Atomic-Level Sn Doping Effect in Ga2O3 Films Using Plasma-Enhanced Atomic Layer Deposition
Abstract
1. Introduction
2. Experimental
2.1. Sample Preparation
2.2. Characterization of the Sample
3. Results and Discussion
3.1. Chemical Composition
3.2. Morphology and Microstructure
3.3. Optical Properties
3.4. Energy Band Structure
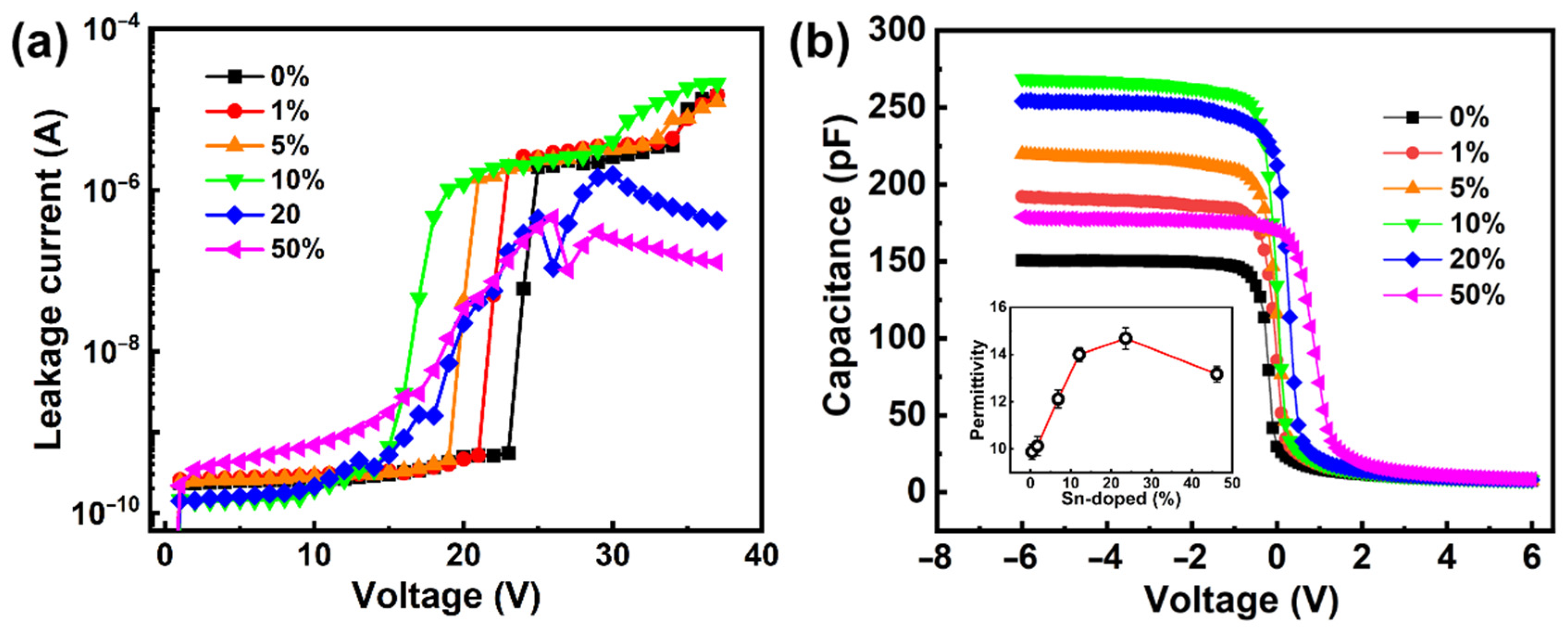
3.5. Electrical Properties
4. Conclusions
Author Contributions
Funding
Data Availability Statement
Conflicts of Interest
References
- Stepanov, S.I.; Nikolaev, V.I.; Bougrov, V.E.; Romanov, A.E. Gallium oxide: Properties and applications—A review. Rev. Adv. Mater. Sci. 2016, 44, 63–86. [Google Scholar]
- Xu, J.; Zheng, W.; Huang, F. Gallium oxide solar-blind ultraviolet photodetectors: A review. J. Mater. Chem. C 2019, 7, 8753–8770. [Google Scholar] [CrossRef]
- Dong, H.; Xue, H.; He, Q.; Qin, Y.; Jian, G.; Long, S. Progress of power field effect transistor based on ultra-wide bandgap Ga2O3 semiconductor material. J. Semicond. 2019, 40, 011802. [Google Scholar] [CrossRef]
- Mastro, M.A.; Kuramata, A.; Calkins, J.; Kim, J.; Ren, F.; Pearton, S.J. Perspective-Opportunities and Future Directions for Ga2O3. ECS J. Solid State Sci. Technol. 2017, 6, P356–P359. [Google Scholar] [CrossRef]
- Galazka, Z.; Irmscher, K.; Uecker, R.; Bertram, R.; Pietsch, M.; Kwasniewski, A.; Naumann, M.; Schulz, T.; Schewski, R.; Klimm, D.; et al. On the bulk β-Ga2O3 single crystals grown by the Czochralski method. J. Cryst. Growth 2014, 404, 184–191. [Google Scholar] [CrossRef]
- Rogers, D.J.; Look, D.C.; Teherani, F.H.; Magill, B.A.; Park, J.-H.; Rogers, D.J.; McClintock, R.; Razeghi, M.; Pavlidis, D.; Dravid, V.P.; et al. A review of the growth, doping, and applications of Beta-Ga2O3 thin films. Oxide-Based Mater. Devices IX 2018, 10533, R1–R24. [Google Scholar] [CrossRef]
- Higashiwaki, M.; Sasaki, K.; Kuramata, A.; Masui, T.; Yamakoshi, S. Gallium oxide (Ga2O3) metal-semiconductor field-effect transistors on single-crystal β-Ga2O3 (010) substrates. Appl. Phys. Lett. 2012, 100, 013504. [Google Scholar] [CrossRef]
- Fan, M.-M.; Lu, Y.-J.; Xu, K.-L.; Cui, Y.-X.; Cao, L.; Li, X.-Y. Growth and characterization of Sn-doped β-Ga2O3 thin films by chemical vapor deposition using solid powder precursors toward solar-blind ultraviolet photodetection. Appl. Surf. Sci. 2020, 509, 144867. [Google Scholar] [CrossRef]
- Pearton, S.J.; Ren, F.; Tadjer, M.; Kim, J. Perspective: Ga2O3 for ultra-high power rectifiers and MOSFETS. J. Appl. Phys. 2018, 124, 220901. [Google Scholar] [CrossRef]
- Ogita, M.; Higo, K.; Nakanishi, Y.; Hatanaka, Y. Ga2O3 thin film for oxygen sensor at high temperature. Appl. Surf. Sci. 2001, 175, 721–725. [Google Scholar] [CrossRef]
- Playford, H.Y.; Hannon, A.C.; Barney, E.R.; Walton, R.I. Structures of uncharacterised polymorphs of gallium oxide from total neutron diffraction. Chemistry 2013, 19, 2803–2813. [Google Scholar] [CrossRef]
- Pearton, S.J.; Yang, J.; Cary, P.H.; Ren, F.; Kim, J.; Tadjer, M.J.; Mastro, M.A. A review of Ga2O3 materials, processing, and devices. Appl. Phys. Rev. 2018, 5, 011301. [Google Scholar] [CrossRef]
- Choi, M.; Son, J. Doping-induced bandgap tuning of α-Ga2O3 for ultraviolet lighting. Curr. Appl. Phys. 2017, 17, 713–716. [Google Scholar] [CrossRef]
- Wang, X.; Shen, S.; Jin, S.; Yang, J.; Li, M.; Wang, X.; Han, H.; Li, C. Effects of Zn2+ and Pb2+ dopants on the activity of Ga2O3-based photocatalysts for water splitting. Phys. Chem. Chem. Phys. 2013, 15, 19380–19386. [Google Scholar] [CrossRef]
- Ma, H.-P.; Lu, H.-L.; Wang, T.; Yang, J.-G.; Li, X.; Chen, J.-X.; Tao, J.-J.; Zhu, J.-T.; Guo, Q.; Zhang, D.W. Precise control of the microstructural, optical, and electrical properties of ultrathin Ga2O3 film through nanomixing with few atom-thick SiO2 interlayer via plasma enhanced atomic layer deposition. J. Mater. Chem. C 2018, 6, 12518–12528. [Google Scholar] [CrossRef]
- Ahmadi, E.; Koksaldi, O.S.; Kaun, S.W.; Oshima, Y.; Short, D.B.; Mishra, U.K.; Speck, J.S. Ge doping of β-Ga2O3 films grown by plasma-assisted molecular beam epitaxy. Appl. Phys. Express 2017, 10, 041102. [Google Scholar] [CrossRef]
- Mauze, A.; Zhang, Y.; Itoh, T.; Wu, F.; Speck, J.S. Metal oxide catalyzed epitaxy (MOCATAXY) of β-Ga2O3 films in various orientations grown by plasma-assisted molecular beam epitaxy. APL Mater. 2020, 8, 021104. [Google Scholar] [CrossRef]
- Sasaki, K.; Kuramata, A.; Masui, T.; Víllora, E.G.; Shimamura, K.; Yamakoshi, S. Device-Quality beta-Ga2O3 Epitaxial Films Fabricated by Ozone Molecular Beam Epitaxy. Appl. Phys. Express 2012, 5, 035502. [Google Scholar] [CrossRef]
- Mi, W.; Li, Z.; Luan, C.; Xiao, H.; Zhao, C.; Ma, J. Transparent conducting tin-doped Ga2O3 films deposited on MgAl2O4 (100) substrates by MOCVD. Ceram. Int. 2015, 41, 2572–2575. [Google Scholar] [CrossRef]
- Baldini, M.; Albrecht, M.; Fiedler, A.; Irmscher, K.; Schewski, R.; Wagner, G. Si- and Sn-Doped Homoepitaxial β-Ga2O3 Layers Grown by MOVPE on (010)-Oriented Substrates. ECS J. Solid State Sci. Technol. 2016, 6, Q3040–Q3044. [Google Scholar] [CrossRef]
- Ueda, N.; Hosono, H.; Waseda, R.; Kawazoe, H. Synthesis and control of conductivity of ultraviolet transmitting β-Ga2O3 single crystals. Appl. Phys. Lett. 1997, 70, 3561–3563. [Google Scholar] [CrossRef]
- Roberts, J.W.; Chalker, P.R.; Ding, B.; Oliver, R.A.; Gibbon, J.T.; Jones, L.A.H.; Dhanak, V.R.; Phillips, L.J.; Major, J.D.; Massabuau, F.C.P. Low temperature growth and optical properties of α-Ga2O3 deposited on sapphire by plasma enhanced atomic layer deposition. J. Cryst. Growth 2019, 528, 125254. [Google Scholar] [CrossRef]
- Comstock, D.J.; Elam, J.W. Atomic Layer Deposition of Ga2O3 Films Using Trimethylgallium and Ozone. Chem. Mater. 2012, 24, 4011–4018. [Google Scholar] [CrossRef]
- Ma, H.-P.; Li, X.-X.; Yang, J.-H.; Cheng, P.; Huang, W.; Zhu, J.; Jen, T.-C.; Guo, Q.; Lu, H.-L.; Zhang, D.W. Composition and Properties Control Growth of High-Quality GaOxNy Film by One-Step Plasma-Enhanced Atomic Layer Deposition. Chem. Mater. 2019, 31, 7405–7416. [Google Scholar] [CrossRef]
- Biyikli, N.; Haider, A. Atomic layer deposition: An enabling technology for the growth of functional nanoscale semiconductors. Semicond. Sci. Technol. 2017, 32, 093002. [Google Scholar] [CrossRef]
- Major, G.H.; Avval, T.G.; Moeini, B.; Pinto, G.; Shah, D.; Jain, V.; Carver, V.; Skinner, W.; Gengenbach, T.R.; Easton, C.D.; et al. Assessment of the frequency and nature of erroneous x-ray photoelectron spectroscopy analyses in the scientific literature. J. Vac. Sci. Technol. A 2020, 38, 061204. [Google Scholar] [CrossRef]
- Mi, W.; Ma, J.; Li, Z.; Luan, C.; Xiao, H. Characterization of Sn-doped β-Ga2O3 films deposited on MgO (100) substrate by MOCVD. J. Mater.Sci. Mater. Electron. 2015, 26, 7889–7894. [Google Scholar] [CrossRef]
- Ryou, H.; Yoo, T.H.; Yoon, Y.; Lee, I.G.; Shin, M.; Cho, J.; Cho, B.J.; Hwang, W.S. Hydrothermal Synthesis and Photocatalytic Property of Sn-doped β-Ga2O3 Nanostructure. ECS J. Solid State Sci. Technol. 2020, 9, 045009. [Google Scholar] [CrossRef]
- Major, G.H.; Fairley, N.; Sherwood, P.M.A.; Linford, M.R.; Terry, J.; Fernandez, V.; Artyushkova, K. Practical guide for curve fitting in x-ray photoelectron spectroscopy. J. Vac. Sci. Technol. A 2020, 38, 061203. [Google Scholar] [CrossRef]
- Idriss, H. On the wrong assignment of the XPS O1s signal at 531–532 eV attributed to oxygen vacancies in photo- and electro-catalysts for water splitting and other materials applications. Surf Sci. 2021, 712, 121894. [Google Scholar] [CrossRef]
- Tao, J.; Lu, H.-L.; Gu, Y.; Ma, H.-P.; Li, X.; Chen, J.-X.; Liu, W.-J.; Zhang, H.; Feng, J.-J. Investigation of growth characteristics, compositions, and properties of atomic layer deposited amorphous Zn-doped Ga2O3 films. Appl. Surf. Sci. 2019, 476, 733–740. [Google Scholar] [CrossRef]
- Yang, Y.; Liu, W.; Huang, T.; Qiu, M.; Zhang, R.; Yang, W.; He, J.; Chen, X.; Dai, N. Low Deposition Temperature Amorphous ALD-Ga2O3 Thin Films and Decoration with MoS2 Multilayers toward Flexible Solar-Blind Photodetectors. ACS Appl. Mater. Interfaces 2021, 13, 41802–41809. [Google Scholar] [CrossRef]
- Pancotti, A.; Back, T.C.; Hamouda, W.; Lachheb, M.; Lubin, C.; Soukiassian, P.; Boeckl, J.; Dorsey, D.; Mou, S.; Asel, T.; et al. Surface relaxation and rumpling of Sn-doped β−Ga2O3 (010). Phys. Rev. B 2020, 102, 245306. [Google Scholar] [CrossRef]
- Jiménez, V.M.; Fernández, J.A.; Espinós, J.P.; González-Elipe, A.R. Interface effects for metal oxide thin films deposited on another metal oxide I. SnO deposited on SiO2. Surf. Sci. 1996, 366, 123–135. [Google Scholar] [CrossRef]
- Cahen, S.; David, N.; Fiorani, J.M.; Maĭtre, A.; Vilasi, M. Thermodynamic modelling of the O–Sn system. Thermochim. Acta 2003, 403, 275–285. [Google Scholar] [CrossRef]
- Oku, T.; Kanayama, M.; Ono, Y.; Akiyama, T.; Kanamori, Y.; Murozono, M. Microstructures, optical and photoelectric conversion properties of spherical silicon solar cells with anti-reflection SnOx:F thin films. Jpn. J. Appl. Phys. 2014, 53, 05FJ03. [Google Scholar] [CrossRef]
- Li, X.; Lu, H.-L.; Ma, H.-P.; Yang, J.-G.; Chen, J.-X.; Huang, W.; Guo, Q.; Feng, J.-J.; Zhang, D.W. Chemical, optical, and electrical characterization of Ga2O3 thin films grown by plasma-enhanced atomic layer deposition. Curr. Appl. Phys. 2019, 19, 72–81. [Google Scholar] [CrossRef]
- O’Donoghue, R.; Rechmann, J.; Aghaee, M.; Rogalla, D.; Becker, H.W.; Creatore, M.; Wieck, A.D.; Devi, A. Low temperature growth of gallium oxide thin films via plasma enhanced atomic layer deposition. Dalton Trans. 2017, 46, 16551–16561. [Google Scholar] [CrossRef]
- Habubi, N.F.; Mishjil, K.A.; Chiad, S.S. Structural properties and refractive index dispersion of cobalt doped SnO2 thin films. Indian J. Phys. 2012, 87, 235–239. [Google Scholar] [CrossRef]
- Tidswell, I.M.; Ocko, B.M.; Pershan, P.S.; Wasserman, S.R.; Whitesides, G.M.; Axe, J.D. X-ray specular reflection studies of silicon coated by organic monolayers (alkylsiloxanes). Phys. Rev. B 1990, 41, 1111–1128. [Google Scholar] [CrossRef]
- Kiessig, H. Interferenz von Röntgenstrahlen an dünnen Schichten. Ann. Der Phys. 1931, 402, 769–788. [Google Scholar] [CrossRef]
- Sun, D.; Gao, Y.; Xue, J.; Zhao, J. Matching vacancy formation energy and defect levels with the density of amorphous Ga2O3. J. Mater. Sci. 2020, 55, 9343–9353. [Google Scholar] [CrossRef]
- Körner, W.; Elsässer, C. Density-functional theory study of stability and subgap states of crystalline and amorphous Zn–Sn–O. Thin Solid Films 2014, 555, 81–86. [Google Scholar] [CrossRef]
- Li, J.-t.; Xiong, A.-h.; Zhang, X.; Hu, C.; Liu, M.-m.; Wang, L.-h.; Zhou, X.-l. Effect of CuO and SnO2 particle size on hot extrusion deformation of AgCuOSnO2: Finite element simulation and experimental study. J. Cent. South Univ. 2021, 28, 633–647. [Google Scholar] [CrossRef]
- Donmez, I.; Ozgit-Akgun, C.; Biyikli, N. Low temperature deposition of Ga2O3 thin films using trimethylgallium and oxygen plasma. J. Vac. Sci. Technol. A 2013, 31, 01A110. [Google Scholar] [CrossRef]
- Ma, H.P.; Lu, H.L.; Yang, J.H.; Li, X.X.; Wang, T.; Huang, W.; Yuan, G.J.; Komarov, F.F.; Zhang, D.W. Measurements of Microstructural, Chemical, Optical, and Electrical Properties of Silicon-Oxygen-Nitrogen Films Prepared by Plasma-Enhanced Atomic Layer Deposition. Nanomaterials 2018, 8, 1008. [Google Scholar] [CrossRef]
- Suzuki, N.; Ohira, S.; Tanaka, M.; Sugawara, T.; Nakajima, K.; Shishido, T. Fabrication and characterization of transparent conductive Sn-doped β-Ga2O3 single crystal. Phys. Status Solidi C 2007, 4, 2310–2313. [Google Scholar] [CrossRef]
- Mauze, A.; Zhang, Y.; Itoh, T.; Ahmadi, E.; Speck, J.S. Sn doping of (010) β-Ga2O3 films grown by plasma-assisted molecular beam epitaxy. Appl. Phys. Lett. 2020, 117, 222102. [Google Scholar] [CrossRef]
- Wang, F.H.; Chen, K.N.; Hsu, C.M.; Liu, M.C.; Yang, C.F. Investigation of the Structural, Electrical, and Optical Properties of the Nano-Scale GZO Thin Films on Glass and Flexible Polyimide Substrates. Nanomaterials 2016, 6, 88. [Google Scholar] [CrossRef]
- Du, X.; Li, Z.; Luan, C.; Wang, W.; Wang, M.; Feng, X.; Xiao, H.; Ma, J. Preparation and characterization of Sn-doped β-Ga2O3 homoepitaxial films by MOCVD. J. Mater. Sci. 2015, 50, 3252–3257. [Google Scholar] [CrossRef]
- Yin, G.; Merschjann, C.; Schmid, M. The effect of surface roughness on the determination of optical constants of CuInSe2 and CuGaSe2 thin films. J. Appl. Phys. 2013, 113, 213510. [Google Scholar] [CrossRef]
- Singh, A. Proportional effect in refractive index of optical mediums for single layer homogeneous modeling of surface roughness. J. Optoelectron. Adv. Mater. 2018, 20, 459–461. [Google Scholar]
- Larena, A.; Millán, F.; Pérez, G.; Pinto, G. Effect of surface roughness on the optical properties of multilayer polymer films. Appl. Surf. Sci. 2002, 187, 339–346. [Google Scholar] [CrossRef]
- Pilliadugula, R.; Gopalakrishnan, N. Room temperature ammonia sensing performances of pure and Sn doped β-Ga2O3. Mater. Sci. Semicond. Process. 2021, 135, 106086. [Google Scholar] [CrossRef]
- Chen, X.; Ren, F.; Gu, S.; Ye, J. Review of gallium-oxide-based solar-blind ultraviolet photodetectors. Photonics Res. 2019, 7, 381–415. [Google Scholar] [CrossRef]
- Dong, L.; Jia, R.; Xin, B.; Peng, B.; Zhang, Y. Effects of oxygen vacancies on the structural and optical properties of beta-Ga2O3. Sci. Rep. 2017, 7, 40160. [Google Scholar] [CrossRef]
- Tsao, J.Y.; Chowdhury, S.; Hollis, M.A.; Jena, D.; Johnson, N.M.; Jones, K.A.; Kaplar, R.J.; Rajan, S.; Van de Walle, C.G.; Bellotti, E.; et al. Ultrawide-Bandgap Semiconductors: Research Opportunities and Challenges. Adv. Electron. Mater. 2017, 4, 1600501. [Google Scholar] [CrossRef]
- Gullapalli, S.K.; Vemuri, R.S.; Ramana, C.V. Structural transformation induced changes in the optical properties of nanocrystalline tungsten oxide thin films. Appl. Phys. Lett. 2010, 96, 171903. [Google Scholar] [CrossRef]
- Hu, H.; Liu, Y.; Han, G.; Fang, C.; Zhang, Y.; Liu, H.; Wang, Y.; Liu, Y.; Ye, J.; Hao, Y. Effects of Post Annealing on Electrical Performance of Polycrystalline Ga2O3 Photodetector on Sapphire. Nanoscale Res. Lett. 2020, 15, 100. [Google Scholar] [CrossRef]
- Kamimura, T.; Sasaki, K.; Hoi Wong, M.; Krishnamurthy, D.; Kuramata, A.; Masui, T.; Yamakoshi, S.; Higashiwaki, M. Band alignment and electrical properties of Al2O3/β-Ga2O3 heterojunctions. Appl. Phys. Lett. 2014, 104, 192104. [Google Scholar] [CrossRef]
- Chen, Z.; Nishihagi, K.; Wang, X.; Saito, K.; Tanaka, T.; Nishio, M.; Arita, M.; Guo, Q. Band alignment of Ga2O3/Si heterojunction interface measured by X-ray photoelectron spectroscopy. Appl. Phys. Lett. 2016, 109, 102106. [Google Scholar] [CrossRef]
- Van Vechten, J.A.; Bergstresser, T.K. Electronic Structures of Semiconductor Alloys. Phys. Rev. B 1970, 1, 3351–3358. [Google Scholar] [CrossRef]
- Wei, S.H.; Zunger, A. Disorder effects on the density of states of the II-VI semiconductor alloys Hg0.5Cd0.5Te, Cd0.5Zn0.5Te, and Hg0.5Zn0.5Te. Phys. Rev. B 1991, 43, 1662–1677. [Google Scholar] [CrossRef] [PubMed]
- Im, J.; Stoumpos, C.C.; Jin, H.; Freeman, A.J.; Kanatzidis, M.G. Antagonism between Spin-Orbit Coupling and Steric Effects Causes Anomalous Band Gap Evolution in the Perovskite Photovoltaic Materials CH3NH3Sn1-xPbxI3. J. Phys. Chem. Lett. 2015, 6, 3503–3509. [Google Scholar] [CrossRef]
- Jun, T.; Kim, J.; Sasase, M.; Hosono, H. Material Design of p-Type Transparent Amorphous Semiconductor, Cu-Sn-I. Adv. Mater. 2018, 30, e1706573. [Google Scholar] [CrossRef]
- Ravi, V.K.; Markad, G.B.; Nag, A. Band Edge Energies and Excitonic Transition Probabilities of Colloidal CsPbX3 (X = Cl, Br, I) Perovskite Nanocrystals. ACS Energy Lett. 2016, 1, 665–671. [Google Scholar] [CrossRef]
- Vequizo, J.J.M.; Ichimura, M. Fabrication of Electrodeposited SnS/SnO2 Heterojunction Solar Cells. Jpn. J. Appl. Phys. 2012, 51, 10NC38. [Google Scholar] [CrossRef]
- Kavan, L. Conduction band engineering in semiconducting oxides (TiO2, SnO2): Applications in perovskite photovoltaics and beyond. Catal. Today 2019, 328, 50–56. [Google Scholar] [CrossRef]
- Bonoli, F.; Godio, P.; Borionetti, G.; Falster, R. Gate oxide integrity dependence on substrate characteristics and SiO2 thickness. Mater. Sci. Semicond. Process. 2001, 4, 145–148. [Google Scholar] [CrossRef]
- Zhao, H.; Hu, J.; Chen, S.; Xie, Q.; He, J. Tailoring the high-impulse current discharge capability of ZnO varistor ceramics by doping with Ga2O3. Ceram. Int. 2016, 42, 5582–5586. [Google Scholar] [CrossRef]
- Ravichandran, R.; Wang, A.X.; Wager, J.F. Solid state dielectric screening versus band gap trends and implications. Opt. Mater. 2016, 60, 181–187. [Google Scholar] [CrossRef]








| Sample | Sn Content | Ga2O3 Cycles (N1) | SnO2 Cycles (N2) | Super Cycles (N) | Total Cycles | 
|---|---|---|---|---|---|
| 1 | 0% | 1 | 0 | 400 | 400 | 
| 2 | 1% | 99 | 1 | 4 | 400 | 
| 3 | 5% | 19 | 1 | 20 | 400 | 
| 4 | 10% | 9 | 1 | 40 | 400 | 
| 5 | 20% | 4 | 1 | 80 | 400 | 
| 6 | 50% | 1 | 1 | 200 | 400 | 
| Publisher’s Note: MDPI stays neutral with regard to jurisdictional claims in published maps and institutional affiliations. | 
© 2022 by the authors. Licensee MDPI, Basel, Switzerland. This article is an open access article distributed under the terms and conditions of the Creative Commons Attribution (CC BY) license (https://creativecommons.org/licenses/by/4.0/).
Share and Cite
Shen, Y.; Ma, H.-P.; Gu, L.; Zhang, J.; Huang, W.; Zhu, J.-T.; Zhang, Q.-C. Atomic-Level Sn Doping Effect in Ga2O3 Films Using Plasma-Enhanced Atomic Layer Deposition. Nanomaterials 2022, 12, 4256. https://doi.org/10.3390/nano12234256
Shen Y, Ma H-P, Gu L, Zhang J, Huang W, Zhu J-T, Zhang Q-C. Atomic-Level Sn Doping Effect in Ga2O3 Films Using Plasma-Enhanced Atomic Layer Deposition. Nanomaterials. 2022; 12(23):4256. https://doi.org/10.3390/nano12234256
Chicago/Turabian StyleShen, Yi, Hong-Ping Ma, Lin Gu, Jie Zhang, Wei Huang, Jing-Tao Zhu, and Qing-Chun Zhang. 2022. "Atomic-Level Sn Doping Effect in Ga2O3 Films Using Plasma-Enhanced Atomic Layer Deposition" Nanomaterials 12, no. 23: 4256. https://doi.org/10.3390/nano12234256
APA StyleShen, Y., Ma, H.-P., Gu, L., Zhang, J., Huang, W., Zhu, J.-T., & Zhang, Q.-C. (2022). Atomic-Level Sn Doping Effect in Ga2O3 Films Using Plasma-Enhanced Atomic Layer Deposition. Nanomaterials, 12(23), 4256. https://doi.org/10.3390/nano12234256
 
        







 
       