Effect of the Combination of Gold Nanoparticles and Polyelectrolyte Layers on SERS Measurements
Abstract
1. Introduction
2. Materials and Methods
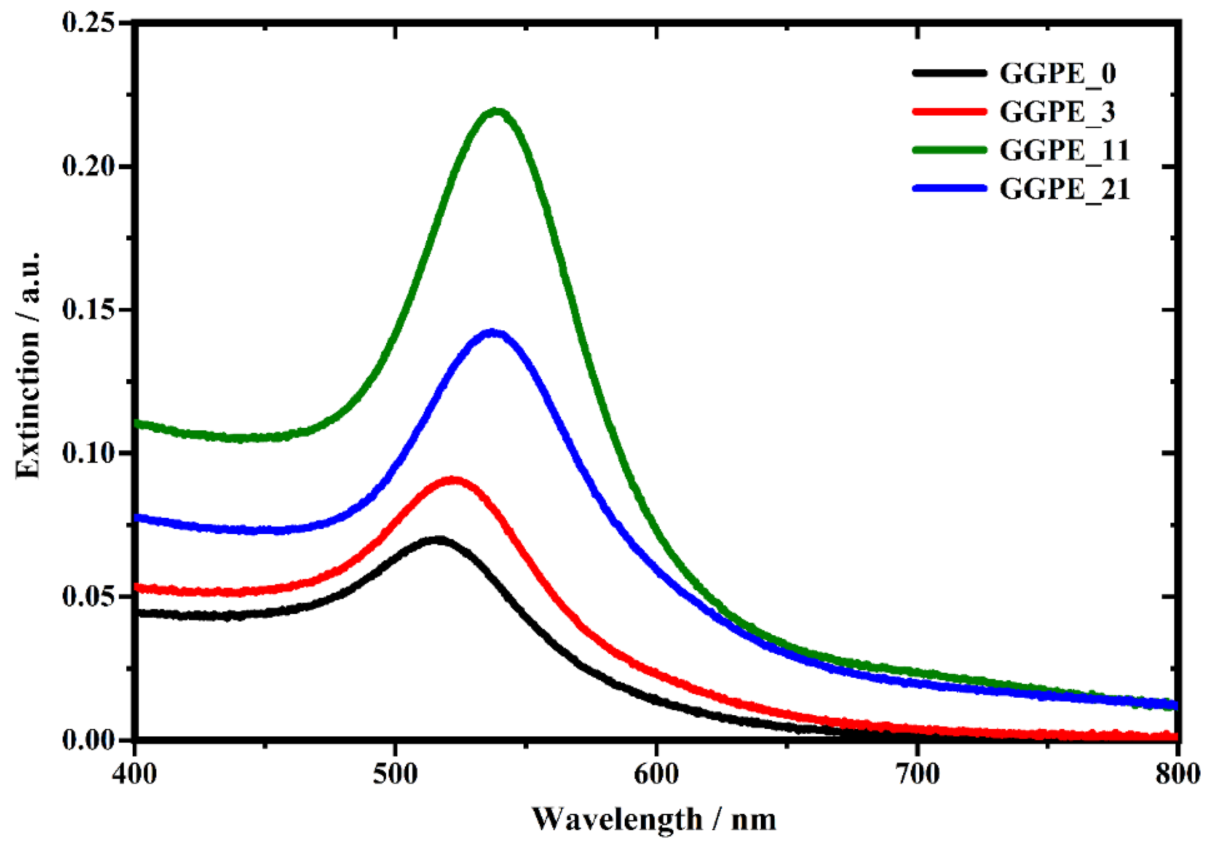
3. Results and Discussion
4. Conclusions
Author Contributions
Funding
Data Availability Statement
Conflicts of Interest
References
- Coppede, N.; Castriota, M.; Cazzanelli, E.; Forti, S.; Tarabella, G.; Toccoli, T.; Walzer, K.; Iannotta, S. Controlled polymorphism in titanyl phthalocyanine on mica by hyperthermal beams: A micro-Raman analysis. J. Phys. Chem. C 2010, 114, 7038–7044. [Google Scholar] [CrossRef]
- Rizzuto, C.; Teeters, D.C.; Barberi, R.C.; Castriota, M. Plasticizers and Salt Concentrations Effects on Polymer Gel Electrolytes Based on Poly (Methyl Methacrylate) for Electrochemical Applications. Gels 2022, 8, 363. [Google Scholar] [CrossRef] [PubMed]
- Geng-Yi, D.; Gui-Ying, S.; Teng, L.; Chong, Z. Effects of Sr addition on microstructures and mechanical properties of Mg-1Zn-1Ca-xSr alloys. Mater. Res. Express 2020, 7, 016530. [Google Scholar] [CrossRef]
- Cupolillo, A.; Castriota, M.; Cazzanelli, E.; Caputi, L.; Giallombardo, C.; Mariotto, G.; Papagno, L. Second-order Raman scattering from linear carbon chains inside multiwalled carbon nanotubes. J. Raman Spectrosc. 2008, 39, 147–152. [Google Scholar] [CrossRef]
- Grimaldi, I.; Gerace, T.; Pipita, M.; Perrotta, I.; Ciuchi, F.; Berger, H.; Papagno, M.; Castriota, M.; Pacilé, D. Structural investigation of InSe layered semiconductors. Solid State Commun. 2020, 311, 113855. [Google Scholar] [CrossRef]
- Castriota, M.; Fasanella, A.; Cazzanelli, E.; De Sio, L.; Caputo, R.; Umeton, C. In situ polarized micro-Raman investigation of periodic structures realized in liquid-crystalline composite materials. Opt. Express 2011, 19, 10494–10500. [Google Scholar] [CrossRef]
- Fasanella, A.; Cosentino, K.; Beneduci, A.; Chidichimo, G.; Cazzanelli, E.; Barberi, R.; Castriota, M. Thermal structural evolutions of DMPC-water biomimetic systems investigated by Raman Spectroscopy. Biochim. Biophys. Acta (BBA) Biomembr. 2018, 1860, 1253–1258. [Google Scholar] [CrossRef]
- Cazzanelli, E.; Platania, E.; De Santo, G.; Fasanella, A.; Castriota, M. Micro-spectroscopic Raman investigation on the canvas oil painting ‘Rebecca at the well’ of Neapolitan anonymous. J. Raman Spectrosc. 2012, 43, 1694–1698. [Google Scholar] [CrossRef]
- Purwidyantri, A.; Hsu, C.H.; Yang, C.M.; Prabowo, B.A.; Tian, Y.C.; Lai, C.S. Plasmonic nanomaterial structuring for SERS enhancement. RSC Adv. 2019, 9, 4982–4992. [Google Scholar] [CrossRef]
- Nie, S.; Emory, S.R. Probing single molecules and single nanoparticles by surface-enhanced Raman scattering. Science 1997, 275, 1102–1106. [Google Scholar] [CrossRef]
- Le Ru, E.C.; Meyer, M.; Etchegoin, P.G. Proof of single-molecule sensitivity in surface enhanced Raman scattering (SERS) by means of a two-analyte technique. J. Phys. Chem. B 2006, 110, 1944–1948. [Google Scholar] [CrossRef] [PubMed]
- Halvorson, R.A.; Vikesland, P.J. Surface-enhanced Raman spectroscopy (SERS) for environmental analyses. Environ. Sci. Technol. 2010, 44, 7749–7755. [Google Scholar] [CrossRef] [PubMed]
- Alvarez-Puebla, R.; Liz-Marzan, L. Environmental applications of plasmon assisted Raman scattering. Energy Environ. Sci. 2010, 3, 1011–1017. [Google Scholar] [CrossRef]
- Andreou, C.; Mirsafavi, R.; Moskovits, M.; Meinhart, C.D. Detection of low concentrations of ampicillin in milk. Analyst 2015, 140, 5003–5005. [Google Scholar] [CrossRef] [PubMed]
- Pallaoro, A.; Hoonejani, M.R.; Braun, G.B.; Meinhart, C.D.; Moskovits, M. Rapid identification by surface-enhanced Raman spectroscopy of cancer cells at low concentrations flowing in a microfluidic channel. ACS Nano 2015, 9, 4328–4336. [Google Scholar] [CrossRef]
- Yang, J.; Palla, M.; Bosco, F.G.; Rindzevicius, T.; Alstrøm, T.S.; Schmidt, M.S.; Boisen, A.; Ju, J.; Lin, Q. Surface-enhanced Raman spectroscopy based quantitative bioassay on aptamer-functionalized nanopillars using large-area Raman mapping. ACS Nano 2013, 7, 5350–5359. [Google Scholar] [CrossRef] [PubMed]
- Pilot, R.; Signorini, R.; Durante, C.; Orian, L.; Bhamidipati, M.; Fabris, L. A review on surface-enhanced Raman scattering. Biosensors 2019, 9, 57. [Google Scholar] [CrossRef]
- Fleischmann, M.; Hendra, P.J.; McQuillan, A.J. Raman spectra of pyridine adsorbed at a silver electrode. Chem. Phys. Lett. 1974, 26, 163–166. [Google Scholar] [CrossRef]
- Castriota, M.; Caruso, T.; Policicchio, A.; La Rosa, S.; Agostino, R.G.; Cazzanelli, E. Anomalous enhancement of Raman scattering of metal oxide film deposited on thermally treated ITO-coated glass substrates. Chem. Phys. Lett. 2009, 478, 195–199. [Google Scholar] [CrossRef]
- Mosier-Boss, P.A. Review of SERS substrates for chemical sensing. Nanomaterials 2017, 7, 142. [Google Scholar] [CrossRef]
- Policastro, D.; Giorno, E.; Scarpelli, F.; Godbert, N.; Ricciardi, L.; Crispini, A.; Candreva, A.; Marchetti, F.; Xhafa, S.; De Rose, R.; et al. New Zinc-Based Active Chitosan Films: Physicochemical Characterization, Antioxidant, and Antimicrobial Properties. Front. Chem. 2022, 10, 884059. [Google Scholar] [CrossRef]
- Candreva, A.; Di Maio, G.; Parisi, F.; Scarpelli, F.; Crispini, A.; Godbert, N.; Ricciardi, L.; Nucera, A.; Rizzuto, C.; Barberi, R.C.; et al. Luminescent Self-Assembled Monolayer on Gold Nanoparticles: Tuning of Emission According to the Surface Curvature. Chemosensors 2022, 10, 176. [Google Scholar] [CrossRef]
- Moore, T.J.; Moody, A.S.; Payne, T.D.; Sarabia, G.M.; Daniel, A.R.; Sharma, B. In vitro and in vivo SERS biosensing for disease diagnosis. Biosensors 2018, 8, 46. [Google Scholar] [CrossRef] [PubMed]
- De Silva Indrasekara, A.S. Design criteria to fabricate plasmonic gold nanomaterials for surface-enhanced Raman scattering (SERS)-based biosensing. J. Appl. Phys. 2021, 129, 231102. [Google Scholar] [CrossRef]
- Li, J.F.; Huang, Y.F.; Ding, Y.; Yang, Z.L.; Li, S.B.; Zhou, X.S.; Fan, F.R.; Zhang, W.; Zhou, Z.Y.; Wu, D.Y.; et al. Shell-isolated nanoparticle-enhanced Raman spectroscopy. Nature 2010, 464, 392–395. [Google Scholar] [CrossRef]
- Krajczewski, J.; Kudelski, A. Shell-isolated nanoparticle-enhanced raman spectroscopy. Front. Chem. 2019, 7, 410. [Google Scholar] [CrossRef]
- Palermo, G.; Grillo, R.; Pezzi, L.; Bürgi, T.; Tabiryan, N.; De Sio, L.; Umeton, C. Photo-Aligned Nematic Liquid Crystals Enable the Modulation of Thermoplasmonic Heating. Appl. Sci. 2021, 11, 6272. [Google Scholar] [CrossRef]
- Kimling, J.; Maier, M.; Okenve, B.; Kotaidis, V.; Ballot, H.; Plech, A. Turkevich method for gold nanoparticle synthesis revisited. J. Phys. Chem. B 2006, 110, 15700–15707. [Google Scholar] [CrossRef]
- Decher, G. Fuzzy nanoassemblies: Toward layered polymeric multicomposites. Science 1997, 277, 1232–1237. [Google Scholar] [CrossRef]
- Moores, A.; Goettmann, F. The plasmon band in noble metal nanoparticles: An introduction to theory and applications. New J. Chem. 2006, 30, 1121–1132. [Google Scholar] [CrossRef]
- Shen, X.; Han, K.; Ma, L.; Gao, M.; Xu, X.; Luo, J. Nano-Ag-forest based surface enhanced Raman spectroscopy (SERS) of confined acetic acid. Colloids Surf. A Physicochem. Eng. Asp. 2018, 547, 126–133. [Google Scholar] [CrossRef]
- Bertie, J.E.; Michaelian, K.H. The Raman spectrum of gaseous acetic acid at 21 C. J. Chem. Phys. 1982, 77, 5267–5271. [Google Scholar] [CrossRef]
- Yang, B.; Li, Y.; Gong, N.; Cao, X.; Wang, S.; Sun, C. Study of molecular association in acetic acid-water binary solution by Raman spectroscopy. Spectrochim. Acta Part A Mol. Biomol. Spectrosc. 2019, 213, 463–466. [Google Scholar] [CrossRef] [PubMed]
- Nishi, N.; Nakabayashi, T.; Kosugi, K. Raman spectroscopic study on acetic acid clusters in aqueous solutions: Dominance of acid- acid association producing microphases. J. Phys. Chem. A 1999, 103, 10851–10858. [Google Scholar] [CrossRef]
- White, W.B.; Minser, D.G. Raman spectra and structure of natural glasses. J. Non-Cryst. Solids 1984, 67, 45–59. [Google Scholar] [CrossRef]







Publisher’s Note: MDPI stays neutral with regard to jurisdictional claims in published maps and institutional affiliations. |
© 2022 by the authors. Licensee MDPI, Basel, Switzerland. This article is an open access article distributed under the terms and conditions of the Creative Commons Attribution (CC BY) license (https://creativecommons.org/licenses/by/4.0/).
Share and Cite
Nucera, A.; Grillo, R.; Rizzuto, C.; Barberi, R.C.; Castriota, M.; Bürgi, T.; Caputo, R.; Palermo, G. Effect of the Combination of Gold Nanoparticles and Polyelectrolyte Layers on SERS Measurements. Biosensors 2022, 12, 895. https://doi.org/10.3390/bios12100895
Nucera A, Grillo R, Rizzuto C, Barberi RC, Castriota M, Bürgi T, Caputo R, Palermo G. Effect of the Combination of Gold Nanoparticles and Polyelectrolyte Layers on SERS Measurements. Biosensors. 2022; 12(10):895. https://doi.org/10.3390/bios12100895
Chicago/Turabian StyleNucera, Antonello, Rossella Grillo, Carmen Rizzuto, Riccardo Cristoforo Barberi, Marco Castriota, Thomas Bürgi, Roberto Caputo, and Giovanna Palermo. 2022. "Effect of the Combination of Gold Nanoparticles and Polyelectrolyte Layers on SERS Measurements" Biosensors 12, no. 10: 895. https://doi.org/10.3390/bios12100895
APA StyleNucera, A., Grillo, R., Rizzuto, C., Barberi, R. C., Castriota, M., Bürgi, T., Caputo, R., & Palermo, G. (2022). Effect of the Combination of Gold Nanoparticles and Polyelectrolyte Layers on SERS Measurements. Biosensors, 12(10), 895. https://doi.org/10.3390/bios12100895

