Hard Carbons for Use as Electrodes in Li-S and Li-ion Batteries
Abstract
:1. Introduction
2. Materials and Methods
2.1. Preparation of the Activated Carbons
2.2. TG-DTG Analysis
2.3. X-ray Analysis
2.4. SEM Characterization
2.5. Raman Analysis
2.6. Electrochemical Characterization
3. Results
3.1. TG-DTG Analysis
3.2. X-ray Analysis
3.3. SEM Characterization
3.4. BET Measurements
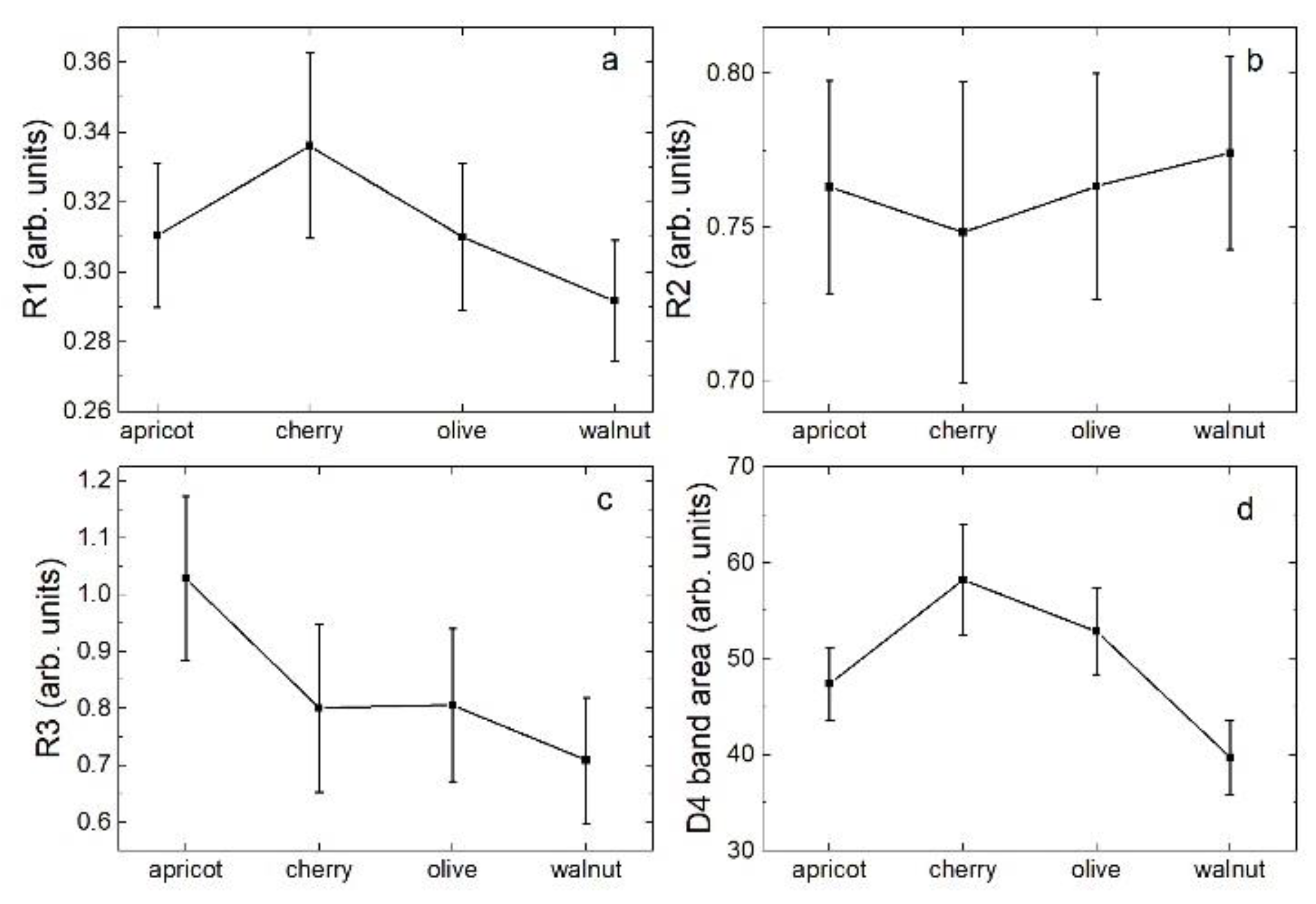
3.5. Raman Analysis
3.6. Electrochemical Characterization
4. Conclusions
Author Contributions
Funding
Data Availability Statement
Conflicts of Interest
References
- Fromm, O.; Heckmann, A.; Rodehorst, U.C.; Frerichs, J.; Becker, D.; Winter, M.; Placke, T. Carbons from biomass precursors as anode materials for lithium ion batteries: New insights into carbonization and graphitization behavior and into their correlation to electrochemical performance. Carbon 2018, 128, 147–163. [Google Scholar] [CrossRef]
- Momma, T.; Wu, Y.; Mikuriya, H.; Nara, H.; Osaka, T. In-situ lithiation through an ‘injection’ strategy in the pouch type sulfur-graphite battery system. J. Power Sources 2019, 430, 228–232. [Google Scholar] [CrossRef]
- Ye, F.; Noh, H.; Lee, H.; Kim, H.-T. An Ultrahigh Capacity Graphite/Li2S Battery with Holey-Li2S Nanoarchitectures. Adv. Sci. 2018, 5, 1800139. [Google Scholar] [CrossRef] [PubMed]
- Ye, F.; Liu, M.; Yan, X.; Li, J.; Pan, Z.; Li, H.; Zhang, Y. In Situ Electrochemically Derived Amorphous-Li2S for High Performance Li2S/Graphite Full Cell. Small 2018, 14, 1703871. [Google Scholar] [CrossRef]
- Li, Z.; Zhang, S.; Terada, S.; Ma, X.; Ikeda, K.; Kamei, Y.; Zhang, C.; Dokko, K.; Watanabe, M. Promising Cell Configuration for Next-Generation Energy Storage: Li2S/Graphite Battery Enabled by a Solvate Ionic Liquid Electrolyte. ACS Appl. Mater. Interfaces 2016, 8, 16053–16062. [Google Scholar] [CrossRef]
- Chen, Y.; Lu, S.; Li, Y.; Qin, W.; Wu, X. A high-performance Li2S/MnO2 rechargeable battery. Mater. Lett. 2019, 248, 157–160. [Google Scholar] [CrossRef]
- Shen, Y.; Zhang, J.; Pu, Y.; Wang, H.; Wang, B.; Qian, J.; Cao, Y.; Zhong, F.; Ai, X.; Yang, H. Effective Chemical Prelithiation Strategy for Building a Silicon/Sulfur Li-Ion Battery. ACS Energy Lett. 2019, 4, 1717–1724. [Google Scholar] [CrossRef]
- Yang, Y.; McDowell, M.T.; Jackson, A.; Cha, J.J.; Hong, S.S.; Cui, Y. New nanostructured Li2S/Silicon rechargeable battery with high specific energy. Nano Lett. 2010, 10, 1486–1491. [Google Scholar] [CrossRef] [Green Version]
- Wu, D.S.; Zhou, G.; Mao, E.; Sun, Y.; Liu, B.; Wang, L.; Wang, J.; Shi, F.; Cui, Y. A novel battery scheme: Coupling nanostructured phosphorus anodes with lithium sulfide cathodes. Nano Res. 2020, 13, 1383–1388. [Google Scholar] [CrossRef]
- Feng, S.; Song, J.; Zhu, C.; Shi, Q.; Liu, D.; Li, J.; Du, D.; Zhang, Q.; Lin, Y. Assembling Carbon Pores into Carbon Sheets: Rational Design of Three-Dimensional Carbon Networks for a Lithium–Sulfur Battery. ACS Appl. Mater. Interfaces 2019, 11, 5911–5918. [Google Scholar] [CrossRef]
- Wang, Z.; Zhang, X.; Liu, X.; Zhang, Y.; Zhao, W.; Li, Y.; Qin, C.; Bakenov, Z. High specific surface area bimodal porous carbon derived from biomass reed flowers for high performance lithium-sulfur batteries. J Colloid Interface Sci. 2020, 569, 22–33. [Google Scholar] [CrossRef] [PubMed]
- Kang, D.; Kim, H.-K.; Kim, H.-J.; Han, Y. Preparation of biomass-derived hard carbon with uniform ultramicropores for development of fast charging Li-ion batteries. J. Alloys Compd. 2022, 900, 163420. [Google Scholar] [CrossRef]
- Linares-Solano, A.; Lillo-Ródenas, M.A.; Marco-Lozar, J.P.; Kunowsky, M.; Romero-Anaya, A.-J. NaOH and KOH for preparing activated carbons used in energy and environmental applications. Int. J. Energy Environ. Econ. 2012, 20, 59–91. [Google Scholar]
- Zhao, W.; Wen, J.; Zhao, Y.; Wang, Z.; Shi, Y.; Zhao, Y. Hierarchically Porous Carbon Derived from Biomass Reed Flowers as Highly Stable Li-Ion Battery Anode. Nanomaterials 2020, 10, 346. [Google Scholar] [CrossRef] [PubMed] [Green Version]
- Cowlard, F.C.; Lewis, J.C. Vitreous carbon—A new form of carbon. J. Mater. Sci. 1967, 2, 507–512. [Google Scholar] [CrossRef]
- Ohzawa, Y.; Suzuki, T.; Achiha, T.; Nakajima, T. Surface-modification of anode carbon for lithium-ion battery using chemical vapor infiltration technique. J. Phys. Chem. Solids 2010, 71, 654–657. [Google Scholar] [CrossRef]
- Béguin, F.; Chevallier, F.; Vix-Guterl, C.; Saadallah, S.; Bertagna, V.; Rouzaud, J.N.; Frackowiak, E. Correlation of the irreversible lithium capacity with the active surface area of modified carbons. Carbon 2005, 43, 2160–2167. [Google Scholar] [CrossRef]
- Zheng, P.; Liu, T.; Guo, S. Micro-nano structure hard carbon as a high performance anode material for sodium-ion batteries. Nat. Sci. Rep. 2013, 6, 35620. [Google Scholar] [CrossRef] [Green Version]
- Wang, J.; Kaskel, S. KOH activation of carbon-based materials for energy storage. J. Mater. Chem. 2012, 22, 23710–23725. [Google Scholar] [CrossRef]
- Fujimoto, H.; Tokumitsu, K.; Mabuchi, A.; Chinnasamy, N.; Kasuh, T. The anode performance of the hard carbon for the lithium ion battery derived from the oxygen-containing aromatic precursors. J. Power Sources 2010, 195, 7452–7456. [Google Scholar] [CrossRef]
- Huang, Y.H.; Ma, E.; Zhao, G.J. Thermal and structure analysis on reaction mechanisms during the preparation of activated carbon fibers by KOH activation from liquefied wood-based fibers. Ind. Crop. Prod. 2015, 69, 447–455. [Google Scholar] [CrossRef]
- Lillo-Rodenas, M.A.; Marco-Lozar, J.P.; Cazorla-Amoros, D.; Linares-Solano, A. Activated carbons prepared by pyrolysis of mixtures of carbon precursor/alkaline hydroxide. J. Anal. Appl. Pyrolysis 2007, 80, 166–174. [Google Scholar] [CrossRef]
- Pozio, A.; Aurora, A.; Prosini, P.P. Hard carbon for sodium batteries: Wood precursors and activation with first group hydroxide. J. Power Sources 2020, 449, 227555. [Google Scholar] [CrossRef]
- Zhu, Y.-E.; Gu, H.; Chen, Y.-N.; Yang, D.; Wei, J.; Zhou, Z. Hard carbon derived from corn straw piths as anode materials for sodium ion batteries. Ionics 2018, 24, 1075–1081. [Google Scholar] [CrossRef]
- Wu, S.Y.; Gu, J.; Zhang, X.; Wu, Y.Q.; Gao, J.S. Variation of carbon crystalline structures and CO2 gasification reactivity of Shenfu coal chars at elevated temperatures. Energy Fuels 2008, 22, 199–206. [Google Scholar] [CrossRef]
- Qiu, S.; Xiao, L.; Sushko, M.L.; Han, K.S.; Shao, Y.; Yan, M.; Liang, X.; Mai, L.; Feng, J.; Cao, Y.; et al. Manipulating adsorption-insertion mechanisms in nanostructured carbon materials for high-efficiency sodium ion storage. Adv. Energy Mater. 2017, 7, 1700403. [Google Scholar] [CrossRef]
- Myung, S.T.; Hwang, J.Y.; Sun, Y.K. Sodium-ion batteries: Present and future. Chem. Soc. Rev. 2017, 46, 3529–3614. [Google Scholar]
- Ding, J.; Wang, H.; Li, Z.; Kohandehghan, A.; Cui, K.; Xu, Z.; Zahiri, B.; Tan, X.; Lotfabad, E.M.; Olsen, B.C.; et al. Carbon Nanosheet Frameworks Derived from Peat Moss as High Performance Sodium Ion Battery Anodes. ACS Nano 2013, 7, 11004–11015. [Google Scholar] [CrossRef]
- Beyssac, O.; Goffé, B.; Petitet, J.-P.; Froigneux, E.; Moreau, M.; Rouzaud, J.-N. On the characterization of disordered and heterogeneous carbonaceous materials by Raman spectroscopy. Spectrochim. Acta A 2003, 59, 2267–2276. [Google Scholar] [CrossRef]
- Sadezky, A.; Muckenhuber, H.; Grothe, H.; Niessner, R.; Pöschl, U. Raman microspectroscopy of soot and related carbonaceous materials: Spectral analysis and structural information. Carbon 2005, 43, 1731–1742. [Google Scholar] [CrossRef]
- Pawlyta, M.; Rouzaud, J.-N.; Dube, S. Raman microspectroscopy characterization of carbon blacks: Spectral analysis and structural information. Carbon 2015, 84, 479–490. [Google Scholar] [CrossRef]
- Benítez, A.; Amaro-Gahete, J.; Chien, Y.-C.; Caballero, A.; Morales, J.; Brandell, D. Recent advances in lithium-sulfur batteries using biomass-derived carbons as sulfur host. Renew. Sust. Energ. Rev. 2022, 154, 111783. [Google Scholar] [CrossRef]










| Specific Capacity mAhg−1 | Down to 1.00 V | Down to 0.20 V | Down to 0.05 V | Up to 1.00 V |
|---|---|---|---|---|
| Walnut shell | 250 | 600 | 850 | 240 |
| Cherry stone | 90 | 230 | 320 | 98 |
| Ratio | 2.78 | 2.73 | 2.66 | 2.45 |
Publisher’s Note: MDPI stays neutral with regard to jurisdictional claims in published maps and institutional affiliations. |
© 2022 by the authors. Licensee MDPI, Basel, Switzerland. This article is an open access article distributed under the terms and conditions of the Creative Commons Attribution (CC BY) license (https://creativecommons.org/licenses/by/4.0/).
Share and Cite
Pozio, A.; Di Carli, M.; Aurora, A.; Falconieri, M.; Della Seta, L.; Prosini, P.P. Hard Carbons for Use as Electrodes in Li-S and Li-ion Batteries. Nanomaterials 2022, 12, 1349. https://doi.org/10.3390/nano12081349
Pozio A, Di Carli M, Aurora A, Falconieri M, Della Seta L, Prosini PP. Hard Carbons for Use as Electrodes in Li-S and Li-ion Batteries. Nanomaterials. 2022; 12(8):1349. https://doi.org/10.3390/nano12081349
Chicago/Turabian StylePozio, Alfonso, Mariasole Di Carli, Annalisa Aurora, Mauro Falconieri, Livia Della Seta, and Pier Paolo Prosini. 2022. "Hard Carbons for Use as Electrodes in Li-S and Li-ion Batteries" Nanomaterials 12, no. 8: 1349. https://doi.org/10.3390/nano12081349
APA StylePozio, A., Di Carli, M., Aurora, A., Falconieri, M., Della Seta, L., & Prosini, P. P. (2022). Hard Carbons for Use as Electrodes in Li-S and Li-ion Batteries. Nanomaterials, 12(8), 1349. https://doi.org/10.3390/nano12081349

