell Handling and Analysis. Lab Chip 2019, 19, 416–424. [Google Scholar] [CrossRef] [PubMed]
- Henslee, E.A. Review: Dielectrophoresis in Cell Characterization. Electrophoresis 2020, 41, 1915–1930. [Google Scholar] [CrossRef] [PubMed]
- Chen, S.; Zhang, S.; Zhu, R. Computer-Vision-Based Dielectrophoresis Mobility Tracking for Characterization of Single-Cell Biophysical Properties. Anal. Chem. 2022, 94, 14331–14339. [Google Scholar] [CrossRef] [PubMed]
- Arzhang, B.; Lee, J.; Dietrich, J.; Absalan, S.; Kovacs, E.; Salimi, E.; Thomson, D.; Bridges, G. Dielectrophoresis Characterization of Particles and Cells Using Imaging Flow Cytometry. In Proceedings of the 2023 IEEE MTT-S International Conference on Numerical Electromagnetic and Multiphysics Modeling and Optimization (NEMO), Winnipeg, MB, Canada, 28–30 June 2023. [Google Scholar]
- Fazelkhah, A.; Afshar, S.; Durham, N.; Butler, M.; Salimi, E.; Bridges, G.; Thomson, D. Parallel Single-Cell Optical Transit Dielectrophoresis Cytometer. Electrophoresis 2020, 41, 720–728. [Google Scholar] [CrossRef]
- Trackpy (Version 0.6.0). Available online: https://github.com/soft-matter/trackpy (accessed on 17 July 2024).
- Gascoyne, P.R.C.; Vykoukal, J. Particle Separation by Dielectrophoresis. Electrophoresis 2002, 23, 1973–1983. [Google Scholar] [CrossRef]
- Cottet, J.; Fabregue, O.; Berger, C.; Buret, F.; Renaud, P.; Frénéa-Robin, M. MyDEP: A New Computational Tool for Dielectric Modeling of Particles and Cells. Biophys. J. 2019, 116, 12–18. [Google Scholar] [CrossRef]
- Model, M.A.; Schonbrun, E. Optical Determination of Intracellular Water in Apoptotic Cells. J. Physiol. 2013, 591, 5843–5849. [Google Scholar] [CrossRef]
- Panayiotidis, M.I.; Bortner, C.D.; Cidlowski, J.A. On the Mechanism of Ionic Regulation of Apoptosis: Would the Na+/K+-ATPase Please Stand Up? Acta Physiol. 2006, 187, 205–221. [Google Scholar] [CrossRef]
- Mulhall, H.J.; Cardnell, A.; Hoettges, K.F.; Labeed, F.H.; Hughes, M.P. Apoptosis Progression Studied Using Parallel Dielectrophoresis Electrophysiological Analysis and Flow Cytometry. Integr. Biol. 2015, 7, 1396–1401. [Google Scholar] [CrossRef]
- Honegger, T.; Berton, K.; Picard, E.; Peyrade, D. Determination of Clausius-Mossotti Factors and Surface Capacitances for Colloidal Particles. Appl. Phys. Lett. 2011, 98, 18. [Google Scholar] [CrossRef]
- Shames, I.H. Mechanics of Fluids, 4th ed.; McGraw-Hill: Boston, MA, USA, 2003. [Google Scholar]
- Ganatos, P.; Weinbaum, S.; Pfeffer, R.A. A Strong Interaction Theory for the Creeping Motion of a Sphere Between Plane Parallel Boundaries. Part 1. Perpendicular Motion. J. Fluid Mech. 1980, 99, 739–753. [Google Scholar] [CrossRef]
- Hofmann, G. Iscotables: A Handbook of Data for Biological and Physical Scientists; Instrumentation Specialties Company: Lincoln, NE, USA, 1977. [Google Scholar]
- Polybead® Polystyrene Microspheres. Available online: https://www.polysciences.com/media/pdf/technical-data-sheets/238-Polystyrene-FAQ.pdf (accessed on 17 July 2024).
- Kasarabada, V.; Ahamed, N.N.N.; Vaghef-Koodehi, A.; Martinez-Martinez, G.; Lapizco-Encinas, B.H. Separating the Living from the Dead: An Electrophoretic Approach. Anal. Chem. 2024, 96, 15711–15719. [Google Scholar] [CrossRef] [PubMed]
- Opel, C.F.; Li, J.; Amanullah, A. Quantitative Modeling of Viable Cell Density, Cell Size, Intracellular Conductivity, and Membrane Capacitance in Batch and Fed-Batch CHO Processes Using Dielectric Spectroscopy. Biotechnol. Prog. 2010, 26, 1187–1199. [Google Scholar] [CrossRef] [PubMed]
- Kerr, J.F.R.; Wyllie, A.H.; Currie, A.R. Apoptosis: A Basic Biological Phenomenon with Wide-ranging Implications in Tissue Kinetics. Br. J. Cancer 1972, 26, 239–257. [Google Scholar] [CrossRef]
- Kasim, N.R.; Kuželová, K.; Holoubek, A.; Model, M.A. Live Fluorescence and Transmission-through-Dye Microscopic Study of Actinomycin D-Induced Apoptosis and Apoptotic Volume Decrease. Apoptosis 2013, 18, 521–532. [Google Scholar] [CrossRef]
- Winer, M.H.; Ahmadi, A.; Cheung, K.C. Application of a Three-Dimensional (3D) Particle Tracking Method to Microfluidic Particle Focusing. Lab Chip 2014, 14, 1443–1451. [Google Scholar] [CrossRef]








| Parameter | Symbol | Viable CHO | Non-Viable CHO |
|---|---|---|---|
| 6.25 | 5.5 | ||
| Nuclear envelope thickness (nm) | 40 | 40 | |
| Plasma membrane thickness (nm) | 5 | 5 | |
| Nuclear envelope conductivity (S/m) | |||
| Nucleus conductivity (S/m) | |||
Disclaimer/Publisher’s Note: The statements, opinions and data contained in all publications are solely those of the individual author(s) and contributor(s) and not of MDPI and/or the editor(s). MDPI and/or the editor(s) disclaim responsibility for any injury to people or property resulting from any ideas, methods, instructions or products referred to in the content. |
© 2024 by the authors. Licensee MDPI, Basel, Switzerland. This article is an open access article distributed under the terms and conditions of the Creative Commons Attribution (CC BY) license (https://creativecommons.org/licenses/by/4.0/).
Share and Cite
Arzhang, B.; Lee, J.; Kovacs, E.; Butler, M.; Salimi, E.; Thomson, D.J.; Bridges, G.E. Combined Dielectric-Optical Characterization of Single Cells Using Dielectrophoresis-Imaging Flow Cytometry. Biosensors 2024, 14, 577. https://doi.org/10.3390/bios14120577
Arzhang B, Lee J, Kovacs E, Butler M, Salimi E, Thomson DJ, Bridges GE. Combined Dielectric-Optical Characterization of Single Cells Using Dielectrophoresis-Imaging Flow Cytometry. Biosensors. 2024; 14(12):577. https://doi.org/10.3390/bios14120577
Chicago/Turabian StyleArzhang, Behnam, Justyna Lee, Emerich Kovacs, Michael Butler, Elham Salimi, Douglas J. Thomson, and Greg E. Bridges. 2024. "Combined Dielectric-Optical Characterization of Single Cells Using Dielectrophoresis-Imaging Flow Cytometry" Biosensors 14, no. 12: 577. https://doi.org/10.3390/bios14120577
APA StyleArzhang, B., Lee, J., Kovacs, E., Butler, M., Salimi, E., Thomson, D. J., & Bridges, G. E. (2024). Combined Dielectric-Optical Characterization of Single Cells Using Dielectrophoresis-Imaging Flow Cytometry. Biosensors, 14(12), 577. https://doi.org/10.3390/bios14120577

