Tailoring Metal–Oxide Interfaces via Selectively CeO2-Decorated Pd Nanocatalysts with Enhanced Catalytic Performance
Abstract
1. Introduction
2. Experiment
2.1. Materials
2.2. Catalyst Preparation
2.3. Evaluation of Catalytic Performance
2.4. Characterizations
3. Results and Discussion
3.1. Characterization of Fresh Catalysts
3.1.1. Morphology Analysis
3.1.2. Pore Structure Properties
3.1.3. Crystal Phase Analysis
3.1.4. Low-Temperature Reducibility Analysis
3.1.5. Oxygen Species Analysis
3.1.6. Surface Composition and Metal Chemical Analysis
3.1.7. Three-Way Catalytic Activities of Fresh Catalysts
3.2. Characterization of Aged Catalysts
3.2.1. Morphology Analysis
3.2.2. Crystal Phase Analysis
3.2.3. Pore Structure Properties
3.2.4. Low-Temperature Reducibility Analysis
3.2.5. Surface Composition and Metal Chemical Analysis
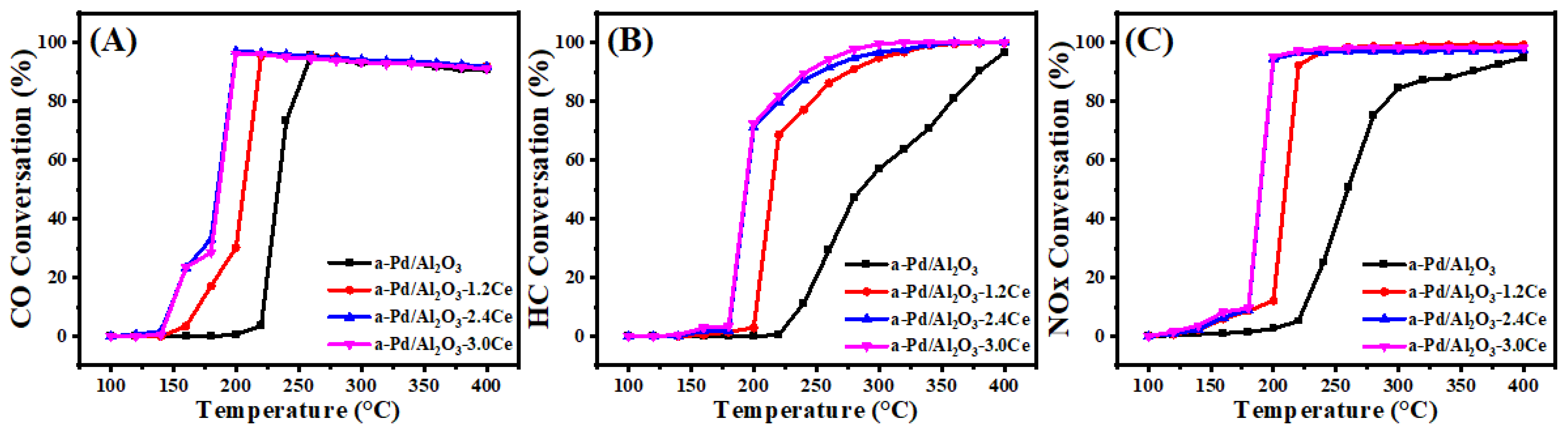
3.2.6. Three-Way Catalytic Activities of Aged Catalysts
4. Conclusions
Supplementary Materials
Author Contributions
Funding
Data Availability Statement
Conflicts of Interest
References
- Jin, M.; Liu, H.; Zhang, H.; Xie, Z.; Liu, J.; Xia, Y. Synthesis of pd nanocrystals enclosed by {100} facets and with sizes <10 nm for application in CO oxidation. Nano Res. 2011, 4, 83–91. [Google Scholar]
- Tang, H.; Wei, J.; Liu, F.; Qiao, B.; Pan, X.; Li, L.; Liu, J.; Wang, J.; Zhang, T. Strong metal–support interactions between gold nanoparticles and nonoxides. J. Am. Chem. Soc. 2016, 138, 56–59. [Google Scholar] [CrossRef]
- An, K.; Alayoglu, S.; Musselwhite, N.; Plamthottam, S.; Melaet, G.; Lindeman, A.E.; Somorjai, G.A. Enhanced Co oxidation rates at the interface of mesoporous oxides and Pt nanoparticles. J. Am. Chem. Soc. 2013, 135, 16689–16696. [Google Scholar] [CrossRef] [PubMed]
- Zhang, Z.; Xu, B.; Wang, X. Engineering nanointerfaces for nanocatalysis. Chem. Soc. Rev. 2014, 43, 7870–7886. [Google Scholar] [CrossRef]
- Kang, S.B.; Lim, J.B.; Jo, D.; Nam, I.; Cho, B.K.; Hong, S.B.; Kim, C.H.; Oh, S.H. Ostwald-ripening sintering kinetics of Pd-based three-way catalyst: Importance of initial particle size of pd. Chem. Eng. J. 2017, 316, 631–644. [Google Scholar] [CrossRef]
- Hansen, T.W.; Delariva, A.T.; Challa, S.R.; Datye, A.K. Sintering of catalytic nanoparticles: Particle migration or ostwald ripening? Acc. Chem. Res. 2013, 46, 1720–1730. [Google Scholar] [CrossRef] [PubMed]
- Zhang, Z.; Fan, Y.; Xin, Y.; Li, Q.; Li, R.; Anderson, J.A.; Zhang, Z. Improvement of air/fuel ratio operating window and hydrothermal stability for Pd-only three-way catalysts through a Pd–Ce2Zr2O8 superstructure interaction. Environ. Sci. Technol. 2015, 49, 7989–7995. [Google Scholar] [CrossRef]
- Lan, L.; Li, H.; Chen, S.; Chen, Y. Preparation of CeO2–ZrO2–Al2O3 composite with layered structure for improved Pd-only three-way catalyst. J. Mater. Sci. 2017, 52, 9615–9629. [Google Scholar] [CrossRef]
- Montini, T.; Melchionna, M.; Monai, M.; Fornasiero, P. Fundamentals and catalytic applications of CeO2-based materials. Chem. Rev. 2016, 116, 5987–6041. [Google Scholar] [CrossRef]
- Li, L.; Zhang, N.; Huang, X.; Liu, Y.; Li, Y.; Zhang, G.; Song, L.; He, H. Hydrothermal stability of core–shell Pd@Ce0.5Zr0.5O2/Al2O3 catalyst for automobile three-way reaction. ACS Catal. 2018, 8, 3222–3231. [Google Scholar] [CrossRef]
- Shinjoh, H. Noble metal sintering suppression technology in three-way catalyst: Automotive three-way catalysts with the noble metal sintering suppression technology based on the support anchoring effect. Catal. Surv. Asia 2009, 13, 184–190. [Google Scholar] [CrossRef]
- Joo, S.H.; Park, J.Y.; Tsung, C.; Yamada, Y.; Yang, P.; Somorjai, G.A. Thermally stable Pt/mesoporous silica core–shell nanocatalysts for high-temperature reactions. Nat. Mater. 2009, 8, 126–131. [Google Scholar] [CrossRef]
- Arnal, P.M.; Comotti, M.; Schüth, F. High-temperature-stable catalysts by hollow sphere encapsulation. Angew. Chem. Int. Ed. 2006, 45, 8224–8227. [Google Scholar] [CrossRef] [PubMed]
- Sun, M.; Fu, Q.; Gao, L.; Zheng, Y.; Li, Y.; Chen, M.; Bao, X. Catalysis under shell: Improved CO oxidation reaction confined in Pt@h-BN core–shell nanoreactors. Nano Res. 2017, 10, 1403–1412. [Google Scholar] [CrossRef]
- Sun, Z.; Zhang, H.; Zhao, Y.; Huang, C.; Tao, R.; Liu, Z.; Wu, Z. Thermal-stable carbon nanotube-supported metal nanocatalysts by mesoporous silica coating. Langmuir 2011, 27, 6244–6251. [Google Scholar] [CrossRef] [PubMed]
- Hu, Y.; Tao, K.; Wu, C.; Zhou, C.; Yin, H.; Zhou, S. Size-controlled synthesis of highly stable and active Pd@SiO2 core–shell nanocatalysts for hydrogenation of nitrobenzene. J. Phys. Chem. C 2013, 117, 8974–8982. [Google Scholar] [CrossRef]
- Zhang, J.; Li, F. Coke-resistant Ni@SiO2 catalyst for dry reforming of methane. Appl. Catal. B Environ. 2015, 176–177, 513–521. [Google Scholar] [CrossRef]
- Yang, J.; Zhang, F.; Chen, Y.; Qian, S.; Hu, P.; Li, W.; Deng, Y.; Fang, Y.; Han, L.; Luqman, M.; et al. Core-shell Ag@SiO2@m SiO2 mesoporous nanocarriers for metal-enhanced fluorescence. Chem. Commun. 2011, 47, 11618–11620. [Google Scholar] [CrossRef] [PubMed]
- Li, L.; He, S.; Song, Y.; Zhao, J.; Ji, W.; Au, C. Fine-tunable Ni@porous silica core–shell nanocatalysts: Synthesis, characterization, and catalytic properties in partial oxidation of methane to syngas. J. Catal. 2012, 288, 54–64. [Google Scholar] [CrossRef]
- Forman, A.J.; Park, J.; Tang, W.; Hu, Y.; Stucky, G.D.; Mcfarland, E.W. Silica-encapsulated Pd nanoparticles as a regenerable and sintering-resistant catalyst. ChemCatChem 2010, 2, 1318–1324. [Google Scholar] [CrossRef]
- Lu, J.; Fu, B.; Kung, M.C.; Xiao, G.; Elam, J.W.; Kung, H.H.; Stair, P.C. Coking- and sintering-resistant palladium catalysts achieved through atomic layer deposition. Science 2012, 335, 1205–1208. [Google Scholar] [CrossRef] [PubMed]
- Liu, Z.; Niu, L.; Zong, X.; An, L.; Qu, D.; Wang, X.; Sun, Z. Ambient photothermal catalytic CO oxidation over a carbon-supported palladium catalyst. Appl. Catal. B Environ. 2022, 313, 121439. [Google Scholar] [CrossRef]
- Babu, N.S.; Lingaiah, N.; Gopinath, R.; Sankar Reddy, P.S.; Sai Prasad, P.S. Characterization and reactivity of alumina-supported Pd catalysts for the room-temperature hydrodechlorination of chlorobenzene. J. Phys. Chem. C 2007, 111, 6447–6453. [Google Scholar] [CrossRef]
- Barrera, A.; Viniegra, M.; Fuentes, S.; Díaz, G. The role of lanthana loading on the catalytic properties of Pd/Al2O3-La2O3 in the NO reduction with H2. Appl. Catal. B Environ. 2005, 56, 279–288. [Google Scholar] [CrossRef]
- Shen, M.; Yang, M.; Wang, J.; Wen, J.; Zhao, M.; Wang, W. Pd/support interface-promoted Pd−Ce0.7Zr0.3O2−Al2O3 automobile three-way catalysts: Studying the dynamic oxygen storage capacity and CO, C3H8, and NO conversion. J. Phys. Chem. C 2009, 113, 3212–3221. [Google Scholar] [CrossRef]
- Xie, S.; Liu, Y.; Deng, J.; Zhao, X.; Yang, J.; Zhang, K.; Han, Z.; Dai, H. Three-dimensionally ordered macroporous CeO2-supported Pd@Co nanoparticles: Highly active catalysts for methane oxidation. J. Catal. 2016, 342, 17–26. [Google Scholar] [CrossRef]
- Chen, Q.; Li, N.; Luo, M.; Lu, J. Catalytic oxidation of dichloromethane over Pt/CeO2–Al2O3 catalysts. Appl. Catal. B Environ. 2012, 127, 159–166. [Google Scholar] [CrossRef]
- Meng, M.; Lin, P.; Fu, Y. The catalytic removal of CO and NO over Co-Pt(Pd, Rh)/γ-Al2O3 catalysts and their structural characterizations. Catal. Lett. 1997, 48, 213–222. [Google Scholar] [CrossRef]
- Luo, Y.; Xiao, Y.; Cai, G.; Zheng, Y.; Wei, K. Complete methanol oxidation in carbon monoxide streams over Pd/CeO2 catalysts: Correlation between activity and properties. Appl. Catal. B Environ. 2013, 136–137, 317–324. [Google Scholar] [CrossRef]
- He, H.; Gao, C. A general strategy for the preparation of carbon nanotubes and graphene oxide decorated with PdO nanoparticles in water. Molecules 2010, 15, 4679–4694. [Google Scholar] [CrossRef]
- Zhou, R.; Zhao, B.; Yue, B. Effects of CeO2-ZrO2 present in Pd/Al2O3 catalysts on the redox behavior of PdOx and their combustion activity. Appl. Surf. Sci. 2008, 254, 4701–4707. [Google Scholar] [CrossRef]
- Gil, S.; Garcia-Vargas, J.; Liotta, L.; Pantaleo, G.; Ousmane, M.; Retailleau, L.; Giroir-Fendler, A. Catalytic oxidation of propene over pd catalysts supported on CeO2, TiO2, Al2O3 and M/Al2O3 oxides (m = Ce, Ti, Fe, Mn). Catalysts 2015, 5, 671–689. [Google Scholar] [CrossRef]
- Mazzieri, V.; Coloma-Pascual, F.; Arcoya, A.; Argentière, P.C.L.; Fı, X.; Goli, N.S. XPS, FTIR and TPR characterization of Ru/Al2O3 catalysts. Appl. Surf. Sci. 2003, 210, 222–230. [Google Scholar] [CrossRef]
- Wei, Y.; Liu, J.; Zhao, Z.; Duan, A.; Jiang, G. The catalysts of three-dimensionally ordered macroporous Ce1−xZrxO2-supported gold nanoparticles for soot combustion: The metal–support interaction. J. Catal. 2012, 287, 13–29. [Google Scholar] [CrossRef]
- Zhao, B.; Li, G.; Ge, C.; Wang, Q.; Zhou, R. Preparation of Ce0.67Zr0.33O2 mixed oxides as supports of improved pd-only three-way catalysts. Appl. Catal. B Environ. 2010, 96, 338–349. [Google Scholar] [CrossRef]
- Lan, L.; Chen, S.; Zhao, M.; Gong, M.; Chen, Y. The effect of synthesis method on the properties and catalytic performance of Pd/Ce0.5Zr0.5O2-Al2O3 three-way catalyst. J. Mol. Catal. A Chem. 2014, 394, 10–21. [Google Scholar] [CrossRef]
- Fan, J.; Wu, X.; Wu, X.; Liang, Q.; Ran, R.; Weng, D. Thermal ageing of Pt on low-surface-area CeO2–ZrO2–La2O3 mixed oxides: Effect on the OSC performance. Appl. Catal. B Environ. 2008, 81, 38–48. [Google Scholar] [CrossRef]
- Wang, B.; Weng, D.; Wu, X.; Ran, R. Modification of Pd–CeO2 catalyst by different treatments: Effect on the structure and CO oxidation activity. Appl. Surf. Sci. 2011, 257, 3878–3883. [Google Scholar] [CrossRef]
- Tan, H.; Wang, J.; Yu, S.; Zhou, K. Support morphology-dependent catalytic activity of Pd/CeO2 for formaldehyde oxidation. Environ. Sci. Technol. 2015, 49, 8675–8682. [Google Scholar] [CrossRef]
- Ivanova, A.S.; Slavinskaya, E.M.; Gulyaev, R.V.; Zaikovskii, V.I.; Stonkus, O.A.; Danilova, I.G.; Plyasova, L.M.; Polukhina, I.A.; Boronin, A.I. Metal–support interactions in Pt/Al2O3 and Pd/Al2O3 catalysts for CO oxidation. Appl. Catal. B Environ. 2010, 97, 57–71. [Google Scholar] [CrossRef]
- Lin, S.; Yang, L.; Yang, X.; Zhou, R. Redox properties and metal–support interaction of Pd/Ce0.67Zr0.33O2–Al2O3 catalyst for CO, HC and NOx elimination. Appl. Surf. Sci. 2014, 305, 642–649. [Google Scholar] [CrossRef]
- Hegde, M.S.; Bera, P. Noble metal ion substituted CeO2 catalysts: Electronic interaction between noble metal ions and CeO2 lattice. Catal. Today 2015, 253, 40–50. [Google Scholar] [CrossRef]
- Wang, M.; Gao, Z.; Zhang, B.; Yang, H.; Qiao, Y.; Chen, S.; Ge, H.; Zhang, J.; Qin, Y. Ultrathin coating of confined pt nanocatalysts by atomic layer deposition for enhanced catalytic performance in hydrogenation reactions. Chem.—Eur. J. 2016, 22, 8438–8443. [Google Scholar] [CrossRef] [PubMed]
- Hinokuma, S.; Fujii, H.; Okamoto, M.; Ikeue, K.; Machida, M. Metallic Pd nanoparticles formed by Pd−O−Ce interaction: A reason for sintering-induced activation for CO oxidation. Chem. Mater. 2010, 22, 6183–6190. [Google Scholar] [CrossRef]
- Zheng, Q.; Farrauto, R.; Deeba, M. Part ii: Oxidative thermal aging of Pd/Al2O3 and Pd/CexOy-ZrO2 in automotive three way catalysts: The effects of fuel shutoff and attempted fuel rich regeneration. Catalysts 2015, 5, 1797–1814. [Google Scholar] [CrossRef]
- Meng, L.; Jia, A.; Lu, J.; Luo, L.; Huang, W.; Luo, M. Synergetic effects of PdO species on CO oxidation over PdO–CeO2 catalysts. J. Phys. Chem. C 2011, 115, 19789–19796. [Google Scholar] [CrossRef]
- Aliotta, C.; Liotta, L.F.; La Parola, V.; Martorana, A.; Muccillo, E.N.S.; Muccillo, R.; Deganello, F. Ceria-based electrolytes prepared by solution combustion synthesis: The role of fuel on the materials properties. Appl. Catal. B Environ. 2016, 197, 14–22. [Google Scholar] [CrossRef]
- Wu, X.; Xu, L.; Weng, D. The thermal stability and catalytic performance of Ce-Zr promoted Rh-Pd/γ-Al2O3 automotive catalysts. Appl. Surf. Sci. 2004, 221, 375–383. [Google Scholar] [CrossRef]
- Priolkar, K.R.; Bera, P.; Sarode, P.R.; Hegde, M.S.; Emura, S.; Kumashiro, R.; Lalla, N.P. Formation of Ce1-xPdxO2-δ solid solution in combustion-synthesized Pd/CeO2 catalyst: XRD, XPS, and EXAFS investigation. Chem. Mater. 2002, 14, 2120–2128. [Google Scholar] [CrossRef]
- Li, G.; Li, L.; Yuan, Y.; Shi, J.; Yuan, Y.; Li, Y.; Zhao, W.; Shi, J. Highly efficient mesoporous Pd/CeO2 catalyst for low temperature co oxidation especially under moisture condition. Appl. Catal. B Environ. 2014, 158–159, 341–347. [Google Scholar] [CrossRef]
- Adijanto, L.; Sampath, A.; Yu, A.S.; Cargnello, M.; Fornasiero, P.; Gorte, R.J.; Vohs, J.M. Synthesis and stability of Pd@CeO2 core–shell catalyst films in solid oxide fuel cell anodes. ACS Catal. 2013, 3, 1801–1809. [Google Scholar] [CrossRef]








| Fresh Catalysts | Surface Area (m2·g−1) | Pore Volume (cm3·g−1) | DCeO2 a (nm) | Dispersion of Pd b (%) |
|---|---|---|---|---|
| Pd/Al2O3 | 34 | 0.193 | — | 27.8 |
| Pd/Al2O3-1.2CeO2 | 56 | 0.248 | 5.5 | 18.7 |
| Pd/Al2O3-2.4CeO2 | 62 | 0.231 | 6.7 | 16.4 |
| Pd/Al2O3-3.0CeO2 | 71 | 0.220 | 7.1 | 15.2 |
| Pd/Al2O3-2.4CeO2-JZ | 46 | 0.140 | 7.5 | 22.1 |
| Fresh Catalysts | Reducibility of Fresh Catalysts (H2 Consumption (μmol/gcat)) | Fresh-Surface Element Composition Molar Ratio (%) | |||||
|---|---|---|---|---|---|---|---|
| Negative Peak | <200 °C | 200–250 °C | 250–350 °C | 500–750 °C | Oads/Olatt | Ce3+/(Ce3+ + Ce4+) | |
| Pd/Al2O3 | −26.0 | — | 6.5 | — | — | — | — |
| Pd/Al2O3-1.2CeO2 | — | 88.7 | — | 18.2 | 43.2 | 8.1 | 16.4 |
| Pd/Al2O3-2.4CeO2 | — | 76.8 | — | 21.8 | 102.1 | 7.9 | 17.7 |
| Pd/Al2O3-3.0CeO2 | — | 69.9 | — | 41.5 | 112.2 | 6.0 | 18.1 |
| Pd/Al2O3-2.4CeO2-JZ | — | 225.7 | — | 29.5 | 78.2 | 4.8 | 19.0 |
| Aged Catalysts | Surface Area (m2·g−1) | Pore Volume (cm3·g−1) | DCeO2 a (nm) | Dispersion of Pd b (%) |
|---|---|---|---|---|
| Pd/Al2O3 | 34 | 0.215 | — | 13.0 |
| Pd/Al2O3-1.2CeO2 | 30 | 0.199 | 19.2 | 44.7 |
| Pd/Al2O3-2.4CeO2 | 26 | 0.141 | 24.6 | 53.3 |
| Pd/Al2O3-3.0CeO | 31 | 0.136 | 25.8 | 58.4 |
| Aged Catalysts | Reducibility of Fresh Catalysts (H2 Consumption (μmol/gcat)) | Aged-Surface Element Composition Molar Ratio (%) | |||||
|---|---|---|---|---|---|---|---|
| Negative Peak | <200 °C | 200–250 °C | 250–350 °C | 500–750 °C | Oads/Olatt | Ce3+/(Ce3+ + Ce4+) | |
| a-Pd/Al2O3 | −80.9 | — | — | 95.8 | — | — | — |
| a-Pd/Al2O3-1.2CeO2 | −14.5 | 11.9 | 2.6 | 9.0 | 112.9 | 21.8 | 15.9 |
| a-Pd/Al2O3-2.4CeO2 | −4.0 | 18.8 | 3.5 | 16.2 | 169.1 | 16.7 | 17.6 |
| a-Pd/Al2O3-3.0CeO2 | −0.84 | 24.9 | 3.9 | 29.7 | 185.4 | 7.2 | 18.1 |
Disclaimer/Publisher’s Note: The statements, opinions and data contained in all publications are solely those of the individual author(s) and contributor(s) and not of MDPI and/or the editor(s). MDPI and/or the editor(s) disclaim responsibility for any injury to people or property resulting from any ideas, methods, instructions or products referred to in the content. |
© 2025 by the authors. Licensee MDPI, Basel, Switzerland. This article is an open access article distributed under the terms and conditions of the Creative Commons Attribution (CC BY) license (https://creativecommons.org/licenses/by/4.0/).
Share and Cite
Liu, Z.; Zhang, G.; Niu, L.; Sun, Z.; Li, Z.; He, H. Tailoring Metal–Oxide Interfaces via Selectively CeO2-Decorated Pd Nanocatalysts with Enhanced Catalytic Performance. Nanomaterials 2025, 15, 197. https://doi.org/10.3390/nano15030197
Liu Z, Zhang G, Niu L, Sun Z, Li Z, He H. Tailoring Metal–Oxide Interfaces via Selectively CeO2-Decorated Pd Nanocatalysts with Enhanced Catalytic Performance. Nanomaterials. 2025; 15(3):197. https://doi.org/10.3390/nano15030197
Chicago/Turabian StyleLiu, Ziwen, Guizhen Zhang, Lijuan Niu, Zaicheng Sun, Zhenguo Li, and Hong He. 2025. "Tailoring Metal–Oxide Interfaces via Selectively CeO2-Decorated Pd Nanocatalysts with Enhanced Catalytic Performance" Nanomaterials 15, no. 3: 197. https://doi.org/10.3390/nano15030197
APA StyleLiu, Z., Zhang, G., Niu, L., Sun, Z., Li, Z., & He, H. (2025). Tailoring Metal–Oxide Interfaces via Selectively CeO2-Decorated Pd Nanocatalysts with Enhanced Catalytic Performance. Nanomaterials, 15(3), 197. https://doi.org/10.3390/nano15030197

