Cellulose Nano Crystals (CNC) as Additive for a Bio-Based Waterborne Acrylic Wood Coating: Decay, Artificial Weathering, Physical and Chemical Tests
Abstract
1. Introduction
2. Materials and Methods
2.1. Materials
2.2. Methods
Coatings Preparation and Application
2.3. Coating Viscosity
2.4. Coating Uptake
2.5. Decay Test
2.6. Color and Gloss Analyses, Artificial Weathering and Blue Stain Fungi
2.7. Optical Contact Angle
2.8. Impact Test
2.9. Scratch Test
2.10. Adhesion Test
2.11. FTIR Spectroscopy
2.12. SEM
2.13. Statistical Analyses
2.14. Experimental Design
3. Results and Discussions
3.1. Coating Viscosity
3.2. Coating Uptake
3.3. Decay Test
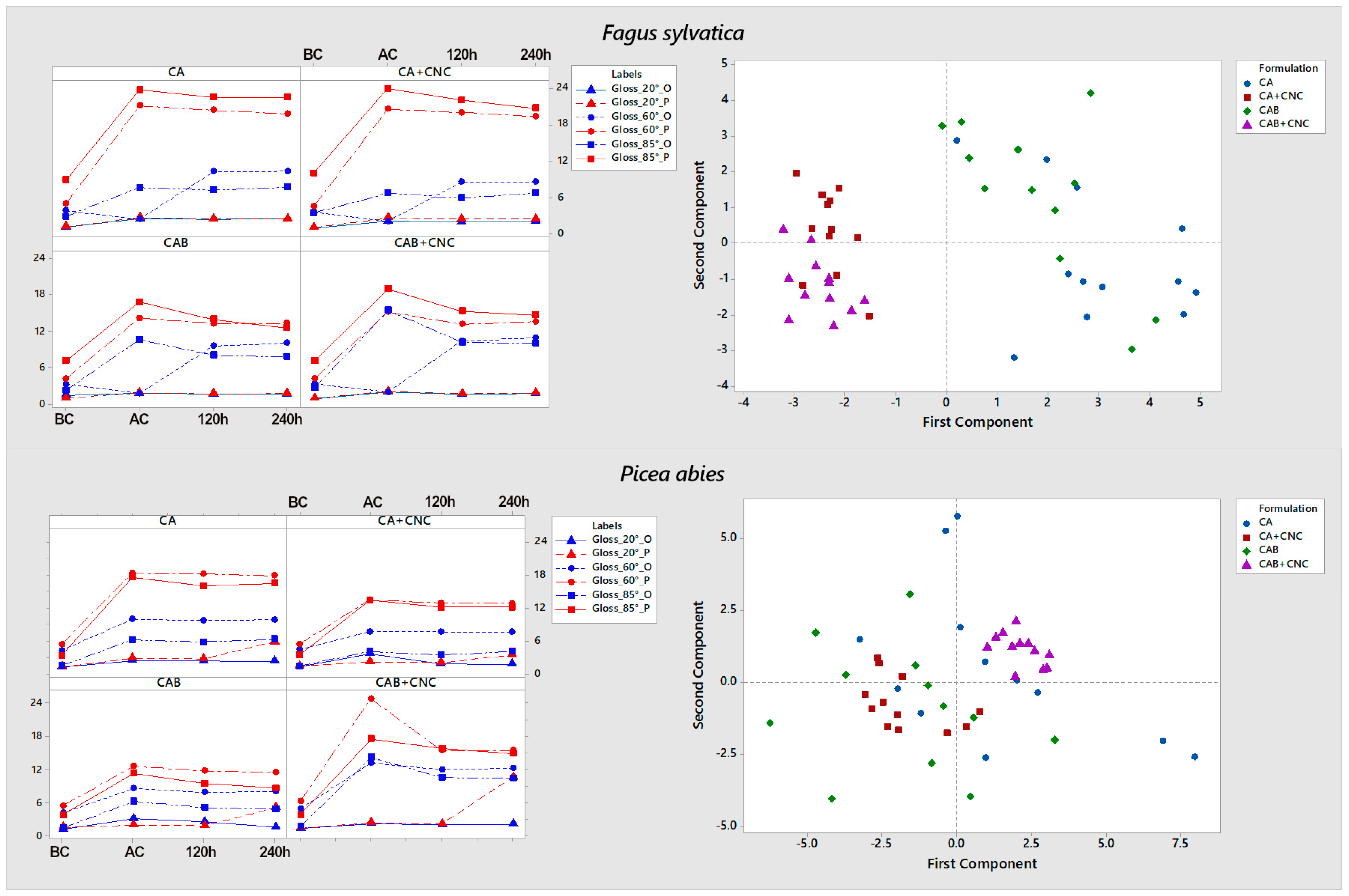
3.4. Color and Gloss Analyses for Artificial Weathering and Blue Stain Fungi Evaluation
3.5. Contact Angle
3.6. Impact Test
3.7. Scratch Test
3.8. Adhesion Test
3.9. FTIR Spectroscopy
3.10. SEM
4. Conclusions
Author Contributions
Funding
Data Availability Statement
Acknowledgments
Conflicts of Interest
References
- Čufar, K.; Tegel, W.; Merela, M.; Kromer, B.; Velušček, A. Eneolithic pile dwellings south of the Alps precisely dated with tree-ring chronologies from the north. Dendrochronologia 2015, 35, 91–98. [Google Scholar] [CrossRef]
- Romagnoli, M.; Fragiacomo, M.; Brunori, A.; Follesa, M.; Scarascia Mugnozza, G. Solid Wood and Wood Based Composites: The Challenge of Sustainability Looking for a Short and Smart Supply Chain. In Digital Wood Design: Innovative Techniques of Representation in Architectural Design; Bianconi, F., Filippucci, M., Eds.; Springer International Publishing: Cham, Switzerland, 2019; pp. 783–807. [Google Scholar] [CrossRef]
- Sciomenta, M.; Spera, L.; Bedon, C.; Rinaldi, V.; Fragiacomo, M.; Romagnoli, M. Mechanical characterization of novel Homogeneous Beech and hybrid Beech-Corsican Pine thin Cross-Laminated timber panels. Constr. Build. Mater. 2021, 271, 121589. [Google Scholar] [CrossRef]
- Sakaguchi, D.; Ikari, K. The structuralization of awareness of the issue on CLT. AIJ J. Technol. Des. 2021, 27, 1297–1302. [Google Scholar] [CrossRef]
- Gabrėnas, A.; Linartas, D. Wooden Objects in Architecture Competitions. J. Archit. Des. Urban. 2020, 3, 20–28. [Google Scholar] [CrossRef]
- Humar, M.; Lesar, B.; Kržišnik, D. Tehnična in estetska življenjska doba lesa. Acta Silvae Et Ligni 2020, 121, 33–48. [Google Scholar] [CrossRef]
- Kržišnik, D.; Lesar, B.; Thaler, N.; Humar, M. Influence of Natural and Artificial Weathering on the Colour Change of Different Wood and Wood-Based Materials. Forests 2018, 9, 488. [Google Scholar] [CrossRef]
- Schmidt, O. Wood and Tree Fungi—Biology, Damage, Protection, and Use; Springer: Heidelberg, Germany, 2006. [Google Scholar]
- Richardson, B.A. Wood Preservation, 2nd ed.; Routledge, Taylor & Francis Group: London, UK, 1993. [Google Scholar]
- Brischke, C.; Meyer, L.; Alfredsen, G.; Humar, M.; Francis, L.; Flæte, P.-O. Natural Durability of Timber Exposed Above Ground—A Survey. Drv. Ind. 2013, 64, 113–129. [Google Scholar] [CrossRef]
- Preston, A.F. Wood Preservation. For. Prod. J. 2000, 12. [Google Scholar]
- European Parliament; Council of the EU. Directive 98/8/EC of the European Parliament and of the Council of 16 February 1998 Concerning the Placing of Biocidal Products on the Market. Directive 1998, 1993/0465/COD. Available online: https://eur-lex.europa.eu/legal-content/EN/ALL/?uri=celex:31998L0008 (accessed on 17 January 2023).
- European Parliament; Council of the EU. Regulation (EU) No 528/2012 of the European Parliament and of the Council of 22 May 2012 Concerning the Making Available on the Market and Use of Biocidal Products Text with EEA Relevance. Regulation 2012, 2009/0076/COD. Available online: https://eur-lex.europa.eu/legal-content/EN/TXT/?uri=celex%3A32012R0528 (accessed on 17 January 2023).
- Vettraino, A.M.; Zikeli, F.; Humar, M.; Biscontri, M.; Bergamasco, S.; Romagnoli, M. PREPRINT. Essential oils as natural biocide against common brown- and white-rot fungi in degradation of wood products: Antifungal activity evaluation by in vitro and FTIR analysis. Eur. J. Wood Wood Prod. 2022. [Google Scholar] [CrossRef]
- Vettraino, A.M.; Zikeli, F.; Scarascia Mugnozza, G.; Vinciguerra, V.; Tabet, D.; Romagnoli, M. Lignin nanoparticles containing essential oils for controlling Phytophthora cactorum diseases. For. Pathol. 2022, 52, e12739. [Google Scholar] [CrossRef]
- Zikeli, F.; Vinciguerra, V.; Sennato, S.; Scarascia Mugnozza, G.; Romagnoli, M. Preparation of Lignin Nanoparticles with Entrapped Essential Oil as a Bio-Based Biocide Delivery System. ACS Omega 2020, 5, 358–368. [Google Scholar] [CrossRef] [PubMed]
- Vek, V.; Balzano, A.; Poljanšek, I.; Humar, M.; Oven, P. Improving Fungal Decay Resistance of Less Durable Sapwood by Impregnation with Scots Pine Knotwood and Black Locust Heartwood Hydrophilic Extractives with Antifungal or Antioxidant Properties. Forests 2020, 11, 1024. [Google Scholar] [CrossRef]
- Hill, C.; Hughes, M.; Gudsell, D. Environmental Impact of Wood Modification. Coatings 2021, 11, 366. [Google Scholar] [CrossRef]
- De Angelis, M.; Humar, M.; Kržišnik, D.; Tamantini, S.; Romagnoli, M. Influence of Thermal Modification and Impregnation with Biocides on Physical Properties of Italian Stone Pine Wood (Pinus pinea L.). Appl. Sci. 2022, 12, 3801. [Google Scholar] [CrossRef]
- Romagnoli, M.; Cavalli, D.; Pernarella, R.; Zanuttini, R.; Togni, M. Physical and mechanical characteristics of poor-quality wood after heat treatment. Iforest—Biogeosciences For. 2015, 8, 884–891. [Google Scholar] [CrossRef]
- Hill, C.A.S. Wood Modification: Chemical, Thermal and Other Processes; John Wiley & Sons, Ltd.: Chichester, UK, 2006; Volume 2, p. 264. [Google Scholar]
- Żmihorska-Gotfryd, A. Coating compositions based on modified phenol-formaldehyde resin and urethane prepolymers. Prog. Org. Coat. 2004, 49, 109–114. [Google Scholar] [CrossRef]
- Abidi, W.; Torres-Sánchez, L.; Siroy, A.; Krasteva, P.V. Weaving of bacterial cellulose by the Bcs secretion systems. FEMS Microbiol. Rev. 2022, 46. [Google Scholar] [CrossRef]
- Shojaeiarani, J.; Bajwa, D.S.; Chanda, S. Cellulose nanocrystal based composites: A review. Compos. Part C Open Access 2021, 5, 100164. [Google Scholar] [CrossRef]
- Li, D.; Wang, J.; Lu, X.; Chen, W.; Dong, X.; Tang, B.; Wang, X. One-step firing of cellulose fiber and ceramic precursors for functional electro-thermal composites. Mater. Des. 2019, 181, 107941. [Google Scholar] [CrossRef]
- Zhu, S.; Kumar Biswas, S.; Qiu, Z.; Yue, Y.; Fu, Q.; Jiang, F.; Han, J. Transparent wood-based functional materials via a top-down approach. Prog. Mater. Sci. 2023, 132, 101025. [Google Scholar] [CrossRef]
- Sahin, H.T.; Arslan, M.B. A study on physical and chemical properties of cellulose paper immersed in various solvent mixtures. Int. J. Mol. Sci. 2008, 9, 78–88. [Google Scholar] [CrossRef] [PubMed]
- Han, J.; Wang, H.; Yue, Y.; Mei, C.; Chen, J.; Huang, C.; Wu, Q.; Xu, X. A self-healable and highly flexible supercapacitor integrated by dynamically cross-linked electro-conductive hydrogels based on nanocellulose-templated carbon nanotubes embedded in a viscoelastic polymer network. Carbon 2019, 149, 1–18. [Google Scholar] [CrossRef]
- Jin, K.; Tang, Y.; Liu, J.; Wang, J.; Ye, C. Nanofibrillated cellulose as coating agent for food packaging paper. Int. J. Biol. Macromol. 2021, 168, 331–338. [Google Scholar] [CrossRef] [PubMed]
- Mokhena, T.C.; John, M.J. Cellulose nanomaterials: New generation materials for solving global issues. Cellulose 2020, 27, 1149–1194. [Google Scholar] [CrossRef]
- Market Research Future. Cellulose Fiber Market: Information by Fiber Type, Application and Region—Forecast till 2025. Available online: https://www.marketresearchfuture.com/reports/cellulose-fiber-market-2903/ (accessed on 15 January 2022).
- Bespalova, Y.; Kwon, D.; Vasanthan, N. Surface modification and antimicrobial properties of cellulose nanocrystals. J. Appl. Polym. Sci. 2017, 134. [Google Scholar] [CrossRef]
- Aguilar-Sanchez, A.; Jalvo, B.; Mautner, A.; Nameer, S.; Pöhler, T.; Tammelin, T.; Mathew, A.P. Waterborne nanocellulose coatings for improving the antifouling and antibacterial properties of polyethersulfone membranes. J. Membr. Sci. 2021, 620, 118842. [Google Scholar] [CrossRef]
- Shin, J.; Na, K.; Shin, S.; Seo, S.M.; Youn, H.J.; Park, I.K.; Hyun, J. Biological Activity of Thyme White Essential Oil Stabilized by Cellulose Nanocrystals. Biomolecules 2019, 9, 799. [Google Scholar] [CrossRef]
- Hossain, F.; Follett, P.; Vu, K.D.; Salmieri, S.; Fraschini, C.; Jamshidian, M.; Lacroix, M. Antifungal activity of combined treatments of active methylcellulose-based films containing encapsulated nanoemulsion of essential oils and γ–irradiation: In vitro and in situ evaluations. Cellulose 2019, 26, 1335–1354. [Google Scholar] [CrossRef]
- Jusic, J.; Tamantini, S.; Romagnoli, M.; Vinciguerra, V.; Di Mattia, E.; Zikeli, F.; Cavalera, M.; Scarascia Mugnozza, G. Improving sustainability in wood coating: Testing lignin and cellulose nanocrystals as additives to commercial acrylic wood coatings for bio-building. Iforest—Biogeosciences For. 2021, 14, 499–507. [Google Scholar] [CrossRef]
- Marini, F.; Zikeli, F.; Corona, P.; Vinciguerra, V.; Manetti, M.; Portoghesi, L.; Mugnozza, G.; Romagnoli, M. Impact of Bio-Based (Tannins) and Nano-Scale (CNC) Additives on Bonding Properties of Synthetic Adhesives (PVAc and MUF) Using Chestnut Wood from Young Coppice Stands. Nanomaterials 2020, 10, 956. [Google Scholar] [CrossRef]
- EN 335:2013; Durability of Wood and Wood-Based Products—Use Classes: Definitions, Application to Solid Wood and Wood-Based Products. European Commitee for Standardization (CEN): Brussels, Belgium, 2013.
- EN 113-1:2021; Durability of Wood and Wood-Based Products—Test Method against Wood Destroying Basidiomycetes—Part 1: Assessment of Biocidal Efficacy of Wood Preservatives. European Committee for Standardization (CEN): Brussels, Belgium, 2021.
- EN 113-2:2021; Durability of Wood and Wood-Based Products—Test Method against Wood Destroying Basidiomycetes—Part 2: Assessment of Inherent or Enhanced Durability. European Committee for Standardization (CEN): Brussels, Belgium, 2021.
- EN ISO 2431:2019; Paints and Varnishes—Determination of Flow Time by Use of Flow Cups. European Committee for Standardization (CEN): Brussels, Belgium, 2019.
- Raspor, P.; Smole Mozina, S.; Podjavorsek, J.; Pohleven, F.; Gogala, N.; Nekrep, F.V.; Rogelj, I.; Hacin, J. Culture Collection of Industrial Microorganisms (ZIM); Univesity of Ljubljana: Ljubljana, Slovenia, 1995. [Google Scholar]
- Akitsu, H.; Norimoto, M.; Morooka, T.; Rowell, R.M. Effect of Humidity on Vibrational Properties of Chemically Modified Wood. Wood Fiber Sci. 1993, 25, 250–260. [Google Scholar]
- ISO 16474-2:2013; Paints and Varnishes—Methods of Exposure to Laboratory Light Sources—Part 2: Xenon-Arc Lamps. International Organization for Standardization (ISO): Geneva, Switzerland, 2013.
- EN ISO/CIE 11664-4:2019; Colorimetry—Part 4: CIE 1976 L*a*b* Colour Space. European Committee for Standardization (CEN): Brussels, Belgium, 2019.
- EN 152:2011; Wood Preservatives—Determination of the Protective Effectiveness of a Preservative Treatment against Blue Stain in Wood in Service—Laboratory Method. European Committee for Standardization (CEN): Brussels, Belgium, 2011.
- ISO 4211-4:1988; Furniture—Tests for Surfaces—Part 4: Assessment of Resistance to Impact. International Organization for Standardization (ISO): Geneva, Switzerland, 1988.
- EN ISO 1518-1:2019; Paints and Varnishes—Determination of Scratch Resistance—Part 1: Constant-Loading Method. European Committee for Standardization (CEN): Brussels, Belgium, 2019.
- EN ISO 4624:2016; Paints and Varnishes—Pull-off Test for Adhesion. European Committee for Standardization (CEN): Brussels, Belgium, 2016.
- Kluge, M.; Veigel, S.; Pinkl, S.; Henniges, U.; Zollfrank, C.; Roessler, A.; Gindl-Altmutter, W. Nanocellulosic fillers for waterborne wood coatings: Reinforcement effect on free-standing coating films. Wood Sci. Technol. 2017, 51, 601–613. [Google Scholar] [CrossRef]
- Bulian, F.; Graystone, J.A. Chapter 3 - Raw Materials for Wood Coatings (1)—Film Formers (Binders, Resins and Polymers). In Wood Coatings; Bulian, F., Graystone, J.A., Eds.; Elsevier: Amsterdam, 2009; pp. 53–94. [Google Scholar] [CrossRef]
- De Meijer, M.; Van de Velde, B.; Militz, H. Rheological approach to the capillary penetration of coating into wood. J. Coat. Technol. 2001, 73, 39–51. [Google Scholar] [CrossRef]
- Dogsa, I.; Tomšič, M.; Orehek, J.; Benigar, E.; Jamnik, A.; Stopar, D. Amorphous supramolecular structure of carboxymethyl cellulose in aqueous solution at different pH values as determined by rheology, small angle X-ray and light scattering. Carbohydr. Polym. 2014, 111, 492–504. [Google Scholar] [CrossRef] [PubMed]
- Tayeb, A.H.; Amini, E.; Ghasemi, S.; Tajvidi, M. Cellulose Nanomaterials -Binding Properties and Applications: A Review. Molecules 2018, 23, 2684. [Google Scholar] [CrossRef]
- Poaty, B.; Vardanyan, V.; Wilczak, L.; Chauve, G.; Riedl, B. Modification of cellulose nanocrystals as reinforcement derivatives for wood coatings. Prog. Org. Coat. 2014, 77, 813–820. [Google Scholar] [CrossRef]
- Kubiak, K.J.; Wilson, M.C.T.; Mathia, T.G.; Carval, P. Wettability versus roughness of engineering surfaces. Wear 2011, 271, 523–528. [Google Scholar] [CrossRef]
- Brodin, F.W.; Gregersen, Ø.W.; Syverud, K. Cellulose nanofibrils: Challenges and possibilities as a paper additive or coating material—A review. Nord. Pulp Pap. Res. J. 2014, 29, 156–166. [Google Scholar] [CrossRef]
- EN 350:2016; Durability of Wood and Wood-Based Products—Testing and Classification of the Durability to Biological Agents of Wood and Wood-Based Materials. European Committee for Standardization (CEN): Brussels, Belgium, 2016.
- Blanchette, R.A.; Nilsson, T.; Daniel, G.; Abad, A.R. Biological Degradation of Wood. In Archaeological Wood; American Chemical Society: Washington, DC, USA, 1990; pp. 141–174. [Google Scholar]
- Giordano, L. Panoramica sui principali agenti di carie bruna. Arbor 2017, 1, 13–18. [Google Scholar]
- Singh, A.P.; Singh, T. Biotechnological applications of wood-rotting fungi: A review. Biomass Bioenergy 2014, 62, 198–206. [Google Scholar] [CrossRef]
- Unger, A.; Schniewind, A.P.; Unger, W. Conservation of Wood Artifacts, 1st ed.; Springer: Berlin, Heidelberg, 2001; p. XVII, 578. [Google Scholar]
- Woo, C.; Daniels, B.; Stirling, R.; Morris, P. Tebuconazole and propiconazole tolerance and possible degradation by Basidiomycetes: A wood-based bioassay. Int. Biodeterior. Biodegrad. 2010, 64, 403–408. [Google Scholar] [CrossRef]
- Díaz-Cruz, M.S.; Gago-Ferrero, P.; Badia-Fabregat, M.; Caminal, G.; Vicent, T.; Barceló, D. Fungal-Mediated Biodegradation of Ingredients in Personal Care Products. In Personal Care Products in the Aquatic Environment; Díaz-Cruz, M.S., Barceló, D., Eds.; Springer International Publishing: Cham, Switzerland, 2015; pp. 295–317. [Google Scholar] [CrossRef]
- CEN/TS 15083-1:2005; Durability of Wood and Wood-Based Products—Determination of the Natural Durability of Solid Wood against Wood-Destroying Fungi, Test Methods—Part 1: Basidiomycetes. European Committee for Standardization (CEN): Brussels, Belgium, 2005.
- Romagnoli, M.; Segoloni, E.; Luna, M.; Margaritelli, A.; Gatti, M.; Santamaria, U.; Vinciguerra, V. Wood colour in Lapacho (Tabebuia serratifolia): Chemical composition and industrial implications. Wood Sci. Technol. 2013, 47, 701–716. [Google Scholar] [CrossRef]
- Deka, M.; Humar, M.; Rep, G.; Kričej, B.; Šentjurc, M.; Petrič, M. Effects of UV light irradiation on colour stability of thermally modified, copper ethanolamine treated and non-modified wood: EPR and DRIFT spectroscopic studies. Wood Sci. Technol. 2008, 42, 5–20. [Google Scholar] [CrossRef]
- Brenner, M.; Hearing, V.J. The protective role of melanin against UV damage in human skin. Photochem. Photobiol 2008, 84, 539–549. [Google Scholar] [CrossRef] [PubMed]
- De Gruijl, F.R. UV adaptation: Pigmentation and protection against overexposure. Exp. Dermatol. 2017, 26, 557–562. [Google Scholar] [CrossRef]
- Du, H.; Wang, W.; Wang, Q.; Zhang, Z.; Sui, S.; Zhang, Y. Effects of pigments on the UV degradation of wood-flour/HDPE composites. J. Appl. Polym. Sci. 2010, 118, 1068–1076. [Google Scholar] [CrossRef]
- Salca, E.-A.; Krystofiak, T.; Lis, B.; Hiziroglu, S. Glossiness Evaluation of Coated Wood Surfaces as Function of Varnish Type and Exposure to Different Conditions. Coatings 2021, 11, 558. [Google Scholar] [CrossRef]
- Schirp, A.; Plinke, B.; Napolow, D. Effectiveness of organic and inorganic pigments for mass colouration of thermo-mechanical pulp used in wood–plastic composites. Eur. J. Wood Wood Prod. 2015, 73, 5–16. [Google Scholar] [CrossRef]
- Vardanyan, V.; Poaty, B.; Chauve, G.; Landry, V.; Galstian, T.; Riedl, B. Mechanical properties of UV-waterborne varnishes reinforced by cellulose nanocrystals. J. Coat. Technol. Res. 2014, 11, 841–852. [Google Scholar] [CrossRef]
- Van den Bulcke, J.; Van Acker, J.; Stevens, M. Experimental and theoretical behavior of exterior wood coatings subjected to artificial weathering. J. Coat. Technol. Res. 2008, 5, 221–231. [Google Scholar] [CrossRef]
- Veigel, S.; Grüll, G.; Pinkl, S.; Obersriebnig, M.; Müller, U.; Gindl-Altmutter, W. Improving the mechanical resistance of waterborne wood coatings by adding cellulose nanofibres. React. Funct. Polym. 2014, 85, 214–220. [Google Scholar] [CrossRef]
- Adibpour, N.; Khalaj, A.; Rezaee, S.; Daneshtalab, M. In Vitro antifungal activity of 2-(4-substituted phenyl)-3(2H)-isothiazolones. Folia Microbiol. 2007, 52, 573–576. [Google Scholar] [CrossRef] [PubMed]
- Vardanyan, V.; Galstian, T.; Riedl, B. Effect of addition of cellulose nanocrystals to wood coatings on color changes and surface roughness due to accelerated weathering. J. Coat. Technol. Res. 2014, 12, 247–258. [Google Scholar] [CrossRef]
- Hassan, M.L.; Fadel, S.M.; Hassan, E.A. Acrylate/Nanofibrillated Cellulose Nanocomposites and Their Use for Paper Coating. J. Nanomater. 2018, 2018, 4953834. [Google Scholar] [CrossRef]
- Lu, P.; Hsieh, Y.-L. Cellulose nanocrystal-filled poly(acrylic acid) nanocomposite fibrous membranes. Nanotechnology 2009, 20, 415604. [Google Scholar] [CrossRef] [PubMed]
- Batta-Mpouma, J.; Kandhola, G.; Sakon, J.; Kim, J.-W. Covalent Crosslinking of Colloidal Cellulose Nanocrystals for Multifunctional Nanostructured Hydrogels with Tunable Physicochemical Properties. Biomacromolecules 2022, 23, 4085–4096. [Google Scholar] [CrossRef] [PubMed]
- Tanpichai, S.; Oksman, K. Cross-linked nanocomposite hydrogels based on cellulose nanocrystals and PVA: Mechanical properties and creep recovery. Compos. Part A: Appl. Sci. Manuf. 2016, 88, 226–233. [Google Scholar] [CrossRef]
- Giordano, G. Tecnologia del legno; Unione Tipografico—Editrice Torinese: Torino, Italy, 1981. [Google Scholar]
- Žigon, J.; Kovač, J.; Petrič, M. The influence of mechanical, physical and chemical pre-treatment processes of wood surface on the relationships of wood with a waterborne opaque coating. Prog. Org. Coat. 2022, 162, 106574. [Google Scholar] [CrossRef]
- De Meijer, M. A review of interfacial aspects in wood coatings: Wetting, surface energy, substrate penetration and adhesion. In Proceedings of the COST E18 Final Seminar—High Performance Wood Coatings Exterior and Interior Performance, Paris, France, 26–27 April 2004; pp. 1–16. [Google Scholar]
- Chieng, B.W.; Lee, S.H.; Ibrahim, N.A.; Then, Y.Y.; Loo, Y.Y. Isolation and Characterization of Cellulose Nanocrystals from Oil Palm Mesocarp Fiber. Polymer 2017, 9, 355. [Google Scholar] [CrossRef]
- Zhao, J.; Wu, X.; Yuan, X.; Yang, X.; Guo, H.; Yao, W.; Ji, D.; Li, X.; Zhang, L. Nanocellulose and Cellulose Making with Bio-Enzymes from Different Particle Sizes of Neosinocalamus Affinis. Coatings 2022, 12, 1734. [Google Scholar] [CrossRef]










| Abbreviation | Formulation |
|---|---|
| CA | Commercial acrylic coating |
| CA+CNC | CA with the addition of 2% gel of CNC |
| CAB | Commercial acrylic coating with biocides |
| CAB+CNC | CAB with the addition of 2% gel of CNC |
| Viscosity | |
|---|---|
| CA | 1′43” |
| CA+CNC | 12′22” *** |
| CAB | 1′15” |
| CAB+CNC | 20′ *** |
| Coating Uptake (%) | ||||
|---|---|---|---|---|
| Sample | D | AW | ||
| Wood Species | F. sylvatica | P. abies | F. sylvatica | P. abies |
| CA | 10.39 ± 0.83 A | 15.27 ± 0.89 B | 13.28 ± 0.82 F | 36.33 ± 2.26 I |
| CA+CNC | 13.52 ± 1.21 A | 17.70 ± 1.76 C | 20.32 ± 1.79 G | 25.45 ± 2.05 L |
| CAB | 12.27 ± 8.20 A | 13.63 ± 1.05 D | 12.22 ± 0.81 F | 17.16 ± 0.90 M |
| CAB+CNC | 10.83 ± 9.54 A | 22.67 ± 2.62 E | 27.34 ± 3.29 H | 37.18 ± 3.90 I |
| ΔE* (BC-AC) | ΔE* (AC-120 h) | ΔE* (120 h–240 h) | ||||
|---|---|---|---|---|---|---|
| F. sylvatica | P. abies | F. sylvatica | P. abies | F. sylvatica | P. abies | |
| Control | 13.0 ± 0.9 a | 20.0 ± 1.7 a | 4.1 ± 0.5 b | 5.5 ± 0.4 b | ||
| CA | 5.3 ± 1.1 | 3.9 ± 1.1 | 9.2 ± 0.8 | 15.7 ± 1.4 | 2.1 ± 0.4 | 4.0 ± 0.6 |
| CA+CNC | 7.2 ± 1.3 | 5.5 ± 1.0 | 8.1 ± 0.8 | 16.2 ± 1.2 | 2.5 ± 0.3 | 4.2 ± 0.7 |
| CAB | 3.7 ± 1.1 | 5.7 ± 0.5 | 7.6 ± 1.5 | 15.6 ± 1.6 | 2.7 ± 0.6 | 4.5 ± 0.8 |
| CAB+CNC | 10.3 ± 1.6 | 6.6 ± 1.1 | 8.7 ± 0.7 | 13.4 ± 1.4 | 2.3 ± 0.3 | 3.9 ± 0.5 |
| Level of Damage | ||||
|---|---|---|---|---|
| Species | F. sylvatica | P. abies | ||
| Height (cm) | 25 | 100 | 25 | 100 |
| CA | 4 | 4 | 3 | 3 |
| CA+CNC | 4 | 4 | 4 | 4 |
| CAB | 4 | 4 | 4 | 4 |
| CAB+CNC | 4 | 4 | 4 | 4 |
| Maximum Indent Width (mm) | ||||
|---|---|---|---|---|
| Species | F. sylvatica | P. abies | ||
| Load (N) | 5 | 10 | 5 | 10 |
| CA | 0.4 | 0.6 | 0.7 | 1.2 |
| CA+CNC | 0.3 | 0.4 | 0.6 | 1.2 |
| CAB | 0.4 | 0.5 | 0.5 | 1.2 |
| CAB+CNC | 0.3 | 0.4 | 0.4 | 1.2 |
| Adhesion Stress (MPa) | ||
|---|---|---|
| Species | F. sylvatica | P. abies |
| CA | 7.80 ± 0.46 | 4.77 ± 0.11 |
| CA+CNC | 7.31 ± 0.62 | 3.54 ± 0.50 * |
| CAB | 7.74 ± 0.42 | 4.94 ± 0.37 |
| CAB+CNC | 7.17 ± 0.38 | 3.58 ± 0.30 * |
Disclaimer/Publisher’s Note: The statements, opinions and data contained in all publications are solely those of the individual author(s) and contributor(s) and not of MDPI and/or the editor(s). MDPI and/or the editor(s) disclaim responsibility for any injury to people or property resulting from any ideas, methods, instructions or products referred to in the content. |
© 2023 by the authors. Licensee MDPI, Basel, Switzerland. This article is an open access article distributed under the terms and conditions of the Creative Commons Attribution (CC BY) license (https://creativecommons.org/licenses/by/4.0/).
Share and Cite
Tamantini, S.; Bergamasco, S.; Zikeli, F.; Humar, M.; Cavalera, M.; Romagnoli, M. Cellulose Nano Crystals (CNC) as Additive for a Bio-Based Waterborne Acrylic Wood Coating: Decay, Artificial Weathering, Physical and Chemical Tests. Nanomaterials 2023, 13, 442. https://doi.org/10.3390/nano13030442
Tamantini S, Bergamasco S, Zikeli F, Humar M, Cavalera M, Romagnoli M. Cellulose Nano Crystals (CNC) as Additive for a Bio-Based Waterborne Acrylic Wood Coating: Decay, Artificial Weathering, Physical and Chemical Tests. Nanomaterials. 2023; 13(3):442. https://doi.org/10.3390/nano13030442
Chicago/Turabian StyleTamantini, Swati, Sara Bergamasco, Florian Zikeli, Miha Humar, Massimo Cavalera, and Manuela Romagnoli. 2023. "Cellulose Nano Crystals (CNC) as Additive for a Bio-Based Waterborne Acrylic Wood Coating: Decay, Artificial Weathering, Physical and Chemical Tests" Nanomaterials 13, no. 3: 442. https://doi.org/10.3390/nano13030442
APA StyleTamantini, S., Bergamasco, S., Zikeli, F., Humar, M., Cavalera, M., & Romagnoli, M. (2023). Cellulose Nano Crystals (CNC) as Additive for a Bio-Based Waterborne Acrylic Wood Coating: Decay, Artificial Weathering, Physical and Chemical Tests. Nanomaterials, 13(3), 442. https://doi.org/10.3390/nano13030442

