Enhancement in Performance and Reliability of Fully Transparent a-IGZO Top-Gate Thin-Film Transistors by a Two-Step Annealing Treatment
Abstract
1. Introduction
2. Materials and Methods
3. Results
3.1. Optical and Electric Characteristics of TG-TFTs
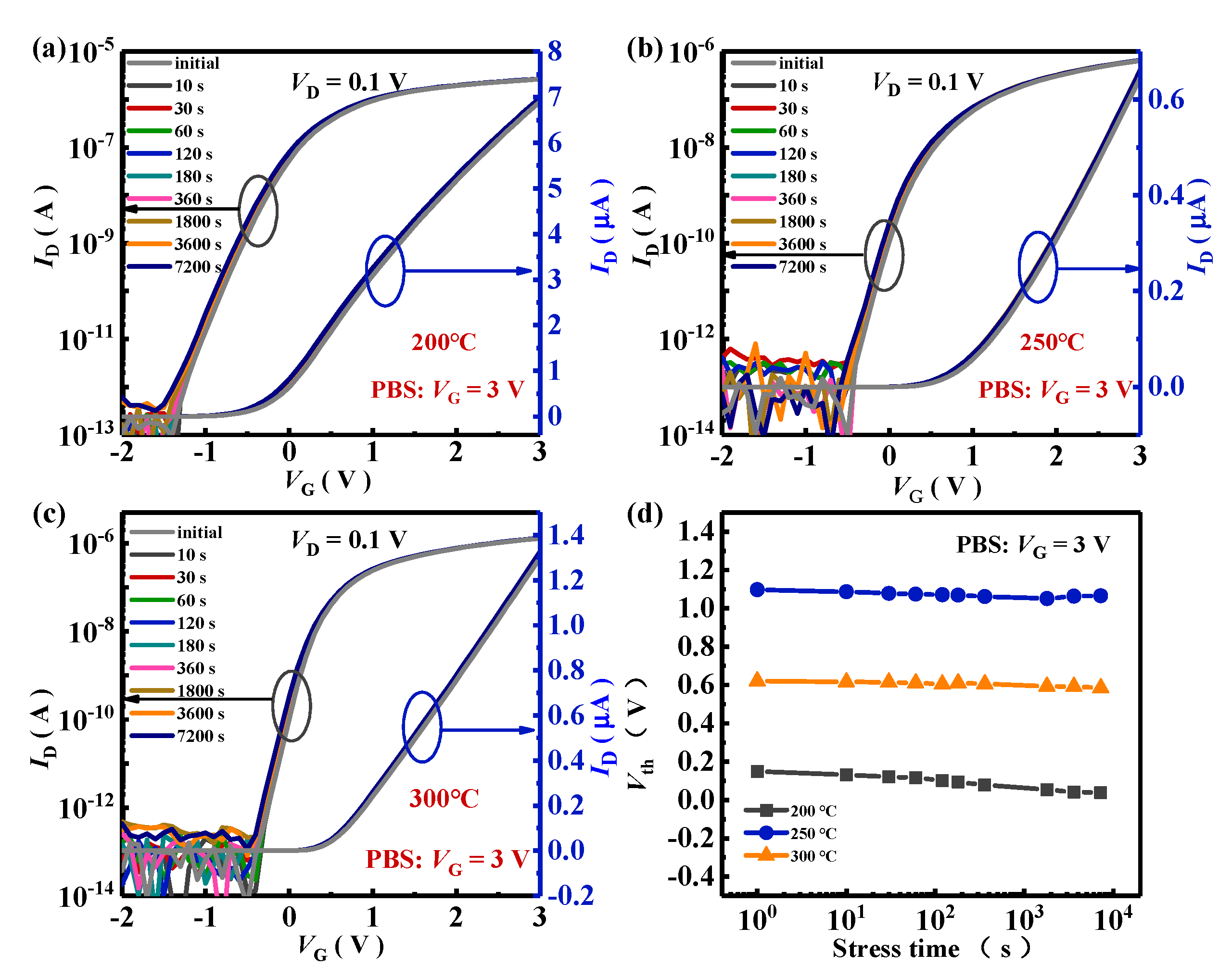
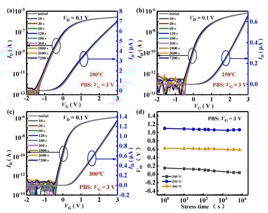
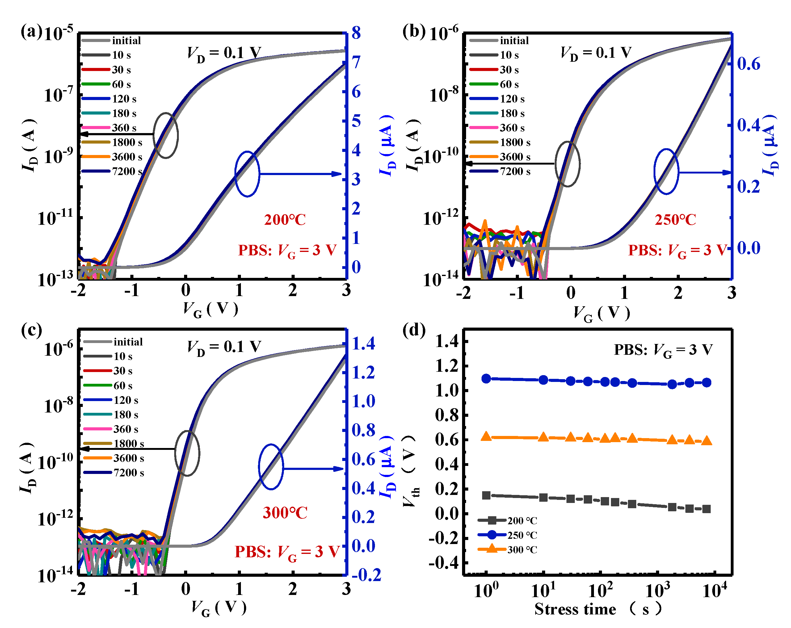
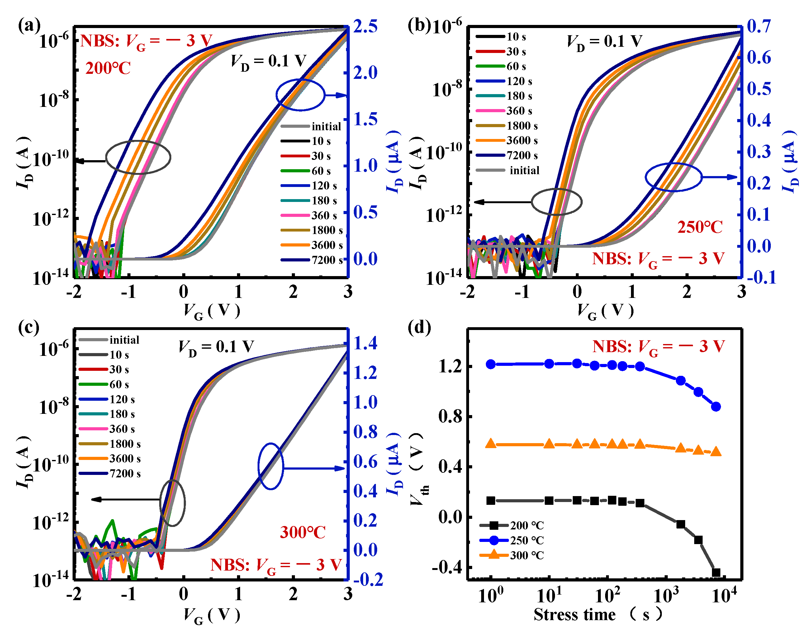
3.2. Electrical Stability Test on a-IGZO TG-TFTs
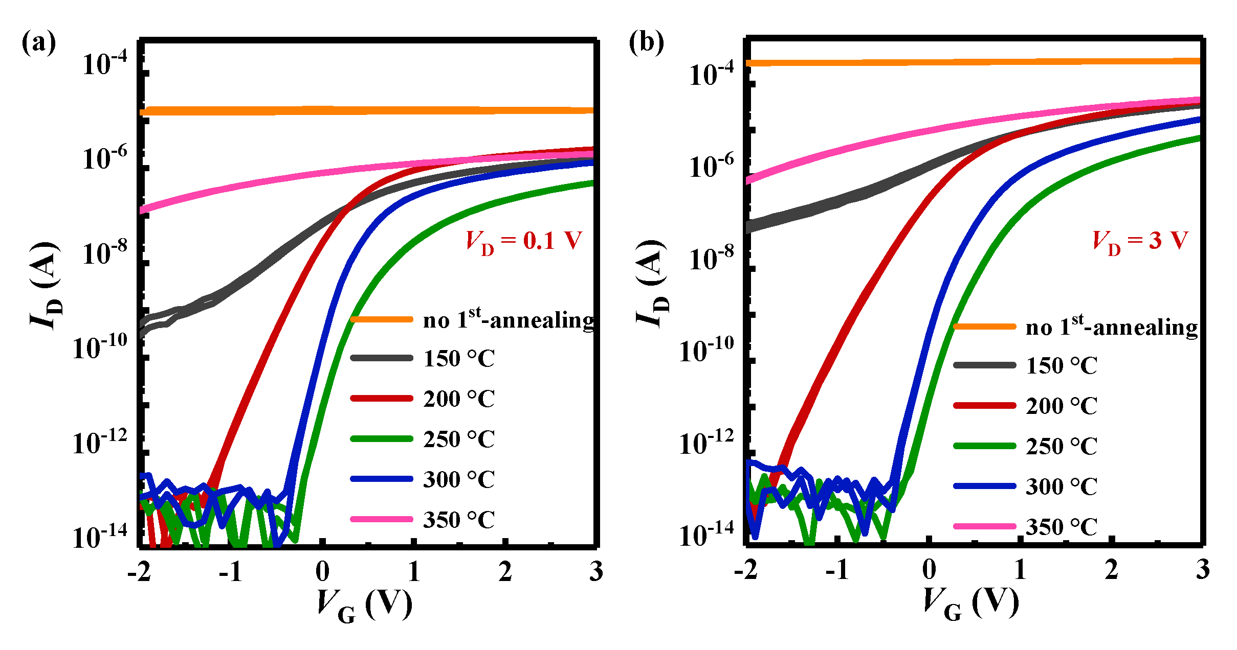
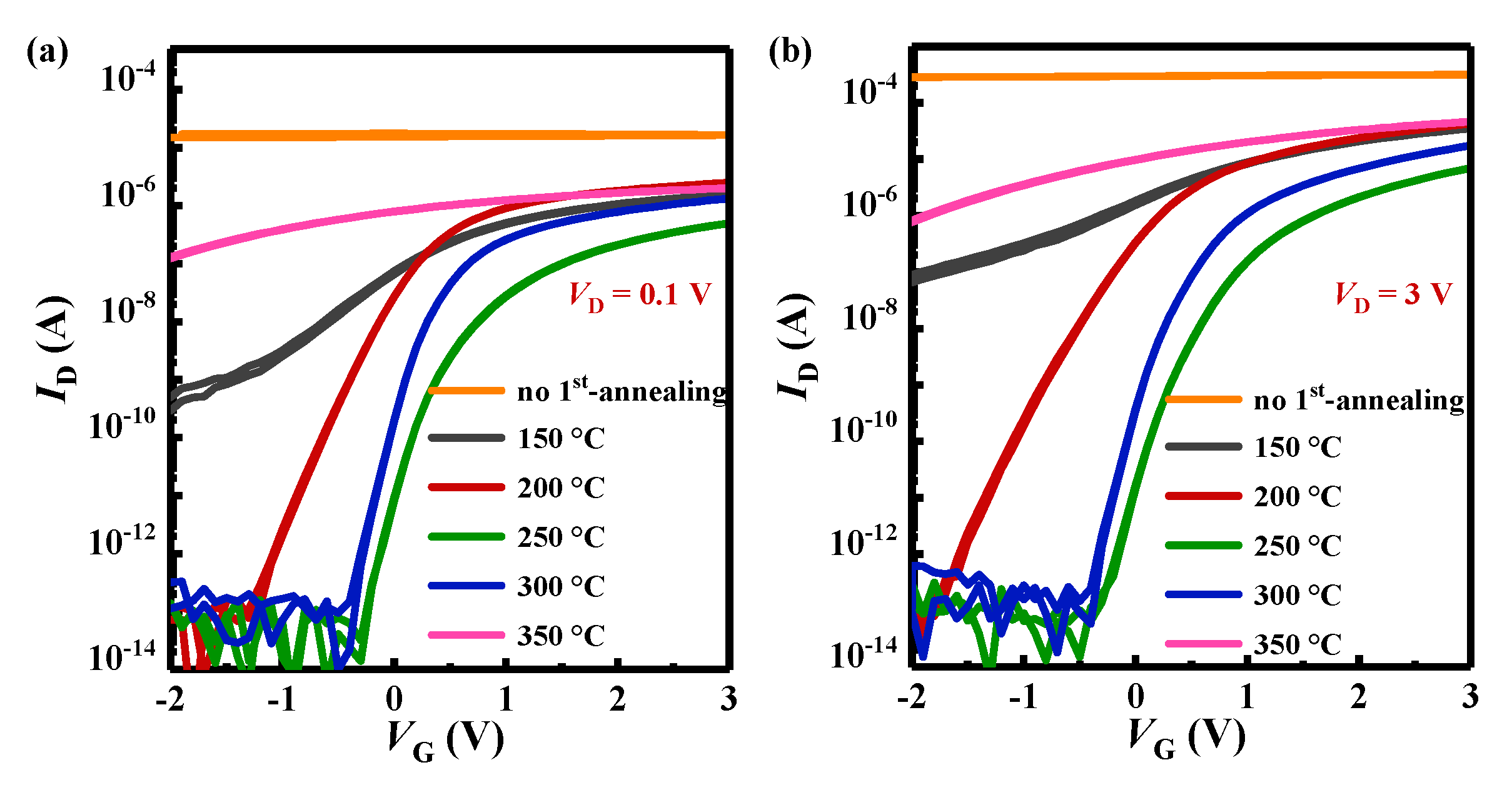
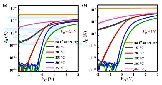
3.3. First-Annealing Effect on a-IGZO Films
4. Conclusions
Author Contributions
Funding
Data Availability Statement
Conflicts of Interest
References
- Kim, Y.; Jeon, G.J.; Lee, M.K.; Lee, S.H.; Park, S.H.K. Transparent top gate oxide TFT with ITO/Ag/ITO low resistance electrode for the application to the high speed operation fingerprint sensor array in the touch panel. In Proceedings of the 13th Symposium on Thin Film Transistor Technologies (TFT), Honolulu, HI, USA, 3–5 October 2016; pp. 247–251. [Google Scholar]
- Mativenga, M.; Haque, F. Highly Stable Thin-Film Transistors for Flexible and Transparent Displays. In Proceedings of the IEEE International Conference on Electrical, Computer, and Energy Technologies (ICECET), Cape Town, South Africa, 9–10 December 2021; pp. 2273–2278. [Google Scholar]
- Fan, J.; Chia-Yu, L.; Shu-jhih, C.; Liu Ming, G.; Zhang Li, J.; Sun, Y.; Lu Ma, C.; Xie Hua, F.; Liu, N.; Jianqing, S.; et al. High transparent Active matrix Mini-LED Full Color Display with IGZO TFT Backplane. SID Symp. Dig. Tech. Pap. 2019, 50, 454–456. [Google Scholar] [CrossRef]
- Li, Y.B.; Chen, T.P. Enhancement in Performance and Reliability of Transparent IGZO Thin-Film Transistors by ITO/Ti Stacked Source/Drain Contacts. ECS J. Solid State Sci. Technol. 2023, 12, 095003. [Google Scholar] [CrossRef]
- Li, J.; Zhang, Y.; Wang, J.; Yang, H.; Zhou, X.; Chan, M.; Wang, X.; Lu, L.; Zhang, S. Near-Ideal Top-Gate Controllability of InGaZnO Thin-Film Transistors by Suppressing Interface Defects with an Ultrathin Atomic Layer Deposited Gate Insulator. ACS Appl. Mater. Interfaces 2023, 15, 8666–8675. [Google Scholar] [CrossRef] [PubMed]
- Ning, H.; Zeng, X.; Zhang, H.; Zhang, X.; Yao, R.; Liu, X.; Luo, D.; Xu, Z.; Ye, Q.; Peng, J. Transparent Flexible IGZO Thin Film Transistors Fabricated at Room Temperature. Membranes 2022, 12, 29. [Google Scholar] [CrossRef] [PubMed]
- Kim, Y.-D.; Han, K.-L.; Kim, J.-H.; Lee, J.-I.; Lee, W.-B.; Park, J.-S.; Choi, B.-D. Effects of Tensile Strain on Dynamic and Static Inverters Using Amorphous Indium-Gallium-Zinc-Oxide TFTs. IEEE Electron Device Lett. 2021, 42, 359–362. [Google Scholar] [CrossRef]
- Velichko, R.; Magari, Y.; Furuta, M. Defect Passivation and Carrier Reduction Mechanisms in Hydrogen-Doped In-Ga-Zn-O (IGZO:H) Films upon Low-Temperature Annealing for Flexible Device Applications. Materials 2022, 15, 334. [Google Scholar] [CrossRef]
- Hanyu, Y.; Abe, K.; Domen, K.; Nomura, K.; Hiramatsu, H.; Kumomi, H.; Hosono, H.; Kamiya, T. Effects of High-Temperature Annealing on Operation Characteristics of a-In-Ga-Zn-O TFTs. J. Disp. Technol. 2014, 10, 979–983. [Google Scholar] [CrossRef]
- Oka, N.; Aoi, T.; Hayashi, R.; Kumomi, H.; Shigesato, Y. Electronic State of Amorphous Indium Gallium Zinc Oxide Films Deposited by DC Magnetron Sputtering with Water Vapor Introduction. Appl. Phys. Express 2012, 5, 075802. [Google Scholar] [CrossRef]
- Zhang, W.; Fan, Z.; Shen, A.; Dong, C. Atmosphere Effect in Post-Annealing Treatments for Amorphous InGaZnO Thin-Film Transistors with SiOx Passivation Layers. Micromachines 2021, 12, 1551. [Google Scholar] [CrossRef]
- Kang, D.H.; Kang, I.; Ryu, S.H.; Ahn, Y.S.; Jang, J. Effect of SiO2 and/or SiNX Passivation Layer on Thermal Stability of Self-Aligned Coplanar Amorphous Indium-Gallium-Zinc-Oxide Thin-Film Transistors. J. Disp. Technol. 2013, 9, 699–703. [Google Scholar] [CrossRef]
- Hsieh, H.-H.; Kamiya, T.; Nomura, K.; Hosono, H.; Wu, C.-C. Modeling of amorphous InGaZnO4 thin film transistors and their subgap density of states. Appl. Phys. Lett. 2008, 92, 133503. [Google Scholar] [CrossRef]
- Chen, W.-T.; Lo, S.-Y.; Kao, S.-C.; Zan, H.-W.; Tsai, C.-C.; Lin, J.-H.; Fang, C.-H.; Lee, C.-C. Oxygen-Dependent Instability and Annealing/Passivation Effects in Amorphous In-Ga-ZnO Thin-Film Transistors. IEEE Electron Device Lett. 2011, 32, 1552–1554. [Google Scholar] [CrossRef]
- Aman, S.G.M.; Magari, Y.; Shimpo, K.; Hirota, Y.; Makino, H.; Koretomo, D.; Furuta, M. Low-temperature (150 °C) activation of Ar+O2+H2-sputtered In-Ga-Zn-O for thin-film transistors. Appl. Phys. Express 2018, 11, 081101. [Google Scholar] [CrossRef]
- Zheng, S.; Lv, S.; Wang, C.; Li, Z.; Dong, L.; Xin, Q.; Song, A.; Zhang, J.; Li, Y. Post-annealing effect of low temperature atomic layer deposited Al2O3 on the top gate IGZO TFT. Nanotechnology 2024, 35, 155203. [Google Scholar] [CrossRef]
- Nomura, K.; Kamiya, T.; Ohta, H.; Hirano, M.; Hosono, H. Defect passivation and homogenization of amorphous oxide thin-film transistor by wet O2 annealing. Appl. Phys. Lett. 2008, 93, 192107. [Google Scholar] [CrossRef]
- Lee, H.-W.; Cho, W.-J. Effects of vacuum rapid thermal annealing on the electrical characteristics of amorphous indium gallium zinc oxide thin films. AIP Adv. 2018, 8, 015007. [Google Scholar] [CrossRef]
- Thi Thu Thuy, N.; Aventurier, B.; Renault, O.; Terlier, T.; Barnes, J.P.; Templier, F. Impact of hydrogen diffusion on electrical characteristics of IGZO TFTs passivated by SiO2 or Al2O3. In Proceedings of the 21st International Workshop on Active-Matrix Flatpanel Displays and Devices-TFT Technologies and FPD Materials (AM-FPD), Kyoto, Japan, 2–4 July 2014; pp. 149–152. [Google Scholar]
- Wang, C.; Zeng, C.; Ning, H.; Li, F.; Liu, M.; Xu, K.; Ma, F. Enhanced performances of a-IGZO TFTs with oxide passivation layers fabricated by hollow cathode assisted PLD. J. Alloys Compd. 2023, 961, 170972. [Google Scholar] [CrossRef]
- Peng, C.; Yang, S.; Pan, C.; Li, X.; Zhang, J. Effect of Two-Step Annealing on High Stability of a-IGZO Thin-Film Transistor. IEEE Trans. Electron Devices 2020, 67, 4262–4268. [Google Scholar] [CrossRef]
- Li, J.; Zhang, Y.; Wang, J.; Yang, H.; Zhou, X.; Chan, M.; Wang, X.; Lu, L.; Zhang, S. High-Performance Self-Aligned Top-Gate Amorphous InGaZnO TFTs With 4 nm-Thick Atomic-Layer-Deposited AlOX Insulator. IEEE Electron Device Lett. 2022, 43, 729–732. [Google Scholar] [CrossRef]
- Lim, J.S.; Yam, F.K. Influence of thermal treatment duration on the morphological and optical properties of a-IGZO. J. Mater. Sci.-Mater. Electron. 2023, 34, 1302. [Google Scholar] [CrossRef]
- Yokoyama, M.; Asakura, Y.; Yokoyama, H.; Takenaka, M.; Takagi, S. Impact of Al2O3 ALD temperature on Al2O3/GaSb metal-oxide-semiconductor interface properties. In Proceedings of the 2013 International Conference on Indium Phosphide and Related Materials, Kobe, Japan, 19–23 May 2013; IEEE: New York, NY, USA, 2013; p. 6132. [Google Scholar]
- Ma, P.; Du, L.; Wang, Y.; Jiang, R.; Xin, Q.; Li, Y.; Song, A. Low voltage operation of IGZO thin film transistors enabled by ultrathin Al2O3 gate dielectric. Appl. Phys. Lett. 2018, 112, 023501. [Google Scholar] [CrossRef]
- Tsao, S.W.; Chang, T.C.; Huang, S.Y.; Chen, M.C.; Chen, S.C.; Tsai, C.T.; Kuo, Y.J.; Chen, Y.C.; Wu, W.C. Hydrogen-induced improvements in electrical characteristics of a-IGZO thin-film transistors. Solid·State Electron. 2010, 54, 1497–1499. [Google Scholar] [CrossRef]
- Chang, Y.-H.; Yu, M.-J.; Lin, R.-P.; Hsu, C.-P.; Hou, T.-H. Abnormal positive bias stress instability of InGaZnO thin-film transistors with low-temperature Al2O3 gate dielectric. Appl. Phys. Lett. 2016, 108, 033502. [Google Scholar] [CrossRef]
- Jang, J.T.; Ko, D.; Choi, S.-J.; Kim, D.M.; Kim, D.H. Observation of Hydrogen-Related Defect in Subgap Density of States and Its Effects Under Positive Bias Stress in Amorphous InGaZnO TFT. IEEE Electron Device Lett. 2021, 42, 708–711. [Google Scholar] [CrossRef]
- Chien, Y.-T.; Tsai, Y.-L.; Zhou, K.-J.; Zheng, Y.-Z.; Tai, M.-C.; Tu, H.-Y.; Kuo, C.-W.; Chang, T.-C.; Tsai, T.-M. Performance Enhancement of InGaZnO Top-Gate Thin Film Transistor With Low-Temperature High-Pressure Fluorine Treatment. IEEE Electron Device Lett. 2021, 42, 1611–1614. [Google Scholar] [CrossRef]
- Noh, H.-K.; Chang, K.J.; Ryu, B.; Lee, W.-J. Electronic structure of oxygen-vacancy defects in amorphous In-Ga-Zn-O semiconductors. Phys. Rev. B 2011, 84, 115205. [Google Scholar] [CrossRef]
- Samanta, C.; Yuvaraja, S.; Zhama, T.; Zhao, H.; Gundlach, L.; Zeng, Y. High-Performance TiO2 Thin-Film Transistors: In-Depth Investigation of the Correlation between Interface Traps and Oxygen Vacancies. ACS Appl. Electron. Mater. 2024, 6, 5575–5585. [Google Scholar] [CrossRef]
- Avis, C.; Jang, J. Understanding the Origin of the Hysteresis of High-Performance Solution Processed Polycrystalline SnO2 Thin-Film Transistors and Applications to Circuits. Membranes 2022, 12, 7. [Google Scholar] [CrossRef]
- Morimoto, T.; Yang, Y.; Ochiai, Y.; Fukuda, N.; Ohki, Y. Effects of metal content on electrical and physical properties in solution-processed IGZO thin films. Appl. Phys. A-Mater. Sci. Process. 2020, 126, 388. [Google Scholar] [CrossRef]
- Jeong, S.H.; Bae, B.S.; Yu, K.M.; Ryu, M.K.; Cho, K.I.; Yun, E.-J. Properties of IGZO thin films irradiated by electron beams with various energies. J. Korean Phys. Soc. 2012, 61, 867–872. [Google Scholar] [CrossRef]
- Hino, A.; Kishi, T.; Morita, S.; Hayashi, K.; Kugimiya, T. Study of electronic structure and composition at back channel surface of amorphous In-Ga-Zn-O thin films. In Proceedings of the 11th Symposium on Thin Film Transistor Technologies (TFT), Honolulu, HI, USA, 8–10 October 2012; pp. 197–202. [Google Scholar]
- Takamori, Y.; Morimoto, T.; Fukuda, N.; Ohki, Y. Effects of ultraviolet photon irradiation and subsequent thermal treatments on solution-processed amorphous indium gallium zinc oxide thin films. AIP Adv. 2018, 8, 115304. [Google Scholar] [CrossRef]
- Yu, E.K.-H.; Jun, S.; Kim, D.H.; Kanicki, J. Density of states of amorphous In-Ga-Zn-O from electrical and optical characterization. J. Appl. Phys. 2014, 116, 154505. [Google Scholar] [CrossRef]
- Pu, H.; Zhou, Q.; Yue, L.; Zhang, Q. Investigation of oxygen plasma treatment on the device performance of solution-processed a-IGZO thin film transistors. Appl. Surf. Sci. 2013, 283, 722–726. [Google Scholar] [CrossRef]
- Zhang, Y.Y.; Qian, L.X.; Ge, W.B.; Lai, P.T.; Liu, X.Z. Tailoring the Band Alignment of GaxZn1−xO/InGaZnO Heterojunction for Modulation-Doped Transistor Applications. Phys. Status Solidi A-Appl. Mater. Sci. 2018, 215, 180032. [Google Scholar] [CrossRef]
- Seo, Y.-J.; Lee, J.-W.; Kwon, Y.-H.; Seong, N.-J.; Choi, K.-J.; Yoon, S.-M. Synergistic Effects of Deposition Temperatures for Active and Gate Insulator of Top-Gate Thin-Film Transistors Using InGaZnO Channels Prepared by Thermal Atomic-Layer Deposition. ACS Appl. Electron. Mater. 2024, 6, 7563–7575. [Google Scholar] [CrossRef]
- Kim, C.-K.; Kim, E.; Lee, M.K.; Park, J.-Y.; Seol, M.-L.; Bae, H.; Bang, T.; Jeon, S.-B.; Jun, S.; Park, S.-h.K.; et al. Electrothermal Annealing (ETA) Method to Enhance the Electrical Performance of Amorphous-Oxide-Semiconductor (AOS) Thin-Film Transistors (TFTs). ACS Appl. Mater. Interfaces 2016, 8, 23820–23826. [Google Scholar] [CrossRef]
- Xie, H.; Zhou, Y.; Zhang, Y.; Dong, C. Chemical bonds in nitrogen-doped amorphous InGaZnO thin film transistors. Results Phys. 2018, 11, 1080–1086. [Google Scholar] [CrossRef]
- Kishore, R.; Vishwakarma, K.; Datta, A. Effect of Non-identical Annealing on the Breakdown Characteristics of Sputtered IGZO Films. In Proceedings of the 2022 IEEE International Reliability Physics Symposium (IRPS), Dallas, TX, USA, 27–31 March 2022; pp. P24-1–P24-4. [Google Scholar] [CrossRef]







| Parameters | Vth-lin (V) | Vth-sat (V) | μsat (cm2 V−1 s−1) | Ion/Ioff (VD = 3 V) | SS (mV/dec) | Nt (eV−1 cm−2) | |
|---|---|---|---|---|---|---|---|
| T (°C) | |||||||
| 150 | −1.13 | −1.23 | 9.13 | 4.03 × 103 | -- | -- | |
| 200 | −0.53 | −0.83 | 30.52 | 4.46 × 108 | 203 | 6.10 × 1012 | |
| 250 | 1.12 | 0.78 | 6.87 | 6.98 × 107 | 137 | 3.28 × 1012 | |
| 300 | 0.52 | 0.33 | 13.05 | 1.73 × 108 | 130 | 2.98 × 1012 | |
| 350 | −2.05 | −3.05 | -- | 7.2 | -- | -- | |
| Annealing Condition (°C) | Content (%) | |||
|---|---|---|---|---|
| VO | O-M | Ga-Ga | Ga-O | |
| fresh | 26.60 | 17.27 | 23.74 | 12.82 |
| 200 | 11.17 | 32.57 | 23.81 | 12.92 |
| 250 | 12.84 | 30.45 | 25.85 | 11.18 |
| 300 | 11.01 | 32.44 | 23.6 | 13.34 |
Disclaimer/Publisher’s Note: The statements, opinions and data contained in all publications are solely those of the individual author(s) and contributor(s) and not of MDPI and/or the editor(s). MDPI and/or the editor(s) disclaim responsibility for any injury to people or property resulting from any ideas, methods, instructions or products referred to in the content. |
© 2025 by the authors. Licensee MDPI, Basel, Switzerland. This article is an open access article distributed under the terms and conditions of the Creative Commons Attribution (CC BY) license (https://creativecommons.org/licenses/by/4.0/).
Share and Cite
Zheng, S.; Wang, C.; Lv, S.; Dong, L.; Li, Z.; Xin, Q.; Song, A.; Zhang, J.; Li, Y. Enhancement in Performance and Reliability of Fully Transparent a-IGZO Top-Gate Thin-Film Transistors by a Two-Step Annealing Treatment. Nanomaterials 2025, 15, 460. https://doi.org/10.3390/nano15060460
Zheng S, Wang C, Lv S, Dong L, Li Z, Xin Q, Song A, Zhang J, Li Y. Enhancement in Performance and Reliability of Fully Transparent a-IGZO Top-Gate Thin-Film Transistors by a Two-Step Annealing Treatment. Nanomaterials. 2025; 15(6):460. https://doi.org/10.3390/nano15060460
Chicago/Turabian StyleZheng, Shuaiying, Chengyuan Wang, Shaocong Lv, Liwei Dong, Zhijun Li, Qian Xin, Aimin Song, Jiawei Zhang, and Yuxiang Li. 2025. "Enhancement in Performance and Reliability of Fully Transparent a-IGZO Top-Gate Thin-Film Transistors by a Two-Step Annealing Treatment" Nanomaterials 15, no. 6: 460. https://doi.org/10.3390/nano15060460
APA StyleZheng, S., Wang, C., Lv, S., Dong, L., Li, Z., Xin, Q., Song, A., Zhang, J., & Li, Y. (2025). Enhancement in Performance and Reliability of Fully Transparent a-IGZO Top-Gate Thin-Film Transistors by a Two-Step Annealing Treatment. Nanomaterials, 15(6), 460. https://doi.org/10.3390/nano15060460

