Zinc-Containing Sol–Gel Glass Nanoparticles to Deliver Therapeutic Ions
Abstract
:1. Introduction
2. Materials and Methods
2.1. Zn-BAGNP Synthesis
2.2. Zn-BAGNP Characterization
2.3. Bioactivity Assessment
2.4. Dissolution Study
2.5. Cell Culture
2.6. Cell Viability Assay
2.7. Osteogenic Differentiation
2.8. Statistical Analyses
3. Results
3.1. Particle Characterization
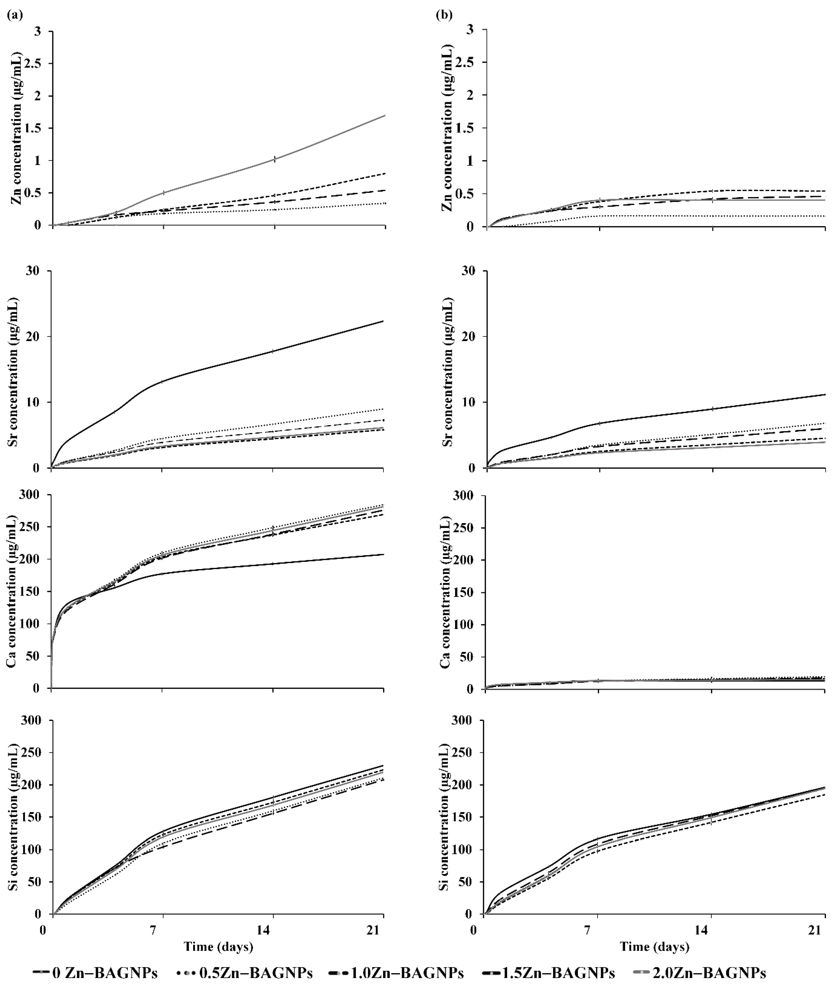
3.2. In Vitro Release Study
3.3. In Vitro Cell Viability
3.4. Osteogenic Differentiation
3.4.1. Calcified Formation
3.4.2. Osteogenic Gene Expression Levels
4. Discussions
4.1. Zn-BAGNPs Characterization
4.2. In Vitro Release Study
4.3. In Vitro Cell Viability
4.4. Osteogenic Differentiation
5. Conclusions
Author Contributions
Funding
Institutional Review Board Statement
Informed Consent Statement
Acknowledgments
Conflicts of Interest
References
- Chauhan, N.; Lakhkar, N.; Chaudhari, A. Development and physicochemical characterization of novel porous phosphate glass bone graft substitute and in vitro comparison with xenograft. J. Mater. Sci. Mater. Med. 2021, 32, 60. [Google Scholar] [CrossRef]
- Hench, L.L. The story of Bioglass®. J. Mater. Sci. Mater. Med. 2006, 17, 967–978. [Google Scholar] [CrossRef]
- Xynos, I.D.; Edgar, A.J.; Buttery, L.D.K.; Hench, L.L.; Polak, J.M. Ionic Products of Bioactive Glass Dissolution Increase Proliferation of Human Osteoblasts and Induce Insulin-like Growth Factor II mRNA Expression and Protein Synthesis. Biochem. Biophys. Res. Commun. 2000, 276, 461–465. [Google Scholar] [CrossRef]
- Hoppe, A.; Güldal, N.S.; Boccaccini, A.R. A review of the biological response to ionic dissolution products from bioactive glasses and glass-ceramics. Biomaterials 2011, 32, 2757–2774. [Google Scholar] [CrossRef]
- Zheng, K.; Boccaccini, A.R. Sol–Gel processing of bioactive glass nanoparticles: A review. Recent Nanotechnol. Colloid Sci. Dev. Biomed. Appl. 2017, 249, 363–373. [Google Scholar] [CrossRef]
- Vichery, C.; Nedelec, J.-M. Bioactive Glass Nanoparticles: From Synthesis to Materials Design for Biomedical Applications. Materials 2016, 9, 288. [Google Scholar] [CrossRef] [Green Version]
- Strobel, L.A.; Hild, N.; Mohn, D.; Stark, W.J.; Hoppe, A.; Gbureck, U.; Horch, R.E.; Kneser, U.; Boccaccini, A.R. Novel strontium-doped bioactive glass nanoparticles enhance proliferation and osteogenic differentiation of human bone marrow stromal cells. J. Nanopart. Res. 2013, 15, 1780. [Google Scholar] [CrossRef] [Green Version]
- Yang, J.; Jia, C.; Yang, J. Designing Nanoparticle-based Drug Delivery Systems for Precision Medicine. Int. J. Med. Sci. 2021, 18, 2943–2949. [Google Scholar] [CrossRef]
- Nikezić, A.V.V.; Bondžić, A.M.; Vasić, V.M. Drug delivery systems based on nanoparticles and related nanostructures. Eur. J. Pharm. Sci. 2020, 151, 105412. [Google Scholar] [CrossRef]
- Purcar, V.; Rădiţoiu, V.; Nichita, C.; Bălan, A.; Rădiţoiu, A.; Căprărescu, S.; Raduly, F.M.; Manea, R.; Şomoghi, R.; Nicolae, C.-A.; et al. Preparation and Characterization of Silica Nanoparticles and of Silica-Gentamicin Nanostructured Solution Obtained by Microwave-Assisted Synthesis. Materials 2021, 14, 2086. [Google Scholar] [CrossRef]
- Erol-Taygun, M.; Zheng, K.; Boccaccini, A.R. Nanoscale Bioactive Glasses in Medical Applications. Int. J. Appl. Glass Sci. 2013, 4, 136–148. [Google Scholar] [CrossRef]
- Li, R.; Clark, A.E.; Hench, L.L. An investigation of bioactive glass powders by Sol–Gel processing. J. Appl. Biomater. 1991, 2, 231–239. [Google Scholar] [CrossRef]
- Saravanapavan, P.; Hench, L.L. Low-temperature synthesis, structure, and bioactivity of gel-derived glasses in the binary CaO-SiO2 system. J. Biomed. Mater. Res. 2001, 54, 608–618. [Google Scholar] [CrossRef]
- Saravanapavan, P.; Jones, J.R.; Verrier, S.; Beilby, R.; Shirtliff, V.J.; Hench, L.L.; Polak, J.M. Binary CaO–SiO2 gel-glasses for biomedical applications. Bio-Med. Mater. Eng. 2004, 14, 467–486. [Google Scholar]
- Saravanapavan, P.; Jones, J.R.; Pryce, R.S.; Hench, L.L. Bioactivity of gel–glass powders in the CaO-SiO2 system: A comparison with ternary (CaO-P2P5-SiO2) and quaternary glasses (SiO2-CaO-P2O5-Na2O). J. Biomed. Mater. Res. Part A 2003, 66A, 110–119. [Google Scholar] [CrossRef]
- Martínez, A.; Izquierdo-Barba, I.; Vallet-Regí, M. Bioactivity of a CaO−SiO2 Binary Glasses System. Chem. Mater. 2000, 12, 3080–3088. [Google Scholar] [CrossRef]
- Greasley, S.L.; Page, S.J.; Sirovica, S.; Chen, S.; Martin, R.A.; Riveiro, A.; Hanna, J.V.; Porter, A.E.; Jones, J.R. Controlling particle size in the Stöber process and incorporation of calcium. J. Colloid Interface Sci. 2016, 469, 213–223. [Google Scholar] [CrossRef] [Green Version]
- Naruphontjirakul, P.; Greasley, S.L.; Chen, S.; Porter, A.E.; Jones, J.R. Monodispersed strontium containing bioactive glass nanoparticles and MC3T3-E1 cellular response. Biomed. Glasses 2016, 2, 72–81. [Google Scholar] [CrossRef]
- Naruphontjirakul, P.; Porter, A.E.; Jones, J.R. In Vitro osteogenesis by intracellular uptake of strontium containing bioactive glass nanoparticles. Acta Biomater. 2018, 66, 67–80. [Google Scholar] [CrossRef]
- Barrioni, B.R.; Naruphontjirakul, P.; Norris, E.; Li, S.; Kelly, N.L.; Hanna, J.V.; Stevens, M.M.; Jones, J.R.; Pereira, M.D.M. Effects of manganese incorporation on the morphology, structure and cytotoxicity of spherical bioactive glass nanoparticles. J. Colloid Interface Sci. 2019, 547, 382–392. [Google Scholar] [CrossRef]
- Naruphontjirakul, P. Cations doped nonporous silica nanoparticles. In Proceedings of the 2019 12th Biomedical Engineering International Conference (BMEiCON), Ubon Ratchathani, Thailand, 19–22 November 2019. [Google Scholar]
- Rabiee, S.M.; Nazparvar, N.; Azizian, M.; Vashaee, D.; Tayebi, L. Effect of ion substitution on properties of bioactive glasses: A review. Ceram. Int. 2015, 41, 7241–7251. [Google Scholar] [CrossRef]
- Pors Nielsen, S. The biological role of strontium. Bone 2004, 35, 583–588. [Google Scholar] [CrossRef]
- Naruphontjirakul, P.; Tsigkou, O.; Li, S.; Porter, A.E.; Jones, J.R. Human mesenchymal stem cells differentiate into an osteogenic lineage in presence of strontium containing bioactive glass nanoparticles. Acta Biomater. 2019, 90, 373–392. [Google Scholar] [CrossRef]
- Barrioni, B.R.; Norris, E.; Li, S.; Naruphontjirakul, P.; Jones, J.R.; Pereira, M.D.M. Osteogenic potential of sol–gel bioactive glasses containing manganese. J. Mater. Sci. Mater. Med. 2019, 30, 86. [Google Scholar] [CrossRef]
- Gentleman, E.; Fredholm, Y.C.; Jell, G.; Lotfibakhshaiesh, N.; O’Donnell, M.D.; Hill, R.G.; Stevens, M.M. The effects of strontium-substituted bioactive glasses on osteoblasts and osteoclasts in vitro. Biomaterials 2010, 31, 3949–3956. [Google Scholar] [CrossRef] [Green Version]
- Naruphontjirakul, P.; Li, S.; Pinna, A.; Barrak, F.; Chen, S.; Redpath, A.N.; Rankin, S.M.; Porter, A.E.; Jones, J.R. Interaction of monodispersed strontium containing bioactive glass nanoparticles with macrophages. Mater. Sci. Eng. C 2021, 112610. [Google Scholar] [CrossRef]
- Hong, W.; Zhang, Q.; Jin, H.; Song, L.; Tan, Y.; Luo, L.; Guo, F.; Zhao, X.; Xiao, P. Roles of strontium and hierarchy structure on the in vitro biological response and drug release mechanism of the strontium-substituted bioactive glass microspheres. Mater. Sci. Eng. C 2020, 107, 110336. [Google Scholar] [CrossRef]
- Hesaraki, S.; Gholami, M.; Vazehrad, S.; Shahrabi, S. The effect of Sr concentration on bioactivity and biocompatibility of sol–gel derived glasses based on CaO–SrO–SiO2–P2O5 quaternary system. Mater. Sci. Eng. C 2010, 30, 383–390. [Google Scholar] [CrossRef]
- Balasubramanian, P.; Strobel, L.A.; Kneser, U.; Boccaccini, A.R. Zinc-containing bioactive glasses for bone. Biomed. Glasses 2015, 1, 51–69. [Google Scholar] [CrossRef]
- Chen, S.; Greasley, S.L.; Ong, Z.Y.; Naruphontjirakul, P.; Page, S.J.; Hanna, J.V.; Redpath, A.N.; Tsigkou, O.; Rankin, S.; Ryan, M.P.; et al. Biodegradable zinc-containing mesoporous silica nanoparticles for cancer therapy. Mater. Today Adv. 2020, 6, 100066. [Google Scholar] [CrossRef]
- Cacciotti, I. Bivalent cationic ions doped bioactive glasses: The influence of magnesium, zinc, strontium and copper on the physical and biological properties. J. Mater. Sci. 2017, 52, 8812–8831. [Google Scholar] [CrossRef]
- O’Connor, J.P.; Kanjilal, D.; Teitelbaum, M.; Lin, S.S.; Cottrell, J.A. Zinc as a Therapeutic Agent in Bone Regeneration. Materials 2020, 13, 2211. [Google Scholar] [CrossRef]
- El-Kady, A.M.; Ali, A.F. Fabrication and characterization of ZnO modified bioactive glass nanoparticles. Ceram. Int. 2012, 38, 1195–1204. [Google Scholar] [CrossRef]
- Chen, X.; Brauer, D.S.; Karpukhina, N.; Waite, R.D.; Barry, M.; McKay, I.J.; Hill, R.G. ‘Smart’acid-degradable zinc-releasing silicate glasses. Mater. Lett. 2014, 126, 278–280. [Google Scholar] [CrossRef]
- Goh, Y.-F.; Alshemary, A.Z.; Akram, M.; Kadir, M.R.A.; Hussain, R. In Vitro study of nano-sized zinc doped bioactive glass. Mater. Chem. Phys. 2013, 137, 1031–1038. [Google Scholar] [CrossRef]
- Kokubo, T.; Takadama, H. How useful is SBF in predicting in vivo bone bioactivity? Biomaterials 2006, 27, 2907–2915. [Google Scholar] [CrossRef]
- Macon, A.L.B.; Kim, T.B.; Valliant, E.M.; Goetschius, K.; Brow, R.K.; Day, D.E.; Hoppe, A.; Boccaccini, A.R.; Kim, I.Y.; Ohtsuki, C. A unified in vitro evaluation for apatite-forming ability of bioactive glasses and their variants. J. Mater. Sci. Mater. Med. 2015, 26, 115. [Google Scholar] [CrossRef] [Green Version]
- Thanasrisuebwong, P.; Kiattavorncharoen, S.; Surarit, R.; Phruksaniyom, C.; Ruangsawasdi, N. Red and Yellow Injectable Platelet-Rich Fibrin Demonstrated Differential Effects on Periodontal Ligament Stem Cell Proliferation, Migration, and Osteogenic Differentiation. Int. J. Mol. Sci. 2020, 21, 5153. [Google Scholar] [CrossRef]
- Pouroutzidou, G.K.; Liverani, L.; Theocharidou, A.; Tsamesidis, I.; Lazaridou, M.; Christodoulou, E.; Beketova, A.; Pappa, C.; Triantafyllidis, K.S.; Anastasiou, A.D.; et al. Synthesis and Characterization of Mesoporous Mg- and Sr-Doped Nanoparticles for Moxifloxacin Drug Delivery in Promising Tissue Engineering Applications. Int. J. Mol. Sci. 2021, 22, 577. [Google Scholar] [CrossRef]
- Armelao, L.; Fabrizio, M.; Gialanella, S.; Zordan, F. Sol–gel synthesis and characterisation of ZnO-based nanosystems. Thin Solid Film. 2001, 394, 89–95. [Google Scholar] [CrossRef]
- Thommes, M.; Kaneko, K.; Neimark, A.V.; Olivier, J.P.; Rodriguez-Reinoso, F.; Rouquerol, J.; Sing, K.S.W. Physisorption of gases, with special reference to the evaluation of surface area and pore size distribution (IUPAC Technical Report). Pure Appl. Chem. 2015, 87, 1051–1069. [Google Scholar] [CrossRef] [Green Version]
- Aguiar, H.; Serra, J.; González, P.; León, B. Structural study of sol–gel silicate glasses by IR and Raman spectroscopies. J. Non-Cryst. Solids 2009, 355, 475–480. [Google Scholar] [CrossRef]
- Aguiar, H.; Serra, J.; González, P.; Leon, B. Influence of the stabilization temperature on the structure of bioactive sol–gel silicate glasses. J. Am. Ceram. Soc. 2010, 93, 2286–2291. [Google Scholar] [CrossRef]
- Al-Harbi, N.; Mohammed, H.; Al-Hadeethi, Y.; Bakry, A.S.; Umar, A.; Hussein, M.A.; Abbassy, M.A.; Vaidya, K.G.; Al Berakdar, G.; Mkawi, E.M.; et al. Silica-Based Bioactive Glasses and Their Applications in Hard Tissue Regeneration: A Review. Pharmaceuticals 2021, 14, 75. [Google Scholar] [CrossRef]
- Kesse, X.; Vichery, C.; Jacobs, A.; Descamps, S.; Nedelec, J.-M. Unravelling the Impact of Calcium Content on the Bioactivity of Sol–Gel-Derived Bioactive Glass Nanoparticles. ACS Appl. Bio Mater. 2020, 3, 1312–1320. [Google Scholar] [CrossRef]
- Neščáková, Z.; Zheng, K.; Liverani, L.; Nawaz, Q.; Galusková, D.; Kaňková, H.; Michálek, M.; Galusek, D.; Boccaccini, A.R. Multifunctional zinc ion doped sol–gel derived mesoporous bioactive glass nanoparticles for biomedical applications. Bioact. Mater. 2019, 4, 312–321. [Google Scholar] [CrossRef]
- Pajares-Chamorro, N.; Chatzistavrou, X. Bioactive glass nanoparticles for tissue regeneration. ACS Omega 2020, 5, 12716–12726. [Google Scholar] [CrossRef]
- Amarasekara, D.S.; Kim, S.; Rho, J. Regulation of osteoblast differentiation by cytokine networks. Int. J. Mol. Sci. 2021, 22, 2851. [Google Scholar] [CrossRef]















| Order | Reagents | Amount |
|---|---|---|
| 1 | sodium chloride (NaCl) | 8.035 g |
| 2 | sodium hydrogen carbonate (NaHCO3) | 0.355 g |
| 3 | potassium chloride (KCl) | 0.225 g |
| 4 | di-potassium hydrogen phosphate trihydrate (K2HPO4·3H2O) | 0.231 g |
| 5 | magnesium chloride hexahydrate (MgCl2·6H2O) | 0.311 g |
| 6 | 1M Hydrochloric Acid (HCl) | 39 mL |
| 7 | calcium chloride (CaCl2) | 0.292 g |
| 8 | sodium sulfate (Na2SO4) | 0.072 g |
| Gene | Primer Sequences | Amplicon Size |
|---|---|---|
| Human Runx-2 (NM_001024630, NM_001015051) | F: 5′ gta gat gga cct cgg gaa cc 3′ R: 5′ gag gcg gtc aga gaa caa ac 3′ | 78 bp |
| Human Osterix (NM_152860) | F: 5′ atg ggc tcc ttt cac ctg 3′ R: 5′ ggg aaa agg gag ggt aat c 3′ | 75 bp |
| Human ALP (NM_000478) | F: 5′ gga act cct gac cct tga cc 3′ R: 5′ tcc tgt tca gct cgt act gc 3′ | 86 bp |
| Human Col1a1 (NM_ 000088) | F: 5′ gag tgc tgt ccc gtc tgc 3′ R: 5′ ttt ctt ggt cgg tgg gtg 3′ | 52 bp |
| Sample | %mol | |||
|---|---|---|---|---|
| Si | Ca | Sr | Zn | |
| 0Zn-BAGNP | 86.3 ± 0.3 | 3.6 ± 0.0 | 10.1 ± 0.1 | N/A |
| 1Zn-BAGNP | 87.7 ± 0.2 | 2.0 ± 0.1 | 0.3 ± 0.0 | 10.0 ± 0.2 |
| SiO2:CaO:SrO:ZnO | %Weight ± S.D. | |||
|---|---|---|---|---|
| Ratio | Si | Ca | Sr | Zn |
| 1.0:0.5:1.5:0.0 | 53.68 ± 2.79 | 22.27 ± 1.23 | 24.05 ± 2.83 | N/A |
| 1.0:0.5:1.5:0.5 | 59.15 ± 3.20 | 15.97 ± 1.59 | 6.41 ± 1.88 | 18.47 ± 2.40 |
| 1.0:0.5:1.5:1.0 | 54.19 ± 3.32 | 12.59 ± 0.65 | 7.56 ± 1.44 | 25.65 ± 2.65 |
| 1.0:0.5:1.5:1.5 | 55.80 ± 2.53 | 12.93 ± 0.85 | 8.08 ± 1.41 | 23.19 ± 3.32 |
| Sample | BET Surface Area (m2/g) | BJH Adsorption Cumulative Volume (cm3/g) | BJH Adsorption Average Pore Diameter (nm) |
|---|---|---|---|
| 0Zn-BAGNPs | 18.95 | 0.121 | 31.09 |
| 0.5Zn-BAGNPs | 12.66 | 0.090 | 34.37 |
| 1.0Zn-BAGNPs | 8.97 | 0.061 | 35.25 |
| 1.5Zn-BAGNPs | 8.85 | 0.061 | 34.49 |
Publisher’s Note: MDPI stays neutral with regard to jurisdictional claims in published maps and institutional affiliations. |
© 2022 by the authors. Licensee MDPI, Basel, Switzerland. This article is an open access article distributed under the terms and conditions of the Creative Commons Attribution (CC BY) license (https://creativecommons.org/licenses/by/4.0/).
Share and Cite
Thanasrisuebwong, P.; Jones, J.R.; Eiamboonsert, S.; Ruangsawasdi, N.; Jirajariyavej, B.; Naruphontjirakul, P. Zinc-Containing Sol–Gel Glass Nanoparticles to Deliver Therapeutic Ions. Nanomaterials 2022, 12, 1691. https://doi.org/10.3390/nano12101691
Thanasrisuebwong P, Jones JR, Eiamboonsert S, Ruangsawasdi N, Jirajariyavej B, Naruphontjirakul P. Zinc-Containing Sol–Gel Glass Nanoparticles to Deliver Therapeutic Ions. Nanomaterials. 2022; 12(10):1691. https://doi.org/10.3390/nano12101691
Chicago/Turabian StyleThanasrisuebwong, Prakan, Julian R. Jones, Salita Eiamboonsert, Nisarat Ruangsawasdi, Bundhit Jirajariyavej, and Parichart Naruphontjirakul. 2022. "Zinc-Containing Sol–Gel Glass Nanoparticles to Deliver Therapeutic Ions" Nanomaterials 12, no. 10: 1691. https://doi.org/10.3390/nano12101691
APA StyleThanasrisuebwong, P., Jones, J. R., Eiamboonsert, S., Ruangsawasdi, N., Jirajariyavej, B., & Naruphontjirakul, P. (2022). Zinc-Containing Sol–Gel Glass Nanoparticles to Deliver Therapeutic Ions. Nanomaterials, 12(10), 1691. https://doi.org/10.3390/nano12101691

