Dynamics of Dispersive Measurements of Flux-Qubit States: Energy-Level Splitting Connected to Quantum Wave Mechanics
Abstract
:1. Introduction
2. Description of the Hamiltonian
3. Results and Discussion
3.1. Unitary Transformation Approach
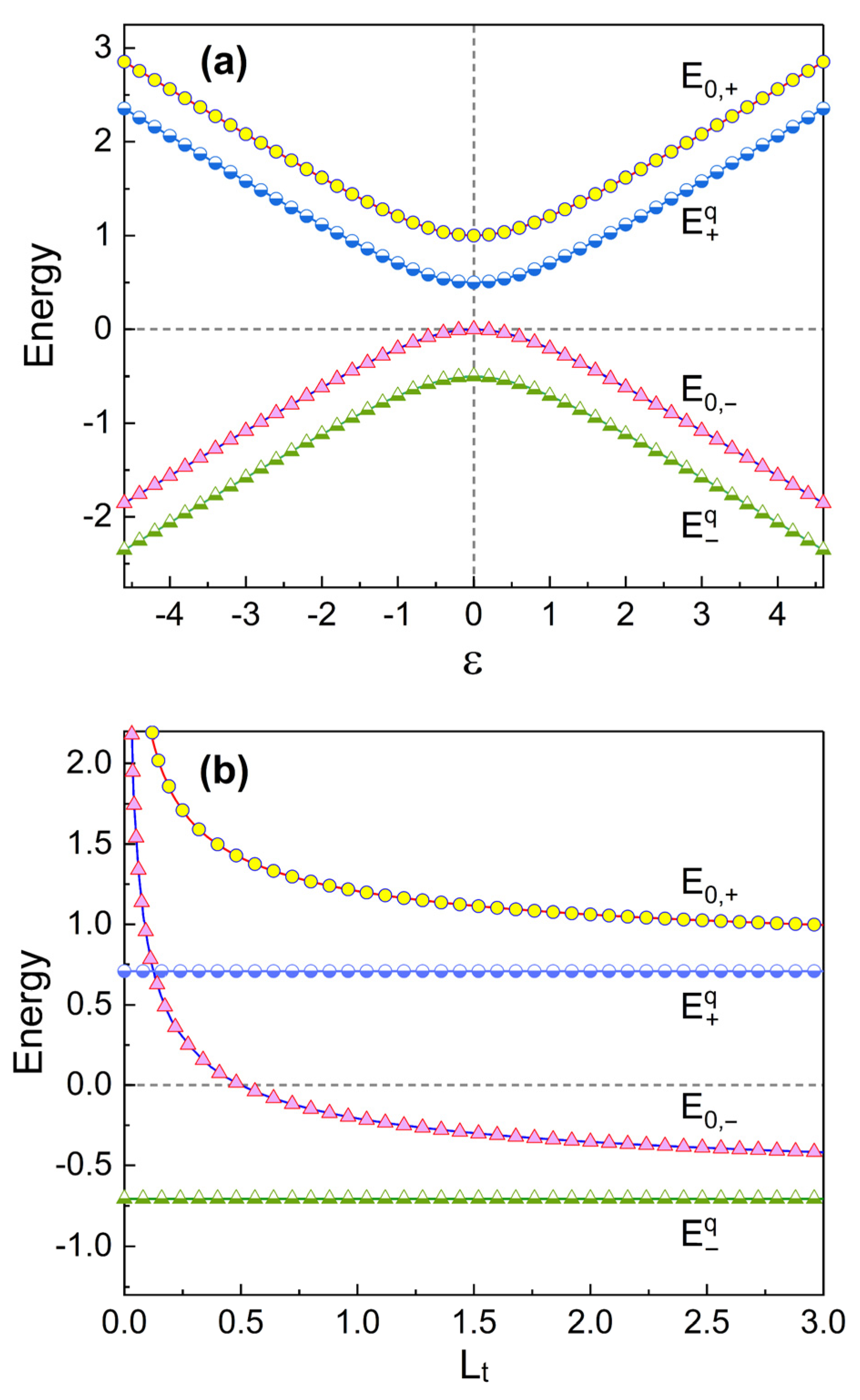
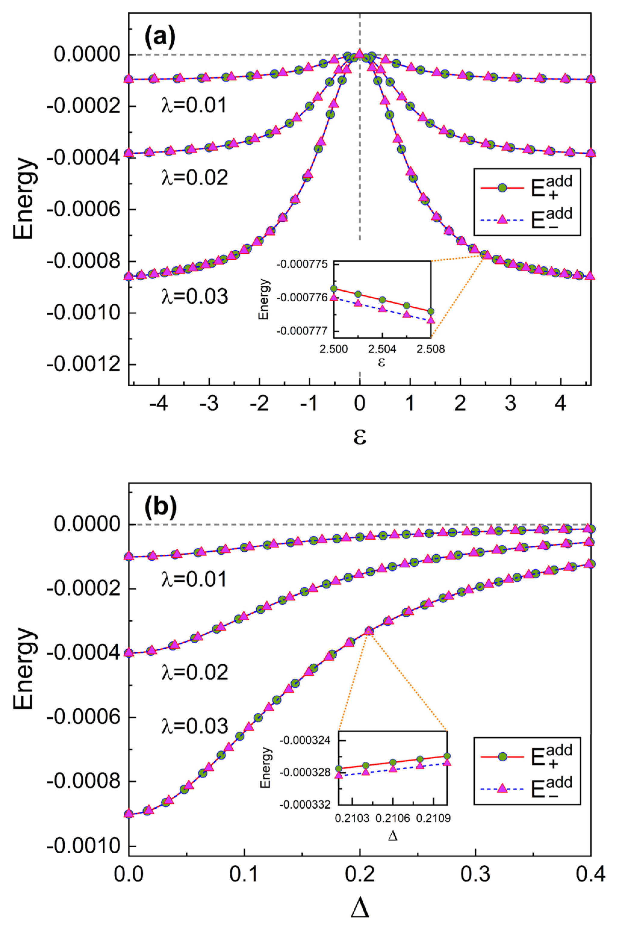
3.2. Analysis of Energy-Level Splitting
3.3. Quantum Wave Mechanics
4. Conclusions
5. Methods
Funding
Data Availability Statement
Conflicts of Interest
Appendix A. Unitary Transformation
Appendix B. More Detailed Derivation of the Wave Functions
References
- Yan, R.-Y.; Feng, Z.-B. Fast generation of microwave photon Fock states in a superconducting nanocircuit. Phys. E 2021, 127, 114522. [Google Scholar] [CrossRef]
- Orús, P.; Sigloch, F.; Sangiao, S.; Teresa, J.M.D. Superconducting materials and devices grown by focused ion and electron beam induced deposition. Nanomaterials 2022, 12, 1367. [Google Scholar] [CrossRef] [PubMed]
- Zhang, Y.; Wong, C.H.; Shen, J.; Sze, S.T.; Zhang, B.; Zhang, H.; Dong, Y.; Xu, H.; Yan, Z.; Li, Y.; et al. Dramatic enhancement of superconductivity in single-crystalline nanowire arrays of Sn. Sci. Rep. 2016, 6, 32963. [Google Scholar] [CrossRef] [PubMed]
- Clarke, J.; Wilhelm, F.K. Superconducting quantum bits. Nature 2008, 453, 1031–1042. [Google Scholar] [CrossRef] [PubMed]
- You, J.Q.; Nori, F. Atomic physics and quantum optics using superconducting circuits. Nature 2011, 474, 589–597. [Google Scholar] [CrossRef] [PubMed]
- Choi, J.R.; Ju, S. Quantum characteristics of a nanomechanical resonator coupled to a superconducting LC resonator in quantum computing systems. Nanomaterials 2019, 9, 20. [Google Scholar] [CrossRef] [PubMed]
- Hamann, A.; Sekatski, P.; Dür, W. Approximate decoherence free subspaces for distributed sensing. Quantum Sci. Technol. 2022, 7, 025003. [Google Scholar] [CrossRef]
- Chiorescu, I.; Bertet, P.; Semba, K.; Nakamura, Y.; Harmans, C.J.P.M.; Mooij, J.E. Coherent dynamics of a flux qubit coupled to a harmonic oscillator. Nature 2004, 431, 159–162. [Google Scholar] [CrossRef]
- Zueco, D.; Reuther, G.M.; Kohler, S.; Hanggi, P. Qubit-oscillator dynamics in the dispersive regime: Analytical theory beyond the rotating-wave approximation. Phys. Rev. A 2009, 80, 033846. [Google Scholar] [CrossRef]
- Chang, T.; Cohen, T.; Holzman, I.; Catelani, G.; Stern, M. Tunable superconducting flux qubits with long coherence times. Phys. Rev. Appl. 2023, 19, 024066. [Google Scholar] [CrossRef]
- Krantz, P.; Bengtsson, A.; Simoen, M.; Gustavsson, S.; Shumeiko, V.; Oliver, W.D.; Wilson, C.M.; Delsing, P.; Bylander, J. Single-shot read-out of a superconducting qubit using a Josephson parametric oscillator. Nat. Commun. 2016, 7, 11417. [Google Scholar] [CrossRef] [PubMed]
- Choi, J.R. Time behavior of superconducting resonators in quantum circuits for quantum information processing. Discovery 2015, 38, 29–35. [Google Scholar]
- Leek, P.J.; Fink, J.M.; Blais, A.; Bianchetti, R.; Göppl, M.; Gambetta, J.M.; Schuster, D.I.; Frunzio, L.; Schoelkopf, R.J.; Wallraff, A. Observation of Berry’s phase in a solid-state qubit. Science 2007, 318, 1889–1892. [Google Scholar] [CrossRef] [PubMed]
- Qi, S.-F.; Jing, J. Berry-phase-based quantum gates assisted by transitionless quantum driving. J. Opt. Soc. Am. B 2020, 37, 682–694. [Google Scholar] [CrossRef]
- Govia, L.C.G.; Clerk, A.A. Enhanced qubit readout using locally generated squeezing and inbuilt Purcell-decay suppression. New J. Phys. 2017, 19, 023044. [Google Scholar] [CrossRef]
- Zagoskin, A.M.; Il’ichev, E.; McCutcheon, M.W.; Young, J.F.; Nori, F. Controlled generation of squeezed states of microwave radiation in a superconducting resonant circuit. Phys. Rev. Lett. 2008, 101, 253602. [Google Scholar] [CrossRef] [PubMed]
- Lupaşcu, A.; Saito, A.L.S.; Picot, T.; de Groot, P.C.; Harmans, C.J.P.M.; Mooij, J.E. Quantum non-demolition measurement of a superconducting two-level system. Nat. Phys. 2007, 3, 119–125. [Google Scholar] [CrossRef]
- Dassonneville, R.; Ramos, T.; Milchakov, V.; Planat, L.; Dumur, É.; Foroughi, F.; Puertas, J.; Leger, S.; Bharadwaj, K.; Delaforce, J.; et al. Fast high-fidelity quantum nondemolition qubit readout via a nonperturbative cross-Kerr coupling. Phys. Rev. X 2020, 10, 011045. [Google Scholar] [CrossRef]
- Bravyi, S.; Dial, O.; Gambetta, J.M.; Gil, D.; Nazario, Z. The future of quantum computing with superconducting qubits. J. Appl. Phys. 2022, 132, 160902. [Google Scholar] [CrossRef]
- Moskalenko, I.N.; Simakov, I.A.; Abramov, N.N.; Grigorev, A.A.; Moskalev, D.O.; Pishchimova, A.A.; Smirnov, N.S.; Zikiy, E.V.; Rodionov, I.A.; Besedin, I.S. High fidelity two-qubit gates on fluxoniums using a tunable coupler. NPJ Quantum Inf. 2022, 8, 130. [Google Scholar] [CrossRef]
- Foxen, B.; Neill, C.; Dunsworth, A.; Roushan, P.; Chiaro, B.; Megrant, A.; Kelly, J.; Chen, Z.; Satzinger, K.; Barends, R.; et al. Demonstrating a continuous set of two-qubit gates for near-term quantum algorithms. Phys. Rev. Lett. 2020, 125, 120504. [Google Scholar] [CrossRef] [PubMed]
- Yan, F.; Gustavsson, S.; Kamal, A.; Birenbaum, J.; Sears, A.P.; Hover, D.; Gudmundsen, T.J.; Rosenberg, D.; Samach, G.; Weber, S.; et al. The flux qubit revisited to enhance coherence and reproducibility. Nat. Commun. 2016, 7, 12964. [Google Scholar] [CrossRef]
- Mooij, J.E.; Orlando, T.P.; Levitov, L.; Tian, L.; Wal, C.H.V.; Lloyd, S. Josephson persistent-current qubit. Science 1999, 285, 1036–1039. [Google Scholar] [CrossRef]
- Gyongyosi, L.; Imre, S. Theory of noise-scaled stability bounds and entanglement rate maximization in the quantum internet. Sci. Rep. 2020, 10, 2745. [Google Scholar] [CrossRef] [PubMed]
- Bertet, P.; Chiorescu, I.; Semba, K.; Harmans, C.J.P.M.; Mooij, J.E. Dynamics of a qubit coupled to a harmonic oscillator. In Quantum Computing in Solid State Systems; Ruggiero, B., Delsing, P., Granata, C., Pashkin, Y., Silvestrini, P., Eds.; Springer: New York, NY, USA, 2006. [Google Scholar]
- Burger, A.; Kwek, L.C.; Poletti, D. Digital quantum simulation of the spin-Boson model under Markovian open-system dynamics. Entropy 2022, 24, 1766. [Google Scholar] [CrossRef] [PubMed]
- Wal, C.H.V.; Wilhelm, F.K.; Harmans, C.J.P.M.; Mooij, J.E. Engineering decoherence in Josephson persistent-current qubits: Measurement apparatus and other electromagnetic environments. Eur. Phys. J. B 2003, 31, 111–124. [Google Scholar]
- Zhang, H.; Chakram, S.; Roy, T.; Earnest, N.; Lu, Y.; Huang, Z.; Weiss, D.K.; Koch, J.; Schuster, D.I. Universal fast-flux control of a coherent, low-frequency qubit. Phys. Rev. X 2021, 11, 011010. [Google Scholar] [CrossRef]
- Lupaşcu, A.; Verwijs, C.J.M.; Schouten, R.N.; Harmans, C.J.P.M.; Mooij, J.E. Nondestructive readout for a superconducting flux qubit. Phys. Rev. Lett. 2004, 93, 177006. [Google Scholar] [CrossRef]
- Grifoni, M. Dissipative dynamics of a biased qubit coupled to a harmonic oscillator: Analytical results beyond the rotating wave approximation. New J. Phys. 2008, 10, 115015. [Google Scholar]
- Zhou, X.; Zhai, L.; Liu, J. Epitaxial quantum dots: A semiconductor launchpad for photonic quantum technologies. Photonics Insights 2023, 1, R07. [Google Scholar] [CrossRef]
- Khan, W.; Potts, P.P.; Lehmann, S.; Thelander, C.; Dick, K.A.; Samuelsson, P.; Maisi, V.F. Efficient and continuous microwave photoconversion in hybrid cavity-semiconductor nanowire double quantum dot diodes. Nat. Commun. 2021, 12, 5130. [Google Scholar] [CrossRef] [PubMed]
- Magazzu, L.; Forn-Diaz, P.; Belyansky, R.; Orgiazzi, J.-L.; Yurtalan, M.A.; Otto, M.R.; Lupascu, A.; Wilson, C.M.; Grifoni, M. Probing the strongly driven spin-boson model in a superconducting quantum circuit. Nat. Commun. 2018, 9, 1403. [Google Scholar] [CrossRef] [PubMed]
- Cohen, J.; Smith, W.C.; Devoret, M.H.; Mirrahimi, M. Degeneracy-preserving quantum nondemolition measurement of parity-type observables for cat qubits. Phys. Rev. Lett. 2017, 119, 060503. [Google Scholar] [CrossRef] [PubMed]
- Zhuang, F.; Zeng, J.; Economou, S.E.; Barnes, E. Noise-resistant Landau-Zener sweeps from geometrical curves. Quantum 2022, 6, 639. [Google Scholar] [CrossRef]
- Lainé, A.; Vanossi, A.; Niguès, A.; Tosatti, E.; Siria, A. Amplitude nanofriction spectroscopy. Nanoscale 2021, 13, 1955–1960. [Google Scholar] [CrossRef] [PubMed]
- Hofheinz, M.; Weig, E.M.; Ansmann, M.; Bialczak, R.C.; Lucero, E.; Neeley, M.; O’Connell, A.D.; Wang, H.; Martinis, J.M.; Cleland, A.N. Generation of Fock states in a superconducting quantum circuit. Nature 2008, 454, 310–314. [Google Scholar] [CrossRef] [PubMed]
- Manfredi, G.; Rittaud, A.; Tronci, C. Hybrid quantum-classical dynamics of pure-dephasing systems. J. Phys. A Math. Theor. 2023, 56, 154002. [Google Scholar] [CrossRef]
- Gonzalez-Tudela, A.; del Valle, E.; Cancellieri, E.; Tejedor, C.; Sanvitto, D.; Laussy, F.P. Effect of pure dephasing on the Jaynes-Cummings nonlinearities. Opt. Express 2010, 18, 7002–7009. [Google Scholar] [CrossRef]
- Zeuch, D.; Hassler, F.; Slim, J.J.; DiVincenzo, D.P. Exact rotating wave approximation. Ann. Phys. 2020, 423, 168327. [Google Scholar] [CrossRef]
- Bin, Q.; Lü, X.-Y.; Bin, S.-W.; Zhu, G.-L.; Wu, Y. Single-photon-induced two qubits excitation without breaking parity symmetry. Opt. Express 2017, 25, 31718–31729. [Google Scholar] [CrossRef]
- Harvey-Collard, P.; D’Anjou, B.; Rudolph, M.; Jacobson, N.T.; Dominguez, J.; Eyck, G.A.T.; Wendt, J.R.; Pluym, T.; Lilly, M.P.; Coish, W.A.; et al. High-fidelity single-shot readout for a spin qubit via an enhanced latching mechanism. Phys. Rev. X 2018, 8, 021046. [Google Scholar] [CrossRef]
- Croitoru, M.D.; Lounis, B.; Buzdin, A.I. Influence of a nonuniform thermal quench and circular polarized radiation on spontaneous current generation in superconducting rings. Phys. Rev. B 2022, 105, L020504. [Google Scholar] [CrossRef]
- Croitoru, M.D.; Mironov, S.V.; Lounis, B.; Buzdin, A.I. Toward the light-operated superconducting devices: Circularly polarized radiation manipulates the current-carrying states in superconducting rings. Adv. Quantum Technol. 2022, 5, 2200054. [Google Scholar] [CrossRef]
- Choi, J.R. Classical limit of quantum mechanics for damped driven oscillatory systems: Quantum-classical correspondence. Front. Phys. 2021, 9, 670750. [Google Scholar] [CrossRef]




Disclaimer/Publisher’s Note: The statements, opinions and data contained in all publications are solely those of the individual author(s) and contributor(s) and not of MDPI and/or the editor(s). MDPI and/or the editor(s) disclaim responsibility for any injury to people or property resulting from any ideas, methods, instructions or products referred to in the content. |
© 2023 by the author. Licensee MDPI, Basel, Switzerland. This article is an open access article distributed under the terms and conditions of the Creative Commons Attribution (CC BY) license (https://creativecommons.org/licenses/by/4.0/).
Share and Cite
Choi, J.R. Dynamics of Dispersive Measurements of Flux-Qubit States: Energy-Level Splitting Connected to Quantum Wave Mechanics. Nanomaterials 2023, 13, 2395. https://doi.org/10.3390/nano13172395
Choi JR. Dynamics of Dispersive Measurements of Flux-Qubit States: Energy-Level Splitting Connected to Quantum Wave Mechanics. Nanomaterials. 2023; 13(17):2395. https://doi.org/10.3390/nano13172395
Chicago/Turabian StyleChoi, Jeong Ryeol. 2023. "Dynamics of Dispersive Measurements of Flux-Qubit States: Energy-Level Splitting Connected to Quantum Wave Mechanics" Nanomaterials 13, no. 17: 2395. https://doi.org/10.3390/nano13172395
APA StyleChoi, J. R. (2023). Dynamics of Dispersive Measurements of Flux-Qubit States: Energy-Level Splitting Connected to Quantum Wave Mechanics. Nanomaterials, 13(17), 2395. https://doi.org/10.3390/nano13172395
