Phenolic Hydroxyl Groups in the Lignin Polymer Affect the Formation of Lignin Nanoparticles
Abstract
:1. Introduction
2. Materials and Methods
2.1. Materials
2.2. Functionalization of Lignin
2.3. Characterization of Lignin
2.4. Lignin Nanoparticle Formation
2.5. Characterization of Lignin Nanoparticle
2.6. Cytotoxicity Test
3. Results and Discussion
3.1. Characteristics of Functionalized Lignin
3.1.1. Lignin Fraction
3.1.2. Methylated Lignin
3.2. Effect of Lignin Characteristics on Nanoparticle Size
3.3. Particle Surface Charge
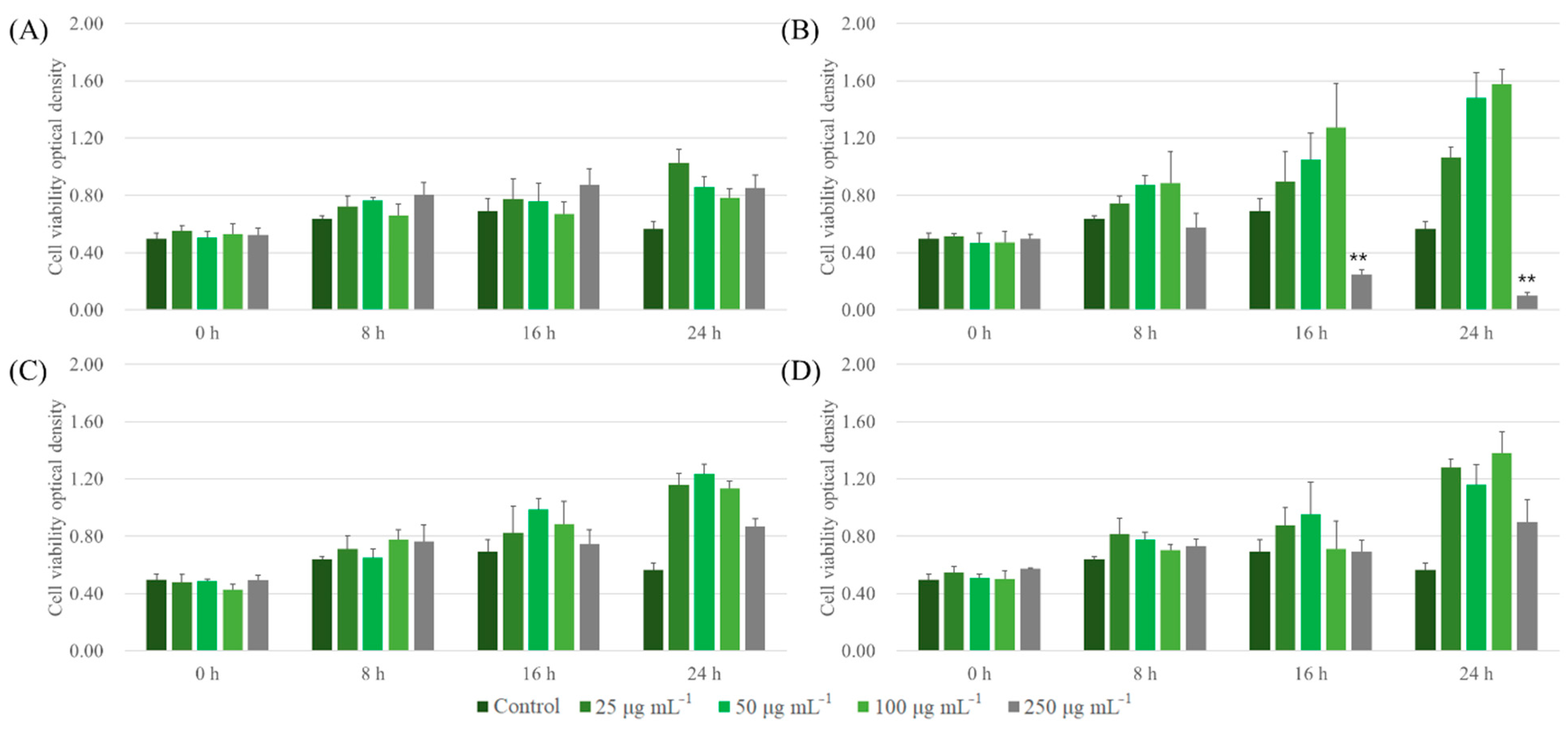
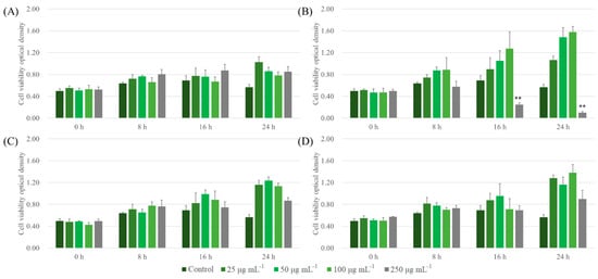
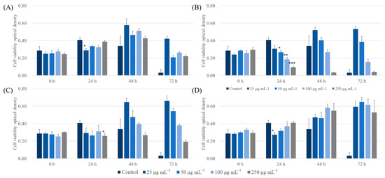
3.4. In Vitro Cell Viability
4. Conclusions
Supplementary Materials
Author Contributions
Funding
Data Availability Statement
Conflicts of Interest
References
- Fang, Z.; Smith, R.L., Jr. Production of Biofuels and Chemicals from Lignin; Springer: Berlin/Heidelberg, Germany, 2016. [Google Scholar]
- Ragauskas, A.J.; Beckham, G.T.; Biddy, M.J.; Chandra, R.; Chen, F.; Davis, M.F.; Davison, B.H.; Dixon, R.A.; Gilna, P.; Keller, M. Lignin valorization: Improving lignin processing in the biorefinery. Science 2014, 344, 1246843. [Google Scholar] [CrossRef]
- Hu, S.; Hsieh, Y.-L. Silver nanoparticle synthesis using lignin as reducing and capping agents: A kinetic and mechanistic study. Int. J. Biol. Macromol. 2016, 82, 856–862. [Google Scholar] [CrossRef] [Green Version]
- Pang, Y.; Wang, S.; Qiu, X.; Luo, Y.; Lou, H.; Huang, J. Preparation of lignin/sodium dodecyl sulfate composite nanoparticles and their application in pickering emulsion template-based microencapsulation. J. Agric. Food Chem. 2017, 65, 11011–11019. [Google Scholar] [CrossRef]
- Chen, L.; Zhou, X.; Shi, Y.; Gao, B.; Wu, J.; Kirk, T.B.; Xu, J.; Xue, W. Green synthesis of lignin nanoparticle in aqueous hydrotropic solution toward broadening the window for its processing and application. Chem. Eng. J. 2018, 346, 217–225. [Google Scholar] [CrossRef]
- Figueiredo, P.; Lintinen, K.; Kiriazis, A.; Hynninen, V.; Liu, Z.; Bauleth-Ramos, T.; Rahikkala, A.; Correia, A.; Kohout, T.; Sarmento, B.; et al. In vitro evaluation of biodegradable lignin-based nanoparticles for drug delivery and enhanced antiproliferation effect in cancer cells. Biomaterials 2017, 121, 97–108. [Google Scholar] [CrossRef]
- Kai, D.; Chong, H.M.; Chow, L.P.; Jiang, L.; Lin, Q.; Zhang, K.; Zhang, H.; Zhang, Z.; Loh, X.J. Strong and biocompatible lignin/poly (3-hydroxybutyrate) composite nanofibers. Compos. Sci. Technol. 2018, 158, 26–33. [Google Scholar] [CrossRef]
- Ma, M.; Dai, L.; Xu, J.; Liu, Z.; Ni, Y. A simple and effective approach to fabricate lignin nanoparticles with tunable sizes based on lignin fractionation. Green Chem. 2020, 22, 2011–2017. [Google Scholar] [CrossRef]
- Pang, T.; Wang, G.; Sun, H.; Wang, L.; Liu, Q.; Sui, W.; Parvez, A.M.; Si, C. Lignin Fractionation for Reduced Heterogeneity in Self-Assembly Nanosizing: Toward Targeted Preparation of Uniform Lignin Nanoparticles with Small Size. ACS Sustain. Chem. Eng. 2020, 8, 9174–9183. [Google Scholar] [CrossRef]
- Lee, J.H.; Kim, K.; Jin, X.; Kim, T.M.; Choi, I.-G.; Choi, J.W. Formation of pure nanoparticles with solvent-fractionated lignin polymers and evaluation of their biocompatibility. Int. J. Biol. Macromol. 2021, 183, 660–667. [Google Scholar] [CrossRef] [PubMed]
- Sluiter, A.; Ruiz, R.; Scarlata, C.; Sluiter, J.; Templeton, D. Determination of Extractives in Biomass: Laboratory Analytical Procedure (LAP)—Technical Report; National Renewable Energy Laboratory: Golden, CO, USA, 2005.
- Sluiter, A.; Hames, B.; Ruiz, R.; Scarlata, C.; Sluiter, J.; Templeton, D. Determination of Ash in Biomass: Laboratory Analytical Procedure (LAP)—Technical Report; National Renewable Energy Laboratory: Golden, CO, USA, 2005.
- Park, S.Y.; Kim, J.-Y.; Youn, H.J.; Choi, J.W. Fractionation of lignin macromolecules by sequential organic solvents systems and their characterization for further valuable applications. Int. J. Biol. Macromol. 2018, 106, 793–802. [Google Scholar] [CrossRef]
- Kim, J.-Y.; Heo, S.; Choi, J.W. Effects of phenolic hydroxyl functionality on lignin pyrolysis over zeolite catalyst. Fuel 2018, 232, 81–89. [Google Scholar] [CrossRef]
- Pu, Y.; Cao, S.; Ragauskas, A.J. Application of quantitative 31P NMR in biomass lignin and biofuel precursors characterization. Energy Environ. Sci. 2011, 4, 3154–3166. [Google Scholar] [CrossRef]
- Sette, M.; Lange, H.; Crestini, C. Quantitative HSQC analyses of lignin: A practical comparison. Comput. Struct. Biotechnol. J. 2013, 6, e201303016. [Google Scholar] [CrossRef] [PubMed]
- Wen, J.-L.; Sun, S.-L.; Xue, B.-L.; Sun, R.-C. Recent advances in characterization of lignin polymer by solution-state nuclear magnetic resonance (NMR) methodology. Materials 2013, 6, 359–391. [Google Scholar] [CrossRef] [PubMed] [Green Version]
- Baker, S.M. Rapid methoxyl analysis of lignins using gas chromatography. Holzforschung 1996, 50, 573–574. [Google Scholar]
- Lievonen, M.; Valle-Delgado, J.J.; Mattinen, M.-L.; Hult, E.-L.; Lintinen, K.; Kostiainen, M.A.; Paananen, A.; Szilvay, G.R.; Setälä, H.; Österberg, M. A simple process for lignin nanoparticle preparation. Green Chem. 2016, 18, 1416–1422. [Google Scholar] [CrossRef] [Green Version]
- Hunter, R.J. Zeta Potential in Colloid Science: Principles and Applications; Academic Press: Cambridge, MA, USA, 2013; Volume 2. [Google Scholar]
- Zhao, C.; Huang, J.; Yang, L.; Yue, F.; Lu, F. Revealing Structural Differences between Alkaline and Kraft Lignins by HSQC NMR. Ind. Eng. Chem. Res. 2019, 58, 5707–5714. [Google Scholar] [CrossRef]
- Jensen, M.O.; Mouritsen, O.G.; Peters, G.H. The hydrophobic effect: Molecular dynamics simulations of water confined between extended hydrophobic and hydrophilic surfaces. J. Chem. Phys. 2004, 120, 9729–9744. [Google Scholar] [CrossRef] [PubMed]
- D’Addio, S.M.; Prud’homme, R.K. Controlling drug nanoparticle formation by rapid precipitation. Adv. Drug Deliv. Rev. 2011, 63, 417–426. [Google Scholar] [CrossRef]
- Martinez Rivas, C.J.; Tarhini, M.; Badri, W.; Miladi, K.; Greige-Gerges, H.; Nazari, Q.A.; Galindo Rodriguez, S.A.; Roman, R.A.; Fessi, H.; Elaissari, A. Nanoprecipitation process: From encapsulation to drug delivery. Int. J. Pharm. 2017, 532, 66–81. [Google Scholar] [CrossRef]
- Clogston, J.D.; Patri, A.K. Zeta potential measurement. In Characterization of Nanoparticles Intended for Drug Delivery; Springer: Berlin/Heidelberg, Germany, 2011; pp. 63–70. [Google Scholar]
- Sapsford, K.E.; Tyner, K.M.; Dair, B.J.; Deschamps, J.R.; Medintz, I.L. Analyzing nanomaterial bioconjugates: A review of current and emerging purification and characterization techniques. Anal. Chem. 2011, 83, 4453–4488. [Google Scholar] [CrossRef] [PubMed]
- Horie, M.; Fujita, K. Toxicity of metal oxides nanoparticles. In Advances in Molecular Toxicology; Elsevier: Amsterdam, The Netherlands, 2011; Volume 5, pp. 145–178. [Google Scholar]






| Samples | Abbreviation | Conditions | Abbreviation |
|---|---|---|---|
| Alkaline soda lignin | AL | ||
| Fractionated alkaline soda lignins | FAL | Ethyl acetate-fractionated | FAL1 |
| 2-Butanone-fractionated | FAL2 | ||
| Methanol-fractionated | FAL3 | ||
| Acetone-fractionated | FAL4 | ||
| Dioxane–water mixture-fractionated | FAL5 | ||
| Dioxane–water mixture-insoluble | FAL6 | ||
| Methylated alkaline soda lignins | MAL | Added 0 mg of dimethyl sulfate (DMS) | MAL0 |
| Added 1 mg of DMS | MAL1 | ||
| Added 2 mg of DMS | MAL2 | ||
| Added 6 mg of DMS | MAL6 |
| Samples | Yield (%) | Mw | Mn | Mw/Mn |
|---|---|---|---|---|
| AL | 2880 | 1130 | 2.6 | |
| FAL1 | 8.9 | 1060 | 610 | 1.7 |
| FAL2 | 19.6 | 1780 | 1050 | 1.7 |
| FAL3 | 32.5 | 2920 | 1480 | 2.0 |
| FAL4 | 4.5 | 4990 | 2420 | 2.0 |
| FAL5 | 15.4 | 7790 | 1950 | 4.0 |
| FAL6 | 19.1 | ND * | ND | ND |
| Samples | Hydroxyl (mmol g−1) | Methoxy (mmol g−1) | |||||
|---|---|---|---|---|---|---|---|
| Phenolic | Carboxylic Acids | Aliphatic | |||||
| H a | G b | S c | 4-O-5 | ||||
| AL | 0.29 | 0.91 | 0.81 | 0.14 | 1.31 | 2.38 | 3.59 |
| FAL1 | 0.41 | 1.12 | 0.76 | 0.55 | 2.05 | 1.57 | 3.92 |
| FAL2 | 0.38 | 1.11 | 0.91 | 0.09 | 1.41 | 1.10 | 3.97 |
| FAL3 | 0.22 | 0.75 | 0.58 | 0.03 | 1.12 | 1.53 | 3.55 |
| FAL4 | 0.14 | 0.60 | 0.69 | ND d | 0.67 | 1.52 | 3.40 |
| FAL5 | 0.10 | 0.46 | 0.42 | ND | 0.60 | 2.01 | 3.07 |
| Samples | Linkage Amount (per 100 Aromatic Units) | |||
|---|---|---|---|---|
![]() | ![]() | ![]() | ||
| β-O-4 | β-β | β-5 | H:G:S | |
| AL | 5.8 | 5.4 | 2.7 | 32:48:20 |
| FAL1 | 0.5 | 2.8 | 0.4 | 33:44:23 |
| FAL2 | 1.9 | 1.5 | 0.4 | 35:48:17 |
| FAL3 | 6.1 | 1.3 | 0.9 | 36:50:14 |
| FAL4 | 8.8 | 9.0 | ND | 37:45:18 |
| FAL5 | 12.1 | ND | ND | 4:82:14 |
| Peak Size (nm) | Z-Average Size (nm) | PDI | |||||||
|---|---|---|---|---|---|---|---|---|---|
| Peak 1 | Intensity (%) | Peak 2 | Intensity (%) | Peak 3 | Intensity (%) | ||||
| AL nanoparticles (ALNPs) with different initial concentrations | C1 | 414 | 100 | - | - | - | - | 1903 | 1.000 |
| C2 | 741 | 100 | - | - | - | - | 729.6 | 0.346 | |
| C4 | 721 | 100 | - | - | - | - | 671.9 | 0.118 | |
| C6 | 840 | 100 | - | - | - | - | 959.9 | 0.381 | |
| Fractionated AL nanoparticles | FALNP1 | 953 | 100 | - | - | - | - | 1103 | 0.276 |
| FALNP2 | 732 | 100 | - | - | - | - | 704.6 | 0.002 | |
| FALNP3 | 733 | 100 | - | - | - | - | 796.8 | 0.253 | |
| FALNP4 | 701 | 97.0 | 5313 | 3.0 | - | - | 740.9 | 0.244 | |
| FALNP5 | 128 | 50.5 | 1241 | 34.9 | 4942 | 14.5 | 286.9 | 0.731 | |
| Peak Size (nm) | Z-Average Size (nm) | PDI | ||||||
|---|---|---|---|---|---|---|---|---|
| Peak 1 | Intensity (%) | Peak 2 | Intensity (%) | Peak 3 | Intensity (%) | |||
| MALNP0 | 754 | 100 | - | - | - | - | 915.2 | 1.000 |
| MALNP1 | 629 | 100 | - | - | - | - | 825.5 | 0.506 |
| MALNP2 | 519 | 92.8 | 138 | 6.0 | 1480 | 1.1 | 553.5 | 0.390 |
| MALNP6 | 586 | 74.6 | 87 | 22.2 | 1931 | 3.1 | 462.6 | 0.406 |
Publisher’s Note: MDPI stays neutral with regard to jurisdictional claims in published maps and institutional affiliations. |
© 2021 by the authors. Licensee MDPI, Basel, Switzerland. This article is an open access article distributed under the terms and conditions of the Creative Commons Attribution (CC BY) license (https://creativecommons.org/licenses/by/4.0/).
Share and Cite
Lee, J.H.; Kim, T.M.; Choi, I.-G.; Choi, J.W. Phenolic Hydroxyl Groups in the Lignin Polymer Affect the Formation of Lignin Nanoparticles. Nanomaterials 2021, 11, 1790. https://doi.org/10.3390/nano11071790
Lee JH, Kim TM, Choi I-G, Choi JW. Phenolic Hydroxyl Groups in the Lignin Polymer Affect the Formation of Lignin Nanoparticles. Nanomaterials. 2021; 11(7):1790. https://doi.org/10.3390/nano11071790
Chicago/Turabian StyleLee, Jae Hoon, Tae Min Kim, In-Gyu Choi, and Joon Weon Choi. 2021. "Phenolic Hydroxyl Groups in the Lignin Polymer Affect the Formation of Lignin Nanoparticles" Nanomaterials 11, no. 7: 1790. https://doi.org/10.3390/nano11071790
APA StyleLee, J. H., Kim, T. M., Choi, I.-G., & Choi, J. W. (2021). Phenolic Hydroxyl Groups in the Lignin Polymer Affect the Formation of Lignin Nanoparticles. Nanomaterials, 11(7), 1790. https://doi.org/10.3390/nano11071790




