Epoxidized Ionic Liquids as Processing Auxiliaries of Poly(Lactic Acid) Matrix: Influence on the Manufacture, Structural and Physical Properties
Abstract
1. Introduction
2. Materials and Methods
2.1. Materials
2.2. Synthesis of Di-, Tri- and Tetra-Epoxidized
2.3. Extrusion Followed by Injection Molding of Samples
2.4. Characterization
3. Results and Discussion
3.1. Increasing Molecular Weight (Mw)
3.2. Thermal Stability of PLA/IL Mixtures
3.3. Study of Molecular Interactions between ILs and PLA Matrices by FT-IR
3.4. Preliminary Investigation of Molecular Transitions and Crystallinity
3.5. Modifying Mechanical Properties
3.6. The Effect on Thermomechanical Properties
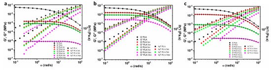
3.7. Adjusting the Viscosity in the Molten State
3.8. Hypothetical Mechanisms
4. Conclusions
Supplementary Materials
Author Contributions
Funding
Conflicts of Interest
References
- Riba, J.R.; Cantero, R.; García-Masabet, V.; Cailloux, J.; Canals, T.; Maspoch, M.L. Multivariate Identification of Extruded PLA Samples from the Infrared Spectrum. J. Mater. Sci. 2020, 55, 1269–1279. [Google Scholar] [CrossRef]
- Chieng, B.W.; Ibrahim, N.A.; Yunus, W.M.Z.W.; Hussein, M.Z. Poly(Lactic Acid)/Poly(Ethylene Glycol) Polymer Nanocomposites: Effects of Graphene Nanoplatelets. Polymers 2014, 6, 93–104. [Google Scholar] [CrossRef]
- Jia, S.; Yu, D.; Zhu, Y.; Wang, Z.; Chen, L.; Fu, L. Morphology, Crystallization and Thermal Behaviors of PLA-Based Composites: Wonderful Effects of Hybrid GO/PEG via Dynamic Impregnating. Polymers 2017, 9, 528. [Google Scholar] [CrossRef]
- Liu, H.; Zhang, J. Research Progress in Toughening Modification of Poly(Lactic Acid). J. Polym. Sci. Part B Polym. Phys. 2011, 49, 1051–1083. [Google Scholar] [CrossRef]
- Anderson, K.S.; Schreck, K.M.; Hillmyer, M.A. Toughening Polylactide. Polym. Rev. 2008, 48, 85–108. [Google Scholar] [CrossRef]
- Liu, C.; Jia, Y.; He, A. Preparation of Higher Molecular Weight Poly (L-Lactic Acid) by Chain Extension. Int. J. Polym. Sci. 2013, 2013, 315917. [Google Scholar] [CrossRef]
- Coltelli, M.B.; Bertolini, A.; Aliotta, L.; Gigante, V.; Vannozzi, A.; Lazzeri, A. Chain Extension of Poly(Lactic Acid) (Pla)–Based Blends and Composites Containing Bran with Biobased Compounds for Controlling Their Processability and Recyclability. Polymers 2021, 13, 3050. [Google Scholar] [CrossRef]
- Chávez-Montes, W.M.; González-Sánchez, G.; López-Martínez, E.I.; De Lira-Gómez, P.; Ballinas-Casarrubias, L.; Flores-Gallardo, S. Effect of Artificial Weathering on PLA/Nanocomposite Molecular Weight Distribution. Polymers 2015, 7, 760–776. [Google Scholar] [CrossRef]
- Woo, S.I.; Kim, B.O.; Jun, H.S.; Chang, H.N. Polymerization of Aqueous Lactic Acid to Prepare High Molecular Weight Poly(Lactic Acid) by Chain-Extending with Hexamethylene Diisocyanate. Polym. Bull. 1995, 35, 415–421. [Google Scholar] [CrossRef]
- Zhang, P.; Peng, L.; Li, W. Application of Ionic Liquid [Bmim]PF6 as Green Plasticizer for Poly(L-Lactide). E-Polymers 2008, 172, 1–6. [Google Scholar] [CrossRef]
- Rahman, M.; Brazel, C.S. The Plasticizer Market: An Assessment of Traditional Plasticizers and Research Trends to Meet New Challenges. Prog. Polym. Sci. 2004, 29, 1223–1248. [Google Scholar] [CrossRef]
- Chen, B.K.; Wu, T.Y.; Chang, Y.M.; Chen, A.F. Ductile Polylactic Acid Prepared with Ionic Liquids. Chem. Eng. J. 2013, 215–216, 886–893. [Google Scholar] [CrossRef]
- Park, K.I.; Xanthos, M. A Study on the Degradation of Polylactic Acid in the Presence of Phosphonium Ionic Liquids. Polym. Degrad. Stab. 2009, 94, 834–844. [Google Scholar] [CrossRef]
- Livi, S.; Duchet-Rumeau, J.; Gérard, J.F.; Pham, T.N. Polymers and Ionic Liquids: A Successful Wedding. Macromol. Chem. Phys. 2015, 216, 359–368. [Google Scholar] [CrossRef]
- Wang, Y.; Fu, C.; Luo, Y.; Ruan, C.; Zhang, Y.; Fu, Y. Melt Synthesis and Characterization of Poly(L-Lactic Acid) Chain Linked by Multifunctional Epoxy Compound. J. Wuhan Univ. Technol. Mater. Sci. Ed. 2010, 25, 774–779. [Google Scholar] [CrossRef]
- Park, K.; Ha, J.U.; Xanthos, M. Ionic Liquids as Plasticizers/Lubricants for Polylactic Acid. Polym. Eng. Sci. 2010, 50, 1105–1110. [Google Scholar] [CrossRef]
- Perli, G.; Wylie, L.; Demir, B.; Gerard, J.; Pádua, A.A.; Gomes, M.C.; Duchet-rumeau, J.; Livi, S. From the Design of Novel Tri- and Tetra-Epoxidized Ionic Liquid Monomers to the End-of-Life of Multifunctional Degradable Epoxy Thermosets. ACS Sustain. Chem. Eng. 2022, 10, 15450–15466. [Google Scholar] [CrossRef]
- Wylie, L.; Perli, G.; Avila, J.; Livi, S.; Duchet-rumeau, J.; Gomes, M.C.; Padua, A. Theoretical Analysis of Physical and Chemical CO2 Absorption by Tri- and Tetraepoxidized Imidazolium Ionic Liquids. J. Phys. Chem. B 2022, 126, 9901–9910. [Google Scholar] [CrossRef]
- Demir, B.; Perli, G.; Chan, K.-Y.; Duchet-Rumeau, J.; Livi, S. Molecular-Level Investigation of Cycloaliphatic Epoxidised Ionic Liquids as a New Generation of Monomers for Versatile Poly(Ionic Liquids). Polymers 2021, 13, 1512. [Google Scholar] [CrossRef]
- Corre, Y.M.; Duchet, J.; Reignier, J.; Maazouz, A. Melt Strengthening of Poly (Lactic Acid) through Reactive Extrusion with Epoxy-Functionalized Chains. Rheol. Acta 2011, 50, 613–629. [Google Scholar] [CrossRef]
- Chardin, C.; Rouden, J.; Livi, S.; Baudoux, J. Dimethyldioxirane (DMDO) as a Valuable Oxidant for the Synthesis of Polyfunctional Aromatic Imidazolium Monomers Bearing Epoxides. Green Chem. 2017, 19, 5054–5059. [Google Scholar] [CrossRef]
- Livi, S.; Baudoux, J.; Gérard, J.-F.; Duchet-Rumeau, J. Ionic Liquids: A Versatile Platform for the Design of a Multifunctional Epoxy Networks 2.0 Generation. Prog. Polym. Sci. 2022, 132, 101581. [Google Scholar] [CrossRef]
- Zhou, Z.F.; Huang, G.Q.; Xu, W.B.; Ren, F.M. Chain Extension and Branching of Poly(L-Lactic Acid) Produced by Reaction with a DGEBA-Based Epoxy Resin. Express Polym. Lett. 2007, 1, 734–739. [Google Scholar] [CrossRef]
- Yasuniwa, M.; Tsubakihara, S.; Iura, K.; Ono, Y.; Dan, Y.; Takahashi, K. Crystallization Behavior of Poly(l-Lactic Acid). Polymer 2006, 47, 7554–7563. [Google Scholar] [CrossRef]
- Fukushima, K.; Tabuani, D.; Camino, G. Nanocomposites of PLA and PCL Based on Montmorillonite and Sepiolite. Mater. Sci. Eng. C 2009, 29, 1433–1441. [Google Scholar] [CrossRef]
- Fukushima, K.; Tabuani, D.; Arena, M.; Gennari, M.; Camino, G. Effect of Clay Type and Loading on Thermal, Mechanical Properties and Biodegradation of Poly(Lactic Acid) Nanocomposites. React. Funct. Polym. 2013, 73, 540–549. [Google Scholar] [CrossRef]
- Yasuda, K.; Armstrong, R.C.; Cohen, R.E. Shear Flow Properties of Concentrated Solutions of Linear and Star Branched Polystyrenes. Rheol. Acta 1981, 20, 163–178. [Google Scholar] [CrossRef]
- Corre, Y.M.; Maazouz, A.; Duchet, J.; Reignier, J. Batch Foaming of Chain Extended PLA with Supercritical CO2: Influence of the Rheological Properties and the Process Parameters on the Cellular Structure. J. Supercrit. Fluids 2011, 58, 177–188. [Google Scholar] [CrossRef]








| Sample | Mw (g‧mol−1) | Mn (g‧mol−1) | Polydispersity (Mw/Mn) |
|---|---|---|---|
| PLA | 9.187 × 104 | 6.223 × 104 | 1.476 |
| PLA/3di | 9.554 × 104 | 7.020 × 104 | 1.361 |
| PLA/5di | 1.004 × 105 | 7.517 × 104 | 1.336 |
| PLA/10di | 5.364 × 104 | 4.928 × 104 | 1.089 |
| PLA/3tri | 9.807 × 104 | 7.479 × 104 | 1.311 |
| PLA/5tri | 1.022 × 105 | 7.861 × 104 | 1.300 |
| PLA/10tri | 1.051 × 105 | 8.753 × 104 | 1.200 |
| PLA/3tetra | 9.657 × 104 | 7.107 × 104 | 1.359 |
| PLA/5tetra | 1.055 × 105 | 8.706 × 104 | 1.212 |
| PLA/10tetra | 1.026 × 105 | 8.358 × 104 | 1.228 |
| Samples | Tonset (°C) | Tpeak (°C) |
|---|---|---|
| PLA | 319 | 339 |
| PLA/3di | 319 | 344 |
| PLA/5di | 309 | 343 |
| PLA/10di | 280 | 349 |
| PLA/3tri | 320 | 344 |
| PLA/5tri | 323 | 358 |
| PLA/10tri | 317 | 359 |
| PLA/3tetra | 328 | 345 |
| PLA/5tetra | 319 | 358 |
| PLA/10tetra | 327 | 362 |
| Wavenumbers (cm−1) | Assignments | Type of Vibration * |
|---|---|---|
| 1039 | C–CH3 | st |
| 1082, 1128, 1180 | C–O | st (as) |
| 1267 | C=O | δ |
| 1356, 1381 | CH | δ (s and as) |
| 1453 | CH3 | δ (as) |
| 1747 | C=O | st |
| 2947, 2994 | CH3 | st (as and s) |
| Samples | Tg | Tcc | Tm | ΔHm | Xc (%) | |||||
|---|---|---|---|---|---|---|---|---|---|---|
| 1st | 2nd | 1st | 2nd | 1st | 2nd | 1st | 2nd | 1st | 2nd | |
| PLA | 60 | 60 | 112 | 116 | 150 | 150 | 25 | 24 | 27 | 26 |
| PLA/3di | 59 | 57 | 113 | 114 | 148 | 148 | 25 | 25 | 27 | 28 |
| PLA/5di | 58 | 57 | 112 | 115 | 148 | 148 | 25 | 24 | 28 | 27 |
| PLA/10di | 57 | 54 | 109 | 112 | 147 | 147 | 30 | 31 | 35 | 37 |
| PLA/3tri | 59 | 56 | 112 | 113 | 149 | 147 | 26 | 25 | 28 | 28 |
| PLA/5tri | 58 | 55 | 111 | 111 | 148 | 146 | 29 | 30 | 33 | 34 |
| PLA/10tri | 55 | 57 | 112 | 115 | 148 | 147 | 31 | 30 | 37 | 35 |
| PLA/3tetra | 58 | 57 | 114 | 117 | 150 | 149 | 23 | 24 | 26 | 27 |
| PLA/5tetra | 55 | 57 | 106 | 114 | 149 | 141 | 28 | 29 | 32 | 33 |
| PLA/10tetra | 54 | 56 | 112 | 114 | 148 | 148 | 29 | 29 | 35 | 35 |
| Material | Zero-Shear Viscosity (Pa‧s) | Flow Behaviour Index |
|---|---|---|
| PLA | 3093 | 0.64 |
| PLA/3di | 1458 | 0.70 |
| PLA/5di | 1293 | 0.73 |
| PLA/10di | 501 | 0.82 |
| PLA/3tri | 2372 | 0.59 |
| PLA/5tri | 2097 | 0.62 |
| PLA/10tri | 1665 | 0.61 |
| PLA/3tetra | 2277 | 0.65 |
| PLA/5tetra | 1297 | 0.84 |
| PLA/10tetra | 619 | 0.80 |
Disclaimer/Publisher’s Note: The statements, opinions and data contained in all publications are solely those of the individual author(s) and contributor(s) and not of MDPI and/or the editor(s). MDPI and/or the editor(s) disclaim responsibility for any injury to people or property resulting from any ideas, methods, instructions or products referred to in the content. |
© 2023 by the authors. Licensee MDPI, Basel, Switzerland. This article is an open access article distributed under the terms and conditions of the Creative Commons Attribution (CC BY) license (https://creativecommons.org/licenses/by/4.0/).
Share and Cite
Merlini, C.; Oliveira Castro, V.; Perli, G.; el Omari, Y.; Livi, S. Epoxidized Ionic Liquids as Processing Auxiliaries of Poly(Lactic Acid) Matrix: Influence on the Manufacture, Structural and Physical Properties. Nanomaterials 2023, 13, 1476. https://doi.org/10.3390/nano13091476
Merlini C, Oliveira Castro V, Perli G, el Omari Y, Livi S. Epoxidized Ionic Liquids as Processing Auxiliaries of Poly(Lactic Acid) Matrix: Influence on the Manufacture, Structural and Physical Properties. Nanomaterials. 2023; 13(9):1476. https://doi.org/10.3390/nano13091476
Chicago/Turabian StyleMerlini, Claudia, Vanessa Oliveira Castro, Gabriel Perli, Younes el Omari, and Sébastien Livi. 2023. "Epoxidized Ionic Liquids as Processing Auxiliaries of Poly(Lactic Acid) Matrix: Influence on the Manufacture, Structural and Physical Properties" Nanomaterials 13, no. 9: 1476. https://doi.org/10.3390/nano13091476
APA StyleMerlini, C., Oliveira Castro, V., Perli, G., el Omari, Y., & Livi, S. (2023). Epoxidized Ionic Liquids as Processing Auxiliaries of Poly(Lactic Acid) Matrix: Influence on the Manufacture, Structural and Physical Properties. Nanomaterials, 13(9), 1476. https://doi.org/10.3390/nano13091476

