A Cell-Based Electrochemical Biosensor for the Detection of Infectious Hepatitis A Virus
Abstract
1. Introduction
2. Materials and Methods
2.1. Chemicals and Apparatus
2.2. Cell Culture
2.3. HAV Generation
2.4. Electrode Preparation
2.5. Optimization of HAV Incubation Time
2.6. Electrochemical Measurements
2.7. Biosensor Limit of Detection (LOD) and Specificity Testing
2.8. Temperature Treatment of HAV for Testing with the Fabricated Biosensor
2.9. Biosensor Stability
2.10. Statistical Analyses
3. Results and Discussion
3.1. Development of the Biosensing Platform and Optimization of Incubation Time for HAV Detection


3.2. Sensitivity and LOD of the Biosensor
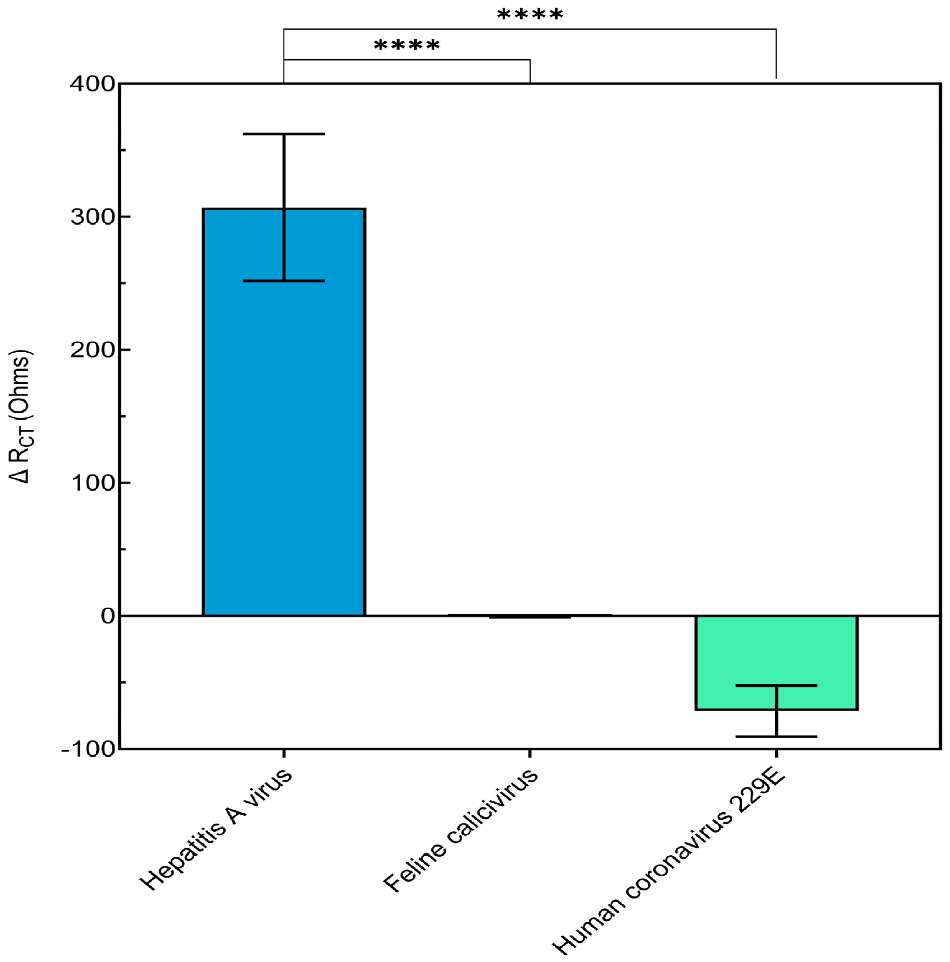
3.3. Specificity of the Biosensor
3.4. Differentiation Between Infectious and Non-Infectious HAV
3.5. Biosensor Stability Testing
| Method | Platform | Biorecognition Element | Analyte | LOD |
|---|---|---|---|---|
| Immunosensor array [56] | Au electrode modified with nanogold particles | HAV monoclonal antibody | HAV antigen | 0.1 pg/mL |
| Indirect competitive Immunosensor [29] | Carbon nano-powder paste electrode | HAV capture antibodies | HAV antigen | 26 × 10−5 IU/mL |
| DNA biosensor [28] | Au electrode | ssDNA probe | HAV ssDNA and cDNA | 0.65 pM for ssDNA; 6.94 fg/µL for viral cDNA |
| Cell biosensor (This study) | Au-modified screen-printed electrode | FRhK-4 cells | Infectious HAV | 5 TCID50/mL |
4. Conclusions
Author Contributions
Funding
Institutional Review Board Statement
Informed Consent Statement
Data Availability Statement
Conflicts of Interest
References
- Vaughan, G.; Rossi, L.M.G.; Forbi, J.C.; de Paula, V.S.; Purdy, M.A.; Xia, G.; Khudyakov, Y.E. Hepatitis A virus: Host interactions, molecular epidemiology and evolution. Infect. Genet. Evol. 2014, 21, 227–243. [Google Scholar] [CrossRef] [PubMed]
- Cliver, D.O. Epidemiology of Viral Foodborne Disease. J. Food Prot. 1994, 57, 263–266. [Google Scholar] [CrossRef]
- Nemes, K.; Persson, S.; Simonsson, M. Hepatitis a virus and hepatitis E virus as food-and waterborne pathogens—Transmission routes and methods for detection in food. Viruses 2023, 15, 1725. [Google Scholar] [CrossRef] [PubMed]
- Cuthbert, J.A. Hepatitis A: Old and New. Clin. Microbiol. Rev. 2001, 14, 38–58. [Google Scholar] [CrossRef]
- CDC. Widespread Hepatitis A Outbreaks Associated with Person-to-Person Transmission—United States, 2016–2020. Available online: https://www.cdc.gov/mmwr/volumes/71/wr/mm7139a1.htm (accessed on 20 August 2024).
- CDC. Hepatitis A Outbreak Linked to Person-to-Person Contact. Available online: https://www.cdc.gov/hepatitis/outbreaks/ongoing-hepatitis-a/index.html (accessed on 20 August 2024).
- Hofmeister, M.G.; Gupta, N.; Lauro, P.; Brock, E.M.; May, A.; Smith, C.; Arizmendi, O.; Brown, K.; Jervis, R.H.; Shen, A.Q.; et al. Preventable Deaths During Widespread Community Hepatitis A Outbreaks—United States, 2016–2022. MMWR. Morb. Mortal. Wkly. Rep. 2023, 72, 1128–1133. [Google Scholar] [CrossRef] [PubMed]
- Horn, E.K.; Herrera-Restrepo, O.; Acosta, A.M.; Simon, A.; Jackson, B.; Lucas, E. The Burden of Hepatitis A Outbreaks in the United States: Health Outcomes, Economic Costs, and Management Strategies. J. Infect. Dis. 2024, 230, e199–e218. [Google Scholar] [CrossRef] [PubMed]
- Bosch, A.; Gkogka, E.; Le Guyader, F.S.; Loisy-Hamon, F.; Lee, A.; Van Lieshout, L.; Marthi, B.; Myrmel, M.; Sansom, A.; Schultz, A.C.; et al. Foodborne viruses: Detection, risk assessment, and control options in food processing. Int. J. Food Microbiol. 2018, 285, 110–128. [Google Scholar] [CrossRef]
- Mcclure, M.; Nsubuga, J.; Montgomery, M.P.; Jenkins, E.; Crosby, A.; Schoelen, D.; Basler, C.; Ramachandran, S.; Lin, Y.; Xia, G.-L.; et al. A 2019 Outbreak Investigation of Hepatitis A Virus Infections in the United States Linked to Imported Fresh Blackberries. Food Environ. Virol. 2022, 14, 236–245. [Google Scholar] [CrossRef]
- FDA. Outbreak Investigation of Hepatitis A Virus Infections: Frozen Strawberries (February 2023). Available online: https://www.fda.gov/food/outbreaks-foodborne-illness/outbreak-investigation-hepatitis-virus-infections-frozen-strawberries-february-2023 (accessed on 20 August 2024).
- Gandhi, A.P.; Al-Mohaithef, M.; Aparnavi, P.; Bansal, M.; Satapathy, P.; Kukreti, N.; Rustagi, S.; Khatib, M.N.; Gaidhane, S.; Zahiruddin, Q.S. Global outbreaks of foodborne hepatitis A: Systematic review and meta-analysis. Heliyon 2024, 10, e28810. [Google Scholar] [CrossRef]
- Pondé, R.A.D.A. The serological markers of acute infection with hepatitis A, B, C, D, E and G viruses revisited. Arch. Virol. 2017, 162, 3587–3602. [Google Scholar] [CrossRef] [PubMed]
- Lee, J.-H.; Seo, H.S.; Kwon, J.-H.; Kim, H.-T.; Kwon, K.C.; Sim, S.J.; Cha, Y.J.; Lee, J. Multiplex diagnosis of viral infectious diseases (AIDS, hepatitis C, and hepatitis A) based on point of care lateral flow assay using engineered proteinticles. Biosens. Bioelectron. 2015, 69, 213–225. [Google Scholar] [CrossRef]
- Nainan, O.V.; Xia, G.; Vaughan, G.; Margolis, H.S. Diagnosis of Hepatitis A Virus Infection: A Molecular Approach. Clin. Microbiol. Rev. 2006, 19, 63–79. [Google Scholar] [CrossRef]
- Behzadi, P.; Ranjbar, R.; Alavian, S.M. Nucleic Acid-Based Approaches for Detection of Viral Hepatitis. Jundishapur J. Microbiol. 2014, 8, e17449. [Google Scholar] [CrossRef] [PubMed]
- Watzinger, F.; Ebner, K.; Lion, T. Detection and monitoring of virus infections by real-time PCR. Mol. Asp. Med. 2006, 27, 254–298. [Google Scholar] [CrossRef] [PubMed]
- FDA. Sampling and Testing Method Guidance for the Detection of Norovirus and Hepatitis A Virus in Soft Fruit; FDA: Rockville, MD, USA, 2020.
- Lebourgeois, S.; Fraisse, A.; Hennechart-Collette, C.; Guillier, L.; Perelle, S.; Martin-Latil, S. Development of a real-time cell analysis (RTCA) method as a fast and accurate method for detecting infectious particles of the adapted strain of hepatitis A virus. Front. Cell. Infect. Microbiol. 2018, 8, 335. [Google Scholar] [CrossRef]
- Maddali, H.; Miles, C.E.; Kohn, J.; O’Carroll, D.M. Optical Biosensors for Virus Detection: Prospects for SARS-CoV-2/COVID-19. ChemBioChem 2021, 22, 1176–1189. [Google Scholar] [CrossRef]
- Ménard-Moyon, C.; Bianco, A.; Kalantar-Zadeh, K. Two-Dimensional Material-Based Biosensors for Virus Detection. ACS Sensors 2020, 5, 3739–3769. [Google Scholar] [CrossRef] [PubMed]
- Štukovnik, Z.; Bren, U. Recent developments in electrochemical-impedimetric biosensors for virus detection. Int. J. Mol. Sci. 2022, 23, 15922. [Google Scholar] [CrossRef]
- Patel, D.; Zhou, Y.; Ramasamy, R.P. A bacteriophage-based electrochemical biosensor for detection of methicillin-resistant Staphylococcus aureus. J. Electrochem. Soc. 2021, 168, 057523. [Google Scholar] [CrossRef]
- Suganthan, B.; Rogers, A.M.; Crippen, C.S.; Asadi, H.; Zolti, O.; Szymanski, C.M.; Ramasamy, R.P. A Bacteriophage Protein-Based Impedimetric Electrochemical Biosensor for the Detection of Campylobacter jejuni. Biosensors 2024, 14, 402. [Google Scholar] [CrossRef] [PubMed]
- Zolti, O.; Suganthan, B.; Maynard, R.; Asadi, H.; Locklin, J.; Ramasamy, R.P.; Zolti, O.; Suganthan, B.; Maynard, R.; Asadi, H.; et al. Electrochemical Biosensor for Rapid Detection of Listeria monocytogenes. J. Electrochem. Soc. 2022, 169, 067510. [Google Scholar] [CrossRef]
- Zolti, O.; Suganthan, B.; Nagdeve, S.N.; Maynard, R.; Locklin, J.; Ramasamy, R.P.; Zolti, O.; Suganthan, B.; Nagdeve, S.N.; Maynard, R.; et al. Investigation of the Efficacy of a Listeria monocytogenes Biosensor Using Chicken Broth Samples. Sensors 2024, 24, 2617. [Google Scholar] [CrossRef]
- Zolti, O.; Suganthan, B.; Ramasamy, R.P.; Zolti, O.; Suganthan, B.; Ramasamy, R.P. Lab-on-a-Chip Electrochemical Biosensors for Foodborne Pathogen Detection: A Review of Common Standards and Recent Progress. Biosensors 2023, 13, 215. [Google Scholar] [CrossRef]
- Manzano, M.; Viezzi, S.; Mazerat, S.; Marks, R.S.; Vidic, J. Rapid and label-free electrochemical DNA biosensor for detecting hepatitis A virus. Biosens. Bioelectron. 2018, 100, 89–95. [Google Scholar] [CrossRef]
- Mandli, J.; Attar, A.; Ennaji, M.M.; Amine, A. Indirect competitive electrochemical immunosensor for hepatitis A virus antigen detection. J. Electroanal. Chem. 2017, 799, 213–221. [Google Scholar] [CrossRef]
- Gheorghiu, M. A short review on cell-based biosensing: Challenges and breakthroughs in biomedical analysis. J. Biomed. Res. 2021, 35, 255. [Google Scholar] [CrossRef]
- Gupta, N.; Renugopalakrishnan, V.; Liepmann, D.; Paulmurugan, R.; Malhotra, B.D. Cell-based biosensors: Recent trends, challenges and future perspectives. Biosens. Bioelectron. 2019, 141, 111435. [Google Scholar] [CrossRef]
- Cheng, M.S.; Lau, S.H.; Chan, K.P.; Toh, C.-S.; Chow, V.T. Impedimetric cell-based biosensor for real-time monitoring of cytopathic effects induced by dengue viruses. Biosens. Bioelectron. 2015, 70, 74–80. [Google Scholar] [CrossRef]
- Mavrikou, S.; Moschopoulou, G.; Tsekouras, V.; Kintzios, S. Development of a portable, ultra-rapid and ultra-sensitive cell-based biosensor for the direct detection of the SARS-CoV-2 S1 spike protein antigen. Sensors 2020, 20, 3121. [Google Scholar] [CrossRef]
- Oeyen, M.; Meyen, E.; Doijen, J.; Schols, D. In-depth characterization of Zika virus inhibitors using cell-based electrical impedance. Microbiol. Spectr. 2022, 10, e00491-22. [Google Scholar] [CrossRef]
- zEsseili, M.A.; Saif, L.J.; Farkas, T.; Wang, Q. Feline Calicivirus, Murine Norovirus, Porcine Sapovirus, and Tulane Virus Survival on Postharvest Lettuce. Appl. Environ. Microbiol. 2015, 81, 5085–5092. [Google Scholar] [CrossRef]
- Barrett, P.N.; Meyer, H.; Wachtel, I.; Eibl, J.; Dorner, F. Determination of the inactivation kinetics of hepatitis A virus in human plasma products using a simple TCID50 assay. J. Med. Virol. 1996, 49, 1–6. [Google Scholar] [CrossRef]
- Randviir, E.P.; Banks, C.E. A review of electrochemical impedance spectroscopy for bioanalytical sensors. Anal. Methods 2022, 14, 4602–4624. [Google Scholar] [CrossRef]
- Srinivasan, S. Electrode/electrolyte interfaces: Structure and kinetics of charge transfer. In Fuel Cells: From Fundamentals to Applications; Springer: Berlin/Heidelberg, Germany, 2006; pp. 27–92. [Google Scholar]
- Ziebuhr, J.; Herold, J.; Siddell, S.G. Characterization of a human coronavirus (strain 229E) 3C-like proteinase activity. J. Virol. 1995, 69, 4331–4338. [Google Scholar] [CrossRef]
- Wang, S.; Zhang, J.; Gharbi, O.; Vivier, V.; Gao, M.; Orazem, M.E. Electrochemical impedance spectroscopy. Nat. Rev. Methods Primers 2021, 1, 41. [Google Scholar] [CrossRef]
- Rinken, T. Biosensors: Micro and Nanoscale Applications; BoD–Books on Demand: Norderstedt, Germany, 2015. [Google Scholar]
- Bahadır, E.B.; Sezgintürk, M.K. Electrochemical biosensors for hormone analyses. Biosens. Bioelectron. 2015, 68, 62–71. [Google Scholar] [CrossRef]
- Grossi, M.; Riccò, B. Electrical impedance spectroscopy (EIS) for biological analysis and food characterization: A review. J. Sens. Sens. Syst. 2017, 6, 303–325. [Google Scholar] [CrossRef]
- Hansen, L.; Nagdeve, S.N.; Suganthan, B.; Ramasamy, R.P. An Electrochemical Nucleic Acid Biosensor for Triple-Negative Breast Cancer Biomarker Detection. Sensors 2024, 24, 5747. [Google Scholar] [CrossRef]
- Cao, X.; Ye, Y.; Liu, S. Gold nanoparticle-based signal amplification for biosensing. Anal. Biochem. 2011, 417, 1–16. [Google Scholar] [CrossRef]
- Kerman, K.; Saito, M.; Tamiya, E.; Yamamura, S.; Takamura, Y. Nanomaterial-based electrochemical biosensors for medical applications. TrAC Trends Anal. Chem. 2008, 27, 585–592. [Google Scholar] [CrossRef]
- Kim, E.Y.; Kumar, D.; Khang, G.; Lim, D.-K. Recent advances in gold nanoparticle-based bioengineering applications. J. Mater. Chem. B 2015, 3, 8433–8444. [Google Scholar] [CrossRef]
- Umasankar, Y.; Ramasamy, R.P. Highly sensitive electrochemical detection of methyl salicylate using electroactive gold nanoparticles. Analyst 2013, 138, 6623–6631. [Google Scholar] [CrossRef]
- Karakoçak, B.B.; Raliya, R.; Davis, J.T.; Chavalmane, S.; Wang, W.-N.; Ravi, N.; Biswas, P. Biocompatibility of gold nanoparticles in retinal pigment epithelial cell line. Toxicol. Vitr. 2016, 37, 61–69. [Google Scholar] [CrossRef]
- Bodelón, G.; Costas, C.; Pérez-Juste, J.; Pastoriza-Santos, I.; Liz-Marzán, L.M. Gold nanoparticles for regulation of cell function and behavior. Nano Today 2017, 13, 40–60. [Google Scholar] [CrossRef]
- Richards, G.P. Critical review of norovirus surrogates in food safety research: Rationale for considering volunteer studies. Food Environ. Virol. 2012, 4, 6–13. [Google Scholar] [CrossRef]
- Liu, D.X.; Liang, J.Q.; Fung, T.S. Human coronavirus-229E,-OC43,-NL63, and-HKU1 (Coronaviridae). Encycl. Virol. 2021, 2, 428–440. [Google Scholar]
- Warnes, S.L.; Little, Z.R.; Keevil, C.W. Human coronavirus 229E remains infectious on common touch surface materials. MBio 2015, 6, e01697-15. [Google Scholar] [CrossRef]
- Murphy, P.; Nowak, T.; Lemon, S.M.; Hilfenhaus, J. Inactivation of hepatitis A virus by heat treatment in aqueous solution. J. Med. Virol. 1993, 41, 61–64. [Google Scholar] [CrossRef]
- Trudel-Ferland, M.; Jubinville, E.; Jean, J. Persistence of Hepatitis A Virus RNA in water, on non-porous surfaces, and on blueberries. Front. Microbiol. 2021, 12, 618352. [Google Scholar] [CrossRef]
- Tang, D.; Tang, J.; Su, B.; Ren, J.; Chen, G. Simultaneous determination of five-type hepatitis virus antigens in 5 min using an integrated automatic electrochemical immunosensor array. Biosens. Bioelectron. 2010, 25, 1658–1662. [Google Scholar] [CrossRef] [PubMed]






Disclaimer/Publisher’s Note: The statements, opinions and data contained in all publications are solely those of the individual author(s) and contributor(s) and not of MDPI and/or the editor(s). MDPI and/or the editor(s) disclaim responsibility for any injury to people or property resulting from any ideas, methods, instructions or products referred to in the content. |
© 2024 by the authors. Licensee MDPI, Basel, Switzerland. This article is an open access article distributed under the terms and conditions of the Creative Commons Attribution (CC BY) license (https://creativecommons.org/licenses/by/4.0/).
Share and Cite
Kaur, D.; Esseili, M.A.; Ramasamy, R.P. A Cell-Based Electrochemical Biosensor for the Detection of Infectious Hepatitis A Virus. Biosensors 2024, 14, 576. https://doi.org/10.3390/bios14120576
Kaur D, Esseili MA, Ramasamy RP. A Cell-Based Electrochemical Biosensor for the Detection of Infectious Hepatitis A Virus. Biosensors. 2024; 14(12):576. https://doi.org/10.3390/bios14120576
Chicago/Turabian StyleKaur, Dilmeet, Malak A. Esseili, and Ramaraja P. Ramasamy. 2024. "A Cell-Based Electrochemical Biosensor for the Detection of Infectious Hepatitis A Virus" Biosensors 14, no. 12: 576. https://doi.org/10.3390/bios14120576
APA StyleKaur, D., Esseili, M. A., & Ramasamy, R. P. (2024). A Cell-Based Electrochemical Biosensor for the Detection of Infectious Hepatitis A Virus. Biosensors, 14(12), 576. https://doi.org/10.3390/bios14120576

