Transformation of Silver Nanoparticles (AgNPs) during Lime Treatment of Wastewater Sludge and Their Impact on Soil Bacteria
Abstract
1. Introduction
2. Materials and Methods
2.1. Sludge Characteristics
2.2. AgNPs Characteristics
2.3. Lime Treatment
2.4. Soil Characteristics
2.5. Experimental Design
2.6. Chemical Analysis
2.7. Microbiological Analyses
2.7.1. Heterotrophic Bacteria
2.7.2. Live/Dead Bacterial Viability Staining Assay
2.7.3. Bacterial Population Analysis
Bacterial Phyla
Primers
qPCR Protocols and Annealing Temperature Optimization
qPCR Data Analysis
- 1.
- Cq is equivalent to 3.33 log10 (target amplicon concentration).
- 2.
- Every bacterium has 1~ fg of DNA.
- 3.
- Every phylum has a specific copy number of 16S rRNA.
2.8. Statistical Analyses
3. Results and Discussion
3.1. Characterization of AgNPs
3.2. Lime Stabilization
3.3. Simulated Land Application of Lime Stabilized AgNPs
3.3.1. TOC and pH
3.3.2. Impact of AgNPs on Heterotrophic Bacteria and Cell Viability
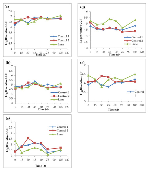
3.3.3. Impact of AgNPs on Selected Soil Microorganisms
4. Conclusions
Supplementary Materials
Author Contributions
Funding
Data Availability Statement
Conflicts of Interest
References
- StatNano. Nanotechnology Products Database. 2019. Available online: https://product.statnano.com/search?keyword=silver+nanoparticles (accessed on 29 August 2021).
- Benn, T.M.; Westerhoff, P. Nanoparticle silver released into water from commercially available sock fabrics. Environ. Sci. Technol. 2008, 42, 4133–4139. [Google Scholar] [CrossRef]
- Geranio, L.; Manfred, H.; Bernd, N. The behavior of silver nanotextiles during washing. Environ. Sci. Technol. 2009, 43, 8113–8118. [Google Scholar] [CrossRef]
- Lorenz, C.; Hagendorfer, H.; von Goetz, N.; Kaegi, R.; Gehrig, R.; Ulrich, A.; Scheringer, M.; Hungerbühler, K. Nanosized aerosols from consumer sprays: Experimental analysis and exposure modeling for four commercial products. J. Nanoparticle Res. 2011, 8, 3377–3391. [Google Scholar] [CrossRef]
- Blaser, S.A.; Martin, S.; Matthew, M.; Konrad, H. Estimation of cumulative aquatic exposure and risk due to silver: Contribution of nano-functionalized plastics and textiles. Sci. Total Environ. 2008, 390, 396–409. [Google Scholar] [CrossRef] [PubMed]
- Gottschalk, F.; Sun, T.; Nowack, B. Environmental concentrations of engineered nanomaterials: Review of modeling and analytical studies. Environ. Pollut. 2013, 181, 287–300. [Google Scholar] [CrossRef]
- Liang, Z.; Das, A.; Hu, Z. Bacterial response to a shock load of nanosilver in an activated sludge treatment system. Water Res. 2010, 44, 5432–5438. [Google Scholar] [CrossRef] [PubMed]
- Masrahi, A.; VandeVoort, A.R.; Arai, Y. Effects of silver nanoparticle on soil-nitrification processes. Arch. Environ. Contam. Toxicol. 2014, 66, 504–513. [Google Scholar] [CrossRef] [PubMed]
- Fabrega, J.; Renshaw, J.C.; Lead, J.R. Interactions of silver nanoparticles with Pseudomonas putida biofilms. Environ. Sci. Technol. 2009, 43, 9004–9009. [Google Scholar] [CrossRef] [PubMed]
- Nielsen, A.H.; Vollertsen, J.; Jensen, H.S.; Madsen, H.I.; Hvitved-Jacobsen, T. Aerobic and anaerobic transformations of sulfide in a sewer system—Field study and model simulations. Proc. Water Environ. Fed. 2006, 9, 3654–3670. [Google Scholar] [CrossRef][Green Version]
- Kaegi, R.; Voegelin, A.; Sinnet, B.; Zuleeg, S.; Hagendorfer, H.; Burkhardt, M.; Siegrist, H. Behavior of metallic silver nanoparticles in a pilot wastewater treatment plant. Environ. Sci. Technol. 2011, 45, 3902–3908. [Google Scholar] [CrossRef]
- Shafer, M.M.; Overdier, J.T.; Armstong, D.E. Removal, partitioning, and fate of silver and other metals in wastewater treatment plants and effluent-receiving streams. Environ. Toxicol. Chem. 1998, 17, 630–641. [Google Scholar] [CrossRef]
- Metcalf, L.; Eddy, H.P. Waste Water Engineering: Treatment and Reuse, 4th ed.; McGraw-Hill: New York, NY, USA, 2003. [Google Scholar]
- Shammas, N.K.; Wang, L.K. Land Application of Biosolids. In Biosolids Treatment Processes; Wang, L.K., Shammas, N.K., Hung, Y., Eds.; Humana Press, Springer: Totowa, NJ, USA, 2007; pp. 705–745. [Google Scholar]
- Erland, B.; Díaz-Raviña, M.; Frostegård, Å.; Campbe, C.D. Effect of metal-rich sludge amendments on the soil microbial community. Appl. Environ. Microbiol. 1998, 64, 238–245. [Google Scholar]
- Dimkpa, C.O.; McLean, J.E.; Britt, D.W.; Anderson, A.J. Nano-CuO and interaction with nano-ZnO or soil bacterium provide evidence for the interference of nanoparticles in metal nutrition of plants. Ecotoxicology 2015, 24, 119–129. [Google Scholar] [CrossRef] [PubMed]
- McGee, C.F.; Storey, S.; Clipson, N.; Doyle, E. Soil microbial community responses to contamination with silver, aluminum oxide and silicon dioxide nanoparticles. Ecotoxicology 2017, 26, 449–458. [Google Scholar] [CrossRef]
- Clint, W.; Chen, W.-Y.; Shammas, N.K.; Wang, L.K. Lime Stabilization. In Handbook of Environmental Engineering: Biosolids Treatment Processes; Shammas, N.K., Wang, L.K., Eds.; The Humana Press Inc.: Totowa, NJ, USA, 2007; pp. 207–241. [Google Scholar]
- Turovskiy, I.S.; Mathai, P.K. Wastewater Sludge Processing; John Wiley and Sons: Hoboken, NJ, USA, 2006. [Google Scholar]
- Ma, R.; Levard, C.; Judy, J.D.; Unrine, J.M.; Durenkamp, M.; Martin, B.; Jefferson, B.; Lowry, G.V. Fate of zinc oxide and silver nanoparticles in a pilot wastewater treatment plant and in processed biosolids. Environ. Sci. Technol. 2013, 48, 104–112. [Google Scholar] [CrossRef] [PubMed]
- Whitley, A.R.; Levard, C.; Oostveen, E.; Bertsch, P.M.; Matocha, C.J.; van der Kammer, F.; Unrine, J.M. Behavior of Ag nanoparticles in soil: Effects of particle surface coating, aging and sewage sludge amendment. Environ. Pollut. 2013, 182, 141–149. [Google Scholar] [CrossRef]
- City of Ottawa. City of Ottawa Annual Report; Citty of Ottawa: Ottawa, ON, Canada, 2014. [Google Scholar]
- OME and OMAFRA. Guidlines for The Utilization of Biosolid and Other Waste on Agricultural Lands; Ontario Ministry of Environment and Ontario Ministry of Agriculture, Food and Rural Affairs: Guelph, ON, Canada, 1996. [Google Scholar]
- Colman, B.P.; Arnaout, C.L.; Anciaux, S.; Gunsch, C.K.; Hochella, M.F., Jr.; Kim, B.; Lowry, G.V.; McGill, B.M.; Reinsch, B.C.; Richardson, C.J.; et al. Low concentrations of silver nanoparticles in biosolids cause adverse ecosystem responses under realistic field scenario. PLoS ONE 2013, 8, e57189. [Google Scholar] [CrossRef] [PubMed]
- Johansson, M.; Stenberg, B.; Torstensson, L. Microbiological and chemical changes in two arable soils after long-term sludge amendments. Biol. Fertil. Soils. 1999, 30, 160–167. [Google Scholar] [CrossRef]
- CCME. A Review of the Current Canadian Legislative Framework for Wastewater Biosolids; Canadian Council of Ministers of the Environment: Winnipeg, ON, Canada, 2010; PN 1446; ISBN 978-1-896997-95-7. [Google Scholar]
- USEPA; EPA. Targeted National Sewage Sludge Survey Sampling and Analysis Technical Report; US Environmental Protection Agency Office of Water: Washington, DC, USA, 2009. [Google Scholar]
- Sun, T.Y.; Bornhöft, N.A.; Hungerbühler, K.; Nowack, B. Dynamic probabilistic modeling of environmental emissions of engineered nanomaterials. Environ. Sci. Technol. 2016, 50, 4701–4711. [Google Scholar] [CrossRef]
- American Public Health Association; Baird, R.; Eaton, A.D.; Rice, E.W.; Bridgewater, L. Environment Federation, Standard Methods for the Examination of Water and Wastewater, 23th ed.; American Public Health Association: Washington, DC, USA, 2017. [Google Scholar]
- Rebecca, B. Soil Survey Laboratory Method Manual. Soil Survey Laboratory Investigations Report No. 42. 2004. Available online: https://www.nrcs.usda.gov/wps/portal/nrcs/detail/soils/ref/?cid=nrcs142p2_054247 (accessed on 29 August 2021).
- Fierer, N.; Jackson, J.A.; Vilgalys, R.; Jackson, R.B. Assessment of soil microbial community structure by use of taxon-specific quantitative PCR assays. Appl. Environ. Microbiol. 2005, 71, 4117–4120. [Google Scholar] [CrossRef]
- Pfeiffer, S.; Milica, P.; Birgit, M.; Kathrin, L.; Evelyn, H.; Paul, L.; Andreas, O.; Angela, S. Improved group-specific primers based on the full SILVA 16S rRNA gene reference database. Environ. Microbiol. 2014, 16, 2389–2407. [Google Scholar] [CrossRef] [PubMed]
- Morales, S.E.; Holben, W.E. Empirical testing of 16S rRNA gene PCR primer pairs reveals variance in target specificity and efficacy not suggested by in silico analysis. Appl. Environ. Microbiol. 2009, 75, 2677–2683. [Google Scholar] [CrossRef][Green Version]
- Shakya, M.; Christopher, Q.; James, C.H.; Yang, Z.K.; Schadt, C.W.; Mircea, P. Comparative metagenomic and rRNA microbial diversity characterization using archaeal and bacterial synthetic communities. Environ. Microbiol. 2013, 15, 1882–1899. [Google Scholar] [CrossRef] [PubMed]
- Svec, D.; Ales, T.; Vendula, N.; Pfaffl, M.W.; Kubista, M. How good is a PCR efficiency estimate: Recommendations for precise and robust qPCR efficiency assessments. Biomol. Detect. Quantif. 2015, 3, 9–16. [Google Scholar] [CrossRef]
- Větrovský, T.; Baldrian, P. The variability of the 16S rRNA gene in bacterial genomes and its consequences for bacterial community analyses. PLoS ONE 2013, 8, 57923. [Google Scholar] [CrossRef]
- Qu, F.; Xu, H.; Wei, H.; La, W.; Xiong, Y.; Xu, F.; Aguilar, Z.P.; Xu, H.; Wang, Y.A. Effects of pH and temperature on antibacterial activity of silver nanoparticles. In Proceedings of the 3rd International Conference on Biomedical Engineering and Informatics, Yantai, China, 16–18 October 2010. [Google Scholar]
- Rousk, J.; Bååth, E.; Brookes, P.C.; Lauber, C.L.; Lozupone, C.; Caporaso, J.G.; Knight, R.; Fierer, N. Soil bacterial and fungal communities across a pH gradient in an arable soil. ISME J. 2010, 4, 1340. [Google Scholar] [CrossRef] [PubMed]
- Gremion, F.; Chatzinotas, A.; Harms, H. Comparative 16S rDNA and 16S rRNA sequence analysis indicates that Actinobacteria might be a dominant part of the metabolically active bacteria in heavy metal-contaminated bulk and rhizosphere soil. Environ. Microbiol. 2003, 5, 896–907. [Google Scholar] [CrossRef]
- Paul, D.; Pandey, G.; Meier, C.; van der Meer, J.R.; Jain, R.K. Bacterial community structure of a pesticide-contaminated site and assessment of changes induced in community structure during bioremediation. FEMS Microbiol. Ecol. 2006, 57, 116–127. [Google Scholar] [CrossRef]
- Sánchez-Peinado, M.d.M.; González-López, J.; Martínez-Toledo, M.V.; Pozo, C.; Rodelas, B. Influence of linear alkylbenzene sulfonate (LAS) on the structure of Alphaproteobacteria, Actinobacteria, and Acidobacteria communities in a soil microcosm. Environ. Sci. Pollut. Res. 2010, 17, 779–790. [Google Scholar] [CrossRef]
- Ward, N.L.; Challacombe, J.F.; Janssen, P.H.; Henrissat, B.; Coutinho, P.M.; Wu, M.; Xie, G.; Haft, D.; Sait, M.; Badger, J.; et al. Three genomes from the phylum Acidobacteria provide insight into the lifestyles of these microorganisms in soils. Appl. Environ. Microbiol. 2009, 75, 2046–2056. [Google Scholar] [CrossRef]
- Li, X.; Rui, J.; Xiong, J.; Li, J.; He, Z.; Zhou, J.; Yannarell, A.C.; Mackie, R.I. Functional potential of soil microbial communities in the maize rhizosphere. PLoS ONE 2014, 9, e112609. [Google Scholar] [CrossRef] [PubMed]
- Soltani, A.A.; Khavazi, K.; Asadi-Rahmani, H.; Omidvari, M.; Dahaji, P.A.; Mirhoseyni, H. Plant Growth Promoting Characteristics in Some Flavobacterium spp. Isolated from Soils of Iran. J. Agric. Sci. 2010, 2, 106–115. [Google Scholar] [CrossRef]
- Jeong, H.; Jeong, D.-E.; Kim, S.H.; Song, G.C.; Park, S.-Y.; Ryu, C.-M.; Park, S.-H.; Choi, S.-K. Draft Genome sequence of the plant growth-promoting Bacterium Bacillus siamensis KCTC 13613T. J. Bacteriol. 2012, 194, 4148–4149. [Google Scholar] [CrossRef] [PubMed]
- Grady, E.N.; MacDonald, J.; Liu, L.; Richman, A.; Yuan, Z.-C. Current knowledge and perspectives of Paenibacillus: A review. Microb. cell factories 2016, 15, 203. [Google Scholar] [CrossRef] [PubMed]
- Radhakrishnan, R.; Hashem, A.; Abd_Allah, E.F. Bacillus: A biological tool for crop improvement through bio-molecular changes in adverse environments. Front. Physiol. 2017, 8, 667. [Google Scholar] [CrossRef]
- Itävaara, M.; Salavirta, H.; Marjamaa, K.; Ruskeeniemi, T. Geomicrobiology and metagenomics of terrestrial deep subsurface microbiomes. Adv. Appl. Microbiol. 2016, 94, 1–77. [Google Scholar]
- Dinesh, R.; Anandaraj, M.; Srinivasan, V.; Hamza, S. Engineered nanoparticles in the soil and their potential implications to microbial activity. Geoderma 2012, 173, 19–27. [Google Scholar] [CrossRef]
- Kramer, J.; Benoit, G.; Bowles, K.; DiToro, D.; Herrin, R.; Luther, G., III; Manolopoulos, H.; Robillard, K.; Shafer, M.; Shaw, J. Environmental chemistry of Silver. In Silver in the Environment: Transport. Fate and Effects; SETAC: Pensacola, FL, USA, 2002; pp. 1–25. [Google Scholar]
- Emmerling, C.; Michael, S.; Hartmann, A.; Kandeler, E. Functional diversity of soil organisms—A review of recent research activities in Germany. J. Plant. Nutr. Soil Sci. 2002, 165, 408–420. [Google Scholar] [CrossRef]
- Aislabie, J.; Deslippe, J.R. Soil microbes and their contribution to soil services. In Ecosystem Services in New Zealand—Conditions and Trends; Dymond, J., Ed.; Manaaki Whenua Press: Lincoln, New Zealand, 2013; pp. 143–161. [Google Scholar]
- Gupta, G.; Parihar, S.S.; Ahirwar, N.K.; Snehi, S.K.; Singh, V. Plant growth promoting rhizobacteria (PGPR): Current and future prospects for development of sustainable agriculture. J. Microb. Biochem. Technol. 2015, 7, 96–102. [Google Scholar]
- Grün, A.-L.; Manz, W.; Kohl, Y.L.; Meier, F.; Straskraba, S.; Jost, C.; Drexel, R.; Emmerling, C. Impact of silver nanoparticles (AgNP) on soil microbial community depending on functionalization, concentration, exposure time, and soil texture. Environ. Sci. Eur. 2019, 31, 15. [Google Scholar] [CrossRef]
- Impellitteri, C.A.; Harmon, S.; Silva, R.G.; Miller, B.W.; Scheckel, K.G.; Luxton, T.P.; Schupp, D.; Panguluri, S. Transformation of silver nanoparticles in fresh, aged, and incinerated biosolids. Water Res. 2013, 47, 3878–3886. [Google Scholar] [CrossRef]
- Kaegi, R.; Voegelin, A.; Ort, C.; Sinnet, B.; Thalmann, B.; Krismer, J.; Hagendorfer, H.; Elumelu, M.; Mueller, E. Fate and transformation of silver nanoparticles in urban wastewater systems. Water Res. 2013, 47, 3866–3877. [Google Scholar] [CrossRef] [PubMed]
- Kim, B.; Park, C.-S.; Murayama, M.; Hochella, M.F., Jr. Discovery and characterization of silver sulfide nanoparticles in final sewage sludge products. Environ. Sci. Technol. 2010, 44, 7509–7514. [Google Scholar] [CrossRef] [PubMed]
- Levard, C.; Hotze, E.M.; Lowry, G.V.; Brown, G.E., Jr. Environmental transformations of silver nanoparticles: Impact on stability and toxicity. Environ. Sci. Technol. 2012, 46, 6900–6914. [Google Scholar] [CrossRef] [PubMed]






| TP (Total Phosphorus) | TN (Total Nitrogen) | TS (Total Solids) | TVS (Total Volatile Solids) | pH |
|---|---|---|---|---|
| 122 ± 8 mg/L | 1043.3 ± 33 mg/L | 17,720 ± 95 mg/L | 9803.3 ± 45 mg/L | 7.4 ± 0.1 |
| Diameter (TEM) | Coefficient of Variation | Surface Area (TEM) | Particle (Concentration) | Hydrodynamic Diameter | Zeta Potential | pH of the Solution | Particle Surface Coating | Solvent |
|---|---|---|---|---|---|---|---|---|
| 23.1 ± 6.9 nm | 29.8% | 21.5 m2/g | 7.2 × 1013 particles/mL | 49.6 nm | −30.6 mV | 6.3 | Polyvinylpyrrolidone (PVP) | Milli-Q water |
| TOC | TN | TP | pH | CEC |
|---|---|---|---|---|
| 4248 ± 12 mg/kg | 184 ± 7 mg/kg | 13 ± 2 mg/kg | 6.6 ± 0.7 | 30.8 ± 2 meq/100 g |
| Phylum | Amplicon Size (bp) | Primer Name | Primer Sequence (5′–> 3′) | Annealing Temperature (°C) | References |
|---|---|---|---|---|---|
| Acidobacteria | 500 | fAcid31 | GAT CCT GGC TCA GAA TC | 55.9 | [31] |
| rEub518 | ATT ACC GCG GCT GG | ||||
| Actinobacteria | 166 | fActi | GRD ACY CCG GGG TYA ACT | 57.2 | [32] |
| rActi | TCW GCG ATT ACT AGC GAC | ||||
| Bacteroidetes | 181 | fBdet | GCA CGG GTG MGT AAC RCG TAC CCT | 61 | [32] |
| rBdet | GTR TCT CAG TDC CAR TGT GGG | ||||
| Firmicutes | 156 | fFirm | CAG TAG GGA ATC TTC | 55.3 | [32] |
| rFirm | ACC TAC GTA TTA CCG CGG | ||||
| Proteobacteria | 140 | 767fProt | AAG CGT GGG GAG CAA ACA | 54.8 | [33] |
| 907rProt | CCG TCA ATT CMT TTR AGT TT | ||||
| 16S (any bacteria) | 180 | 338F | ACT CCT ACG GGA GGC AGC AG | 61.9 | [34] |
| 518R | ATT ACC GCG GCT GG |
| Phylum | 16S rRNA/Genome | Mean 16S rRNA/Genome |
|---|---|---|
| Acidobacteria | 1 | 1 |
| Actinobacteria | 3.3 ± 1.7 | 3.3 |
| Bacteroidetes | 3.5 ± 1.5 | 3.5 |
| Firmicutes | 5.8 ± 2.8 | 5.8 |
| Proteobacteria | 3.96 ± 1.7 | 4.0 |
Publisher’s Note: MDPI stays neutral with regard to jurisdictional claims in published maps and institutional affiliations. |
© 2021 by the authors. Licensee MDPI, Basel, Switzerland. This article is an open access article distributed under the terms and conditions of the Creative Commons Attribution (CC BY) license (https://creativecommons.org/licenses/by/4.0/).
Share and Cite
Abdulsada, Z.; Kibbee, R.; Princz, J.; DeRosa, M.; Örmeci, B. Transformation of Silver Nanoparticles (AgNPs) during Lime Treatment of Wastewater Sludge and Their Impact on Soil Bacteria. Nanomaterials 2021, 11, 2330. https://doi.org/10.3390/nano11092330
Abdulsada Z, Kibbee R, Princz J, DeRosa M, Örmeci B. Transformation of Silver Nanoparticles (AgNPs) during Lime Treatment of Wastewater Sludge and Their Impact on Soil Bacteria. Nanomaterials. 2021; 11(9):2330. https://doi.org/10.3390/nano11092330
Chicago/Turabian StyleAbdulsada, Zainab, Richard Kibbee, Juliska Princz, Maria DeRosa, and Banu Örmeci. 2021. "Transformation of Silver Nanoparticles (AgNPs) during Lime Treatment of Wastewater Sludge and Their Impact on Soil Bacteria" Nanomaterials 11, no. 9: 2330. https://doi.org/10.3390/nano11092330
APA StyleAbdulsada, Z., Kibbee, R., Princz, J., DeRosa, M., & Örmeci, B. (2021). Transformation of Silver Nanoparticles (AgNPs) during Lime Treatment of Wastewater Sludge and Their Impact on Soil Bacteria. Nanomaterials, 11(9), 2330. https://doi.org/10.3390/nano11092330

