Degradation of Tetracycline with Photocatalysis by CeO2-Loaded Soybean Powder Carbon
Abstract
1. Introduction
2. Materials and Methods
2.1. Materials
2.2. Preparation of Photocatalysts
2.3. Characterization of Photocatalysts
2.4. Evaluation of Photocatalytic Activity
3. Results and Discussion
3.1. Characteristic of Catalysts
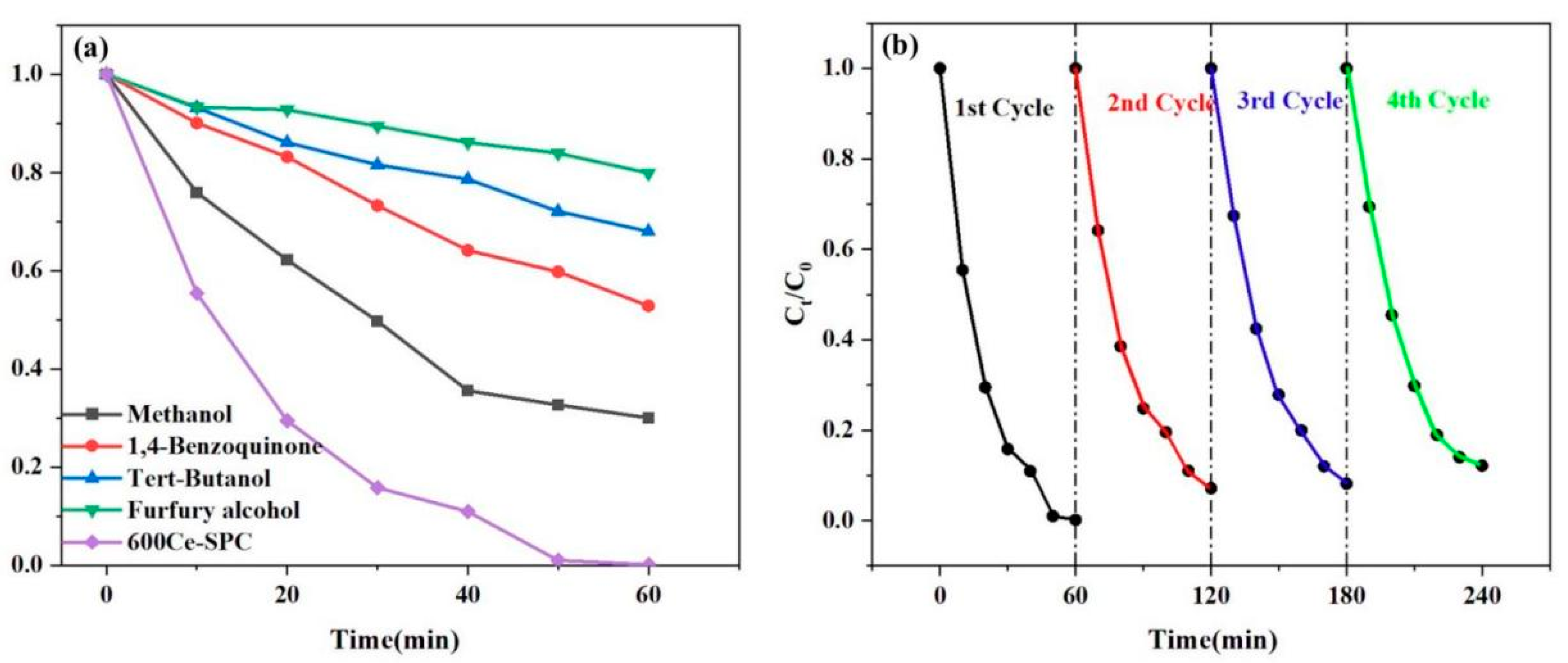
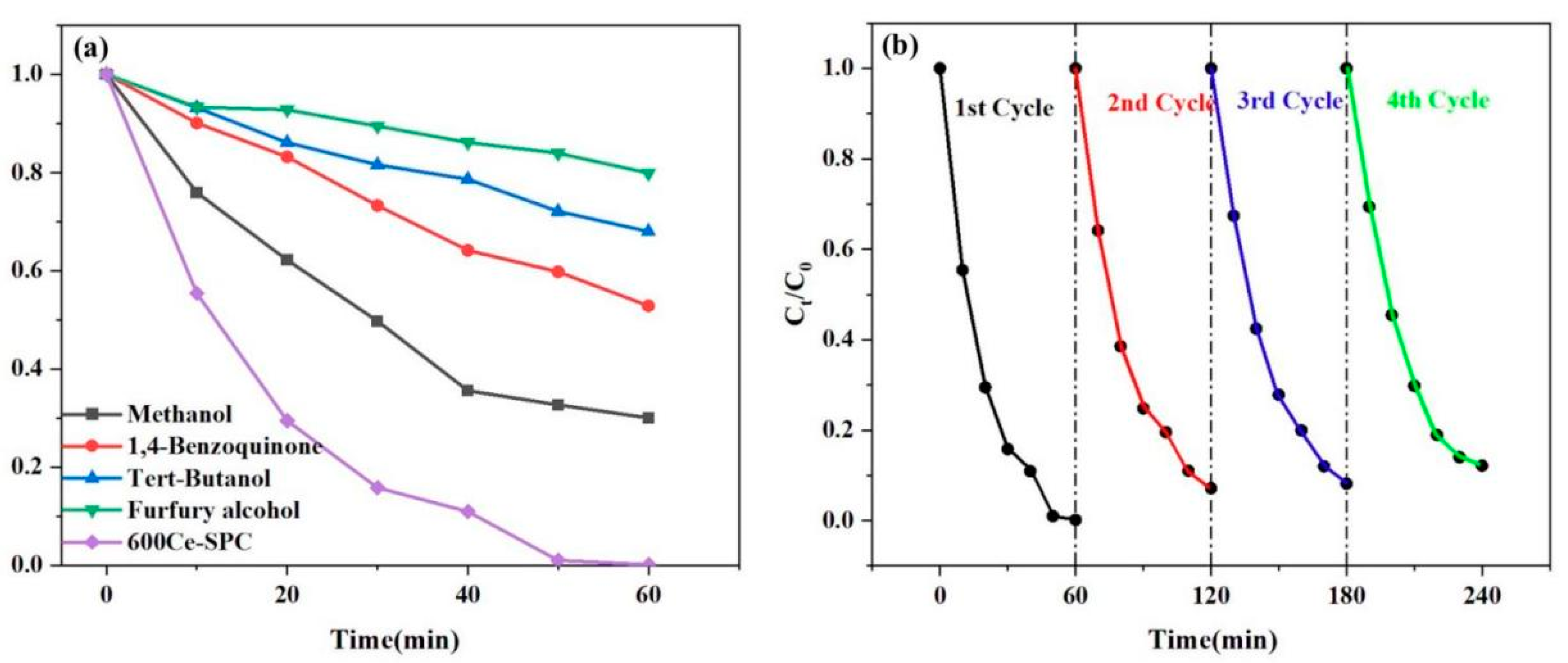
3.2. Photocatalytic Activity
4. Conclusions
Author Contributions
Funding
Institutional Review Board Statement
Informed Consent Statement
Data Availability Statement
Conflicts of Interest
References
- González-González, R.B.; Sharma, A.; Parra-Saldívar, R.; Ramirez-Mendoza, R.A.; Bilal, M.; Iqbal, H.M. Decontamination of emerging pharmaceutical pollutants using carbon-dots as robust materials. J. Hazard. Mater. 2022, 423, 127145. [Google Scholar] [CrossRef] [PubMed]
- Pattanayak, D.S.; Pal, D.; Mishra, J.; Thakur, C.; Wasewar, K.L. Doped graphitic carbon nitride (g-C3N4) catalysts for efficient photodegradation of tetracycline antibiotics in aquatic environments. Environ. Sci. Pollut. Res. 2022, 30, 24919–24926. [Google Scholar] [CrossRef]
- Xue, X.; Chen, X.; Zhang, Z. Enhancement of redox capacity derived from O-doping of gC3N4/WO3 nanosheets for the photocatalytic degradation of tetracycline under different dissolved oxygen concentration. Dalton Trans. 2022, 51, 1086–1098. [Google Scholar] [CrossRef] [PubMed]
- Li, J.; Wang, B.; Pang, Y.; Sun, M.; Liu, S.; Fang, W.; Chen, L. Fabrication of 0D/1D Bi2MoO6/Bi/TiO2 heterojunction with effective interfaces for boosted visible-light photocatalytic degradation of tetracycline. Colloids Surf. A Physicochem. Eng. Asp. 2022, 638, 128297. [Google Scholar] [CrossRef]
- Liu, X.; Ma, R.; Zhuang, L.; Hu, B.; Chen, J.; Liu, X.; Wang, X. Recent developments of doped g-C3N4 photocatalysts for the degradation of organic pollutants. Crit. Rev. Environ. Sci. Technol. 2021, 51, 751–790. [Google Scholar] [CrossRef]
- Yuan, J.; Pudukudy, M.; Hu, T.; Liu, Y.; Luo, X.; Zhi, Y.; Su, H.; Jiang, L.; Shan, S. CeOx-coupled MIL-125-derived C-TiO2 catalysts for the enhanced photocatalytic abatement of tetracycline under visible light irradiation. Appl. Surf. Sci. 2021, 557, 149829. [Google Scholar] [CrossRef]
- Valcárcel, Y.; Alonso, S.G.; Rodríguez-Gil, J.L.; Gil, A.; Catalá, M. Detection of pharmaceutically active compounds in the rivers and tap water of the Madrid Region (Spain) and potential ecotoxicological risk. Chemosphere 2011, 84, 1336–1348. [Google Scholar] [CrossRef]
- Jiang, L.; Liu, Y.; Liu, S.; Zeng, G.; Hu, X.; Hu, X.; Guo, Z.; Tan, X.; Wang, L.; Wu, Z. Adsorption of estrogen contaminants by graphene nanomaterials under natural organic matter preloading: Comparison to carbon nanotube, biochar, and activated carbon. Environ. Sci. Technol. 2017, 51, 6352–6359. [Google Scholar] [CrossRef]
- Garcia-Ivars, J.; Martella, L.; Massella, M.; Carbonell-Alcaina, C.; Alcaina-Miranda, M.I.; Iborra-Clar, M.I. Nanofiltration as tertiary treatment method for removing trace pharmaceutically active compounds in wastewater from wastewater treatment plants. Water Res. 2017, 125, 360–373. [Google Scholar] [CrossRef]
- Chen, C.; Li, J.; Chen, P.; Ding, R.; Zhang, P.; Li, X. Occurrence of antibiotics and antibiotic resistances in soils from wastewater irrigation areas in Beijing and Tianjin, China. Environ. Pollut. 2014, 193, 94–101. [Google Scholar] [CrossRef]
- Kasprzyk-Hordern, B.; Ziółek, M.; Nawrocki, J. Catalytic ozonation and methods of enhancing molecular ozone reactions in water treatment. Appl. Catal. B Environ. 2003, 46, 639–669. [Google Scholar] [CrossRef]
- Guojun, L.I.; Shan, Q.I.U.; Yingshi, Z.H.U.; Fengxia, D.E.N.G.; Fang, M.A. Utilization of response surface modeling to optimize hydrogen peroxide and hydroxyl radical generation by electro-Fenton with copper-foam as cathode. Chin. J. Environ. Eng. 2018, 12, 93–101. [Google Scholar]
- Wen, X.J.; Niu, C.G.; Zhang, L.; Liang, C.; Zeng, G. A novel Ag2O/CeO2 heterojunction photocatalysts for photocatalytic degradation of enrofloxacin: Possible degradation pathways, mineralization activity and an in deep mechanism insight. Appl. Catal. B Environ. 2018, 221, 701–714. [Google Scholar] [CrossRef]
- Martins, R.C.; Amaral-Silva, N.; Quinta-Ferreira, R.M. Ceria based solid catalysts for Fenton’s depuration of phenolic wastewaters, biodegradability enhancement and toxicity removal. Appl. Catal. B Environ. 2010, 99, 135–144. [Google Scholar] [CrossRef]
- Zhao, B.; Shao, Q.; Hao, L.; Zhang, L.; Liu, Z.; Zhang, B.; Ge, S.; Guo, Z. Yeast-template synthesized Fe-doped cerium oxide hollow microspheres for visible photodegradation of acid orange 7. J. Colloid Interface Sci. 2018, 511, 39–47. [Google Scholar] [CrossRef] [PubMed]
- Channei, D.; Nakaruk, A.; Phanichphant, S. Photocatalytic degradation of dye using CeO2/SCB composite catalysts. Spectrochim. Acta Part A Mol. Biomol. Spectrosc. 2017, 183, 218–224. [Google Scholar] [CrossRef]
- Khataee, A.; Gholami, P.; Kalderis, D.; Pachatouridou, E.; Konsolakis, M. Preparation of novel CeO2-biochar nanocomposite for sonocatalytic degradation of a textile dye. Ultrason. Sonochem. 2018, 41, 503–513. [Google Scholar] [CrossRef]
- Panahi, H.K.S.; Dehhaghi, M.; Ok, Y.S.; Nizami, A.S.; Khoshnevisan, B.; Mussatto, S.I.; Mortaza, A.; Meisam, T.; Lam, S.S. A comprehensive review of engineered biochar: Production, characteristics, and environmental applications. J. Clean. Prod. 2020, 270, 122462. [Google Scholar] [CrossRef]
- Korsvik, C.; Patil, S.; Seal, S.; Self, W.T. Superoxide dismutase mimetic properties exhibited by vacancy engineered ceria nanoparticles. Chem. Commun. 2007, 10, 1056–1058. [Google Scholar] [CrossRef]
- Veziroglu, S.; Röder, K.; Gronenberg, O.; Vahl, A.; Polonskyi, O.; Strunskus, T.; Rubahn, H.G.; Kienle, L.; Adam, J.; Fiutowski, J.; et al. Cauliflower-like CeO2–TiO2 hybrid nanostructures with extreme photocatalytic and self-cleaning properties. Nanoscale 2019, 11, 9840–9844. [Google Scholar] [CrossRef]
- Wang, G.; Huang, Y.; Li, G.; Zhang, H.; Wang, Y.; Li, B.; Wang, G.; Song, Y. Preparation of a novel sonocatalyst, Au/NiGa2O4-Au-Bi2O3 nanocomposite, and application in sonocatalytic degradation of organic pollutants. Ultrason. Sonochem. 2017, 38, 335–346. [Google Scholar] [CrossRef]
- Jin, J.; Li, S.; Peng, X.; Liu, W.; Zhang, C.; Yang, Y.; Han, L.; Du, Z.; Sun, K.; Wang, X. HNO3 modified biochars for uranium (VI) removal from aqueous solution. Bioresour. Technol. 2018, 256, 247–253. [Google Scholar] [CrossRef] [PubMed]
- Wang, J.; Yi, X.; Su, Q.; Chen, J.; Xie, Z. Effect of FeOx and MnOx doping into the CeO2–V2O5/TiO2 nanocomposite on the performance and mechanism in selective catalytic reduction of NOx with NH3. Catal. Sci. Technol. 2021, 11, 2852–2863. [Google Scholar] [CrossRef]
- Zhang, N.; Liu, Q.; Chen, W.; Wan, M.; Li, X.; Wang, L.; Xue, L.; Zhang, W. High capacity hard carbon derived from lotus stem as anode for sodium ion batteries. J. Power Sources 2018, 378, 331–337. [Google Scholar] [CrossRef]
- Sun, N.; Liu, H.; Xu, B. Facile synthesis of high performance hard carbon anode materials for sodium ion batteries. J. Mater. Chem. A 2015, 3, 20560–20566. [Google Scholar] [CrossRef]
- Wang, L.; Wang, S.; Xu, M.; Hu, X.; Zhang, H.; Wang, Y.; Huang, W. An Au-functionalized ZnO nanowire gas sensor for detection of benzene and toluene. Phys. Chem. Chem. Phys. 2013, 15, 17179–17186. [Google Scholar] [CrossRef] [PubMed]
- Ding, F.; Zhang, S.; Chen, X.; Li, R.; Ren, X. PET fabric treated with environmental-friendly phosphorus-based compounds for enhanced flame retardancy, thermal stability and anti-dripping performance. Compos. Part B Eng. 2022, 235, 109791. [Google Scholar] [CrossRef]
- Awonusi, A.; Morris, M.D.; Tecklenburg, M.M.J. Carbonate assignment and calibration in the Raman spectrum of apatite. Calcif. Tissue Int. 2007, 81, 46–52. [Google Scholar] [CrossRef]
- Duval, C.L. Spectrographie d’absorption infrarouge et isomérie. Pure Appl. Chem. 1966, 13, 463–476. [Google Scholar] [CrossRef]
- Raymond, K.N. The structure and bonding of 4f and 5f series organometallic. Organometallics of the f-Elements. In Proceedings of the NATO Advanced Study Institute, Sogesta, Urbino, Italy, 11–22 September 1978; Volume 44, p. 249. [Google Scholar]
- Fayad, A.M.; Shaaban, K.S.; Abd-Allah, W.M.; Ouis, M. Structural and optical study of CoO doping in borophosphate host glass and effect of gamma irradiation. J. Inorg. Organomet. Polym. Mater. 2020, 30, 5042–5052. [Google Scholar] [CrossRef]
- Liao, D.J.; Xu, Q.K.; McCabe, R.W.; Babu, H.V.; Hu, X.P.; Pan, N.; Wang, D.Y.; Hull, T.R. Ferrocene-based nonphosphorus copolymer: Synthesis, high-charring mechanism, and its application in fire retardant epoxy resin. Ind. Eng. Chem. Res. 2017, 56, 12630–12643. [Google Scholar] [CrossRef]
- Wen, Y.; Cheng, Z.; Li, W.; Li, Z.; Liao, D.; Hu, X.; Pan, N.; Wang, D.; Hull, T.R. A novel oligomer containing DOPO and ferrocene groups: Synthesis, characterization, and its application in fire retardant epoxy resin. Polym. Degrad. Stab. 2018, 156, 111–124. [Google Scholar] [CrossRef]
- Jiang, X.; Zhang, J.; Yu, L.; Chen, R.; Xu, X. Synthesis of mono-dispersed ceria hollow nanospheres by a hydrothermal method. Micro Nano Lett. 2016, 11, 137–141. [Google Scholar] [CrossRef]
- Mandal, B.P.; Roy, M.; Grover, V.; Tyagi, A.K. X-ray diffraction, μ-Raman spectroscopic studies on CeO2–RE2O3 (RE = Ho, Er) systems: Observation of parasitic phases. J. Appl. Phys. 2008, 103, 033506. [Google Scholar] [CrossRef]
- Cong, Y.; Chen, X.; Zheng, Q.; Zhang, Y.; Lv, S.W. The calcium alginate-immobilized Co-g-C3N4 composite microspheres as an efficient mediator to activate peroxymonosulfate for degrading organic pollutants. Environ. Res. 2022, 215, 114414. [Google Scholar] [CrossRef]
- Rajendran, S.; Hoang, T.K.A.; Trudeau, M.L.; Jalil, A.A.; Naushad, M.; Awual, M.R. Generation of novel npn (CeO2-PPy-ZnO) heterojunction for photocatalytic degradation of micro-organic pollutants. Environ. Pollut. 2022, 292, 118375. [Google Scholar] [CrossRef] [PubMed]
- Matanovic, I.; Artyushkova, K.; Strand, M.B.; Dzara, M.J.; Pylypenko, S.; Atanassov, P. Core level shifts of hydrogenated pyridinic and pyrrolic nitrogen in the nitrogen-containing graphene-based electrocatalysts: In-plane vs. edge defects. J. Phys. Chem. C 2016, 120, 29225–29232. [Google Scholar] [CrossRef]
- Tan, K.H.; Jamaluddin, N.; Izzudin, N.M.; Azmi, A.A. Microwave-Assisted in the Preparation of Nitrogen-Doped TiO2 for the Removal of Organic Dyes: Effect of pH and Catalyst Loading. Malays. J. Catal. 2022, 6, 20–24. [Google Scholar]
- Zhang, Z.; Zhang, J.; Wang, T.; Li, Z.; Yang, G.; Bian, H.; Li, J.; Gao, D. Durable oxygen evolution reaction of one-dimensional spinel CoFe2O4 nanofibers fabricated by electrospinning. RSC Adv. 2018, 8, 5338–5343. [Google Scholar] [CrossRef]
- Belousov, A.S.; Fukina, D.G.; Koryagin, A.V. Metal–organic framework-based heterojunction photocatalysts for organic pollutant degradation: Design, construction, and performances. J. Chem. Technol. Biotechnol. 2022, 97, 2675–2693. [Google Scholar] [CrossRef]
- Krishna Kumar, A.S.; You, J.G.; Tseng, W.B.; Dwivedi, G.D.; Rajesh, N.; Jiang, S.J.; Tseng, W.L. Magnetically separable nanospherical g-C3N4@Fe3O4 as a recyclable material for chromium adsorption and visible-light-driven catalytic reduction of aromatic nitro compounds. ACS Sustain. Chem. Eng. 2019, 7, 6662–6671. [Google Scholar] [CrossRef]
- Krishna Kumar, A.S.; Lu, C.Y.; Tseng, W.L. Two in one: Poly (ethyleneimine)-modified MnO2 nanosheets for ultrasensitive detection and catalytic reduction of 2, 4, 6-trinitrotoluene and other nitro aromatics. ACS Sustain. Chem. Eng. 2021, 9, 1142–1151. [Google Scholar] [CrossRef]
- Krishna Kumar, A.S.; Warchol, J.; Matusik, J.; Tseng, W.L.; Rajesh, N.; Bajda, T. Heavy metal and organic dye removal via a hybrid porous hexagonal boron nitride-based magnetic aerogel. NPJ Clean Water 2022, 5, 24. [Google Scholar] [CrossRef]
- Wang, X.; Ma, S.; Wang, X.; Cheng, T.; Dong, J.; Feng, K. The Mechanism of Cu2+ Sorption by Rice Straw Biochar and Its Sorption–Desorption Capacity to Cu2+ in Soil. Bull. Environ. Contam. Toxicol. 2022, 109, 562–570. [Google Scholar] [CrossRef] [PubMed]
- Lightcap, I.V.; Kosel, T.H.; Kamat, P.V. Anchoring semiconductor and metal nanoparticles on a two-dimensional catalyst mat. Storing and shuttling electrons with reduced graphene oxide. Nano Lett. 2010, 10, 577–583. [Google Scholar] [CrossRef]
- Soltani, R.D.C.; Jorfi, S.; Ramezani, H.; Purfadakari, S. Ultrasonically induced ZnO–biosilica nanocomposite for degradation of a textile dye in aqueous phase. Ultrason. Sonochem. 2016, 28, 69–78. [Google Scholar] [CrossRef] [PubMed]
- Low, J.; Yu, J.; Jaroniec, M.; Wageh, S.; Al-Ghamdi, A.A. Heterojunction photocatalysts. Adv. Mater. 2017, 29, 1601694. [Google Scholar] [CrossRef]
- Wang, D.; Yin, F.X.; Cheng, B.; Xia, Y.; Yu, J.G.; Ho, W.K. Enhanced photocatalytic activity and mechanism of CeO 2 hollow spheres for tetracycline degradation. J. Rare Met. 2021, 40, 2369–2380. [Google Scholar] [CrossRef]









Disclaimer/Publisher’s Note: The statements, opinions and data contained in all publications are solely those of the individual author(s) and contributor(s) and not of MDPI and/or the editor(s). MDPI and/or the editor(s) disclaim responsibility for any injury to people or property resulting from any ideas, methods, instructions or products referred to in the content. |
© 2023 by the authors. Licensee MDPI, Basel, Switzerland. This article is an open access article distributed under the terms and conditions of the Creative Commons Attribution (CC BY) license (https://creativecommons.org/licenses/by/4.0/).
Share and Cite
He, X.; Qin, W.; Xie, Y. Degradation of Tetracycline with Photocatalysis by CeO2-Loaded Soybean Powder Carbon. Nanomaterials 2023, 13, 1076. https://doi.org/10.3390/nano13061076
He X, Qin W, Xie Y. Degradation of Tetracycline with Photocatalysis by CeO2-Loaded Soybean Powder Carbon. Nanomaterials. 2023; 13(6):1076. https://doi.org/10.3390/nano13061076
Chicago/Turabian StyleHe, Xinze, Wenzhen Qin, and Yu Xie. 2023. "Degradation of Tetracycline with Photocatalysis by CeO2-Loaded Soybean Powder Carbon" Nanomaterials 13, no. 6: 1076. https://doi.org/10.3390/nano13061076
APA StyleHe, X., Qin, W., & Xie, Y. (2023). Degradation of Tetracycline with Photocatalysis by CeO2-Loaded Soybean Powder Carbon. Nanomaterials, 13(6), 1076. https://doi.org/10.3390/nano13061076

